Investigación
Recepción: 21 Enero 2021
Recibido del documento revisado: 13 Mayo 2021
Aprobación: 29 Junio 2021
DOI: https://doi.org/10.21703/0718-5162.v21.n46.2022.013
Financiamiento
Fuente: Vicerrectoría Académica, Universidad Diego Portales
Nº de contrato: N°2019_03
Resumen: El pensamiento crítico es una habilidad caracterizada por el juicio reflexivo guiado por un propósito, que permite realizar un análisis bien fundamentado y que es esencial para un proceso de toma de decisiones, consistente y exitoso con el aprendizaje requerido por la sociedad actual. En las carreras de Ingeniería, el pensamiento crítico es fundamental para la resolución de problemas complejos. Surge entonces la necesidad de medir oportunamente, el estado del pensamiento crítico desde las matemáticas en los estudiantes de ingeniería, considerando que esta disciplina es esencial en el trabajo de un ingeniero. El objetivo del presente estudio es el diseño de un instrumento de medición del pensamiento crítico, basado en las matemáticas, el cual resulte confiable y válido, tomando en cuenta los elementos de la teoría clásica que miden los tests. Se aplica el instrumento de acuerdo a seis dimensiones del pensamiento crítico a 371 estudiantes de primer año de las carreras de Ingeniería en una universidad chilena durante el año 2020. Entre los resultados obtenidos se observaron debilidades en las dimensiones de “Argumentación”, “Analizar Hipótesis y Resultados” y “Razonamiento lógico”. Por otra parte, se obtuvo que los estudiantes de primer año tienen mayor facilidad en las dimensiones “Interpretar”, “Inferir” y regular habilidad en “Resolución de problemas”. Conocer las dimensiones en las cuales los estudiantes presentan fortalezas y debilidades entrega información relevante para el desarrollo de metodologías de aprendizaje más focalizadas, que permitan fortalecer el pensamiento crítico en estudiantes de ingeniería.
Palabras clave: Pensamiento crítico, instrumento de medición, matemáticas, primer año, ingeniería.
Abstract: Critical thinking is a skill characterized by reflective and purpose-driven judgment, which allows for well-founded analysis. This skill is essential for a consistent decisionmaking process and successful learning required by today's society. In engineering careers, critical thinking is essential for solving complex problems. The need then arises to timely measure the state of critical thinking in engineering students, considering that this discipline is essential in the work of an engineer. This study aims to design an instrument for measuring critical thinking based on mathematics that is reliable and valid, considering elements of the classical theory of tests. The instrument measures six dimensions of critical thinking and was applied to 371 first-year engineering students at a Chilean university in 2020. Among the results obtained, weaknesses were observed in the dimensions of "Argumentation," "Analyze Hypothesis and Results," and "Logical reasoning." On the other hand, it was found that first-year students have a more outstanding facility in the dimensions "interpret," "infer," and regular ability in "problem-solving." Knowing the dimensions in which students present strengths and weaknesses provides relevant information for developing more focused learning methodologies and strengthening critical thinking in engineering students.
Keywords: Critical thinking, measuring instrument, mathematics, first year, engineering.
1. Planteamiento del problema
El pensamiento crítico ha sido destacado por la Organización para la Cooperación y el Desarrollo Económico (OCDE), como una de las habilidades clave para que los jóvenes sean trabajadores efectivos y ciudadanos integrales en el siglo XXI (Ananiadoui y Claro 2009). Se define como el tipo de pensamiento que consiste en evaluar críticamente la información y los argumentos, ver patrones y conexiones, construir conocimiento significativo y aplicarlo en el mundo (Fullan y Langworthy, 2014). No es un pensamiento negativo ni cínico, sino reflexivo, es un juicio reflexivo y guiado por un propósito, que se manifiesta en considerar de forma razonada la evidencia en conceptualizaciones, métodos, contextos y estándares para decidir qué creer y qué hacer (Facione y Gittens, 2015; Ossa-Cornejo et al., 2017). Como pensamiento complejo, involucra habilidades de comprensión, deducción, generación de juicios propios, capacidad de identificar y analizar argumentos y supuestos implícitos, percibir relaciones fundamentales, realizar inferencias correctas usando métodos deductivos e inductivos, evaluar evidencias y deducir conclusiones, efectuar evaluación y emitir juicios; siendo esencial para el aprendizaje (Meller, 2018). El pensamiento crítico es una habilidad que puede ser adquirida, a través de educación, instrucción y práctica (Snyder y Snyder, 2008).
