Investigación
Recepción: 12 Septiembre 2017
Aprobación: 18 Diciembre 2017
DOI: https://doi.org/10.21703/rexe.20181733mescobar6
Resumen: Con el desarrollo de las evaluaciones sabemos más sobre el logro académico, pero sabemos muy poco sobre el contexto en que obtienen los aprendizajes, y en menor medida se conoce el bienestar de los estudiantes mientras asisten a la escuela. El objetivo del estudio fue evaluar la calidad de vida escolar de los estudiantes de tercer grado de secundaria en Baja California. Se seleccionaron a 14.545 estudiantes que asistían a escuelas secundarias privadas, generales, telesecundaria y técnicas de todos los municipios del estado, que se encontraban inscritos en el ciclo escolar 2014-2015, en los turnos matutino, discontinuo, vespertino y nocturno. El instrumento que se utilizó contó con 41 reactivos, los cuales exploraron la satisfacción general de los estudiantes con la escuela, su percepción sobre los sentimientos positivos y negativos que les provoca la escuela, las relaciones entre sus compañeros, su nivel de diversión en la escuela y las oportunidades que ofrece la escuela. Se realizaron análisis descriptivos para caracterizar a los evaluados. Los resultados muestran que los estudiantes con mayor calidad de vida escolar tienen 13 años o menos, asisten a escuelas privadas, se encuentran inscritos en el turno vespertino y piensan abandonar la escuela porque no les interesa seguir estudiando.
Palabras clave: Educación, Desigualdad Social, Bienestar, Calidad de Vida.
Abstract: Due to the development of evaluation techniques we know more about academic achievements; however, we know very little about the context in which learning is obtained, and to a lesser extent, the wellbeing of students while they attend school. The objective of the study was to evaluate the quality of school life of students attending the third year of secondary school in Baja California. There were 14,545 students selected who attended diferent kinds of secondary schools (private, general, telesecundaria, and secondary technical schools) from all the municipalities of the state; and who were enrolled in the school year 2014-2015 in the morning shifts as well as in discontinuous, afternoon, and night classes. The assessment tool used consisted of 41 questions which examined the general satisfaction level of the students with school, their perception about the positive and negative feelings that school causes them, the relationships between their classmates, their level of fun at school and the opportunities that the school ofers. Descriptive analyses were carried out to characterize the students. The results show that students with a higher quality of school life are 13 years old or less, they attend private schools, they are enrolled in afternoon classes, and they intend to leave school because they are not interested in further study.
Keywords: Education, Social Inequality, Wellbeing, Quality of Life.
1. INTRODUCCIÓN
Desde el momento de aparición del concepto de calidad de vida escolar existen problemas en su definición, las dimensiones que lo comprenden, su medición, los factores que influyen en él y la diferenciación con otros conceptos como satisfacción y bienestar (Haas, 1999; Mikkelsen, 2007; Dupuis, Roberge y Lemany, 2003, citados en Urzúa y Caqueo-Urízar, 2012).
Complementando lo anterior, Gómez-Vela y Verdugo (2004) mencionaron que las investigaciones sobre calidad de vida escolar en adolescentes no han sido tan abundantes, en comparación con el estudio de la calidad de vida en la población adulta o la calidad de vida relacionada con la salud (Corrales, Tadón y Cueto, 2000; Cuevas, 2004; Basu, 2004; Botero y Pico, 2007; Fernández-López, Fernández-Fidalgo y Cieza, 2010; De Souza, Duarte y Luiz, 2015). Lo que ha provocado una carencia de acercamientos teóricos al concepto de calidad de vida en la adolescencia (Gilman y Huebner, 2000; Huebner, 1997; Huebner, Drane y Valois, 2000, citados en Gómez-Vela y Verdugo, 2004).
En cuanto a las dificultades metodológicas se ha encontrado que existen pocos instrumentos que evalúan la calidad de vida de los adolescentes, por lo que es difícil para los investigadores seleccionar el instrumento más apropiado, y que aparte tenga las propiedades psicométricas básicas (Gómez-Vela, s. f.; Gómez-Vela y Verdugo, 2004; Davis et al., 2006). Por lo tanto, desde la década de los 70, se ha hecho evidente la necesidad de construir instrumentos confiables y válidos para utilizarlos en futuras investigaciones sobre la calidad de vida escolar (Epstein y McPartland, 1976). Además, existen instrumentos que no están disponibles en el idioma español o no son apropiados para su uso (Ghotra, McIsaac, Kirk y Kuhle, 2016) en el contexto de la educación secundaria del país.
