Investigación
Una aproximación a las actitudes de los universitarios hacia el Medio Ambiente. (Una experiencia innovadora en el ámbito de las Ciencias Ambientales)
Una aproximación a las actitudes de los universitarios hacia el Medio Ambiente. (Una experiencia innovadora en el ámbito de las Ciencias Ambientales)
REXE. Revista de Estudios y Experiencias en Educación, vol. 17, núm. 33, pp. 81-100, 2018
Universidad Católica de la Santísima Concepción
Recepción: 19 Junio 2017
Aprobación: 23 Octubre 2017
Resumen: En el siguiente estudio se han investigado las actitudes de los universitarios hacia el Medio Ambiente en la Universidad Pablo de Olavide de Sevilla. Entendiendo éstas como una disposición previa y preparatoria de las respuestas ante estímulos sociales; reconociéndolas parcial- mente estables, susceptibles de aprendizaje y formación y, generalmente duraderas. El objetivo de esta investigación ha sido evaluar las actitudes del alumnado que comienzan los estudios de Ciencias Ambientales y ver cómo influye en esta población, aportándonos conceptos, actitudes y comportamientos pro-ambientales. Se trata de un estudio piloto de aproximación de carácter cuantitativo. Antes de comenzar la docencia, se llevó a cabo un estudio inicial en el marco de la metodología descriptiva, con el objeto de recoger información sobre las creencias que sobre las temáticas ambientales tienen los estudiantes. Para ello, aplicaremos la técnica de encuesta, utilizando el cuestionario denominado Cuestionario de Aptitudes Socioeducativas Medioambientales (CASEM). Los resultados indican que la mayoría del alumnado posee conceptos previos sobre medio ambiente y consideran que es necesaria una buena educación ambiental, para mejorar los problemas ambientales que les rodean. Con ello constatamos que los factores claves de las actitudes se convierten en elementos fundamentales para el cambio de las mismas.
Palabras clave: Actitudes, Universitarios, Medio Ambiente.
Abstract: The following study has investigated the attitudes of university students towards the environment from the University Pablo de Olavide in Seville. Understanding these as a prior and preparatory provision for responses to social stimuli; them partially stable, capable of lear- ning and training and, generally lasting. The aim of this research has been to evaluate the attitu- des of students who begin their studies in environmental sciences and see how it inluences this population, providing concepts, attitudes and pro-environmental behavior. It is a pilot study of approximation of quantitative character. Before the beginning of teaching, an initial study was carried out in the framework of the descriptive methodology, in order to gather information on the beliefs that environmental issues have on the students. To do this, we apply the survey technique, using the questionnaire called Environmental Educational Aptitude Questionnaire (CASEM). The results indicate that the majority of students have concepts on the environment and consider that a good environmental education is necessary to improve the environmental problems surrounding them. Thus, we note that the key factors of attitudes become fundamental elements for their change.
Keywords: Attitudes, University, Environmental.
1. INTRODUCCIÓN
Hace más de cuatro décadas que surgieron las voces que alertaban sobre los peligros que traía consigo el deterioro de los ecosistemas (Gaudino, 2009). A raíz de estos impactos surge la preocupación por el medio ambiente y aquí es donde entra en juego la educación ambiental (Martín Sosa, et al., 1998). Una educación que aparece como una propuesta viable para contribuir a enfrentar los problemas ambientales y sus consecuencias. Una educación que dará lugar a los conocimientos y habilidades que nos permitirán interaccionar con los elementos del medio, ase- gurando la supervivencia del ser humano.
Los seres humanos tenemos una relación muy estrecha con el medio puesto que influimos en él y este a su vez condiciona nuestro modo de vida. En los últimos años, la intervención humana ha ido aumentando rápidamente, dando lugar a los actuales problemas ambientales tales como el aumento de los gases de efecto invernadero, el agujero de la capa de ozono, el agotamiento de los recursos, etc. Resolver los problemas ambientales y prevenirlos conlleva un cambio de los actuales modelos de producción así como de nuestro modo de vida, tanto a nivel global como individual para así dirigirnos hacia un modelo sostenible y respetuoso con el medio ambiente.
Desde hace tiempo, en nuestro grupo de investigación, trabajamos la relación entre la actitud y la conducta. Pensamos que las actitudes influyen sobre la conducta, aunque somos conscientes que dicha relación no es directa, sino que se encuentra sujeta a la diversidad de factores situacionales y de personalidad.
Dado que estas posiciones, tanto individuales como colectivas, definidas como actitud o, mejor, actitudes, como conjunto que las conforman. Pueden permanecer o no dependiendo de la información y la formación que se facilite a las personas. De ahí la importancia del proceso educativo. La mayoría de los especialistas la consideran como uno de los objetivos fundamentales de toda finalidad educativa.
Partimos de que las actitudes pertenecen a la historia propia de cada persona, encontrándose inmersas en contextos sociales más complejos: generacionales, zonas o países, etc., que dan lugar a sus conductas (Campbell, 1963). De esta percepción aprendida, depende la captación de la realidad, en la que como vemos se encuentran implicados: afectos, sentimientos, cognición, creencias, etc.
Por todo ello, hablar de educación supone tener en cuenta los procesos actitudinales, dada las relaciones íntimas que existen entre actitudes-personalidad y actitudes-valores. Por lo tanto, no podemos hablar de un desarrollo integral de la persona si no consideramos su forma de ser y su forma de relacionarse con el ambiente, ámbitos en los que los procesos actitudinales están presentes. Como afirma Gairín (1987, p. 21): “Las actitudes, son instancias que nos predisponen y dirigen sobre los hechos de la realidad, representan una síntesis personal que filtra nuestras percepciones y orienta nuestro pensamiento, facilitando la adaptación de la persona al contexto”. He aquí la importancia de la relación entre el proceso, las actitudes y la educación ambiental.
2. DESARROLLO
2.1 Aproximación al concepto de actitud
A lo largo del tiempo han sido numerosas las formas de acercarse al término actitud en el ámbito social. Así, ha sido visto y definido como una forma de posicionarse ante algo, como una tendencia, como una predisposición mental o física o bien como una respuesta de carácter evaluador y relativamente estable (Katz y Scotland, 1959; Allport, 1968; Lamberth, 1980). Dicho de otra forma podría determinarse como una postura que expresa un estado de ánimo o una intención, o, una forma de ver el mundo. El propio Allport (1968, p. 45) las concibe como: “Un estado mental y nervioso de disposición adquirido a través de la experiencia, que ejerce una influencia o dinámica sobre la respuesta del individuo a toda clase de objetos o situaciones con las que se relaciona.
Según lo anteriormente expresado por los distintos autores, la actitud es considerada como un constructo mediador, que intercede entre los estímulos del ambiente social de la persona y las res- puestas y reacciones de ésta a dichos estímulos. La actitud, en relación con nuestros valores, sería desde este punto de vista, una forma de adaptación activa de los individuos a su medio ambiente. Es activa por tratarse del resultado de las experiencias del individuo con el objeto actitudinal y, por tanto, de las conclusiones de los procesos cognitivos, afectivos y conductuales manifestados en dichas relaciones o experiencias (Melero y Buz, 2002).
La actitud será, por ello, una disposición previa preparatoria de las respuestas ante estímulos sociales. Éstas no son innatas, se aprenden a partir de una sucesión de experiencias con las que se refuerzan o no determinadas conductas. De ahí que supongan una predisposición a la acción relativamente estable, siendo susceptibles de formación y cambio, a la vez que son relativamente duraderas, entre otras, por las siguientes razones:
• Las afinidades y aversiones que expresamos hacia los objetos o cosas están arraigadas en nuestras emociones. Ambas, especialmente las segundas, son difíciles de extinguir, lo que facilita su duración.
• Los sentimientos no se pueden separar con rapidez de nuestras percepciones, dado que aquellos dirigen nuestra atención y percepción a determinados aspectos de la realidad (Escalante, Repetto y Matinelle, 2012).
