Investigación
Evaluación de una propuesta de aprendizaje basado en juegos de rol llevada a cabo en la asignatura de Cultura Científica de Bachillerato
Evaluación de una propuesta de aprendizaje basado en juegos de rol llevada a cabo en la asignatura de Cultura Científica de Bachillerato
REXE. Revista de Estudios y Experiencias en Educación, vol. 19, núm. 39, pp. 123-144, 2020
Universidad Católica de la Santísima Concepción
Recepción: 24 Mayo 2019
Aprobación: 22 Noviembre 2019
Resumen: Debido a la falta de motivación e interés de los estudiantes por las ciencias y el bajo rendimiento académico español, la mayoría de las instituciones educativas utilizan metodologías activas, motivadoras y desafiantes para fomentar la transferencia de conocimientos y dar protagonismo al alumnado. Dentro de estas nuevas metodologías, se encuentran los juegos de rol, por lo que este trabajo tiene como objetivo principal diseñar, proponer y evaluar una metodología basada en juegos de rol que permita conjugar el estudio de los contenidos teóricos de la asignatura de Cultura Científica de Bachillerato con información útil sobre las oportunidades de trabajo científico. Para ello, se ha programado una unidad didáctica basada en la simulación teatral de profesiones científicas. Todas las actividades han sido enfocadas a experimentar en primera persona las principales tareas de un investigador, un revisor de artículos científicos y un miembro de un comité bioético. Los resultados obtenidos mostraron un aumento de la motivación, interés y conocimiento de los alumnos por el mundo científico. Los juegos de rol son una vía efectiva para introducir a los alumnos en el mundo científico, fomentar su interés por las ciencias y mejorar sus habilidades, rendimientos y conocimientos científicos.
Palabras clave: Aprendizaje basado en juegos de rol; motivación; bachillerato; enseñanza de ciencias; mundo laboral cientíico.
Abstract: Due to the lack of motivation and interest of students in science along with the low academic performance in Spain, most educational institutions use active, motivating and challenging methodologies to encourage knowledge transfer and give students a leading role. Within these new methodologies, we ind role games, so this work aims to design, propose and evaluate a methodology based on role games that allows combining the study of the theoretical contents of the Scientific Culture subject in High School with useful information about scientiic work opportunities. For this purpose, a didactic unit based on the theatrical simulation of scientific prefessions has been programmed. All activities were focused on experiencing irsthand the main tasks of a researcher, a reviewer of scientific articles and a member of a biothiec committee. The results obtained showed an increase in the students motivation, interest and knowñege of the scientific world. Role-playing games are an efective way to introduce students to the scientific world, foster their interest in science and improve their scientific, performance and knowledge.
Keywords: Role-playing games in education; motivation; high school; science education; science job opportunities.
1. PLANTEAMIENTO DEL PROBLEMA
Este trabajo evalúa una propuesta docente innovadora basada en juegos de rol, llevada a cabo en una asignatura de la rama de las Ciencias en Bachillerato. Se pretende, por un lado, acercar al alumnado de este nivel educativo al mundo laboral científico y por otro lado analizar esta metodología prestando una mayor atención a la motivación del alumnado, el trabajo en equipo, los recursos necesarios y su posible extrapolación a otros centros educativos.
En los últimos años ha habido una gran preocupación por el bajo rendimiento científico de los alumnos a partir de 16 años. El informe PISA de 2015 indicó que el 20% de los jóvenes españoles no continúan sus estudios a partir de secundaria, resultado que contrasta drásticamente con el 11% de la media europea. De la misma manera, el razonamiento científico, la comprensión lectora y la transferencia de conocimientos se encuentra muy por debajo de la media del resto de Europa (Organización de las Naciones Unidas para la Educación la Ciencia y la Cultura, 2017).
Con el objetivo de comprender y solucionar esta situación, se han analizado y propuesto las razones subyacentes a este bajo rendimiento. Entre los factores influyentes se encuentran la sobrecarga de contenido del currículo (Coll, 2006), la metodología utilizada, los factores familiares y sociales del alumno (Fajardo, Maestre, Felipe, León y Polo, 2017) y la falta de confianza de algunos profesores en impartir el temario (Harlen, 1997). Al mismo tiempo, muchos autores coinciden en que hay una disminución de interés por asignaturas científicas a lo largo de la secundaria (Muphy y Begg, 2003). De hecho, Méndez Coca (2015) observó que la asignatura de Física y Química no es una materia que llame la atención a los alumnos de 14 y 15 años, considerándola interesante por motivos extrínsecos, como sus futuros estudios, y no por los propios contenidos de la asignatura.
La disminución del interés y motivación podrían deberse al bajo número de actividades prácticas y ensayos de laboratorio realizados en secundaria, comparado con la etapa de primaria, por lo que los profesores de estos niveles educativos deben adaptar sus metodologías docentes para fomentar este tipo de actividades prácticas. Diferentes estudios han demostrado que la mayoría de alumnos de primaria disfruta de la ciencia por la gran variedad de actividades, la relación de los contenidos científicos con otras asignaturas, el trabajo cooperativo y la realización de experimentos (Campbell, 2009). En secundaria, sin embargo, y aunque se valore positivamente los nuevos contenidos y las estructuras del nuevo centro, los alumnos pierden la ilusión y motivación al ver la falta de práctica en las clases y empiezan a considerar la ciencia como una asignatura complicada y con pocas aplicaciones reales (Osborne, Simon y Collins, 2003), por lo que en este punto, el papel de los maestros es esencial y deben diseñar programaciones didácticas que permitan al alumno disfrutar del aprendizaje de las ciencias. Asimismo, otros especialistas critican también la distribución y peso de los contenidos científicos según su dificultad a lo largo de la etapa secundaria. En el estudio de Lam, Yim y Cheung (2004) se demuestra que estudiantes de secundaria no son capaces de contestar simples preguntas científicas redactadas por niños de 11 años.
En definitiva, a partir de los 10 años, los alumnos empiezan a perder el interés por las ciencias, debido a la disminución progresiva de actividades prácticas y la no comprensión de determinados contenidos. Esto, puede llevar a una falta de motivación, lo que, junto con otros factores, puede provocar que los jóvenes dejen los estudios una vez conseguido el graduado o sigan estudiando de manera memorística y sin ningún afán por mejorar. Esto constituye una gran problemática en las escuelas, ya que muchos expertos defienden la motivación como un aspecto crucial del aprendizaje siendo la principal vía para conseguir beneficios (Ospina, 2006).
Por ello, a lo largo de los años se han ido ideando diferentes metodologías y actividades que promueven un mayor interés por las ciencias y menor abandono de los estudios, donde destaca el uso de laboratorios y la realización de juegos, experimentos y actividades prácticas como métodos para mejorar la experiencia académica del alumnado, fomentar la motivación y promover un aprendizaje significativo (Hamari et al., 2016; Hofstein y Lunetta, 2004; Papastergiou, 2009).
El problema, por tanto, se puede deber a que la enseñanza de las ciencias del segundo ciclo de secundaria y bachillerato no está bien planteada por el sistema educativo y se hace patente la necesidad de llevar a cabo una actuación global por parte de las instituciones educativas que debería dar comienzo en educación secundaria (Tuero, Cervero, Esteban y Bernardo, 2018). La finalidad del currículo está centrada en el aprendizaje de conocimiento y procesos científicos para permitir el acceso a carreras universitarias, sin tener en cuenta los intereses de los estudiantes ni la aportación de información adecuada y necesaria para que puedan decidir sobre su futuro (Furió Mas, Vilches, Guisasola y Romo, 2001). Centrándonos en el ámbito científico, se ha observado además que muchos alumnos tienen una imagen totalmente distorsionada de los científicos, lo que provoca una mitificación de la profesión y un rechazo de un futuro profesional relacionado con las ciencias (Lerragalde, Vilches y Darrigran, 2009).