Un segundo problema a abordar es acerca de la educación secundaria en el contexto mexicano. De acuerdo con Zorrilla (2004), en México la educación básica, en particular la educación secundaria, es un tema de investigación complejo, debido a que dicho nivel educativo posee problemáticas particulares a los otros niveles. Una de estas problemáticas, es que a pesar de los esfuerzos por parte del Gobierno Mexicano por realizar Reformas Constitucionales, para brindar a los ciudadanos una educación de calidad, que les permita desenvolverse en una sociedad competitiva y global, estos esfuerzos no han sido suficientes para incrementar el logro educativo, ya que de acuerdo a los resultados de pruebas internacionales (PISA, 2012) y nacionales (PLANEA, 2015), la mayoría de los estudiantes de secundaria obtienen puntajes bajos.
Aunado a lo anterior, cabe resaltar que la educación secundaria en México se imparte en la etapa de la adolescencia. Justo en esta etapa de la vida surgen cambios a nivel individual e interpersonal, que pueden afectar el bienestar general que perciben los jóvenes (Arnett, 1999; Collins, 1991; Gilman y Huebner, 2000; Petito y Cummins, 2000, citados en Gómez-Vela y Verdugo, 2004). Por ejemplo, se ha encontrado que variables como autoconcepto y autoestima, relaciones con el sexo opuesto o aceptación en un grupo de iguales, influyen de manera considerable, ya sea de forma positiva o negativa, en el bienestar experimentado en esta etapa (Dew y Huebner, 1994; Dryfoos, 1990; Gullone y Cummins, 1999; Hawkins, Hawkins y Seeley, 1992; Leung y Leung, 1992; Neto, 1993; Raphael, Rukholm, Brown, Hill-Bailey y Donato, 1996; Terry y Huebner, 1995, citados en Gómez-Vela y Verdugo, 2004).
Además, la falta de formación de los docentes para atender las problemáticas propias de la adolescencia, como cambios físicos y emociones, y la actualización continua que se requiere para abordar los cambios curriculares que se presentan con las reformas educativas, traen como consecuencia mayores retos y desafíos (Sandoval, 2007).
Ante el panorama que presenta la educación secundaria en México, se requiere de investigaciones que contribuyan a dar soluciones eficientes y efectivas que aporten a la calidad de la educación. Ya que, a partir de distintas investigaciones y evidencias empíricas en otros países el estudio de la calidad de vida escolar es relevante para comprender las condiciones del entorno escolar y determinar cómo influyen en los sentimientos de bienestar y satisfacción de los estudiantes. Por tal motivo, se deben buscar estrategias y realizar investigaciones al respecto, para mejorar el bienestar y la calidad de vida de los estudiantes en su entorno escolar (Aguilar, Álvarez y Lorenzo, 2011). Dichos resultados pueden proporcionar información valiosa que contribuya a la construcción de la educación de calidad, por lo que sería pertinente evaluarla.
2. DESARROLLO
La calidad de vida escolar percibida por los estudiantes ha sido un objeto de estudio en las investigaciones educativas de las últimas cinco décadas (Epstein y McPartland, 1976; Lunenburg y Schmidt, 1988; Linnakylä, 1996; Pang, 1999a, 1999b; Karatzias, Power y Swanson, 2001; Weintraub y Bar-Haim, 2009; Thien y Razak, 2012; Aliyev y Tunc, 2015). Siendo la escuela un lugar donde los estudiantes dedican una parte importante de su tiempo, la calidad de vida escolar influye en su propia calidad de vida (Epstein y McPartland, 1976; Lunenburg y Schmidt, 1988; Pang, 1999a, 1999b; Weintraub y Bar-Haim, 2009; Ghotra et al., 2016). Además, en la literatura revisada, se encontró que la calidad de vida escolar está relacionada con la motivación académica (Karatzias et al., 2001; Mok y Flynn, 2002; Goodenow y Grady, 1993; Murray-Harvey, 2010; Wang y Holcombe, 2010, citados en Ghotra et al., 2016) y la permanencia de los estudiantes en la escuela (Epstein y McPartland, 1976; Lunenburg y Schmidt, 1988; Ainley, Foreman y Sheret, 1991, citados en Ghotra et al., 2016). A continuación se describen algunas investigaciones y aportaciones realizadas en diferentes países del mundo.