En Ingeniería, se ha enfatizado el pensamiento crítico como una habilidad objetivo que debe ser incorporada en los programas educacionales (Domínguez, 2018; Naimpally et al., 2011). Una de las competencias que se espera y que es valorada en el mercado laboral de un ingeniero es la capacidad de resolver problemas reales en el trabajo (Jonassen et al., 2006). La conexión del pensamiento crítico y la resolución de problemas es estrecha, al requerir el análisis de información reflexivo, establecer conexiones lógicas y ser capaces de tomar decisiones (Ahern et al., 2019; Saíz y Rivas, 2008). Sin embargo, algunos estudios han advertido que la habilidad de pensamiento crítico en ingenieros graduados es menor a la que se espera en contextos reales (Ahern et al., 2019; Domínguez, 2018). Más aún, la necesidad de pensamiento crítico en ingeniería es creciente, al enfrentar problemas cada vez más relevantes en la sociedad actual como la incertidumbre, problemas de sustentabilidad medioambiental, cambio climático, pobreza y escasez de recursos (Adair y Jaeger, 2016; Seager et al., 2011). En este sentido, no solo cobra relevancia el pensamiento crítico en ingeniería, sino sobre ingeniería, es decir, qué debería aportar al estudiante la formulación de preguntas sobre la aplicación de la ingeniería en la sociedad (Claris y Riley, 2012).
Por esta razón, uno de los grandes desafíos para las escuelas de ingeniería y sus educadores es establecer estrategias educativas que sean capaces de potenciar el pensamiento crítico de sus estudiantes. Para ello, entre los grandes cuestionamientos se encuentra cómo evaluar el nivel de pensamiento crítico de los estudiantes (Adair y Jaeger, 2016). En este sentido, no existe consenso sobre cómo debería establecerse esta medición (Dwyer et al., 2014; Liu et al., 2014). Ahern et al. (2019) realizan una revisión de la literatura sobre pensamiento crítico en la educación de ingeniería y advierten que, si bien existe consenso sobre la necesidad de desarrollar un pensamiento crítico sólido en los ingenieros, se presenta escasez de literatura sobre cómo establecer un enfoque cohesivo de desarrollo de pensamiento crítico en los programas educativos, así como tampoco se establece con claridad cómo medirlo en los estudiantes, con qué frecuencia y cómo debería medirse el impacto de distintas intervenciones que pretenden mejorar la habilidad de los estudiantes. Concluyen que es claro que el desarrollo de pensamiento crítico en ingenieros no debería corresponder a esfuerzos de educadores individuales, sino que esto debe establecerse claramente en el currículo universitario.
Sobre los instrumentos de medición de pensamiento crítico, se presentan como los más representativos: el Watson-Glaser Critical Thinking Test, que explora los ámbitos de: inferencia, reconocimiento de supuestos, deducción, interpretación y evaluación de argumentos; con el objetivo de selección de trabajos de egresados y profesionales en las áreas de derecho, finanzas y otros, así como para evaluar a los gerentes en la evaluación de la gestión y la evaluación académica de estudiantes de cursos avanzados o seminarios (Watson y Glaser, 1980). El Ennis-Weir Critical Thinking Essay Test, en tanto, pretende evaluar la habilidad general de la dimensión de argumentación (Ennis y Weir, 1985). El California Critical Thinking Skills Test está dirigido a universitarios y permite evaluar cinco capacidades cognitivas: interpretación, análisis, evaluación, explicación e inferencia, utilizando ítems de opción múltiple (Facione, 1990). El Cornell Critical Thinking Tests es un instrumento que se planteó en dos niveles, para niños y jóvenes universitarios, con una estructura de opción múltiple, que miden las habilidades de inducción, credibilidad de una fuente, semántica, predicción y experimentación, falacias, deducción, definición e identificación de hipótesis (Ennis y Millman, 2005). En tanto, el Halpern Critical Thinking Assessment utiliza 50 preguntas cerradas y abiertas para medir el logro de la habilidad de pensamiento crítico, considerando cinco dimensiones: testeo de hipótesis, razonamiento verbal, argumentación, probabilidades e incertidumbre, además de resolución de problemas (Halpern, 2012). En Chile, el pensamiento crítico se ha evaluado en el razonamiento científico en estudiantes de pedagogía de acuerdo con el test de Tareas de Pensamiento Crítico de Miranda (2003), obteniendo buenos indicadores de confiabilidad (Ossa-Cornejo et al., 2018).