Se necesitan nuevas metodologías que permitan, por un lado, enseñar a los alumnos en que consiste el mundo científico y sus posibles salidas laborales y por otro lado, que permitan el aprendizaje de contenidos. Sin olvidar la necesidad de motivar e interesar al alumnado. La finalidad sería la de facilitar a los alumnos la decisión sobre su futura profesión y/o estudios mediante el aprendizaje de conceptos y el conocimiento sobre el mundo laboral, evitando tópicos y clichés. Esto coincide con opiniones de profesores de Física y Química donde se declara que las finalidades más importantes de la enseñanza científica son aprender conceptos y teorías, conocer cómo trabajan los científicos y adquirir una alfabetización científica (Furió Mas et al., 2001).
La utilización de los juegos como herramienta para motivar y maximizar las capacidades de los alumnos es relativamente reciente. Siendo las investigaciones de Prensky (2001) sobre la influencia de los juegos en el desarrollo de determinadas habilidades, el inicio de esta visión pedagógica. Estas estrategias han permitido aumentar la participación de los alumnos, su motivación, sus rendimientos académicos y potenciar un aprendizaje más significativo (Corchuelo Rodriguez, 2018; De Soto García, 2018; Herberth, 2016; Kapp, 2012; Molina Álvarez, Ortiz-Colón y Agreda Montoro, 2017; Orejudo González, 2019; Rodriguez Oroz, Gómez Espina, Bravo Pérez y Truyol, 2019; Sierra Daza y Fernández-Sánchez, 2019).
En el caso de la utilización de los juegos de rol, son pocos los artículos relacionados con esta temática, por lo que se necesita una mayor investigación en este campo. A pesar de todos los beneficios y versatilidad de estas actividades en la educación, existe muy poco literatura sobre su aplicación en las aulas, debido principalmente a la inexistencia de pautas sobre cómo abordar este tipo de juegos y la inexperiencia del profesorado (Echeverría et al., 2011). Sin embargo, algunos ejemplos de la utilización de los juegos de rol en las aulas son la propuesta de Pérez (2007) en la que los alumnos deben simular ser un entrenador personal en Educación Física o el estudio de Almeida (2010) donde una clase de Geografía de 2º de Bachillerato debía valorar proyectos arquitectónicos tomando el papel de los principales afectados (hoteleros, turistas, arquitectos, políticos, etc.). De esta necesidad detectada, surge esta investigación cuyo fin es la evaluación de la metodología de juegos de rol, mediante el estudio de un caso en una asignatura de la rama de las Ciencias de Bachillerato.
2. OBJETIVOS DE LA INVESTIGACIÓN
El objetivo principal de este trabajo es desarrollar y evaluar una estrategia metodológica basada en juegos de rol que permita conjugar el estudio de los contenidos de la asignatura de Cultura Científica de 1º de Bachillerato, de una manera dinámica y motivadora, con información adecuada sobre el mundo laboral científico, mediante la realización de pequeñas investigaciones en el laboratorio del centro. Con el in de alcanzar este objetivo general, en este trabajo se han plantea- do los siguientes objetivos específicos:
- Diseñar, llevar al aula y evaluar una unidad didáctica basada en los juegos de rol para la asignatura de Cultura Científica de 1º bachillerato. En dicha evaluación se prestará una mayor atención a la motivación del alumnado, el trabajo en equipo, los recursos necesarios y su posible extrapolación a otros centros educativos.
- Mejorar el conocimiento de los alumnos sobre el mundo laboral científico mediante la realización de actividades enfocadas en experimentar en primera persona las principales tareas de un investigador, un revisor de artículos científicos y un miembro de un comité bioético.
- Fomentar la autonomía de los alumnos y el trabajo cooperativo mediante la realización de pequeñas investigaciones en el laboratorio del centro educativo.
3. DISEÑO METODOLÓGICO
3.1 Propuesta de innovación docente llevada al aula
Se ha implementado esta actividad en dos grupos diferentes de la asignatura de Cultura Científica de 1º de Bachillerato de un centro de la comunidad autónoma de Islas Baleares durante el curso académico 2017-2018. La unidad didáctica diseñada pertenece al bloque de contenidos denominado Procedimientos de trabajo (Decret de les Illes Balears 34/2015). Siguiendo con la línea de los juegos de rol, todas las actividades, tareas y explicaciones programadas se realizaron dentro de una simulación teatral donde los alumnos debían asumir el rol de un investigador de la rama de ciencias, de un revisor de una revista científica y de un miembro de un comité bioético.
Como se aprecia en la figura 1, la actividad consta de 10 sesiones, cada una de 50 minutos. Durante la primera sesión los alumnos debían formar sus propios grupos de trabajo y elegir su proyecto científico de entre los propuestos. Con el objetivo de dar pautas para realizar una buena entrevista de trabajo y tomar conciencia de las propias fortalezas, la elección de los proyectos científicos se realizó como un proceso de adquisición de becas. Si más de un grupo escogía el mismo proyecto, el profesor (jefe de laboratorio) simularía una entrevista de trabajo con dichos grupos para determinar quiénes son los mejores candidatos. De esta manera, cada alumno debía tomar conciencia de sus propias fortalezas y ponerlas de manifiesto, haciendo así también un ejercicio de autoanálisis y motivación.
En total se propusieron seis trabajos: dos sobre conservación de pan y leche, con el objetivo de proponer la mejor estrategia de conservación y realizar recomendaciones a los consumidores; tres de análisis químico de alimentos (queso, chocolate y sobrasada), con el in de recomendar qué tipo de alimento es más recomendable según su composición nutricional; y el último sobre la optimización de un indicador de pH a base de alimentos ricos en antocianina.
Durante las siguientes sesiones, los alumnos diseñaron y propusieron su propio plan de trabajo teniendo en cuenta sus objetivos, recursos y tiempo disponible. Especificando las variables y muestras a estudiar, experimentos, etc. Además, se utilizaron dos sesiones de 50 minutos cada una para ayudar a los estudiantes en sus trabajos finales y proporcionar información sobre el mundo científico actual. En la última sesión se realizaron los debates sobre bioética (Figura 1).

Teniendo en cuenta los objetivos y contenidos de esta asignatura, se desarrollaron tres actividades, que promovían la autonomía y trabajo en equipo, además, se aportó a los estudiantes información sobre posibles tareas que se realizan en la rama de las ciencias. Estas actividades fueron la elaboración de un artículo científico, el desarrollo de un cuaderno de laboratorio y un debate sobre bioética. Previo a la realización de estas actividades, se explicaron a los alumnos los conceptos básicos de cómo poder realizar estas tareas con éxito. Se eligieron estas actividades, teniendo en cuenta siempre los objetivos y contenidos de la asignatura que marca la legislación vigente.
La actividad de la elaboración de un artículo científico consistió en la redacción escrita de un artículo con la misma estructura y características que uno real. Basándose en su proyecto, los estudiantes diseñaron un plan de trabajo para conseguir cumplir con sus objetivos y obtener resultados fiables y útiles para su investigación que posteriormente debían publicar en una revista. En la actividad de la elaboración de un cuaderno de laboratorio, el alumno realizó un diario sobre las experiencias vividas durante su investigación, incluyendo hipótesis, objetivos, metodología, resultados y conclusiones, con el in de evaluar de manera individual la realización de la investigación y el interés mostrado. Por último, durante la actividad del debate sobre bioética, se pretendía que los alumnos reflexionaran sobre la importancia de los comités bioéticos en el mundo científico, evaluaran proyectos actuales y pasados desde un punto de vista ético y reflexionaran sobre dilemas éticos que puedan surgir durante una investigación.