En la década de 1970 el concepto de calidad de vida se asociaba con la satisfacción, bienestar y sentimientos positivos hacia la participación social (Lunenburg y Schmidt, 1988). Sin embargo, las investigaciones se centraban únicamente en adultos (Flanagan, 1975; McCall, 1975; Agencia de Protección Ambiental de los Estados Unidos, 1973, citados en Lunenburg y Schmidt, 1988). Al ser la satisfacción un componente clave se comenzó a incorporar en el contexto educativo, ya que se determinó que la satisfacción del estudiante en el ambiente escolar era una variable importante en el éxito académico. Por lo tanto, se hizo evidente la necesidad de construir instrumentos fiables y válidos para utilizarlos en las futuras investigaciones de este tema (Epstein y McPartland, 1976).
En 1976, Epstein y McPartland fueron los primeros en definir el concepto de calidad de vida escolar, el cual lo construyeron a partir de tres dimensiones (a) satisfacción hacia la escuela; (b) compromiso con el trabajo escolar (nivel de interés en el trabajo impulsado por las oportunidades educativas ofrecidas a los estudiantes); y (c) las actitudes de los estudiantes hacia los docentes. El instrumento que utilizaron fue he Quality of School Life Scale (QSL), el cual se aplicó a estudiantes de primaria, secundaria y preparatoria. En dicho estudio se encontró que la satisfacción, el compromiso escolar y las relaciones positivas entre estudiantes y docentes, aumentaban la permanencia de los estudiantes en la escuela, ya que significaba horas más agradables y estimulantes dentro del ambiente escolar, mayor motivación y salud mental. El QSL pretendía extender el alcance de los indicadores sobre la calidad de la educación. Además se usó en investigaciones y evaluaciones a gran escala para monitorear problemas y progresos de los estudiantes en las escuelas o programas educativos para influir en las decisiones de política educativa (Epstein y McPartland, 1976).
A partir de la década siguiente la calidad de vida escolar se empezó a estudiar en el contexto australiano. Williams y Batten (1981, citados en Pang, 1999a) propusieron un modelo acerca de los puntos de vista de los estudiantes sobre su calidad de vida escolar. El modelo distinguió entre dominios generales y específicos. Entre los dominios generales incluyeron la satisfacción y las reacciones negativas (afecto negativo) hacia la escuela; y entre los específicos las relaciones docente-estudiante, la integración social (relaciones de los estudiantes con sus compañeros de clase), las creencias acerca de la relevancia de su escolaridad (oportunidad), los sentimientos hacia tener éxito en el trabajo escolar (logro), y la auto-motivación en el aprendizaje (aventura).
Una vez más, en Estados Unidos se retomó el estudio de la calidad de vida escolar. Lunenburg y Schmidt (1988) agregaron la ideología de los docentes y el comportamiento de control hacia los estudiantes como variables importantes relacionadas con la calidad de vida escolar. En ese estudio se tomó como base conceptual las tres dimensiones propuestas por Epstein y McPartland (1976). La investigación recurrió a tres instrumentos previamente utilizados y validados (a) he Pupil Control Ideology (PCI) form de Willower, Eidell y Hoy (1973; citados en Lunenburg y Schmidt, 1988); (b) he Pupil Control Behavior (PCB) form de Helsel y Willower (1974; citados en Lunenburg y Schmidt, 1988); y (c) la escala Quality of School Life (QSL) de Epstein y McPartland (1976). Estos instrumentos se aplicaron a docentes y estudiantes de escuelas primarias y secundarias.
Linnakylä en 1996 se realizó un estudio para evaluar y conocer la calidad de vida escolar de estudiantes finlandeses de 14 años de edad y comparar los resultados con estudiantes de Alemania, países nórdicos −Islandia, Noruega y Dinamarca− y Estados Unidos (Linnakylä, 1996). En ese trabajo se definió la calidad de vida escolar como el bienestar general y satisfacción, desde el punto de vista de las experiencias positivas y negativas que vivían los estudiantes en la escuela. Linnakylä (1996) encontró que la calidad de vida escolar en los países nórdicos y en Estados Unidos era mayor que en Alemania y Finlandia. A partir de esta investigación se pudo identificar que, por un lado, se había hecho bastante por lograr altos estándares académicos de aprendizaje (Keeves, 1993, Linnakyla, 1993, Linnakyla y Sari, 1993, Elley, 1994, citados en Linnakylä, 1996), por otro lado, que el ambiente escolar era deprimente y existía insatisfacción en los estudiantes, lo cual trajo como consecuencia nuevos retos para los investigadores y los tomadores de decisión en materia de política educativa de Finlandia.