Lo expuesto nos lleva a concretar que el medio ambiente en el que está inserto el sujeto reforzará sus propias actitudes. Por lo que buscamos a los grupos que comparten nuestros valores, al mismo tiempo que adoptamos las actitudes que creemos que mejor valoran a dichos grupos. Gairín y otros (1985), (González Lucini, 1992, Pérez Serrano, 2002).
Las actitudes son comportamientos o estados de ánimo que se manifiestan exteriormente, guardan una estrecha relación con nuestros valores y vienen condicionados, además de muchos otros factores, por las creencias de cada uno de nosotros/as tenemos. Mientras que los valores son principios morales, ideológicos o de otro tipo que guían el comportamiento personal. En definitiva el sistema de creencias, actitudes y valores son el soporte de las actuaciones del hombre.
Las actitudes siempre hacen referencia a los valores, que ocupan el lugar más alto y abstracto en la estructura cognitiva. En sentido moral, el valor se considera como aquello que hace que algo sea digno de ser apreciado, deseado y buscado. Desde un planteamiento pedagógico, es un objetivo que nos proponemos en la educación. Es sencillamente la convicción razonada de que algo es bueno o malo para llegar a ser más humano (García, 2000 citado por Moreno 2006).
Por lo tanto, las creencias, actitudes y valores van unidas entre sí, conigurando un conjunto de rasgos que establecen el modo de comportarse del ser humano.
En esta línea, nuestro objetivo se encamina a conseguir la construcción de principios que actúen sobre el conocimiento, la conducta y la adquisición de comportamientos. Todo ello en caminado, en definitiva, a la adquisición de valores ambientales.
Entendiendo como valor aquello que hace que algo sea digno de ser apreciado, deseado y buscado (García, 2000 citado por Moreno, 2006), se debe incidir en la consecución de unos valores comunes y universales, que ordenen las actitudes de la sociedad frente a los problemas que en ella se generan. En el caso del medio ambiente, contra la situación de degradación ambiental.
2.2 Componentes de las actitudes
A tenor de lo expuesto, se nos hace necesario adentrarnos en los elementos que le dan sentido a las actitudes, los componentes de las mismas, desde una diversidad de enfoque. La primera forma de aproximarnos a los componentes de las actitudes, nos lleva a tener en cuenta al enfoque clásico de los tres componentes (Rosenberg y Hovland, 1960) en relación con el análisis de la consistencia entre los elementos que la conforman y que sigue teniendo alguna validez: cogniti- vo, afectivo y conativo (comportamental) (Lamberth, 1980). Estos componentes los aumenta a cuatro el modelo de Fishbein y Ajzen (1975): el cognitivo (las creencias y opiniones), el afectivo (sentimientos y evaluación), el conativo (las intenciones conductuales) y la conducta (conducta observada a través de los actos).
El componente cognitivo: Las actitudes están conformadas por conjuntos estructurados de creencias, valores, conocimientos o expectativas, relativamente estables, que predisponen a actuar de un modo preferente ante un objeto o situación (Rokeach, 1968). Ello nos lleva a afirmar que viene determinado por la información y la experiencia que la persona adquiere a través de las generalizaciones hacia el objeto. No debemos olvidarnos que la presentación cognoscitiva no es siempre real, a veces, es vaga, imprecisa, sino errónea. A este campo pertenecen: opiniones, creencias, categorías, atributos y conceptos.
El componente afectivo conformado por los sentimientos hacia el objeto de la actitud. La valoración que determina la conducta se activa motivacionalmente ante la presencia del objeto o situación, viniendo acompañada de sentimientos. La mayoría de los autores coinciden con Fishbein y Azjen (1975) en que es el elemento de mayor importancia en la coniguración de las actitudes; remite a la motividad que impregna las ideas y con él se relacionan los sentimientos y emociones.
El componente conativo-conductual (comportamental): Es la predisposición o la intención a actuar, se manifiesta orientando la acción de una manera determinada ante un objeto o sujeto. Ea- gly y Chayken (1993), defienden que todo aquello que sea convertible en objeto de pensamiento puede convertirse en objeto de actitud, entendiendo esta como una tendencia. Por lo tanto, es una tendencia, una inclinación para actuar, resultado de la cognición y el afecto que sólo se deduce a través de respuestas manifiestas y observables.
Centrándonos en la temática que nos ocupan las actitudes hacia el Medio Ambiente, podemos determinar que existe una relación directa entre los componentes que conforman la actitud. Sin embargo, esta relación es circular, no lineal y no de una manera constante. En determinadas circunstancias es el pensamiento quien dirige el comportamiento mientras que en otras es el comportamiento el que modifica el elemento cognitivo, cambiando la idea que se tenía ante un determinado objeto. Tampoco se da una relación inmutable entre el componente afectivo y el comportamental; no obstante, nos encontramos ante un problema enormemente complejo y muy debatido.
El rol de las actitudes en la formación de la conducta, como podemos ver en el gráfico 1, puede entenderse a través de dos enfoques: la Teoría de la Acción Razonada (TAR) (Ajzen y Fishbein, 1980) y la Teoría de la Conducta Planificada (TCP) (Ajzen, 1985). Estas teorías han sido una de las bases teóricas para la elaboración de nuestro cuestionario, a través del que se realizó la medición de actitudes ambientales para el presente estudio. Este hecho o que se convierte, también en el fundamento teórico que justificó el instrumento en su proceso de validación.

Como exponen Campos, Pasquali y Peinado (2008), la necesidad de realizar más estudios sobre actitudes, que promuevan cambios de comportamiento a favor de la recuperación y preservación del ambiente, se ha hecho prioridad en las actuales circunstancias de problemática ambiental; resulta entonces imprescindible evaluar la situación, tanto local como nacionalmente, en relación a qué tipo y grado de actitudes ambientales existen. Teniendo en cuenta que, para establecer el estado de las cosas, conviene determinar antes, cuál es la mejor forma de estudiarlas, en el presente trabajo se utiliza el cuestionario anteriormente citado, a través de una escala Likert, como instrumento de medición de actitudes ambientales que nos permitirá abordar este aspecto en los universitarios pues consideramos que es un tema de los menos estudiados, aun cuando son una categoría de edad en la que eventuales intervenciones podrían producir mayores impactos.
2.3 Universidad, actitud y educación ambiental
La Universidad es un escenario clave en los procesos de transformación de la sociedad. Esta institución es responsable de transmitir los conocimientos, valores y actitudes que contribuyan a una educación integral de su alumnado, con objeto de capacitarlo para la vida laboral con altos niveles de responsabilidad.
En este sentido, como institución orientada a la investigación, la formación para el mundo laboral y la generación de conciencia crítica, la Universidad, debe tener un papel destacado en el desarrollo de la educación ambiental y en la extensión de conocimientos y valores ambientales en la esfera de lo personal, lo social y lo profesional. Sin embargo, la construcción de un modelo de universidad ambientalmente coherente es un proceso de gran complejidad, que requiere la complicidad y el respaldo activo de toda una comunidad de personas que comparten el espacio (Fundación de Iniciativas Locales en Castilla y León, 2007).
La universidad también tiene la responsabilidad de garantizar la formación de conocimientos y habilidades, actitudes y valores en los estudiantes para lograr una efectiva solución de la problemática ambiental.
Por otro lado, la universidad es también centro educativo, y como tal, las vivencias y experiencias que las personas que pertenecen a la comunidad universitaria (sean estudiantes, profesores o personal de administración y servicios) van adquiriendo en su relación cotidiana con la institución, son de gran importancia para el desarrollo y construcción de sus escalas de valores y comporta- miento ambientales. Así, una gestión ambiental de la universidad no sólo ofrece ejemplo a otras instituciones sino que en igual medida desempeña una función educativa informal de la futuros profesionales al estar ofreciendo y transmitiendo nuevos modelos de pautas y conductas pro-ambientales respetuosas del medio (Benayas, 2002).
En el informe del proyecto Universidades Responsables presentado por la Universidad de Zaragoza en el 2006, menciona que la ambientalización de la universidad incluye el trabajo en tres campos bien diferenciados: ambientalización del currículo, ambientalización de la gestión y finalmente la ambientalización de la vida universitaria para incrementar las acciones a favor del medio ambiente, promoviendo la participación de los estudiantes en la divulgación y sensibilización ambiental.