Las actividades fueron diseñadas para fomentar un aprendizaje significativo basado en la manipulación, las propias experiencias del estudiante y la organización y planificación de un plan de trabajo propio, ya que los alumnos aprenden de una forma significativa cuando son capaces de encontrar sentido al nuevo conocimiento al conectarlo con lo que ya saben, o integrarlo dentro de sus propios esquemas cognitivos (Romero y Quesada, 2014). Por otro lado, existe una relación entre los juegos de rol y el aprendizaje significativo, los estudiantes señalan que este tipo de experiencia es una oportunidad para aplicar los conceptos y contenidos analizados en clases de manera mucho más práctica y en un escenario simulado de un futuro ejercicio profesional, interactuando con sus demás compañeros de grupo, lo que les permite relacionar de manera mucho más efectiva y clara la teoría (Gaete-Quezada, 2011a).
En todo momento, los alumnos fueron los auténticos protagonistas, siendo el docente un guía y consejero en caso de necesidad. Al estar dentro un contexto teatral de salidas profesionales, todas las actividades hacen referencia a las responsabilidades principales de diferentes oficios científicos, como el realizar y publicar un artículo científico (investigador), realizar evaluaciones éticas de proyectos científicos (miembro de un comité bioético) o perfeccionar y corregir publicaciones (revisor de una revista).Con tal de conseguir una mayor veracidad en la simulación planteada, toda la unidad se realizó en el laboratorio del centro, donde se disponía de todos los materiales y recursos necesarios para llevar a cabo las tareas.
La idea era reproducir de manera fiable un grupo de laboratorio y un comité bioético: los alumnos debían asumir el papel de doctorandos y el profesor de jefe de laboratorio. De esta manera, los estudiantes pudieron experimentar en primera persona la vida laboral de un investigador de la rama de ciencias desde el proceso de selección de becas, la realización de ensayos de laboratorio y revisión de artículos científicos. Los alumnos diseñaron su propio plan de trabajo y el profesor tomó el papel de guía, resolviendo dudas y dando consejos en caso de necesidad, pero evitando decir exactamente lo que se debía hacer. Debido a que la sociedad científica de hoy en día se organiza por equipos, todas las actividades de la unidad se realizaron en grupo. Este tipo de actividades de simulación, junto con la aplicación de conocimientos a situaciones reales y buena predisposición de los estudiantes, promueven un pensamiento crítico, las habilidades analíticas y fomentan las competencias de comunicación oral y escrita, por lo que en definitiva mejoran la experiencia educativa (Gaete-Quezada, 2011a).
La evaluación de la unidad fue de carácter continuo. La unidad didáctica se consideró aprobada cuando el alumno adquirió los conocimientos mínimos de la asignatura que marca la legislación (Decret de les Illes Balears 34/2015) y las competencias necesarias para redactar el artículo científico, elaborar el cuaderno y participar en los debates de bioética con una visión crítica, lógica y respetuosa con los demás. El artículo científico suponía un 70% de la nota final, el cuaderno de laboratorio un 20% y los debates sobre bioética un 10%. Estas actividades se evaluaron mediante la utilización de diferentes rúbricas (tablas 1-3).
| 3 (Sobresaliente) | 2 (Aprobado) | 1 (Suspenso) | |
| Organización y estructura | Aparecen todos los apartados y están bien estructurados | Aparecen todos los apartados, pero mal estructurados | No aparecen todos los apartados y el informe está desestructurado |
| Contenido | Cada apartado tiene la información y contenido adecuado | Hay poca cantidad de contenido o es de poca calidad | El contenido no se corresponde con los apartados |
| Ortografía y redacción | Menos de 5 faltas de ortografía y buena expresión | Entre 5 y 10 faltas de ortografía y expresión mejorable | Más de 10 faltas de ortografía y redacción deficiente |
| Resumen | Tiene como máximo 200 palabras. Se destaca lo más importante del trabajo | Tiene como máximo 200 palabras. Destaca lo más importante del trabajo, pero también detalles no importantes | Tiene más de 200 palabras. No se destaca lo más importante |
| Representación de resultados | Hay el número suficiente y son relevantes. Hay pies de figura | Hay, pero poco representativos. No hay pies de figura | No hay |
| Interpretación de los resultados | Correctas y basadas en argumentos suficientemente razonados | Correctas, pero mejorables en cuanto a la argumentación | Erróneas |
| Bibliografía | Todas las fuentes bibliográficas son relevantes y fiables. Referencia entre el texto | Hay fuentes bibliográficas poco fiables. No referencia entre el texto | No hay |
| Ausencia | Penalización (puntos) | |
| Objetivos e hipótesis | -1 | |
| Plan de trabajo a seguir | Variables | -.75 |
| Número y tipo de muestras | -.75 | |
| Fechas | -.5 | |
| Experiencias vividas | -1 | |
| Claridad y orden | -.75 | |
| Experimentos, degustaciones y/o encuestas relejadas en el artículo científico | -1 por cada uno | |
| Entradas y anotaciones para cada día de investigación | -1 por día | |
| Puntuación | 10-7.5 | 7.5-4 | 4-0 |
| Participación | Participa al menos 4 veces | Participa de 3 a 1 veces | No participa |
| Calidad de las intervenciones | Las intervenciones son claras, precisas y no excesivamente largas | Las intervenciones son claras, pero demasiado largas y poco entendibles | Las intervenciones son poco claras y no están relacionadas con el tema del debate |
| Argumentación | Las intervenciones se basan en conocimientos científicos, hechos históricos o experiencias personales | Las intervenciones se basan en conocimientos incorrectos o falacias | Las intervenciones no tienen sentido y se utilizan argumentos del estilo: “porque yo lo digo”, “es así porque lo dice X”, etc. |
| Respeto por los compañeros | No interrumpe a sus compañeros, los escucha y respecta sus opiniones | En alguna de sus intervenciones ha interrumpido a sus compañeros. Respeta las opiniones de los demás, pero no escucha del todo | No escucha, ni respeta a sus compañeros. No deja acabar ninguna intervención |
| Comportamiento Realiza | Realiza la actividad adecuadamente | Realiza la actividad, pero se distrae. Distrae a sus compañeros en algunas ocasiones | No realiza la actividad y distrae a sus compañeros |
Respecto a las características del alumnado, se observó una gran diversidad socioeconómica y cultural: la mayoría (80%) provenían de tierras de habla catalana, mientras que el resto procedían de zonas españolas de habla no catalana, Argentina, Ecuador, Bolivia, Chile, Rumania y China. Con el in de obtener una muestra representativa del alumnado del centro, se escogieron dos grupos bastante diferenciados por el número de estudiantes, conocimientos previos y situación personal.
- El grupo 1 estaba formado por 24 alumnos de bachillerato científico (69,6% mujeres y 30,4% hombres), con una alumna con ansiedad y tratamiento para la anorexia.
- El grupo 2 estaba formado por 20 alumnos de bachillerato científico y social (65% mujeres y 35% hombres), con una alumna asperger.
Teniendo en cuenta las características del alumnado, se realizaron adaptaciones específicas para las dos alumnas con necesidades especiales. Por lo que se refiere a la alumna asperger, se le agrupó personalmente al grupo de trabajo con más tolerancia y proximidad a la joven. Mientras que a la alumna con ansiedad y anorexia se le justificaron automáticamente todas las faltas de asistencia, pues eran debidas a sus visitas médicas. Además, tenía permiso para salir del laboratorio, sola o con su mejor amiga, en cualquier momento si no se encontraba bien.