Posteriormente, el concepto de calidad de vida escolar se midió y evaluó en estudiantes de educación primaria en Hong Kong (Pang, 1999a). La base teórica que se empleó fue el modelo australiano de Williams y Batten (1981, citados en Pang, 1999a) sobre la calidad de vida escolar. Se utilizó el cuestionario Quality of School Life (QSL) desarrollado en Australia y se adaptó al contexto de Hong Kong. El estudio concluyó que investigar y considerar las opiniones de los estudiantes promovía la calidad de la educación, también se encontró que impulsar las relaciones positivas entre docente y estudiante era la forma más efectiva de mantener y asegurar la calidad de vida escolar.
A inicios del siglo XXI en Escocia, Karatzias et al. (2001) se refirieron a la calidad de vida escolar como un sentido general del bienestar del estudiante, determinado por factores relacionados con la escuela y experiencias educativas resultantes del compromiso de los estudiantes en la vida escolar y su participación en el clima escolar. Una aportación del estudio fue la aclaración que las definiciones de calidad de vida escolar eran aplicables únicamente al nivel educativo que se estudiaba en cada investigación, ya que los estudiantes de distintos niveles educativos tienen necesidades particulares (Newcomb, Bentler y Collins, 1986, citados en Karatzias et al., 2001). El instrumento que se utilizó fue The new Quality of School Life Scale, aplicado a estudiantes de 14 años de edad de escuelas secundarias.
En el estudio se encontró que la calidad de vida escolar se correlacionaba negativamente con los niveles de estrés, y hubo una relación positiva entre la calidad de vida escolar, autoestima y bienestar del individuo. En el estudio también se indicó que la calidad de vida escolar se asociaba con factores externos a la escuela. Además, los autores propusieron que los resultados de la nueva escala QSL se podían estudiar en relación con el rendimiento y problemas escolares como el acoso escolar. Los investigadores sugirieron que futuros estudios deberían incorporar los factores de personalidad, ya que hasta ese momento, la literatura carecía de investigaciones en esa área. Asimismo, ese análisis facilitaría la comprensión de más factores que aumentan o disminuyen los niveles de la calidad de vida escolar. Igualmente, en las conclusiones del estudio se mencionó que a través de los resultados de la aplicación de la escala se podrían identificar las áreas escolares que requerían mejoras (Karatzias et al., 2001).
Años más tarde Weintraub y Bar-Haim (2009) crearon un cuestionario sobre calidad de vida escolar en estudiantes de primaria. Para construir el instrumento se basaron en el modelo biopsicosocial de la Organización Mundial de la Salud (OMS) y en la definición propuesta por los autores Malin y Linnakyla (2001, citados en Weintraub y Bar-Haim, 2009). A partir de esa postura, en el cuestionario Quality of Life at School (QoLS) se consideraron los sentimientos de bienestar y satisfacción hacia la escuela, experiencias positivas y negativas en ese contexto, relaciones docentes-estudiantes y, a diferencia de las investigaciones pasadas, se abordó la satisfacción con el entorno físico. En ese momento la promoción del bienestar y la calidad de vida de los estudiantes era uno de los principales desafíos a los que se enfrentaban los equipos educativos y de salud (OMS, 2007, citado en Weintraub y Bar-Haim, 2009). Sin embargo, existían pocas medidas para evaluar las percepciones de los estudiantes sobre su calidad de vida en la escuela. Por lo tanto, el estudio pretendió dar una explicación del desarrollo del cuestionario y su proceso de validez.
Weintraub y Bar-Haim (2009) confirmaron que el concepto de calidad de vida escolar incluía una variedad de factores asociados al concepto. Además, estos factores en conjunto, delimitaban la construcción de la calidad de vida escolar en relación con el bienestar y la satisfacción de los estudiantes desde el punto de vista de sus experiencias positivas y negativas en actividades de la escuela. Conjuntamente, el análisis indicó que el ambiente físico podía influir en el bienestar de los estudiantes (Konu y Rimpela, 2002; Weinstein, 1979; Ziviani y Muhlenhaupt, 2006, citados en Weintraub y Bar-Haim, 2009).
En 2012, Thien y Razak realizaron un estudio para explicar la influencia que tiene el afrontamiento académico, la calidad de la amistad y el compromiso sobre la calidad de vida escolar de los estudiantes de secundaria en Malasia. Ellos desarrollaron su propio instrumento, el cual fue sometido a un proceso de validación psicométrica de los constructos considerados en el mismo. A continuación se describen el afrontamiento académico, la calidad de la amistad y el compromiso del estudiante.