La atención a estos tres pilares de la ambientalización contribuirá a hacer que la universidad influya en el desarrollo de actitudes de responsabilidad respecto a las repercusiones de nuestra forma de vida y de nuestras acciones sobre el medio, lo que favorecerá la participación activa en la sociedad y en la resolución de problemas ambientales.
2.4 Educación Ambiental en la Universidad Pablo de Olavide
El Espacio Europeo de Educación Superior (EEES) establece un marco propicio tanto para el fortalecimiento de las creencias ambientales del alumnado como para la formación del profesorado universitario (actor clave en todo el proceso). El EEES favorece y precisa nuevas metodologías docentes y aspira a una formación integral de los estudiantes, de manera que a través del desarrollo de habilidades para el aprendizaje a lo largo de la vida, los futuros profesionales sean capaces de afrontar los retos que plantea la situación global (CRUE, 2005). Estas consideraciones están definidas en las diversas declaraciones internacionales al respecto (Bolonia, 1999; Praga, 2001; Berlín, 2003; Bergen, 2005; Londres, 2007; Leuven, 2009) y explícitamente asumidas por el Sistema Universitario Español (Espacio Europeo de Educación Superior, 2010).
Estas aspiraciones constituyen una base sobre la que se fundamenta la necesidad de garantizar e impulsar la ambientalización curricular en la formación superior desde las directrices generales para la convergencia y las específicas para cada título (CRUE, 2005). Así, tal como establece el Estatuto del Estudiante Universitario (Ministerio de Educación, 2011):
“La universidad debe ser un espacio de formación integral de las personas que en ella conviven, estudian y trabajan. (…) Para ello promoverá los valores medioambientales y de sostenibilidad en sus diferentes dimensiones” (p. 53).
Para tratar de acercarnos a una respuesta a la anterior cuestión, y con el propósito de plantear un instrumento de referencia en la programación de estrategias de EA y ambientalización curricular, se ha considerado de interés el estudio de las creencias ambientales con la que el alumno accede y evoluciona en su paso por la universidad. Con la finalidad de:
1) Elaborar y validar un cuestionario como instrumento de recogida de datos para el estudio de las creencias ambientales del alumnado universitario, en las cuatro dimensiones que definen el concepto (cognitiva, afectiva, conativa y activa); 2) Diseñar una escala de medida y operatividad de las creencias ambientales; 3) Definir algoritmos de agrupación sintética del alumnado de- pendiendo de su tipología de las creencias ambientales; y 4) Estudiar las causas a las que se debe esta agrupación. “Con estos nuevos planes de estudio se crean nuevas titulaciones entre las que se encuentra la Licenciatura en Ciencias Ambientales. Con ella se pretende formar tanto en los aspectos científicos y como sociales del medio ambiente y que así esta formación permita una orientación especifica hacia los aspectos de gestión medioambiental, planificación territorial y ciencias o técnicas ambientales.” (Martín Sosa, et al., 1998).
Dentro de los perfiles profesionales que se establecen para este grado encontramos la “formación y educación ambiental”, este perfil abarca a todos profesionales que se dediquen de una forma u otra a la enseñanza y divulgación relacionada con el medio ambiente (Esteban, Amador y Mateos, 2017).
Hay que diferenciar entre la educación formal y la no formal puesto que los profesionales dedicados a la educación formal son profesores que necesitan para ejercer un Certificado de Actitud Pedagógica o poseer un doctorado o postgrado. Los profesionales dedicados a la educación ambiental no formal no requerirían de la realización de un postgrado de especialización específico, ya que el grado capacita para el dominio de los contenidos tratados a este nivel. (ANECA, 2004).
Gracias a los nuevos planes de estudio se crean nuevas titulaciones, entre las que se encuentra la Licenciatura en Ciencias Ambientales, que surge en 1998. En esta licenciatura, la Educación Ambiental forma parte del conjunto de optativas ofertadas para el alumnado. (Plan de estudios UPO).
Con la implantación del Grado en 2009, la asignatura de Educación Ambiental desaparece y pasa a formar parte de otra asignatura llamada Intervención Social y Educación Ambiental a la que se le dedica un 30% de la asignatura y se imparte durante el primer curso de este grado.
Como hemos explicado anteriormente, entre los perfiles profesionales que se establecen, aparece la formación y educación ambiental no formal, sin embargo, esta materia apenas representa el 2% de créditos totales de la titulación. Por ello, el objetivo del estudio es investigar qué formación tienen los alumnos de primer curso de Ciencias Ambientales sobre la Educación Ambiental una vez cursada esta asignatura para entender cuál es la verdadera formación que se les ofrece.
Según el Libro Blanco de Educación Ambiental los principales objetivos que persigue son:
• Favorecer el conocimiento de los problemas ambientales, tanto locales como globales.
• Generar la capacidad de análisis crítico de la información ambiental.
• Facilitar la comprensión de los procesos ambientales en conexión con los sociales, económicos y culturales.
• Favorecer la adquisición de nuevos valores proambientales y fomentar actitudes críticas y constructivas.
• Apoyar el desarrollo de una ética que promueva la protección del medio ambiente.
• Capacitar a las personas en el análisis de los conflictos socio-ambientales.
• Fomentar la participación activa de la sociedad.
• Favorecer los modelos de conducta sostenibles en todos los ámbitos de vida.
La Educación Ambiental según Calvo y Corraliza (1994): “intenta proponer una nueva información que aumente los conocimientos sobre el medio ambiente y que de esta ampliación surja una reflexión que nos permita mejorar la calidad de vida, mejorando la calidad ambiental y que nos lleve necesariamente a una acción a favor del medio” (p. 27).
En definitiva la educación ambiental deberá aportar los conocimientos, aptitudes, actitudes, motivación y deseos necesarios para trabajar individual y colectivamente en la búsqueda de soluciones a los problemas actuales y para prevenir los que pudieran aparecer en lo sucesivo (Cuello, 2003), aspecto muy necesario en el ámbito universitario.
2.5 Objetivos del estudio
El objetivo de esta investigación ha sido evaluar las actitudes del alumnado que comienzan los estudios de Ciencias Ambientales hacia el medio ambiente que los rodea.
Como objetivos específicos relacionados con el objetivo general, planteamos tres. Todo ellos relacionados con la adquisición de conceptos, actitudes y comportamientos. Éstos son los siguientes:
• Conocer cuáles son los conocimientos que presentan los alumnos de primero de Ciencias
Ambientales en Educación Ambiental.
• Elaborar una encuesta que represente adecuadamente el conocimiento de los alumnos en tres materias: Educación Ambiental, medio ambiente y comportamiento de los mismos con respecto al medio ambiente.
• Conocer si existen diferencias respecto a las actitudes, entre los alumnos del grupo de la mañana y del grupo de tarde en estas materias.
3. METODOLOGÍA
La finalidad de la investigación en educación, como expone Martínez (2007), es conocer con cierta precisión una determinada realidad educativa, sus características y funcionamiento, así como la relación que existe entre los elementos que la configuran. Nuestra investigación es un estudio piloto de aproximación, utiliza el método cuantitativo. La evolución seguirá las siguientes pautas: en un primer momento, antes de comenzar la docencia, ya que ésta se imparte en el segundo semestre, se hará un estudio inicial, en el marco de la metodología descriptiva con el objeto de re- coger información sobre las creencias que sobre las temáticas ambientales tienen los estudiantes. Para ello aplicaremos la técnica de encuesta, utilizando el cuestionario denominado Cuestionario de Aptitudes Socioeducativas Medioambientales (CASEM) que recogerá:
• Las Creencias relativas a la importancia de la actuación individual y/o colectiva respecto al tratamiento de residuos y su influencia en la mejora del entorno.
• Las Creencias relativas a los residuos y su influencia en el desarrollo sostenible.
• Las Creencias y reflexiones personales relativas a la educación ambiental.