3.2 Recogida de datos
Con el objetivo de evaluar y analizar la efectividad de la unidad didáctica diseñada y estudiar su eficacia a la hora de introducir al alumnado en el mundo laboral científico, se utilizaron diferentes herramientas de recogida de información (encuestas anónimas de opinión a los alumnos y profesores, evaluación de la propuesta mediante la herramienta ofrecida por la Fundación Telefónica para evaluar proyectos innovadores educativos (Área de Innovación Educativa de Fundación Telefónica, 2014 y apuntes de anotaciones realizadas por el profesor).
3.2.1 Encuestas anónimas de opinión a los alumnos y profesores
Se realizaron encuestas anónimas de opinión a los alumnos y a los profesores del centro, que permitieron conocer la opinión de los encuestados acerca de la organización de la actividad, posibles mejoras y motivación del alumnado.
Las encuestas realizadas a los alumnos consistían en 10 preguntas en las que los encuestados debían reflexionar sobre su rendimiento y motivación, la utilidad de las actividades realizadas, la autonomía y organización del grupo de trabajo. Se debían contestar utilizando una escala de tipo Linker del 1 al 4 donde 1 corresponde con “estoy muy en desacuerdo” y el 4 con “estoy muy de acuerdo”. Además, las encuestas presentaban 3 preguntas de respuesta libre donde los alumnos debían describir los puntos fuertes y débiles de las actividades y proponer cambios de mejora (tabla 4).
| 1: Muy en desacuerdo | 2: Endesacuerdo | 3: Deacuerdo | 4: Muy de acuerdo | |
| 1. Mi equipo se ha organizado bien | ||||
| 2. He trabajo en equipo y de manera cooperativa | ||||
| 3. He trabajo lo mismo que mis compañeros | ||||
| 4. He trabajo de manera autónoma | ||||
| 5. He estado motivado en todas las actividades | ||||
| 6. Mi proyecto de investigación era interesante | ||||
| 7. He aprendido cosas nuevas y útiles | ||||
| 8. Las clases me han ayudado a conocer mejor el mundo laboral científico | ||||
| 9. He tenido un buen comportamiento en clase | ||||
| 10. Me he esforzado lo suficiente | ||||
| PREGUNTAS DE RESPUESTA LIBRE | ||||
| 11. ¿Qué es lo más te ha gustado? | ||||
| 12. ¿Qué es lo menos te ha gustado? | ||||
| 13. ¿Qué mejorarías de la actividad? | ||||
Las respuestas fueron analizadas mediante la puntuación media o porcentajes en el caso de preguntas de respuesta libre. Los puntos débiles y fuertes declarados por los alumnos fueron clasificados en “más apreciado” y “menos apreciado” y permitieron obtener información relativa a los objetivos parciales de este trabajo.
Respecto, a las encuestas voluntarias de opinión a los profesores del centro. Dichas encuestas fueron enviadas por correo personal docente del centro explicando el objetivo del estudio y el carácter de la encuesta. Los resultados se recogían de manera automática mediante la herramienta de Google encuestas, ocultando toda información personal sobre el encuestado. De esta manera, se pudo asegurar una participación totalmente voluntaria y anónima. Las preguntas fueron diseñadas a partir de los aspectos peor valorados por los alumnos. Las preguntas realizadas en estas encuestas fueron:
o ¿Programarías la elaboración de un trabajo o informe escrito final para acabar una unidad didáctica en lugar de un examen?
o ¿Repartirías temas diferentes, pero relacionados, a cada uno de los grupos de alumnos para elaborar un trabajo?
o ¿Planearías una sesión para que los alumnos compartan entre ellos la evolución de su trabajo?
o ¿Qué recursos o ayudas brindas a los alumnos para elaborar un trabajo o informe?
Al ser todas las preguntas de respuesta libre, se procedió igual que en el caso de las encuestas del alumnado. Para las tres primeras preguntas se realizó el cálculo de porcentaje de “si” y “no” obtenidos, mientras que la última se realizó una clasificación de los recursos mencionados en las respuestas a in de posibilitar el cálculo de porcentajes.
3.2.2 Evaluación de la propuesta mediante la herramienta ofrecida por la Fundación Telefónica para evaluar proyectos innovadores educativos
En segundo lugar, se utilizó la herramienta ofrecida por la Fundación Telefónica para evaluar proyectos innovadores educativos (Área de Innovación Educativa de Fundación Telefónica, 2014), en la que se evalúa las propuestas metodológicas mediante 10 criterios: (1) Experiencia de aprendizaje vital, (2) metodología activa de aprendizaje, (3) aprendizaje más allá del aula, (4) experiencia de aprendizaje colaborativo, (5) desarrollo de competencias, (6) aprendizaje significativo, (7) experiencia de aprendizaje en base a retos (8), evaluación como herramienta de aprendizaje (9) experiencia de aprendizaje vital y (10) experiencia de aprendizaje sostenible. Gracias a estos criterios de evaluación, se pudo obtener información relativa al primer objetivo parcial de este trabajo ya que se evaluó, por ejemplo, la posible extrapolación de la actividad en otros centros..
3.2.3 Apuntes y anotaciones del profesor y calificaciones
En último lugar, los apuntes y anotaciones realizados por el profesor de la asignatura estaban relacionados con el rendimiento y comportamiento de los alumnos en clase. Gracias a estas anotaciones y las encuestas de opinión de los alumnos se pudo evaluar la motivación del alumnado, su trabajo en equipo y su autonomía. Las anotaciones consistían en apuntes del profesor sobre la motivación y actitud de cada uno de los alumnos y evaluación de rendimiento y autonomía mediante la utilización de una rúbrica personal a modo de guía (tabla 5).
| 3 (Sobresaliente) | 2 (Aprobado) | 1 (Suspenso) | |
| Motivación | El grupo trabaja de manera dinámica y centrado en el proyecto. Piensan en mejoras y reflexionan sobre los resultados y experimentos realizados. | El grupo trabaja de manera dinámica y centrado en el proyecto. Aunque no reflexionan sobre las actividades realizadas y no proponen mejoras. | El grupo trabaja disperso y no está centrado en el proyecto. |
| Autonomía | El grupo no depende del profesor para avanzar en su proyecto. Pide ayuda o dudas en caso de necesidad. | El grupo depende en cierta medida del profesor. Pide ayuda al profesor en casos en los que no sería necesario. | El grupo necesita la presencia y ayuda del profesor para avanzar en el proyecto. |
| Rendimiento | El grupo avanza en su proyecto de acuerdo al tiempo y recursos proporcionados. | El grupo avanza de acuerdo al tiempo y recursos proporcionados. Aunque necesitan de cierta ayuda para mejorar su organización. | El grupo no avanza de acuerdo al tiempo y recursos proporcionados y presentan una mala organización del trabajo. |
Por otro lado, las calificaciones obtenidas por los alumnos en las diferentes actividades permitieron estudiar la eficacia de la metodología y el rendimiento de los alumnos en los dos grupos de trabajo. En el caso de las calificaciones, se realizó la media de la nota final de la unidad y se comparó entre los dos grupos estudiados.
3.2.4 Análisis estadístico de los resultados
El análisis estadístico de los resultados fue realizado mediante el programa estadístico GraphPad Prism 6. Los datos de carácter cuantitativo, como las calificaciones finales de la unidad, fueron previamente analizados para la distribución normal mediante el test Kolgomorov-Smirnov. Los análisis estadísticos fueron realizados utilizando los tests estadísticos apropiados según las leyendas de las figuras indican: T-Student, ANOVA de una vía o ANOVA de dos vías. Todos los resultados, a excepción de los obtenidos mediante la herramienta ofrecida por la Fundación Telefónica, se han presentado como media ± SEM (error estándar de la media).