El afrontamiento académico lo definieron como un conjunto de estrategias emocionales y conductuales de autorregulación de los estudiantes en respuesta al estrés generado en el entorno académico. La calidad de la amistad la refirieron al conjunto de cuatro subdimensiones (a) cercanía (nivel de apego en la amistad); (b) ayuda (ayuda mutua entre los participantes dentro de la amistad); (c) aceptación (grado en que un estudiante sea aceptado social o emocionalmente por amigos de la escuela); y, (d) seguridad (nivel de confianza entre los amigos). El compromiso estudiantil lo conceptualizaron a partir de tres subdimensiones (a) participación del estudiante (involucramiento del estudiante en actividades académicas y no académicas de la escuela); (b) sentido de pertenencia (percepción que siente el estudiante de ser aceptado por sus profesores y pares); y, (c) autorregulación (esfuerzos que el joven ejerce sobre sí mismo para asegurar el éxito de su aprendizaje) (Thien y Razak, 2012).
El concepto de calidad de vida escolar lo construyeron utilizando tres dimensiones (a) relevancia (medida en que los estudiantes perciben la escuela como un lugar de oportunidades para adquirir conocimiento para su futuro); (b) construcción del carácter (percepción del estudiante sobre la influencia que ejerce la escuela en el desarrollo de su carácter en cuatro aspectos: físico, emocional, espiritual e intelectual); y, (c) entorno (percepción del ambiente dentro del aula que ayuda a su rendimiento académico). El estudio aportó nuevas variables y un instrumento para medirlas. Además, se esperaba que la investigación contribuyera a reconocer la calidad de vida escolar como un concepto básico en la mejora del ambiente escolar (Thien y Razak, 2012).
Por otro lado, en Turquía se realizó una investigación con el objetivo de evaluar si la percepción de la calidad de vida escolar y el sentido de pertenencia a la escuela diferían en los estudiantes de escuelas públicas y privadas, por género y nivel de educación de los padres. Los participantes del estudio fueron estudiantes de sexto, séptimo y octavo grado de escuelas primarias en la provincia de Gaziantep durante el ciclo escolar 2011-2012. Los datos fueron recolectados mediante el uso de dos escalas Quality of School Life Scale (Sari, 2007, citado en Aliyev y Tunc, 2015) y School Sense of Belonging Scale (SSBS). Como resultado de la investigación, se pudo afirmar que la calidad de vida escolar y el sentido de pertenencia estaban relacionados con el tipo de escuela, género y niveles educativos de los padres, ya que hubo diferencias significativas entre esas variables (Aliyev y Tunc, 2015).
3. DISEÑO METODOLÓGICO
3.1 Participantes
La población objetivo que participó en el presente estudio estuvo conformada por los estudiantes de tercer grado de secundaria inscritos en el Sistema Educativo Estatal (SEE) de Baja California en el ciclo escolar 2014-2015. Para determinar el número de escuelas que participarían en la muestra se consideró que la selección fuera probabilística, por conglomerados, estratificada y con probabilidades proporcionales al tamaño del centro escolar, con un nivel de confianza del 95% y con un margen de error de ± 2.5. Este diseño muestral permitió la representatividad por municipio, modalidad educativa y turno. Se estimó en 90 el tamaño de las escuelas muestreadas, mismas que incluían a 505 grupos y un total de 14.545 estudiantes. En la tabla 1 se muestra la distribución de los estudiantes por edad, sexo, municipio, modalidad y turno.


3.2 Instrumento
Con el fin de crear el instrumento que evaluará la calidad de vida escolar, se interconstruyó una escala a partir de los instrumentos revisados en la literatura. El cual evaluaba la satisfacción del estudiante con la escuela en general, la percepción de los estudiantes sobre los sentimientos positivos y negativos que les provoca, las relaciones entre sus compañeros, su nivel de diversión en la escuela y las oportunidades que ofrece la escuela. El número de ítems de la escala es 41. Se trata de una escala tipo Likert con cuatro opciones de respuesta que son: de acuerdo, parcialmente de acuerdo, parcialmente en desacuerdo y en desacuerdo. La vía de aplicación del instrumento fue a lápiz y papel.
3.3 Procedimiento de aplicación
Consistió en dos etapas. La primera consistió en el pilotaje al aplicar el instrumento a 254 estudiantes de tercero grado de una secundaria técnica pertenecientes al municipio de Ensenada. A partir de los resultados del pilotaje, se realizaron pruebas psicométricas al instrumento con el in de obtener evidencias de confiabilidad y validez de la prueba. Asimismo, se llevaron a cabo las modificaciones pertinentes al instrumento. La segunda etapa residió en la aplicación a gran escala del instrumento, es decir, se evaluó a 14.545 estudiantes de los cinco municipios de Baja California.