Si bien esta variedad de instrumentos entrega un amplio rango de posibilidades de evaluación de distintos procesos cognitivos y dimensiones del pensamiento crítico, tienen entre sus limitaciones que la mayoría de ellos consideran solo respuestas de opción múltiple y respuestas cerradas, que podría solo evaluar procesos de memorización, reconocimiento y selección, en lugar de pensamiento crítico (Franco et al., 2014). Además, se presentan preguntas, pudiendo parecer artificiales para los estudiantes y fallando en activar procesos cognitivos aplicados para la resolución de problemas en la vida real, o incluso disminuyendo la motivación para invertir esfuerzo intelectual en responder (Saíz y Rivas, 2008). El Halper Critical Thinking Assessment, si bien basa su evaluación en escenarios diarios presentados en lenguaje común, sus preguntas cerradas se valoran de manera similar a aquellas abiertas y presenta enunciados que han sido problematizados por ser muy ambiguos (Gutiérrez y Gallegos, 2019; Possin, 2013). Ninguno de estos instrumentos evalúa la competencia matemática ni utiliza las matemáticas para evaluar el pensamiento crítico, ni están dirigidos al contexto de ingeniería. En relación con las matemáticas, el pensamiento crítico y el pensamiento matemático presentan perspectivas de pensamiento congruentes (Osman et al., 2015a). En este sentido, el pensamiento crítico se presenta como la capacidad de pensar y establecer juicios razonados y reconstruir pensamientos; mientras que la capacidad de análisis capacidad de expresar pensamiento abstracto se considera pensamiento matemático (Ciltas y Isik, 2013). Más aún, la adquisición de conocimientos matemáticos contribuye al fortalecimiento del pensamiento crítico, dado que su aplicación en la resolución de problemas es un proceso que contribuye al desarrollo de información conceptual y operativa, en conjunto con la comprensión de conceptos y relaciones, así como en ayudar a los estudiantes a comprender otras áreas de estudio y ser capaces de pensar de manera lógica, analítica sistemática, crítica y creativa (Ajisuksmo y Saputri, 2017).
Osman et al. (2015b) proponen que el pensamiento crítico matemático es un proceso de pensamiento continuo, que involucra adquirir y usar de manera apropiada habilidades cognitivas relacionadas con la matemática para mejorar la calidad de pensamiento al analizar de forma crítica, racional y razonable, analizar e interpretar pensamientos. Estos investigadores demuestran una estrecha relación del pensamiento crítico y pensamiento matemático y su aplicabilidad real en el desempeño de ingenieros civiles en el trabajo (Osman et al., 2015a).
2. Objetivo de la investigación
De acuerdo con lo establecido previamente, la medición del pensamiento crítico en estudiantes de ingeniería es un desafío para el cual aún no existe consenso (Dwyer et al., 2014; Liu et al., 2014). Dada la relación que se establece entre el pensamiento crítico y el pensamiento matemático (Osman et al., 2015a), se propone desarrollar un instrumento de medición del pensamiento crítico a través de la matemática. Es decir, se detecta la necesidad de disponer de un instrumento sistemático, confiable y válido con base a contenidos básicos de matemáticas, que recoja las habilidades más importantes en la formación básica de un ingeniero en relación con las dimensiones del pensamiento crítico. Se pretende contribuir a profundizar en la investigación sobre la medición del pensamiento crítico, aportando con otros instrumentos de medición, pero basado en las matemáticas básicas que se requiere en un estudiante de primer año de ingeniería. Este instrumento permitirá conocer las dimensiones más débiles que se requieren fortalecer y focalizar en las asignaturas de primer año de ingeniería.
Para efectos de esta investigación, se define el pensamiento crítico en matemáticas como aquel que involucra adquirir y usar de manera apropiada habilidades cognitivas relacionadas con la matemática para mejorar la calidad de pensamiento, que incluyen conceptualizar, cuestionar, comprender, contrastar y analizar argumentos, supuestos y resultados, utilizar el razonamiento lógico, inferir, deducir, interpretar, sintetizar y/o evaluar, de manera activa, eficiente y reflexiva, la información disponible o generada por la experiencia y reflexión, para la resolución de problemas, toma de decisiones y el logro de aprendizajes significativos. Definición adaptada de acuerdo con Meller (2018) y Osman et al. (2015b).