4. RESULTADOS
4.1 Encuestas anónimas de opinión, anotaciones del profesor y calificación de las actividades
Cómo se puede observar en los resultados obtenidos de encuestas de opinión anónimas a los dos grupos-clase, con este trabajo se cumple el objetivo relacionado con el acercamiento del alumnado al mundo laboral científico y aportar información útil al alumnado sobre las posibles tareas de un investigador de la rama de ciencias, ya que lo más apreciado por los alumnos fue la parte práctica (realizar experimentos en el laboratorio, diseñar su propio plan de trabajo y la simulación teatral), el tema de los proyectos, la autonomía y conocer el trabajo de los científicos mediante simulación teatral (Figura 2A). Por el contrario, aproximadamente el 52% de los estudiantes entrevistados coincidieron en que la elaboración del artículo fue la parte con mayor dificultad y que les gustó menos de la unidad didáctica (Figura 2B). También se valoró negativamente la necesidad de realizar observaciones diarias en los experimentos, el hecho de que cada grupo tuviera un proyecto diferente, la falta de oportunidades de compartir resultados y conclusiones con sus compañeros y la sesión de bioética (Figura 2B: Otros).

Para contrastar las valoraciones negativas recibidas por los alumnos con un punto de vista docente, 24 profesores del centro contestaron de manera voluntaria y anónima una encuesta de opinión. Las respuestas mostraron una fuerte discrepancia con la valoración dada por los estudiantes, la mayoría de los profesores entrevistados consideran la elaboración de un trabajo escrito final como un buen método de evaluación (83.3%) y están a favor de repartir temas diferentes a los grupos de trabajo (95.8%). En cambio, todos los encuestados coincidieron con los alumnos en la necesidad de añadir una sesión para compartir resultados y conclusiones (Figura 3A). Finalmente, se pudieron recoger las principales ayudas proporcionadas a los alumnos para realizar un trabajo escrito o examen, siendo las más utilizadas la resolución de dudas, la aportación de modelos y ayudas con la búsqueda de información (Figura 3B).

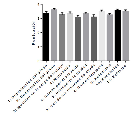
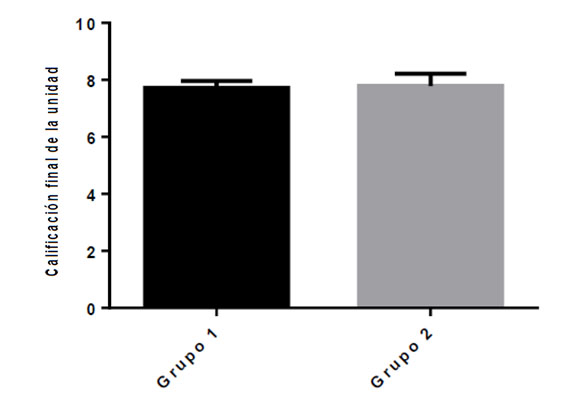
Las anotaciones del profesor mostraron una adaptación y contextualización al grupo-clase muy positiva, a pesar de la diferencia de conocimientos previos de ambos grupos, ya que ningún alumno presentó dificultades excesivas al realizar las tareas. Aproximadamente el 85% de los alumnos obtuvo la nota máxima en rendimiento y autonomía según la rúbrica de la tabla 5 y actitud positiva: los estudiantes estaban motivados con su proyecto de investigación, trabajaron de manera autónoma y cooperativa, tenían un buen comportamiento y se esforzaron por realizar un buen trabajo. Esto coincide con los datos obtenidos mediante la realización de una encuesta de opinión anónima a los dos grupos-clase sobre su propio rendimiento y trabajo (Figura 4). Siguiendo con la misma línea, las calificaciones finales de la unidad no mostraron diferencias significativas entre los grupos, con una media aproximada de 7.7 en ambos casos (Figura 5). Indicando que la unidad pudo ser aplicada en condiciones similares y adaptada a los diferentes grupos.


Dada la importancia de la estructura y formación de los grupos de trabajo para asegurar la cooperación entre alumnos y que uno de los objetivos específicos de este artículo es fomentar la autonomía de los alumnos y el trabajo cooperativo mediante la realización de proyectos científicos de corta duración en el laboratorio, se analizó la composición, rendimiento y características de los grupos. Los estudiantes pudieron elegir con quién trabajar, lo que generó grupos muy homogéneos en cuanto sexo, etnia y rendimiento.
Con el objetivo de conocer la opinión de los alumnos y el profesorado del centro, se realizaron encuestas de opinión anónimas de los grupos-clase y profesores del centro. Los resultados muestran que aproximadamente un 65.9% de los alumnos prefieren que los forme el profesor, tanto de manera aleatoria como bajo sus propios criterios. A excepción de los alumnos con mayor rendimiento y calificaciones (32.1%), quienes solicitaron mantener sus compañeros para futuras tareas (Figura 6A). En contraste a la opinión del alumnado, los profesores manifestaron una gran diversidad de opiniones, donde ningún método de formación destacaba sobre otro (Figura 6B). Esto podría deberse a las diferentes preferencias metodológicas de cada profesor, así como a las características de sus asignaturas y sus propios resultados y experiencias.

4.2 Evaluación de la propuesta mediante la herramienta ofrecida por la Fundación Telefónica para evaluar proyectos innovadores educativos
Para analizar la propuesta desde el punto de vista de la innovación, se utilizaron y evaluaron los 10 criterios de evaluación propuestos en el Decálogo de un proyecto innovador (Área de Innovación Educativa de Fundación Telefónica, 2014). Los resultados obtenidos indican que la innovación educativa de esta investigación destaca por su metodología activa, experiencia de aprendizaje vital y aprendizaje en base a retos. Por el contrario, aspectos como la experiencia de aprendizaje sostenible y digital necesitan incluirse en la metodología. El resto de los criterios, como el aprendizaje más allá del aula, aprendizaje colaborativo, el uso de la evaluación como herramienta de aprendizaje, experiencia de aprendizaje auténtica y el desarrollo de competencias parecen necesitar de ciertas mejoras al no obtener puntuaciones altas según la herramienta utilizada (Figura 7).

5. DISCUSIÓN
5.1 Motivación de los estudiantes y acercamiento al mundo laboral científico
Dada la importancia de la motivación e interés de los alumnos para conseguir un buen rendimiento académico, este aspecto ha sido ampliamente estudiado. De acuerdo con Palmer (2007) y Williams y Williams (2011), los contenidos deben satisfacer las necesidades reales de los alumnos, hacerles sentirse competente y útiles, suponer una novedad o experiencias inusuales y crear discrepancias en la mente del estudiante. De la misma manera, el estudiante se encuentra mucho más motivado cuando tiene la capacidad de elegir la actividad a realizar (Truby, 2010). Además, según Palmer (2007), una actividad de dificultad moderada aumenta la autoestima y motivación de los alumnos cuando consiguen realizarla, provocando a su vez una mayor predisposición a aprender.
No obstante, y a pesar de haberse definido todas estas características, existe muy poca literatura en la que se especifiquen propuestas metodológicas para aumentar la motivación del alumnado.
De entre todas ellas, destacan las enfocadas en el aprendizaje basado en juegos de rol. Mientras que la investigación de Arias (2012) demuestra que la creación de un escenario imaginario mejora la participación, actitud y percepción del grupo-clase hacia la asignatura, Cáceres Tovar (2015) y Gaete-Quezada (2011) concluyen que la realización de simulaciones de casos o situaciones rea- les potencia la transferencia de conocimientos, el interés hacia los contenidos y la conexión de los estudiantes con el mundo real, así como un aumento del rendimiento académico y la motivación.