3.4 Análisis de datos
Se utilizó el paquete estadístico Statistical Package Social Science (SPSS) para realizar los análisis descriptivos. Estos consistieron en elaborar tablas de contingencia para relacionar los resultados de la escala con algunas variables sociodemográficas de los estudiantes y las variables de identificación de la escuela (turno, modalidad, municipio de pertenencia, entre otras). Para la construcción de las tablas de contingencia se consideró el puntaje observado y el porcentaje que correspondía a cada variable dependiente. El estadístico de prueba para analizar la diferencia entre las variables fue la chi cuadrada, sólo se aceptaron las variables cuyas diferencias tenían un nivel de confianza del 95%.
4. RESULTADOS
De los 16.320 alumnos considerados en la muestra diseñada por la Unidad de Evaluación Educativa (UEE), para los análisis que se presentan sólo fueron valorados 14.545, ya que sólo este número de alumnos cumplieron con las siguientes características: (a) contestaron todos los instrumentos, (b) no presentaron patrones de copiado.
Como se mencionó la muestra fue representativa por municipio, modalidad educativa y turno. A continuación se describe la distribución de los estudiantes en relación a las variables que resultaron significativas.
• Sexo. El 50.5% de los evaluados fueron de sexo femenino, y el 49.5% masculino.
• Turno. El 68.3% del total de los evaluados pertenecía al turno matutino. Por su parte el 27.2% al vespertino, el 2.7% al intermedio, el 1.6% al completo y el 0.2% al nocturno.
• Modalidad educativa. Del total de participantes, la mayoría de los evaluados pertenecían a las modalidades de general (61.5%), seguido por las secundarias técnicas (18.1%) y privadas (13.7%). Una menor proporción de estudiantes pertenecían a telesecundarias (5.7%) o secundarias indígenas (1.0%).
• Municipio. El municipio con mayor porcentaje de evaluados fue Tijuana con el 42.0%, seguido de Mexicali con el 33.0% y Ensenada con el 18.8%. Playas de Rosarito y Tecate fueron los municipios con un menor porcentaje de evaluados, 3.4% y 2.9% respectivamente.
Como se observa en la Figura 1 los estudiantes con menor edad (13 años o menos) son los que resultaron con una mejor calidad de vida escolar, en comparación con los estudiantes de mayor edad (16 años o más), quienes se encuentran por debajo de la media de la escala (79.32). El comportamiento de la calidad de vida escolar por edad es decreciente, ya que a medida que se incrementa la edad esta tiende a disminuir.

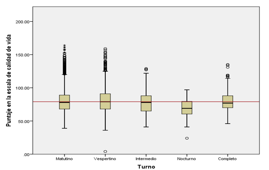
Al relacionar la calidad de vida escolar con el turno al que asisten los estudiantes se encontró que los jóvenes inscritos en el turno nocturno presentaron menor calidad de vida escolar (ver Figura 2). Resalta el hecho que la calidad de vida escolar de la mayoría de los turnos se encuentra por debajo de la media, siendo los estudiantes del turno vespertino quienes presentar el puntaje más alto.

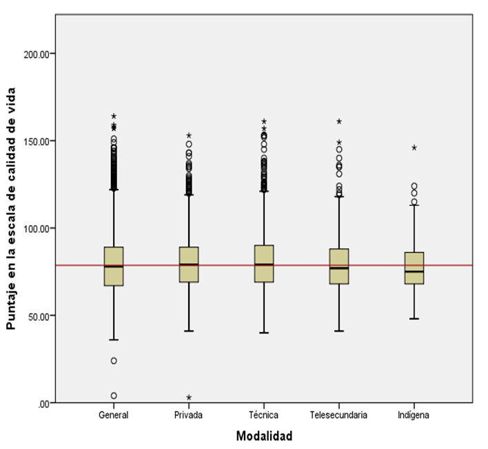
En cuanto al tipo de escuela (modalidad) se observa en la Figura 3, que los estudiantes de las escuelas privadas y técnicas tienen una mayor calidad de vida escolar que aquellos que asisten a escuelas generales, telesecundarias e indígenas. Siendo los estudiantes que asisten a estas últimas los que presentan la menor calidad de vida escolar y dispersión.

En la Figura 4 se observa que los estudiantes del municipio de Tecate presentaron una mayor calidad de vida escolar, que sus pares que asisten a escuelas de otros municipios. Los estudiantes del municipio de Ensenada mostraron el puntaje promedio más bajo.