Se plantea la aplicación del instrumento en primer año de ingeniería porque, dada la importancia del pensamiento crítico previamente expuesta, se considera muy relevante conocer el nivel de esta habilidad en los estudiantes de ingeniería al iniciar la carrera, que permitan establecer un punto de partida previo a experimentar los programas educativos de la carrera. Se consideran los cursos de Cálculo 1 y Cálculo 2, que son parte del currículum de primer año de las carreras de ingeniería en la Universidad Diego Portales en Chile. El aprendizaje de estos cursos es vital para la adquisición de conocimiento más avanzado matemático, así como la habilidad de comprender, razonar lógicamente, expresar lenguaje simbólico y resolución de problemas (Ajisuksmo y Saputri, 2017).
A partir de lo expuesto, se presenta como objetivo:
Diseñar un instrumento de medición válido y confiable para medir el pensamiento crítico a través de la matemática, mediante su aplicación en las asignaturas de Cálculo 1 y Cálculo 2 de primer año de las carreras de Ingeniería.
3. Diseño metodológico
La presente investigación se considera como un estudio exploratorio puesto que se trata de medir una característica de los sujetos que no se ha medido antes bajo un nuevo constructo. El proceso formal parte de la premisa que el pensamiento crítico puede ser medido en sus distintas dimensiones que se han definido, con el propósito de recoger los datos empíricos mediante el instrumento construido. Con respecto al grado de abstracción se puede decir que es básica en el sentido que pretende construir nuevo conocimiento aumentando la teoría sobre el pensamiento crítico en general, pero no deja de ser aplicada en el sentido que forma una base para aplicaciones didácticas. Para cumplir los objetivos de estudio, se considera la elaboración de un instrumento de medición del pensamiento crítico. Para ello, se realiza una revisión bibliográfica de las dimensiones que se incluyen en la habilidad y luego se elaboran preguntas que capturen cada dimensión.
Para la elaboración de preguntas, se considera como modelo el tipo de preguntas incluidas en el Programa para la Evaluación Internacional de los estudiantes (PISA), cuyo objetivo es medir el nivel de habilidades necesarias que han adquirido los estudiantes para participar plenamente en la sociedad actual (OECD, 2016). Tiene como edad objetivo estudiantes de 15 años. Más que determinar si se domina lo que se ha enseñado en la escuela, se centra en medir si los jóvenes son capaces de usar el conocimiento y las destrezas adquiridas dentro y fuera de la escuela para resolver problemas en nuevos contextos académicos y no académicos (Meller, 2018).
En matemáticas, la evaluación de la prueba PISA se basa en el concepto de competencia matemática, que relaciona razonamiento matemático y resolución de problemas (OECD, 2016). La competencia matemática se define como la capacidad individual de razonar matemáticamente y formular, emplear e interpretar matemáticas para resolver problemas en una variedad de contextos reales; e incluye una serie de componentes del pensamiento matemático, incluyendo razonamiento, modelación y establecer conexiones entre ideas (Niss, 2014). El instrumento se considera adecuado como modelo de partida para la construcción de preguntas, dado que está construido con el fin de medir la competencia matemática en el marco de medir habilidades del siglo XXI que incluyen el pensamiento crítico; así como dada la vinculación del pensamiento matemático con el pensamiento crítico.
3.1 Contexto
El estudio se llevó a cabo en la Universidad Diego Portales de Chile en el año 2020 en estudiantes de primer año de la Facultad de Ingeniería y Ciencias. De acuerdo con el currículum, los cursos de Cálculo 1 y Cálculo 2 se consideran parte del primer año de las carreras de Ingeniería. Los programas educativos en esta universidad se organizan en semestres de cinco meses de duración. El curso de Cálculo 1 considera como contenido: funciones, límites, continuidad, derivadas y aplicaciones de la derivada, y se lleva a cabo en el primer semestre, mientras que el curso de Cálculo 2 incluye técnicas de integración, aplicaciones de la integral, integrales impropias, series numéricas y de potencias y se lleva a cabo el segundo semestre.
La distribución de estudiantes por sexo en la Facultad de Ingeniería y Ciencias es predominantemente masculina, con un ingreso aproximado de 20% de mujeres en primer año el año 2020.
3.2 Características de la muestra
Se consideraron como potenciales participantes estudiantes de primer año de las carreras de Ingeniería cursando los cursos de Cálculo 1, Cálculo 2, de un universo de 566 estudiantes. Se consideraron solo respuestas completas emitidas en la fecha establecida para la validación del instrumento.