Teniendo en cuenta que muchos aspectos de la innovación educativa cumplen con las características mencionadas por Palmer (2007) y Truby (2010), como el permitir a los alumnos elegir su propio proyecto, incluir contenidos útiles para su futura decisión laboral y/o académica o la introducción de experiencias nuevas al grupo (simulaciones teatrales y elaboración de artículos científicos); sería válido clasificar la propuesta metodológica de la presente investigación como intrínsecamente motivadora. Esta clasificación también se vería reforzada por la gran responsabilidad, actitud, interés y valoración positiva de los alumnos hacia las simulaciones realizadas, tal y como observaron Cáceres Tovar (2015) y Gaete-Quezada (2011) en sus respectivos estudios. Además, esta propuesta ha permitido acercar al alumnado al mundo laboral científico, hecho que ha sido muy apreciado por los alumnos que manifestaron su interés por la realización de la parte práctica (realizar experimentos en el laboratorio, diseñar su propio plan de trabajo y la simulación teatral), el tema de los proyectos, la autonomía y conocer el trabajo de los científicos mediante simulación teatral.
5.2 Trabajo en equipo
Actualmente, existe un gran debate sobre cómo deben formarse los grupos de trabajo. Mientras que muchos autores coinciden en que el profesor debe organizar los grupos para asegurar una heterogeneidad, otros defienden que lo más importante es la calidad de interacción y debate entre los componentes. Slavin (1983) señala que cuanto más consolidada esté la interacción social, mayor será el rendimiento del grupo. De esta manera, las personas que trabajan juntas deben tener confianza entre ellas, buena comunicación y una buena relación. En caso contrario, podrían darse disputas, actitudes de conformismo, pasividad y complicaciones durante la realización de la tarea (León del Barco, 2006a). Siguiendo estas suposiciones, la mejor manera de formar los grupos sería la de dar libertad a los alumnos para que se unan con personas de confianza y amigos. No obstante, Pallarés (1993) afirma que la productividad depende directamente de la madurez del grupo. Es decir, cuanto mayor sea el desarrollo emocional y social de los componentes, mejor será la actividad realizada. La decisión de cómo formar los grupos debería depender principal- mente de la edad, experiencias previas y relaciones de los estudiantes. Siguiendo con esta línea, el profesor debería formar los grupos de trabajo en primaria y primer ciclo de secundaria; mientras que sería responsabilidad del propio alumno durante el segundo ciclo de secundaria y bachillerato. No obstante, Echeita (1995) afirma que las personas no están preparadas para trabajar de manera cooperativa, siendo necesarias estrategias de cohesión de grupo, entrenamientos previos en habilidades sociales y una buena educación emocional. Según la investigación de León del Barco (2006), para obtener mejores resultados durante un trabajo cooperativo es necesario realizar previamente dinámicas de grupo, siendo así cualquier método de formación aceptable, incluyendo el azar.
Todas estas discrepancias coinciden con la falta de consenso del profesorado (Figura 6B), donde ningún método destaca sobre otro. Con el objetivo de simular futuras experiencias, se tomó el método de formación más utilizado en la universidad: permitir a los alumnos formar sus propios grupos. La opinión de los estudiantes sobre este método (Figura 6A) coincide con el estudio de Kulikand y Kulik (1987) donde los estudiantes más avanzados prefieren formar sus propios grupo para juntarse con compañeros con su mismo nivel. Según las anotaciones del profesor, el método de formación elegido dio lugar a grupos muy homogéneos, pequeñas discusiones entre miembros del grupo y falta de organización en algunos casos. Visto que el rendimiento y calificaciones no empeoraron, cabe suponer que hubo una falta de habilidades comunicativas, organizativas y emocionales. Tal y como defiende León del Barco (2006), es necesario potenciar el trabajo en grupo y la organización, independientemente del método de formación de grupos elegidos.
5.3 Selección y uso de los recursos
Un recurso didáctico hace referencia a cualquier objeto, programa informático, espacio o instalación utilizada para optimizar el proceso de enseñanza-aprendizaje (Gallego y Alonso, 2014). Los recursos deben apoyar la presentación de los contenidos, mediar el encuentro del alumno con la realidad, facilitar y afianzar el aprendizaje de los conocimientos y adecuar la metodología al ritmo de aprendizaje de los estudiantes. Por tanto, su correcta utilización y selección fomentará el éxito escolar, incidirá en la transferencia de conocimientos y mejorará el desarrollo de habilidades y capacidades del alumno. Para maximizar todos estos beneficios, la selección, utilización y organización de los recursos debe tener en cuenta los objetivos didácticos, las características del grupo-clase, la metodología utilizada, las preferencias y capacidades del profesor y el nivel de abstracción de los contenidos (Moya, 2010). En la actualidad, los recursos didácticos más utilizados son los dirigidos a facilitar la búsqueda y análisis de información, mejorar la elaboración de trabajos mediante ejemplos y comparaciones y afianzar la comprensión de conocimientos repitiendo actividades similares entre sí (Rivero Cardenas, Gómez Zermeño y Abrego Tijerina, 2013). Estas preferencias coinciden con los recursos de ayuda más utilizados por el profesorado del centro (Figura 3B), en el que se destaca la aportación de modelos y ejemplos, ayudas para la búsqueda de información y la resolución de dudas.
Dado que las actividades de esta investigación incluyen algunos de los recursos utilizados habitualmente por los profesores del centro y propuestos por Rivero Cardenas et al. (2013), como las sesiones de ayuda, aportación de trabajos modelo y la elaboración de actividades parecidas a las habituales de la asignatura; sería adecuado considerar que se ha realizado una buena selección de los recursos. Al mismo tiempo, las buenas calificaciones (Figura 6), rendimiento e interés de los alumnos (Figura 5) demuestran una buena utilización y efectividad de los mismos.
5.4 Carencias en el aprendizaje digital y sostenible
A pesar de las múltiples ventajas que ofrecen las nuevas tecnologías en la educación, muchos autores coinciden en que el uso de ordenadores y plataformas virtuales para realizar y diseñar juegos de rol no favorece una simulación real e inmersiva (Abella y Grande, 2010). Las mejores maneras para incluir el aprendizaje digital en los juegos de rol serían la utilización de programas informáticos para realizar alguna actividad, la presentación de la experiencia vivida mediante videos y/o blogs o bien la utilización del aula virtual para proporcionar información, realizar tareas adicionales y/o comunicarse (Area y Adell, 2009). Dado el poco uso del aula virtual en esta innovación educativa, se concluye que la metodología propuesta tiene carencias en el aprendizaje digital (Figura 7). Para mejorar esta situación, se podría incluir el uso del programa informático para el tratamiento de resultados, el manejo de gestores bibliográficos, o la explicación de resultados mediante presentaciones orales. En todo caso, y dado que recientes estudios demuestran que el profesorado todavía no dispone de las competencias digitales necesarias, para que estas medidas sean efectivas se debería formar al profesorado. Además, los centros educativos deben hacer un esfuerzo para dotar a sus aulas de los recursos informáticos necesarios (Fernández Cruz, Fernández Díaz y Rodríguez Mantilla, 2018).
El aprendizaje sostenible, por otra parte, tiene como propósito principal fomentar una vida sostenible, pacífica y justa para todos. Todos estos objetivos y aspectos se pueden trabajar mediante múltiples actividades, destacando el desarrollo y diseño de juegos de rol que permita trabajar al mismo tiempo conocimientos, valores y procedimientos de trabajo (Gil Rodríguez, 2010). En concreto, la Organización de las Naciones Unidas para la Educación la Ciencia y la Cultura (2017) propone realizar juegos de distribución para experimentar los efectos psicológicos de un tratamiento injusto. Teniendo en cuenta que ninguna actividad realizada en esta investigación hace referencia al aprendizaje sostenible, es adecuado afirmar que existe una gran carencia, por lo que se debería de tener en cuenta estos aspectos para futuras actividades.