• Las Concepciones y creencias respecto al reciclado.
• El Comportamiento humano y sostenibilidad medioambiental.
Los datos serán procesados y analizados a través del programa de análisis estadístico Statistical Packageforthe Social Sciences (SPSS) versión 22, para aplicar análisis descriptivos, inferenciales y multivariables con el objeto de obtener información sobre todas las creencias medio ambientales, que darán origen a actitudes, objetivos de este trabajo.
Para la realización del estudio elegimos la escala aditiva tipo Likert. En este método todos los ítems miden con la misma intensidad las actitudes y en ella el encuestado responde con una puntuación que en este caso será del uno al cuatro, en el que el uno corresponde con el “absoluto desacuerdo”, el dos con “desacuerdo”, el tres “acuerdo” y el cuatro con “totalmente de acuerdo”. Con este tipo de escala se evita la centralidad de las respuestas ya que no existe un punto medio como respuestas de tipo “No Sabe/No Contesta” con el objetivo de que el alumno deba tender a responder o positiva o negativamente según los conocimientos adquiridos o la percepción que tenga hacia estos conceptos.
Por ello, este tipo de escala nos indica si el individuo tiene una actitud favorable o desfavorable respecto a la variable de estudio. La actitud final será la media de la puntuación que cada encuestado le da a cada uno de los ítems del cuestionario y se valorará de tal modo que las preguntas de mayor acuerdo sean positivas y por el contrario, las respuestas del orden de mayor desacuerdo serán valoradas de manera negativa con respecto a la variable de estudio. También la encuesta recoge un apartado de observaciones donde se podían escribir sugerencias u otras observaciones sobre la encuesta.
Con esta escala, según Esteban y Amador (2017), se pretende que el alumnado conteste con total seguridad a las preguntas que le van sucediendo, entendiéndose que de responder con los números dos o tres, no están del todo seguros o que dicha cuestión no cumple totalmente con la pregunta.
Según Colás y Buendía (1992), “la bondad de este tipo de instrumento se caracteriza porque no se manipulan las variables no se intenta establecer relaciones causa-efecto, sino tan solo describirlas y observarlas, y hace hincapié en diferencias individuales, de modo que observa como los sujetos de la muestra difieren en un determinado rasgo”(p. 147). Basándonos en conocimientos previos y consultas de otras encuestas anteriores realizadas en alumnas/os, comenzamos a realizar los ítems. Seleccionamos cuarenta ítems, que dividimos en tres categorías: Conocimientos Ambientales, Conocimientos en Educación Ambiental y Comportamiento Ambientales. Estas categorías fueron seleccionadas teniendo en cuenta los distintos objetivos para que el alumnado adquiera las competencias establecidas en la asignatura de ISEA.
En la categoría de Conocimientos Ambientales se recogen los indicadores relacionados con conceptos relativos al medio ambiente y su relación con el ser humano, así como el conocimiento del impacto individual y social del hombre sobre el medio ambiente, conceptos básicos que presuponemos deberían tener los estudiantes de nuevo comienzo en el grado o al menos una percepción acerca de dichos conceptos.
El conocimiento ambiental según Febles (2001): “es un proceso complejo, que incluye la obtención, análisis y sistematización por parte del individuo de la información proveniente de su en- torno, social por naturaleza, este constituye un paso importante para su comprensión a través de acciones concretas, que a su vez, influyen en el desarrollo de estos conocimientos” (p. 32).
La categoría de Educación Ambiental tiene el objetivo de conocer cuan informados están los alumnos acerca del concepto de la Educación Ambiental y de si es o no el correcto, dado que la Educación Ambiental es una de las salidas profesionales que ofrece el grado y por ello queremos conocer si debería hacerse mayor hincapié en la materia. Por ello los ítems abarcan preguntas acerca de los conceptos y objetivos que persigue la Educación Ambiental así como el conocimiento adquirido durante la enseñanza.
Y por último, la categoría de Comportamiento Ambiental se corresponde con las acciones del alumno con el medio ambiente, dirigidas a cambiar aspectos del entorno, y que influyen a su vez en los conceptos, percepciones y sensibilidad que posee el individuo con el medio que le rodea. Pueden ser tanto positivas como negativas en función de la relación del individuo con el entorno. Por ello las preguntas afectan a la participación y a la concienciación por el respeto y la preservación del medio ambiente.
Para la validación de esta encuesta se contó con la colaboración de veinte jueces de diversos campos profesionales: profesores de Educación Secundaria Obligatoria y Profesorado Universitario pertenecientes al área de Ciencias Experimentales y profesionales expertos en temas medioambientales.
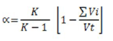
Para el cálculo del alfa de Cronbach se emplearon las variantes siguientes mediante la varianza de los ítems (Cronbach, 1951):

Donde:

Este valor se determinó empleando el paquete estadístico SPSS versión 22, que como se ha seña- lado utiliza las correlaciones producto-momento de Pearson; como su procedimiento de estimación por defecto (Oliden y Zumbo, 2008). El valor del alfa de Cronbach ha sido de 0,78, por lo que concluimos que la escala propuesta tiene un buen nivel de confianza.
3.1 Muestra
El universo de estudio lo constituyeron los estudiantes de la Facultad de Ciencias Ambientales de la Universidad Pablo de Olavide. La muestra final se seleccionó tomando en consideración que se trataba de un estudio piloto de aproximación, como base a uno posterior de estudio que se llevará a cabo en todas las Universidades de la Comunidad Autónoma Andaluza. Por lo que se estimó fuese la totalidad de la población de estudiantes de primer curso.
Los participantes elegidos son los estudiantes de primer curso de Ciencias Ambientales de la Universidad Pablo de Olavide (Sevilla) matriculados en la asignatura de Intervención Social y Educación Ambiental (ISEA). El tamaño de muestra total fue de cincuenta y dos alumnos de los cuales quince pertenecen a la línea de mañana (Línea 1) y los otros treinta y siete pertenecen a la línea de tarde (Línea 2).
3.2 Instrumentos
Para la recogida de información se elaboró un Cuestionario de Aptitudes Socioeducativas Medio- ambientales, con el que se realizó la medición de actitudes ambientales para el presente estudio. Se construye como en una Escala Likert. Se aplicó con el objetivo de evaluar actitudes ambientales en los sujetos. En ella, los mismos deben emitir sus juicios verbales acerca de una serie de proposiciones con respecto al medio y a la problemática ambiental.
La metodología que llevamos a cabo para la realización del proyecto ha sido cuantitativa principalmente mediante la elaboración de una encuesta que se pasó al alumnado de primero del Grado de Ciencias Ambientales de la Universidad Pablo de Olavide (Sevilla). Estos cuestionarios analizaban tres categorías: Conocimiento en Educación Ambiental, Conocimiento Ambiental y Comportamiento Ambiental distribuidas de manera aleatoria dentro del cuestionario.
3.2.1 Selección de la escala
Para la realización del estudio elegimos la escala aditiva tipo Likert. En este método todos los ítems miden con la misma intensidad las actitudes y en ella el encuestado responde con una puntuación que en este caso será del uno al cuatro,”. Con este tipo de escala se evita la centralidad de las respuestas. Por ello, este tipo de escala nos indica si el individuo tiene una actitud favorable o desfavorable respecto a la variable de estudio. También la encuesta recoge un apartado de observaciones donde se podían escribir sugerencias u otras observaciones sobre la encuesta.
Según Colás y Buendía (1992), “la bondad de este tipo de instrumento se caracteriza porque no se manipulan las variables no se intenta establecer relaciones causa-efecto, sino tan solo describirlas y observarlas, y hace hincapié en diferencias individuales, de modo que observa como los sujetos de la muestra difieren en un determinado rasgo” (p. 147).
3.2.2 Selección de los ítems
Basándonos en conocimientos previos y consultas de otras encuestas anteriores realizadas en alumnos, comenzamos a realizar los ítems. Seleccionamos cuarenta ítems que dividimos en tres categorías: conocimientos ambientales, conocimientos en educación ambiental y actitudes ambientales.