Al preguntarles a los estudiantes si piensan dejar de estudiar, el 93% contestaron que desean continuar estudiando. El 7% restante señalaron diferentes razones para abandonar sus estudios. Cabe resaltar que los estudiantes que no piensan abandonar la escuela son los que presentan el puntaje promedio más bajo en la calidad de vida escolar y quienes piensan abandonar la escuela por razones de falta de interés, obtuvieron el puntaje promedio más alto.

5. DISCUSIÓN Y CONCLUSIONES
El estudio de la calidad de vida escolar ha sido históricamente relegado por distintas razones, una de ellas es que se consideraba a la educación como una época de preparación para la vida adulta y no como un período importante en la vida del individuo (Muntaner, 2009 y 2013). Los resultados del estudio presentado confirman la importancia de que la calidad de vida escolar de los estudiantes debe ser considerada como parte de la calidad de la educación en Baja California. El contar instrumentos y evaluaciones válidas y confiables sobre la calidad de vida escolar de los estudiantes contribuye a la formación integral de los mismos y sirve de guía hacia nuevos cambios y mejoras en el proceso enseñanza-aprendizaje (Karatzias et al., 2001). Así mismo, el Nuevo Modelo Educativo Mexicano propicia un replanteamiento sobre el bienestar de los estudiantes en la escuela (SEP, 2017), esto debe ser de interés para los investigadores y diseñadores de política educativa, que deben de ver a la educación desde una perspectiva integral que considere otros aspectos.
Con respecto a la calidad de vida escolar del estado de Baja California, se encontró que los estudiantes que asisten a escuelas telesecundarias e indígenas tienen una menor calidad de vida escolar. Este grupo de jóvenes sigue siendo invisible a las políticas educativas y marginados en la toma de decisiones sobre las condiciones de vida en general (Santos y Carvajal, 2001, Sandoval y Montoya, 2013). Es decir, son doblemente excluidos, ya que por un lado, no se les otorga las condiciones necesarias para que tengan una mejor calidad de vida, sino que además dentro de los centros escolares no cuentan con las oportunidades para lograr una buena calidad de vida escolar. Los estudiantes que asisten a las escuelas privadas y técnicas tienen una mayor calidad de vida escolar (Aliyev y Tunc, 2015), debido a que estás escuelas cuentan con talleres y actividades extraescolares en donde los estudiantes puedan elegir una que vaya de acuerdo con sus intereses. Por lo tanto, sería importante realizar una evaluación sobre la calidad de vida escolar (Lunen- burg y Schmidt 1988), y observar si está relacionada con el bajo rendimiento académico de los estudiantes y sus condiciones sociodemográicas y económicas. El introducir la evaluación de la calidad de vida escolar contribuye al conocimiento y ampliación del panorama educativo del país y de Baja California. Además, la información sería de utilidad para autoridades educativas, docentes e investigadores, y de esta forma, asegurar la efectividad de la escuela, la satisfacción escolar y la calidad educativa.
Referencias
Aguilar, J. M.; Álvarez, J., y Lorenzo, J. J. (2011). Factores que determinan la calidad de vida de las personas mayores. International Journal of Ddevelopmental and Educational Psychology, 4(1), 161-168.
Aliyev, R., & Tunc, E. (2015). The Investigation of Primary School Students’ Perception of Quality of School Life and Sense of Belonging by Diferent Variables. Revista de cercetare si interventie sociala, 48, 164-182.
Basu, D. (2004). Quality-Of-Life Issues in Mental Health Care: Past, Present, and Future. German Journal of Psychiatry, 7(3), 35-43.
Botero de Mejía, B. E., y Pico, M. E. (2007). Calidad de vida relacionada con la salud (CVRS) en adultos mayores de 60 años: Una aproximación teórica. Hacia la Promoción de la Salud, 12, 11-24.
Corrales, E.; Tardón, A., y Cueto, A. (2000). Estado funcional y calidad de vida en mayores de setenta años. Psicothema, 12(2), 171-175.
Cuevas, F. J. (2004). Percepción de la calidad de vida de los pacientes hipertensos: factores inluyentes. (Tesis de doctorado). Universidad de la Laguna, España.
Davis, E., Waters, E., Mackinnon, A., Reddihough, D., Graham, H. K., Mehmet-Radji, O., & Boyd, R. (2006). Paediatric quality of life instruments: a review of the impact of the conceptual framework on outcomes. Developmental Medicine & Child Neurology, 48, 311-318.
De Souza, T.; Duarte, M. B., y Luiz, F. (2015). Gingivitis and oral health-related quality of life: a systematic literature review. Brazilian Dental Science, 18(1), 7-16.