5.5 Falta de extrapolación a otros centros
El poco uso actual de los juegos en la educación se debe principalmente a la gran carga de trabajo que supone para el profesor organizar y diseñar todas las actividades (Padilla Zea, Collazos Ordoñez, Gutiérrez Vela y Medina Medina, 2012) y la posible falta de consciencia del alumno sobre su propio proceso de enseñanza-aprendizaje (Gros Salvat, 2000). Dentro de los juegos de rol, además, se añade la necesidad de una ambientación y contexto espacial adecuados (Roda, 2010), debido a que una infrautilización de los mismos puede generar comportamientos pesimistas en alumnos y profesores (Domènech y Viñas, 1997). De hecho, Castro (2008) afirma que el aprendizaje basado en juegos necesita de una gran variedad de recursos y espacios, oportunidades y alta inversión económica para ser efectivo y ser lo suficientemente atractivo para el alumnado.
Los resultados obtenidos en este estudio contrastan con estas afirmaciones por presentar una buena valoración del alumnado sobre lo aprendido (Figura 2A) y alta consciencia sobre el propio proceso de enseñanza-aprendizaje, sobre todo en los aspectos de utilidad de los conocimientos aprendidos, esfuerzo, motivación y trabajo realizado (Figura 4). Asimismo, la carga de trabajo del profesor en cuanto a la organización y control de las actividades no fue excesiva, ya que los alumnos debían trabajar de manera autónoma durante cinco de las sesiones dedicadas a esta investigación. No obstante, la propuesta sí necesita de una serie de espacios y recursos determinados, como un laboratorio equipado y la participación de otros profesores para llevar la simulación más allá del aula. Por ello, la unidad no podría extrapolarse a centros con pocos recursos y/o escasa colaboración de la institución educativa, necesitando en estos casos de una alta inversión económica, organización del profesorado y más espacio, tal y como expresa Castro (2008).
6. CONCLUSIONES
Con el presente estudio se ha puesto de manifiesto que la falta de motivación e interés de los alumnos por las asignaturas de ciencias, su bajo rendimiento académico en dichas asignaturas y su percepción del trabajo de los científicos basada en tópicos y clichés, dificulta un aprendizaje significativo y la decisión de los estudiantes sobre su futuro laboral y académico. Esto releja la necesidad de desarrollar nuevas estrategias metodológicas que permitan solucionar este problema. Con esta investigación, se ha podido demostrar y concluir que el aprendizaje basado en juegos de rol permite conjugar de manera efectiva el estudio de los contenidos teóricos de asignaturas de ciencias con información sobre el mundo laboral, lo que facilita a los alumnos de estos niveles a seleccionar sus futuros estudios.
Por otro lado, la unidad didáctica llevada a cabo presenta actividades intrínsecamente motivadoras y estimulantes para los alumnos, lo que ha fomentado su autonomía e interés por las ciencias. Para la adecuada realización de tareas cooperativas se necesita trabajar previamente las habilidades organizativas, comunicativas, sociales y cooperativas de los alumnos, sin importar el método de formación de grupos elegido.
REFERENCIAS
Abella, V., y Grande, M. (2010). Juegos de rol como estrategia educativa: percepciones de docen- tes en formación y estudiantes de secundaria. Teoría de La Educación. Educación y Cultura En La Sociedad de La Información, 11(3), 27–55.
Almeida, F. (2010). Los juegos de rol en la Geografía. Un ejemplo práctico. In M. J. Marrón Gaite (Ed.), Geografía, educación y formación del profesorado en el marco del espacio europeo de educación superior (pp. 107–118). España. Asociación Española de Geografía, Grupo de Didáctica de la Geografía (AGE).
Área de Innovación Educativa de Fundación Telefónica. (2014). Decálogo de un proyecto innova- dor: guía práctica. Fundación Telefónica.
Area, M., y Adell, J. (2009). E-Learning: Enseñar y Aprender en Espacios Virtuales. In J. De Pablos (Ed.), Tecnología Educativa. La formación del profesorado en la era de Internet. (pp. 391–424). Malaga: Aljibe.
Arias, N. M. (2012). Uso de un juego de rol como herramienta de motivación en la enseñanza de la química. Universidad Nacional de Colombia.
Cáceres, N. J. (2015). Juegos de roles como estrategia motivadora en el aprendizaje por competencia en los cadetes de la escuela militar de chorrillos. Universidad de San Martín de Porres.
Campbell, B. (2009). Pupils’ Perceptions of Science Education at Primary and Secondary School. En: H. Behrendt (Ed.), Research in Science Education – Past, Present, and Future (pp. 125– 126). https://doi.org/10.1007/0-306-47639-8_16
Castro, S. (2008). Juegos , Simulaciones y Simulación-Juego y los entornos multimediales en educación ¿mito o potencialidad? Revista de Investigación Educativa, 32(65), 223–246.
Coll, C. (2006). Lo básico en la educación básica. Relexiones en torno a la revisión y ac- tualización del currículo de la educación básica. Redie, 8(1), 1–17. Doi: https://doi. org/10.1007/978038729822110.
Corchuelo Rodriguez, C. A. (2018). Gamiicación en educación superior: experiencia innovadora para motivar estudiantes y dinamizar contenidos en el aula. EDUTEC. Revista Electrónica de Tecnología Educativa, 0(63), 29–41. Doi: https://doi.org/10.21556/edutec.2018.63.927.
De Soto García, I. S. (2018). Herramientas de gamificación para el aprendizaje de ciencias de la tierra. Edutec-e Revista Electrónica de Tecnología Educativa, 65, 29–39.
Decret de les Illes Balears 34/2015 de 15 Maig de 2015.
Domènech, J., y Viñas, J. (1997). La organización del espacio y del tiempo en el centro educativo. Barcelona: Graó.
Echeita, G. (1995). El aprendizaje cooperativo. Un análisis psicosocial de sus ventajas respecto a otras estructuras de aprendizaje. In P. Fernández y A. Melero (Eds.), La interacción social en contextos educativos (pp. 167-192). Madrid (España): Siglo XXI.
Echeverría, A., García-Campo, C., Nussbaum, M., Gil, F., Villalta, M., Améstica, M., y Echeverría, S. (2011). A framework for the design and integration of collaborative classroom games. Computers and Education, 57(1), 1127–1136. Doi: https://doi.org/10.1016/j.compedu.2010.12.010.
Fajardo, F., Maestre, M., Felipe, E., León, B., y Polo, M. I. (2017). Análisis del rendimiento académico de los alumnos de secundaria obligatoria según las variables familiares. Educación XXI, 20(1), 209–232. Doi: https://doi.org/10.5944/educXX1.14475.
Fernández Cruz, F. J., Fernández Díaz, M. J., y Rodríguez Mantilla, J. M. (2018). El Proceso De Integración Y Uso Pedagógico De Las Tic En Los Centros Educativos Madrileños. Educación XX1, 21(2), 395–416. Doi: https://doi.org/10.5944/educxx1.17907.
Furió Mas, C., Vilches, A., Guisasola, J., y Romo, V. (2001). Finalidades de la enseñanza de las ciencias en la secundaria obligatoria. ¿Alfabetización científica o preparación propedéutica? Enseñanza de Las Ciencias, 19(3), 365–376.
Gaete-Quezada, R. A. (2011). El juego de roles como estrategia de evaluación de aprendizajes universitarios. Educación y Educadores, 14(2), 289–307. Doi: https://doi.org/ISSN 0123–1294.
Gallego, D. J., y Alonso, C. M. (2014). Los medios y los recursos didácticos. In I. Cantón y M. Pino-Juste (Eds.), Diseño y desarrollo del currículum. Madrid (España): Alianza Editorial.