La categoría de Educación Ambiental tiene el objetivo de conocer cuan informados están los alumnos acerca del concepto de la Educación Ambiental y de si es o no el correcto, dado que la Educación Ambiental es una de las salidas profesionales.
La categoría de Conocimientos Ambientales se recogen indicadores relacionados con conceptos relativos al medio ambiente y su relación con el ser humano, así como el conocimiento del impacto individual y social del hombre sobre el medio ambiente, conceptos básicos que presuponemos deberían tener los estudiantes de nuevo comienzo en el grado o al menos una percepción acerca de dichos conceptos.
Y por último, la categoría de Comportamiento Ambiental se corresponde con las acciones del alumno con el medio ambiente, dirigidas a cambiar aspectos del entorno, y que influyen a su vez en los conceptos, percepciones y sensibilidad que posee el individuo con el medio que le rodea.
Una vez diseñados los ítems, esta encuesta fue validada.
La validez de contenido del cuestionario se ha obtenido mediante una validación de expertos. Para ello, cinco expertos en Educación Ambiental y en metodología de investigación revisaron los cuestionarios y valoraron ítem a ítem la pertinencia y el contenido de los mismos. Las aportaciones de estos evaluadores fueron consideradas para redactar el instrumento definitivo.
4. RESULTADOS
Tras la realización de las encuestas procedemos al proceso de los análisis, interpretación y valoración de los resultados obtenidos.
Siguiendo la estructura de calificación de las escalas Likert se asignaron puntuaciones de 1 a 4 a cada una de las cuatro alternativas de respuesta de desacuerdo-acuerdo presentadas anteriormente (1. Totalmente en desacuerdo; 2. En desacuerdo; 3. De acuerdo y 4. Totalmente de acuerdo).
Partimos de que existen dos tipos de formas para analizar los datos procedentes de una escala Likert: un análisis correlacional de los ítems y un análisis basado en el criterio de consistencia interna (Cascaes da Silva et al., 2015). En nuestro caso y debido a las características tanto de la muestra, como del contexto en el que se desarrolla el estudio, hemos optado por el segundo. Por ello los resultados se han obtenido de la comparación de las puntuaciones en el ítem del grupo que tiene las puntuaciones más altas en el test (y que por lo tanto, tiene una actitud favorable), con las puntuaciones en el ítem del grupo que tiene las puntuaciones más bajas en el test (y que, por consiguiente, tiene una actitud desfavorable).
Afrontaremos también este análisis siendo conscientes que el método de Likert no permite “medir” los ítems, es decir, no ofrece estimaciones del grado de actitud que hay que tener para estar de acuerdo con un ítem. Por lo que los resultados se valorarán teniendo en cuenta lo obtenido mayoritaria y minoritariamente en los grupos clases, tanto de la línea 1, como de la línea 2.
Teniendo en cuenta lo comentado, procedemos a analizar los resultados obtenidos en el cuestionario en las dos líneas de la asignatura de ISEA, teniendo en cuenta las tres categorías expuestas anteriormente:
Conocimientos Ambientales
| Conocimiento Ambiental (Línea 1) | ||||||||||
| Preguntas | ||||||||||
| Porcentaje | 1 | 2 | 3 | 18 | 19 | 21 | 27 | 32 | Total | |
| 1 | 6,67 | 0,00 | 0,00 | 0,00 | 40,00 | 0,00 | 6,67 | 6,67 | 7,50 | |
| 2 | 6,67 | 0,00 | 0,00 | 6,67 | 20,00 | 20,00 | 53,33 | 46,67 | 19,17 | |
| 3 | 46,67 | 6,67 | 40,00 | 40,00 | 33,33 | 73,33 | 26,67 | 46,67 | 39,17 | |
| 4 | 40,00 | 93,33 | 60,00 | 53,33 | 6,67 | 6,67 | 13,33 | 0,00 | 34,17 | |
| Conocimiento Ambiental (Línea 2) | ||||||||||
| Preguntas | ||||||||||
| Porcentaje | 1 | 2 | 3 | 18 | 19 | 21 | 27 | 32 | Total | |
| 1 | 5,41 | 0,00 | 0,00 | 5,41 | 5,41 | 8,11 | 18,92 | 60,00 | 12,91 | |
| 2 | 10,81 | 5,41 | 2,70 | 10,81 | 29,73 | 18,92 | 24,32 | 26,67 | 28,67 | |
| 3 | 54,05 | 24,32 | 56,76 | 43,24 | 54,05 | 40,54 | 43,24 | 46,67 | 45,36 | |
| 4 | 29,73 | 70,27 | 40,54 | 40,54 | 10,81 | 32,43 | 10,81 | 13,33 | 31,06 | |
Observamos, por los porcentajes obtenidos, que en su totalidad, tanto en la línea 1, como en la línea 2, se han adquirido ciertos Conocimientos Ambientales, ya que se encuentran en el segundo semestre de su docencia. Las percepciones del alumnado sobre los conocimientos ambientales centran un mayor acuerdo principalmente en las respuestas a las preguntas 1, 2, 3, 18, 19, 21 y 27.
Estos conocimientos se relejan en los resultados relacionados con la definición del Medio Ambiente como el entorno natural que nos rodea con un 86,67% de los mismos en la línea 1 y un 83,78% en la línea 2 en el ítem 1(a partir de ahora se especificarán sólo los números de los ítems) del cuestionario; que, como se ve en la pregunta 2, afecta a nuestra forma de vida, destacado con un 93,33% en la línea1 y con un 70,27% en la línea 2 y que, como se expone en el 3, influye en nuestra cultura abalado por un 60% en la línea 1 y un 56,76% en la línea 2.
Otro de los aspectos que destaca el alumnado en la pregunta 18 con un 53,33% la línea 1 y un 43,24% línea 2 que ya conocen correctamente el concepto de Desarrollo Sostenible y que consideran con un 73,33% línea 1 y un 40,54% la línea 2 que la utilización de productos reciclados beneficia a la economía de los países, como vemos en el 21. Resaltar con tan sólo el alumnado de la línea 1, con un 53,33% comenta que aún necesitan un mayor conocimiento de los tipos de residuos en un futuro, respuesta al 27.
Cabe destacar que la línea 2, con un 54,05%, relaciona de manera directa la protección del Medio Ambiente como aspecto dependiente a un adecuado Desarrollo Sostenible como vemos en el 19; a diferencia de lo que se comenta en la línea 1 con un 33,33%, que no lo considera como un aspecto prioritario.
Lo que sí podríamos destacar es que en ambas líneas aparece una carencia destacada en un aspecto y es el relacionado con el 32, en la que se le plantea si el modelo económico actual se basa en el Desarrollo Sostenible. Ambos grupos están de acuerdo en que éste no es este el caso, con un 40% el alumnado de la línea 1 y con un 45,36% el de la línea.
Conocimientos en Educación Ambiental
| Educación Ambiental (Línea 1) | ||||||||||||
| Preguntas | ||||||||||||
| 6 | 10 | 11 | 12 | 20 | 30 | 31 | 37 | 39 | 40 | Total | ||
| Porcentaje | 1 | 26,67 | 0,00 | 6,67 | 0,00 | 0,00 | 26,67 | 6,67 | 6,67 | 0,00 | 0,00 | 7,33 |
| 2 | 60,00 | 33,33 | 20,00 | 6,67 | 13,33 | 66,67 | 46,67 | 20,00 | 6,67 | 0,00 | 27,33 | |
| 3 | 0,00 | 46,67 | 60,00 | 53,33 | 60,00 | 0,00 | 33,33 | 46,67 | 53,33 | 0,00 | 35,33 | |
| 4 | 6,67 | 13,33 | 6,67 | 33,33 | 20,00 | 0,00 | 6,67 | 20,00 | 33,33 | 0,00 | 14,00 | |
| Educación Ambiental (Línea 2) | ||||||||||||
| Preguntas | ||||||||||||
| 6 | 10 | 11 | 12 | 20 | 30 | 31 | 37 | 39 | 40 | Total | ||
| Porcentaje | 1 | 2,70 | 62,16 | 5,41 | 2,70 | 0,00 | 5,41 | 37,84 | 16,22 | 0,00 | 0,00 | 13,24 |
| 2 | 2,70 | 37,84 | 13,51 | 10,81 | 5,41 | 16,22 | 56,76 | 43,24 | 13,51 | 2,70 | 20,27 | |
| 3 | 51,35 | 0,00 | 56,76 | 72,97 | 35,14 | 56,76 | 5,41 | 32,43 | 59,46 | 56,76 | 42,70 | |
| 4 | 43,24 | 0,00 | 24,32 | 13,51 | 59,46 | 21,62 | 0,00 | 8,11 | 27,03 | 40,54 | 23,78 | |
En esta categoría observamos que tanto en las línea 1, como en la línea 2, los conocimientos previos que presenta el alumnado con respecto a la Educación Ambiental son mínimos, con algunos matices entre las líneas, que es lo que nos hacen relevantes algunos resultados.