Epstein, J. L., & McPartland, J. M. (1976). The Concept and Measurement of the Quality of School Life. American Educational Research Journal, 13(1), 15-30.
Fernández-López, J. A., Fernández-Fidalgo, M., y Cieza, A. (2010). Los conceptos de calidad de vida, salud y bienestar analizados desde la perspectiva de la clasificación internacional del funcio- namiento (cif). Rev Esp Salud Pública, 84, 169-184.
Ghotra, S., McIsaac, J., Kirk, S. and Kuhle, S. (2016). Validation of the "Quality of Life in School" instrument in Canadian elementary school students. PeerJ. DOI 10.7717/peerj.1567
Gómez-Vela, M., y Verdugo, M. A. (2004). El cuestionario de evaluación de la calidad de vida de alumnos de educación secundaria obligatoria: descripción, validación inicial y resultados obtenidos tras su aplicación en una muestra de adolescentes con discapacidad y sin ella. Revista Española sobre Discapacidad Intelectual, 35(212), 5-17.
Gómez-Vela, M. (s. f.). La calidad de vida de alumnos con Necesidades Educativas Especiales y sin ellas. Elaboración de un marco conceptual y un instrumento de evaluación. Educación y diversidad, 113-135.
Instituto Nacional para la Evaluación de la Educación INEE. (2013). México en PISA 2012. Méxi- co: INEE
INEE. (2015). Plan Nacional para la Evaluación de los aprendizajes (PLANEA). Resultados nacio- nales 2015. Recuperado de http://www.inee.edu.mx/images/stories/2015/planea/inal/fascículos- inales/resultadosPlanea-3011.pdf
Karatzias, A., Power, K. G., & Swanson, V. (2001). Quality of School Life: Development and Preli- minary Standardisation of an Instrument Based on Performance Indicators in Scottish Secondary Schools. School Efectiveness and School Improvement, 12(3), 265-284.
Linnakylä, P. (1996). Quality of School Life in the Finnish Comprehensive School: a comparative view. Scandinavian Journal of Educational Research, 40(1), 69-85.
Lunenburg, F. C., & Schmidt, L. J. (1988). Pupil control ideology and behavior and the quality of school life. Paper presented at the annual meeting of the American Educational Research Asso- ciation, New Orleans.
Muntaner, J. J., Forteza, D., Rossello, M. R., Verger, S., y De la Iglesia, B. (2009). Estándares e in- dicadores para analizar la calidad de vida del alumnado con discapacidad en su proceso educativo. Islas Baleares, España: Edicions UIB.
Muntaner, J. (2013). Calidad de vida en la escuela inclusiva. Revista Iberoamericana de Educación, 63, 35-49.
Pang, N. (1999a). Students’ Perceptions of Quality of School Life in Hong Kong Primary Schools. Educational Research Journal, 14(1), 49-71.
Pang, N. (1999b). Students’ Quality of School Life in Band 5 Schools. Asian Journal of Counselling, 6(1), 79-106.
Sandoval, E. (2007). La reforma que necesita la secundaria mexicana. Revista Mexicana de Investigación Educativa, 12(32), 165-182.
Sandoval-Forero, E., & Montoya Arce, B. (2013). La educación indígena en el Estado de México. Papeles de Población, 19 (75), 1-28.
Santos del Real, A., & Carvajal Cantillo, E. (2001). Operación de la Telesecundaria en zonas ru- rales marginadas de México. Revista Latinoamericana de Estudios Educativos (México), XXXI (2), 69-96.
Secretaria de Educación Pública (2017). Nuevo modelo educativo mexicano. Recuperado de ht- tps://www.gob.mx/sep/documentos/nuevo-modelo-educativo-99339
Thien, L. M.. & Razak, N. A. (2012). Academic Coping, Friendship Quality, and Student Engagement Associated with Student Quality of School Life: A Partial Least Square Analysis. Soc Indic Res, 112, 679-708.
Urzúa, A., & Caqueo-Urízar, A. (2012). Calidad de vida: Una revisión teórica del concepto. Terapia psicológica, 30(1), 61-71.
Weintraub, N., & Bar-Haim Erez, A. (2009). Quality of Life in School (QoLS) Questionnaire: Development and validity. American Journal of Occupational herapy, 63(6), 724-731.
Zorrilla, M. (2004). La educación secundaria en México: al ilo de su reforma. Revista Electrónica Iberoamericana sobre Calidad, Eicacia y Cambio en Educación, 2(1), 1-22. Recuperado de http:// www.ice.deusto.es/RINACE/reice/vol2n1/Zorrilla.pdf