Gil Rodríguez, C. (2010). El juego de rol aplicado a la educación ambiental. Temas Para La Educación, (7), 1–9.
Gros Salvat, B. (2000). La dimensión socioeducativa de los videojuegos. Revista Electrónica de Tecnología Educativa, 12, 11.
Hamari, J., Shernof, D. J., Rowe, E., Coller, B., Asbell-Clarke, J., y Edwards, T. (2016). Challen- ging games help students learn: An empirical study on engagement, low and immersion in game-based learning. Computers in Human Behavior, 54, 170–179. Doi: https://doi.or- g/10.1016/j.chb.2015.07.045.
Harlen, W. (1997). Primary Teachers Understanding in science and its impact in the classroom. Research and Science Education, 27(3), 323–337.
Herberth, A. (2016). La gamificación como estrategia metodológica en el contexto educativo universitario. Journal, 19. Doi: https://doi.org/10.5377/ryr.v44i0.3563.
Hofstein, A., y Lunetta, V. N. (2004). The Laboratory in Science Education: Foundations for the Twenty-First Century. Science Education, 88(1), 28–54. Doi: https://doi.org/10.1002/ sce.10106.
Kapp, K. M. (2012). The gamiication of learning and instruction: Game-based methods and strategies for training and education. San Francisco, 480. Doi: https://doi.org/10.4018/jgc- ms.2012100106.
Kulikand, J. A., y Kulik, C. C. (1987). Efects of Ability Grouping on Student Achievement. Equity y Excellence in Education, 23(1–2), 22–30. Doi: https://doi.org/10.1080/1066568870230105.
Lam, S., Yim, P., Law, J. S., y Cheung, R. W. (2004). The Efects of Classroom Competition on Achievement Motivation. British Journal of Educational Psychology, 74, 281–296.
León del Barco, B. (2006). Elementos mediadores en la eficacia del aprendizaje cooperativo: entrenamiento en habilidades sociales y dinámicas de grupo. Anales de Psicología, 22(1), 105–112.
Lerragalde, T., Vilches, A., y Darrigran, G. (2009). Los científicos según la mirada de los estudiantes de secundaria. Jornadas de Enseñanza e Investigación Educativa En el Campo de Las Ciencias Exactas y Naturales, 2(2), 171–175.
Méndez Coca, D. (2015). Estudio de las motivaciones de los estudiantes de secundaria de física y química y la influencia de las metodologías de enseñanza en su interés. Educacion XX1, 18(2), 215–235. Doi: https://doi.org/10.5944/educXX1.14016.
Molina Álvarez, J. J., Ortiz-Colón, A. M., y Agreda Montoro, M. (2017). Análisis de la integración de procesos gamiicados en Educación Primaria. In J. Ruiz- Palmero, J. Sánchez-Rodríguez, y E. Sánchez-Rivas (Eds.), Innovación docente y uso de las TIC en educación (pp. 1–10). Málaga: UMA Editorial.
Moya, A. M. (2010). Recursos didácticos en la enseñanza. Innovación y Experiencias Educativas, 1–9.
Muphy, C., y Begg, J. (2003). Children’s perceptions of school science. School Science Review, 84(308), 109–116.
Orejudo González, J. P. (2019). Gamiicar Tareas de Lectura en una Segunda Lengua: un Estudio Preliminar. Revista de Estudios y Experiencias En Educación, 18(36), 95–103. Doi: https://doi. org/10.21703/rexe.20191836orejudo13.
Organización de las Naciones Unidas para la Educación la Ciencia y la Cultura. (2017). Educación para los Objetivos de Desarrollo Sostenible. Recuperado de http://unesdoc.unesco.org/images/0025/002524/252423s.pdf.
Organización de las Naciones Unidas para la Educación la Ciencia y la Cultura. (2017). Educación para los Objetivos de Desarrollo Sostenible. Educación Para Los Objetivos de Desarrollo Sostenible. Recuperado de http://unesdoc.unesco.org/images/0025/002524/252423s.pdf.
Osborne, J., Simon, S., y Collins, S. (2003). Attitudes towards science: A review of the literature and its implications. International Journal of Science Education, 25(9), 1049–1079. Doi: https://doi.org/10.1080/0950069032000032199.
Ospina, J. (2006). La motivacion, motor del aprendizaje. Ciencias de La Salud, 4(especial), 158– 160. Doi: https://doi.org/1692-7273.
Padilla Zea, N., Collazos Ordoñez, C. A., Gutiérrez Vela, F. L., y Medina Medina, N. (2012). Videojuegos educativos: Teorías y propuestas para el aprendizaje en grupo. Ciencia e Ingeniería Neogranadina, 22, 139–150.
Pallarés, M. (1993). Técnicas de grupo para educadores. Madrid (España): Publicaciones ICCE.
Palmer, D. (2007). What Is the Best Way to Motivate Students in Science? Teaching Science-he Journal of the Australian Science Teachers Association, 53(1), 38–42.
Papastergiou, M. (2009). Digital Game-Based Learning in high school Computer Science educa- tion: Impact on educational efectiveness and student motivation. Computers and Education, 52(1), 1–12. Doi: https://doi.org/10.1016/j.compedu.2008.06.004.
Pérez López, I. (2007). Los juegos de rol en educación física: un gran aliado para desarrollar la salud en el ámbito escolar. Tándem: Didáctica de la educación física, 24, 49–59.
Prensky, M. (2001). The Games Generations: How Learners Have Changed. Computers in Entertainment, 1(1), 1–26. Doi: https://doi.org/10.1145/950566.950596.
Rivero Cardenas, I., Gómez Zermeño, M., y Abrego Tijerina, R. F. (2013). Tecnologías educativas y estrategias didácticas : criterios de selección. Revista Educación y Tecnología, 3, 190–206.
Roda, A. (2010). Juego De Rol Y Educación, Hacia Una Taxonomía General. Teoría de La Educación. Educación y Cultura En La Sociedad de La Información, 11(3), 185–204.
Rodriguez Oroz, D., Gómez Espina, R., Bravo Pérez, M. J., y Truyol, M. E. (2019). Aprendizaje basado en un proyecto de gamificación: vinculando la educación universitaria con la divulgación de la geomorfología de Chile. Revista Eureka Sobre Enseñanza y Divulgación de Las Ciencias, 2(16), 1–13. Doi: https://doi.org/10.25267/Rev.
Romero, M., y Quesada, A. (2014). Nuevas tecnologías y aprendizaje significativo de las ciencias. Enseñanza de las Ciencias, 32 (1), 101-115.
Sierra Daza, M. C., y Fernández-Sánchez, M. R. (2019). Gamificando el aula universitaria. Análisis de una experiencia de Escape Room en educación superior. Revista de Estudios y Experiencias En Educación, 18(36), 105–115. Doi: https://doi.org/10.21703/rexe.20191836sierra15.
Slavin, R. E. (1983). When does cooperative learning increase student achievement? Psychological Bulletin, 94(3), 429–445. Doi: https://doi.org/10.1037/0033-2909.94.3.429.
Truby, D. (2010). What Really Motivates Kids. Instructor, 119, 26–29.
Tuero, E., Cervero, A., Esteban, M., y Bernardo, A. (2018). ¿Por qué abandonan los alumnos universitarios? variables de influencia en el planteamiento y consolidación del abandono. Educación XX1, 21(2), 131–154. Doi: https://doi.org/10.5944/educxx1.20066.
Williams, K. C., y Williams, C. C. (2011). Five key ingredients for improving student motivation. Research in Higher Education Journal, 12, 1–23. Doi: https://doi.org/10.5430/ijhe.v4n1p22.