Comenzamos resaltando que el alumnado de la línea 1, con un 66,67%, se inclina por respuestas relacionadas con una Educación Ambiental que principalmente debe enseñar a cuidar los recursos naturales que poseemos, planteado en el 30. Una educación que a su vez nos ayuda a comprender las relaciones que existen entre las personas y el medio que les rodea, como se destaca con un 60% del 6.
En la otra línea, en la 2, se considera, con un 53,33%, que no han recibido en su formación una educación ambiental adecuada, como se aprecia en el 12, para poder distinguir lo que es malo o bueno para el Medio Ambiente. Por ello, será a través de la EA, como se expone en el 31, como mejor conoceremos el Medio Ambiente, aspecto resaltado con un 46,67%.
En definitivo y es lo que consideramos de gran importancia, es que ambas grupos Líneas, dejan claros varios aspectos a tener en cuenta en este estudio. En primer lugar que la Educación Ambiental es una herramienta para concienciar a la población con respecto al medio ambiente que nos rodea, como se aprecia en el 20 con un 60% en la línea 1 y 59,46% en la línea 2. En segundo lugar que una persona con conocimientos sobre Medio Ambiente que visualizamos en el 11 (como es su caso, como futuros ambientólogos) puede formar a otros en Educación Ambiental destacado con un 60% en la línea 1 y un 56,76% en la línea 2. Hecho interesante a destacar son los resultados del 37, donde el 46,67% línea 1 y 32,43% línea 2, consideran que los nuevos avances tecnológicos perjudican a la educación ambiental.
Por último, y no menos importante, en el 39 se comenta que la Educación Ambiental es muy importante para conseguir el Desarrollo Sostenible, hecho que apoyan un 53,33% en la línea 1 y un 59,46% de la línea 2. Mención especial requiere la respuesta al 10 del cuestionario donde la línea 1 con un 46,67%, considera que todos tenemos una buena Educación Ambiental al contrario que el alumnado de la línea 2, con 62,16% que piensa que no todos tenemos una buena Educación Ambiental.
Comportamiento Ambiental
| Porcentaje | |||||
| 1 | 2 | 3 | 4 | ||
| Pregunta | 4 | 0,00 | 0,00 | 6,67 | 86,67 |
| 5 | 20,00 | 46,67 | 20,00 | 6,67 | |
| 7 | 0,00 | 6,67 | 60,00 | 26,67 | |
| 8 | 0,00 | 20,00 | 26,67 | 46,67 | |
| 9 | 6,67 | 0,00 | 0,00 | 86,67 | |
| 13 | 26,67 | 53,33 | 6,67 | 6,67 | |
| 14 | 33,33 | 40,00 | 13,33 | 6,67 | |
| 15 | 66,67 | 20,00 | 0,00 | 6,67 | |
| 16 | 0,00 | 0,00 | 46,67 | 46,67 | |
| 17 | 26,67 | 33,33 | 20,00 | 13,33 | |
| 22 | 0,00 | 0,00 | 33,33 | 60,00 | |
| 23 | 0,00 | 6,67 | 46,67 | 40,00 | |
| 24 | 0,00 | 13,33 | 46,67 | 33,33 | |
| 25 | 26,67 | 20,00 | 26,67 | 20,00 | |
| 26 | 0,00 | 33,33 | 33,33 | 26,67 | |
| 28 | 40,00 | 46,67 | 6,67 | 0,00 | |
| 29 | 26,67 | 33,33 | 33,33 | 0,00 | |
| 33 | 6,67 | 33,33 | 20,00 | 33,33 | |
| 34 | 6,67 | 0,00 | 46,67 | 40,00 | |
| 35 | 6,67 | 13,33 | 33,33 | 40,00 | |
| 36 | 0,00 | 6,67 | 20,00 | 66,67 | |
| 38 | 0,00 | 13,33 | 60,00 | 13,33 | |
| Total | 13,33 | 20,00 | 27,58 | 32,12 | |
| Porcentaje | |||||
| 1 | 2 | 3 | 4 | ||
| Pregunta | 4 | 0,00 | 2,70 | 29,73 | 70,27 |
| 5 | 27,03 | 51,35 | 16,22 | 5,41 | |
| 7 | 0,00 | 5,41 | 67,57 | 29,73 | |
| 8 | 0,00 | 13,51 | 29,73 | 56,76 | |
| 9 | 0,00 | 0,00 | 18,92 | 81,08 | |
| 13 | 51,35 | 35,14 | 10,81 | 2,70 | |
| 14 | 21,62 | 48,65 | 24,32 | 5,41 | |
| 15 | 81,08 | 13,51 | 2,70 | 2,70 | |
| 16 | 0,00 | 5,41 | 54,05 | 40,54 | |
| 17 | 32,43 | 51,35 | 13,51 | 5,41 | |
| 22 | 2,70 | 2,70 | 27,03 | 67,57 | |
| 23 | 5,41 | 10,81 | 35,14 | 45,95 | |
| 24 | 2,70 | 16,22 | 35,14 | 45,95 | |
| 25 | 21,62 | 29,73 | 18,92 | 32,43 | |
| 26 | 18,92 | 35,14 | 18,92 | 29,73 | |
| 28 | 54,05 | 27,03 | 16,22 | 2,70 | |
| 29 | 45,95 | 24,32 | 24,32 | 2,70 | |
| 33 | 10,81 | 18,92 | 48,65 | 21,62 | |
| 34 | 2,70 | 5,41 | 48,65 | 43,24 | |
| 35 | 8,11 | 32,43 | 29,73 | 27,03 | |
| 36 | 0,00 | 0,00 | 51,35 | 51,35 | |
| 38 | 10,81 | 35,14 | 24,32 | 27,03 | |
| Total | 18,06 | 21,13 | 29,36 | 31,70 | |
Para este caso, el tipo de respuesta a la pregunta 9 es más homogénea en ambas líneas. Ambos grupos, con 86,67% la línea 1 y un 81,08% la línea 2, consideran que les preocupa la conservación del Medio Ambiente y que el cuidado del Medio Ambiente influye en su calidad de vida destacado en el 4, con un 86,67% en la línea 1 y un 70,27% en la línea 2. Este hecho lo relaciona con el 7 en la que con un 60% la línea 1 y un 67,57% línea 2, destacan que el interés por la conservación del Medio Ambiente podría ayudar a solucionar los problemas ambientales. Pero no sólo se quedan ahí, ya que consideran con un 46,67% los de la línea 1 y un 54,05% los de la línea 2, que sus propias acciones pueden influir en la conservación del Medio Ambiente, relejado en el 16. Destacan por ello que, como se cita en el 36, aunque las costumbres influyen en el respeto hacia el medio ambiente relejado con un 66,67% en la línea 1 y 51,35% en la línea 2; consideran que ellos pueden, visto en el 34, ayudar al medio ambiente concienciando a los más cercanos, datos constados con un 46,67% en la línea 1 y un 48,65% en la línea 2.