De acuerdo con estos criterios, se obtuvo una muestra compuesta por 371 estudiantes de primer año de Ingeniería, representando un 65,6% de los estudiantes que ingresaron el primer semestre del 2020 a la facultad de Ingeniería de la Universidad Diego Portales. Los alumnos que estaban cursando Cálculo 1 correspondían a estudiantes que reprobaron el primer semestre y los del Cálculo 2 los que aprobaron el Cálculo 1.
Las características de la muestra se recogen en el Tabla 1 y Figura 1.


De acuerdo con lo expuesto en la Tabla 1 y la Figura 1, la mayor frecuencia de estudiantes se encuentra en la carrera de Ingeniería Civil Industrial, con aproximadamente el 49%. La mayoría de las respuestas se obtuvo en el curso de Cálculo 2 y de género masculino. La participación femenina es menor en todas las carreras y todos los cursos, observándose que en la muestra no hay mujeres en el curso de Cálculo I de la carrera de Ingeniería Civil Informática. Por otra parte, las edades de los y las estudiantes se encuentran entre 18 y 24 años con un promedio de 19 años, igual que la mediana y una desviación estándar muy baja (1,2 DE).
El detalle de la distribución de los estudiantes por carrera, curso y género, puede observarse en la Figura 1.
3.3 Diseño y aplicación del Instrumento
Para la elaboración del instrumento se realizó una revisión de la literatura respecto a las dimensiones del pensamiento crítico. Las preguntas consideraron la captura de estas dimensiones, utilizando como modelo el tipo de preguntas de la prueba PISA de matemática.
Los contenidos que se consideraron en la creación del instrumento corresponden a: manejo de expresiones algebraicas, cálculo de porcentajes, concepto y propiedades básicas de valor absoluto, resolución básica de problemas con ecuaciones de primer orden, la ecuación de la recta e interpretación de la pendiente, propiedades básicas de los números reales y conceptos básicos de lógica.
Las preguntas que se diseñaron eran de distintos tipos: 13 preguntas de selección múltiple, 32 de respuestas múltiples (preguntas en las cuales puede haber más de una alternativa correcta), 5 de respuesta numérica donde se debía completar con un número, por ejemplo, preguntas tipo secuencia.
Para la validación de las dimensiones, los contenidos de las preguntas y el tipo de preguntas por dimensión se realizaron, durante el mes de julio del 2019, dos talleres con profesores del área de matemáticas, con una participación de 12 profesores con postgrados en matemáticas y con experiencia en dictar los cursos de matemáticas de primer año.
Con base en las sugerencias del equipo de profesores se hicieron ajustes. El instrumento ajustado se aplicó a una muestra piloto conformado por 75 estudiantes de primer año elegidos al azar durante el mes de octubre del 2019, con el fin de asegurar la comprensión adecuada de las preguntas. La prueba piloto se aplicó de forma presencial y permitió asegurar que las preguntas se comprendían y que las alternativas estaban bien construidas.
La aplicación del instrumento final se aplicó en línea a través de la plataforma Canvas® en dos momentos de tiempo separados por una semana (forma A y forma B con 25 preguntas cada una), a fines del mes de agosto del 2020. En este momento, los estudiantes se encontraban iniciando el segundo semestre, es decir, iniciando el curso de Cálculo 2 o iniciando la repetición del curso de Cálculo 1.
Esto con la finalidad de contrastar los resultados y utilizar una técnica para medir confiabilidad, que se detalla en la sección Medición de confiabilidad y validez.
El tiempo de aplicación del instrumento fue de 2 horas por cada forma de 25 preguntas.
3.4 Descripción de las dimensiones y tipo de preguntas del instrumento
De acuerdo con la OCDE, se destacan 4 macroprocesos cognitivos involucrados en el pensamiento crítico: inquirir, imaginar, hacer o ejecutar y reflexionar. Estos involucran distintas dimensiones del pensamiento crítico (Vincent-Lancrin et al., 2019). Las dimensiones consideradas en cada proceso cognitivo se enumeran en la Tabla 2.

El instrumento aplicado incluye las siguientes dimensiones:
D1_ Interpretar: Se refiere a la capacidad de explicar, describir y/o relacionar los contenidos y gráficas asociados a un concepto. Interpretar se considera una dimensión crítica de los procesos cognitivos incluidos en el pensamiento crítico, específicamente el proceso de inquirir, que incluye desafiar o cuestionar afirmaciones u otras interpretaciones (Vincent-Lancrin et al., 2019).