Por otro lado cabe resaltar como se ve en el 13, que también coinciden en destacar que las grandes empresas no están influyendo protección del Medio Ambiente con un 53,33% en la línea1 y un 51,35% en la línea 2. En este aspecto exponen en el 15 que la conservación del Medio Ambiente es sólo responsabilidad del gobierno con un 66,67% en la línea 1 y 81,08% en la línea 2. Contra- dictoriamente, en el 17, ambas líneas comentan que participan muy poco en las actividades que en la conservación del Medio Ambiente se desarrollan en su propia Universidad con un 33,33% en la línea 1 y un 51,35% en la línea 2.
En los ítems relacionadas con las prácticas de reciclaje, los 24, 28 y 29 consideran, con un 46,67% la línea 1 y 45,95% la línea 2, que no sirve para nada reciclar de manera individual si la mayoría de los ciudadanos no lo hacen o no saben reciclar correctamente y que ellos, los de la línea 1 con un 33,33% y los de las línea 2 con un 245,95%, separan poco los residuos porque no saben dónde se ubican los contenedores. Pero en definitiva consideran que aportan poco reciclando si otros no lo hacen, como se aprecia en el 46,67% de la línea 1 y el 54,05% de la línea 2.
Por último destacar que el alumnado de ambas líneas, con un 60% en la línea 1 y un 67,57% en la línea 2, considera en el 22, que el sistema económico actual terminará por agotar los recursos del planeta. Incluso llegan a destacar en el 23, con un 46,67% en la línea 1 y un 45,95% en la línea 2, que todas las actividades productivas son nocivas para el Medio Ambiente. Como nota diferenciadora destacar la respuesta al 38 en la que la línea, con un 60% considera que la conservación del medio ambiente depende de cada país y la línea 2, con un 27%, piensa que no es ese el caso.
5. CONCLUSIONES
A tenor de los resultados obtenidos, consideramos que podemos establecer una primera aproximación de conclusiones del estudio realizado. Éstas no han de ser extrapoladas a otros grupos de estudio pero, aun así consideramos que nos dan pistas para tenerlas en cuenta antes de comenzar a impartir la asignatura de ISEA en estos grupos que se llevará a cabo en el Segundo Semestre. Este hecho se convertirá en una experiencia de innovación, ya que el estudio llevado a cabo, permitirá la transferibilidad hacia los propios grupos y en un proceso de autoaprendizaje.
En una segunda fase se llevarán al aula los resultados obtenidos en el cuestionario para que el alumnado pueda reflexionar y saque conclusiones de las respuestas que han ido aportando. Este hecho los ayudará a entender de manera más comprensiva el significado de la asignatura que van a construir a lo largo del Segundo Semestre. Así mismo conocerán las actitudes de los compañeros/as, hecho que les aportará distintas visiones y diversas formas de percibir la misma realidad expuesta en el cuestionario que han llevado a cabo. Sin obviar que se detecta que hay que seguir profundizando en conceptos aún no suficientemente aclarados ni procesados.
Daremos a conocer que ellos/as, como alumnado de primer curso ya perciben que han adquirido unos primeros Conocimientos Ambientales centrados principalmente en conceptos relativos al medio ambiente y su relación con el ser humano, así como el conocimiento del impacto individual y social que ellos/as ejercen en el medio que les rodea.
Comentaremos que con respecto a la categoría de Educación Ambiental, consideran que aún no están suficientemente informados acerca del concepto de la Educación Ambiental y de si es o no correcto lo que perciben, a pesar de la importancia que le conceden. Lo que sí tienen claro es que consta como una de sus salidas profesionales pero aún no saben cuál de ellas les implica. Este he- cho nos da información para saber cómo abordar la oferta del grado. Lo que nos lleva a preguntarnos si debería hacerse mayor hincapié en la materia, teniendo en cuenta que, algunos ítems, nos proporcionan, también, el nivel que el alumnado posee acerca de los conceptos y objetivos que persigue la Educación Ambiental así como el conocimiento adquirido durante la enseñanza que han recibido con anterioridad.
Con ello, se vuelve a resaltar el valor e importancia que conceden a la Educación Ambiental como medio de sensibilización y como una herramienta de conocimiento del entorno, necesaria para el Ambiente y el Desarrollo Sostenible.
Por último, proporcionaremos al alumnado la información sobre las percepciones que aparecen en el trabajo sobre el Comportamiento Ambiental, es decir, sobre las acciones que ellos y ellas tienen con respecto al medio ambiente. Acciones que en definitiva deberían ir destinadas a la mejora del entorno y que, aunque perciben que es necesario, todavía se denota un mínimo grado de sensibilidad o empatía del alumno con el medio que le rodea. Este hecho queda patente, pues ellos mismos reconocen que aun sabiendo que en su propia Universidad se realizan actividades relacionadas con la temática ambiental el nivel de participación en las mismas es aún muy escaso. Manifiestan que éstas, deben también llevarse a cargo por otras instituciones: el propio Estado, en su caso. Lo que nos lleva a defender que la Educación Ambiental debe estar inserta en todas las acciones y políticas previas a la universidad.
Como exponen (Malu, Freire y Navarro, 2016), la actitud se refiere a una disposición frente a una experiencia que influye en la conducta del individuo. Esta disposición afectiva y racional se manifiesta en los comportamientos, por ello tienen un componente conductual o comportamiento, rasgos afectivos y una dimensión cognitiva no necesariamente consciente (Barón, 2005). Las actitudes que devengan de nuestro trabajo, serán consideradas como una disposición o tendencia personal relativamente duradera frente a distintas situaciones, personas u objetos actitudinales (Navarro et al., 2015).
En la misma línea y siguiendo a Navarro, Vaccarezza, González y Catalán (2015), la enseñanza de actitudes y valores nos ayudará a proponer estrategias de enseñanza distintas a las utilizadas convencionalmente en Educación Superior (Amador, Mateos y Esteban, 2017).
Es por ello que consideramos que habrá que relacionar las actitudes a desarrollar con los contenidos impartidos en los programas de las asignaturas, así como a la propia realidad individual del estudiante, de sus tendencias actitudinales frente al medio ambiente e intentar modificar sus actos. Lo anterior nos permitirá tener la posibilidad de lograr cambios a nivel afectivo, conductual y cognitivo respecto al medio ambiente de los sujetos, mediante la implementación de un proyecto de educación ambiental.
Finalizamos, no sin dejar constancia de la importancia de la innovación realizada principalmente, con el seguimiento del profesorado mencionado, ya que con este tipo de estudios el alumnado aprender a entender mejor la asignatura e incluso ayudar a que la entiendan mejor sus compañeros/as. Comentar que en la actualidad se sigue llevando a cabo el mismo estudio, por nuevos compañeros/as que realizan sus TFG en la misma Facultad para seguir ampliando y aclarando conceptos que nos ayuden a seguir dando sentido a la Educación Ambiental en el Grado de Educación Ambiental, como uno de los pilares fundamentales en la lista de sus salidas profesionales. Todo esto para seguir apostando por el proceso de investigación-acción para y en la gestión educativa de Educación Ambiental como elemento y medio para conseguir una mayor conciencia ética en el ámbito ambiental.
Referencias
Ajzen, I., y Fishbein, M. (1980). Belief, Attitude, Intention, and Behavior: An Introduction to heory and Research. Reading, MA: Addison-Wesley.
Ajzen, I. (1985) From intentions to actions: A theory of planned behavior. In: J. Kuhl, & J. Beck- man (Eds.), Action control: From cognition to behavior (pp. 11-39). Heidelberg: Springer.
Allport, G. (1968). La personalidad. Su coniguración y desarrollo. Albacete: Perder.
Amador, L ., Mateos, F., y Esteban, M. (2017). La educación como medio para la inclusión social entre culturas. (Los valores sociales de los jóvenes ceutís de cultura cristiana y musulmana). Pedagogía social: revista interuniversitaria, 29, 67-80.
ANECA (2004). Libro Blanco del Título de Grado en Ciencias Ambientales. Madrid: Universidad de Alcalá.
Barón, R. (2005). Psicología social. México: Pearson.
Benayas, J (2002). La ambientalización de los campus universitarios: el caso de la Universidad Autónoma de Madrid. Ecosistemas: Revista científica y técnica de ecología y medio ambiente, 11, 3.
Bergen (2005). Reunión de Ministros Europeos en Bergen. Recuperado de http://www.uma.es/ eees/images/stories/conferencia_de_bergen.pdf
Berlín (2003). Educación Superior Europea. Comunicado de la Conferencia de Ministros respon- sables de la Educación Superior, mantenida en Berlín el 19 de Septiembre de 2003. Recuperado de http://www.eees.es/pdf/Berlin_ES.pdf
Bolonia (1999) Declaración conjunta de los Ministros Europeos de Educación. Recuperado de http://www.educacion.gob.es/boloniaensecundaria/img/Declaracion_Bolonia.pdf
Campbell, D. (1963) Social attitudes and other acquired behavioral dispositions. In S. Koch (Ed.), Psychology: A study of a science (pp. 94-172). New York: McGraw-Hill.
Campos, M, Pasquali, C., y Peinado, S. (2008). Evaluación psicométrica de un instrumento de medición de actitudes pro ambientales en escolares venezolanos. Paradigma, 29(2):135-153
Calvo, S., y Corraliza, J.A (1994). Educación Ambiental. Conceptos y propuestas. Madrid: CCS.
Cascaes da Silva1, F., Gonçalves, E., Valdivia Arancibia1, B., Graziele Bento1, G., Da Silva Cas- tro1, T., Soleman Hernandez, S., y Da Silva1, R. (2015). Rev. Peru Med Exp Salud Publica, 32(1), 129-138.
Chalco, B. (2012). Actitudes hacia la conservación del ambiente en alumnos de secundaria de una institución educativa de ventanilla. (Tesis para optar el grado académico de Maestro en Educación Mención en Aprendizaje y Desarrollo Humano). Recuperado de http://repositorio.usil.edu. pe/bitstream/123456789/1132/1/2012_Chalco_Actitudes-hacia-la-conservación-del-ambien- te-en-alumnos-de-secundaria-de-una-institución-educativa-de-Ventanilla.pdf
Colás, P., y Buendia, L. (1992). Investigación Educativa. Alfar: Sevilla.
Cronbach, L. J. (1951). Coeicient alpha and the internal structure of tests. Psychometrika, 16, 297-334
CRUE (2005). Directrices para la introducción de la Sostenibilidad en el Curriculum Documento aprobado por el Comité Ejecutivo del Grupo de Trabajo de Calidad Ambiental y Desarrollo Soste- nible de la CRUE, celebrado en Valladolid el 18/04/2005. Documento aprobado por Asamblea General CRUE el día 27/10/2005.
Cuello, A (2003). Problemas Ambientales y Educación Ambiental en la Escuela. Centro Nacional de Educación Ambiental. Recuperado de http://www.mapama.gob.es/es/ceneam/articulos-de-o- pinion/2003_03cuello_tcm7-53015.pdf
Eagly, A., y Chayken, S. (1993). he psychology of attitudes. Fort Worth, TX: Harcourt Brace Jo- vanovich College Publishers.
Esteban Ibáñez, M., y Amador Muñoz, L. (2017). Modificación de conductas ambientales desde el aprendizaje basado en proyectos. MoleQla: Revista de Ciencias de la Universidad Pablo de Olavide, 25, 23-25.
Esteban, M., Amador, L., y Mateos, F. (2017). Attitudes of University Students towards the Envi- ronment: Environmental Education and Innovation. Revista de Humanidades, 31, 17-38.
Escalante, E., Repetto, A., y Martinelle, A. (2012). Exploración y análisis de la actitud hacia la estadística en alumnos de psicología Liberabit. Revista de Psicología, 18, 1, 15-26.
Espacio Europeo de Educación Superior (2010). La Integración del Sistema Universitario Español en el Espacio Europeo de Enseñanza Superior Documento-Marco. Recuperado de http://www.eees. es/pdf/Documento-Marco_10_Febrero.pdf
Febles, M. (2001). Hacia un enfoque holístico del Medio Ambiente desde la Psicología Ambiental. Facultad de Psicología: Universidad de La Habana.
Fishbein, M., y Ajzen, I. (1975). Belief, Attitude, Intention, and Behavior: An Introduction to heory and Research. Reading, MA: Addison-Wesley.
Gaduino, E., y Arias, M. A. (2009). La educación ambiental institucionalizada: actos fallidos y ho- rizontes de posibilidad. Perfiles Educativos Vol. XXXI, 124. Recuperado de http://www.mapama. gob.es/es/ceneam/articulos-de-opinion/2009_11gaudiano_arias_tcm7-141772.pdf
Gairín, J., y otros (1985). Organització de centres. Barcelona: Graó.
Gairín, J. (1987). Algunas propuestas relativas al cambio de actitud hacia las matemáticas. Ense- ñanza de las Ciencias. Revista de Investigación y Experiencias Didácticas, Vol. 5, Nº Extra 1, (Ejem- plar dedicado a: II Congreso Internacional sobre investigación en la didáctica de las Ciencias y de las Matemáticas), 357-358
González Lucini, F. (1992). Educación en valores y diseño curricular. Madrid: Alhambra
Katz, D., y Scotland, E. (1959). A preliminary statement to a theory of attitude structure and change. In S. Koch (Ed.). Psychology: A study of a science (pp. 423-475). New York: McGraw-Hill.
Lamberth, J. (1980). Psicología Social. Madrid: Pirámides.
Leuven (2009). Declaración de Bolonia-Lovaina 2009, de los Ministros Europeos de Educación. Recuperado de http://www.noviasalcedo.es/eu/declaracion-de-bolonia-lovaina-2009-de/
Londres (2007). Towards the European Higher Education Area: responding to challenges in a globa- lised world. http://www.eees.es/pdf/London_Communique18May2007.pdf
Malu, F., Freire, J., y Navarro, G. (2016).Desarrollo de actitudes favorables hacia las competencias genéricas en un curso de la carrera de Kinesiología. Revista de Estudios y Experiencias en Educa- ción, 15 (28), 71 - 91.
Martín Sosa, et al. (1998). La Educación Ambiental en las Licenciaturas de Ciencias Ambientales. En Actas del Congreso Internacional de Educación Ambiental, celebrado en Salamanca. Septiembre de 1997.
Martínez, R. (2007) La investigación en la práctica educativa: Guía metodológica de investigación para el diagnóstico y evaluación en los centros docentes. Ministerio de Educación y Ciencia.
Melero, L., y Buz, J. (2002). ¿Existen realmente los estereotipos en los adolescentes hacia los adultos, los mayores y los muy mayores? Imserso, Memoria Técnica, no publicada.
Ministerio de Educación (2011). Real Decreto 1791/2010, de 30 de diciembre, por el que se aprueba el Estatuto del Estudiante Universitario.
Navarro, G., Vaccarezza, G., González, M.G., y Catalán, R. (2015). Construcción de conocimiento en educación superior: Educacion de compentencias genéricas en la Universidad de Concepción, Chile. Concepción: Sello editorial Universidad de Concepción.
Praga (2001). Hacia el Área de la Educación Superior Europea. Declaración del encuentro de los Ministros Europeos en funciones de la Educación Superior en Praga, 19 de mayo del 2001. Recuperado de http://www.eees.es/pdf/Praga_ES.pdf
Rokeach, M. (1968). Beliefs, attitudes, and values: A theory of organization and change. San Fran- cisco: Jossey-Bass.
Oliden, P. E., & Zumbo, B. D. (2008). Coeicientes de iabilidad para escalas de respuesta categó- rica ordenada. Psicothema, 20(4), 896‐901.
Pérez Serrano, G. (2002). Estrategias de Intervención Socia. En: M. A. Murga Menoyo: Escenarios de Innovación e Investigación educativa. Madrid: Universitas.
Rosenberg, M., y Hovland, C. (1960) Cognitive, afective and behavioral components of attitudes. En C.I. Hovland y M.J. Rosenberg (eds), Attitude Organization and Change, New Haven: Yale University Press.