En el pensamiento matemático, interpretar “es la atribución de significados a las expresiones iniciales del cálculo de modo que todas las expresiones estructuradas del cálculo adquieran sentido (significación y sentido, nombre, semántica lógica)” (Pantoja y Zúñiga, 2006, p. 253). El cálculo interpretado constituye un lenguaje formalizado con el que se formulan y demuestran distintas proposiciones de sentido (Pantoja y Zúñiga, 2006).
El investigador Facione (1990) señala que el consenso entre los expertos es que la interpretación es “comprender y expresar el significado o la relevancia de una amplia variedad de experiencias, situaciones, datos, eventos, juicios, convenciones, creencias, reglas, procedimientos o criterios” (Facione, 1990, p. 8).
Ejemplo de pregunta donde más se destaca esta dimensión es:
Un caracol tarda 1,2 horas en recorrer un circuito en sentido horario. Un segundo caracol solo tarda 72 minutos en recorrer el mismo circuito en el sentido antihorario. Se puede afirmar que:
Un caracol es más lento que el otro.
El caracol es más rápido al bajar que al subir el circuito.
Un caracol recorre el circuito en un tiempo inferior al otro caracol.
Ninguna de las anteriores.
En este tipo de pregunta el primer problema que se enfrenta el estudiante es interpretar una variable en las mismas unidades, en este caso que 1,2 horas es igual que 72 minutos, lo que da sentido a las respuestas señaladas. Además, debe interpretar que es indiferente la posición del circuito.
D2_ Inferir: en el pensamiento crítico, la imaginación es un proceso cognitivo que juega un rol muy importante en la elaboración de una idea. Incluye ser capaz de plantear teorías, suposiciones y realizar inferencias (Vincent-Lancrin et al., 2019).
La dimensión de inferir en el pensamiento matemático se refiere a la capacidad de realizar inferencias, es decir derivar a partir de figuras u objetos o de una serie de números, el siguiente o subsiguientes elementos que correspondan. Según el Diccionario de lógica (Gortari, 2000), el término inferir significa “sacar consecuencias o extraer una cosa de otra” (Pantoja y Zúñiga, 2006, p. 258). Para el Diccionario filosófico se denomina inferir “a aquello que tiene una deducción o consecuencia dentro del proceso discursivo. Es el paso reflexivo de una proposición o grupo de proposiciones a otra llamada conclusión”. La inferencia se relaciona con una consecuencia lógica en el proceso de razonamiento” (Pantoja y Zúñiga, 2006, p. 227). Ejemplo de pregunta en matemática donde se requiere esta habilidad es:
¿Cuál o cuáles de los siguientes números pertenecen a la sucesión S= {1, 1, 2, 3, 5, 8, 13, …} a) 55 b) 63 c) 89 d) 100
En esta sucesión el estudiante debe inferir la regla de formación, y continuar su formación (Sucesión de Fibonacci). Requiere inferir la recurrencia de los números y comparar con los números dados. En matemática es también muy común la inferencia de figuras, por ejemplo, en fractales.
D3_Argumentar: en el pensamiento crítico, la imaginación incluye identificar y revisar alternativas, puntos de vista, teorías y suposiciones (Vincent-Lancrin et al., 2019). Este proceso permite una mejor identificación de las fortalezas y debilidades de una evidencia propuesta, argumentos y suposiciones (Dennet, 2013). Adicionalmente, el proceso cognitivo de ejecución del pensamiento crítico implica la habilidad de argumentar y justificar una posición de forma racional (Vincent-Lancrin et al., 2019).
Al respecto, se define la dimensión de argumentar como la capacidad de reflexionar y analizar argumentos válidos relativos a posibles alternativas de solución de problemas. Según el Diccionario de lógica (Gortari, 2000), argumentar es “argüir, sacar en claro, descubrir, probar” (Gortari, 2000, p. 45). Para Pérez y Flores (2007), argumentar “es un proceso discursivo que consiste en apoyar un opinión con pruebas y razones” (Pérez y Flores, 2007, p. 28).
Las preguntas asociadas a esta dimensión desde el pensamiento matemático evalúan la comprensión de la paradoja de Simpson, la capacidad de entender los argumentos asociados a una demostración matemática (se propuso la demostración que; n2 es par implica que n es par, y la demostración que √2 es irracional). Además, requiere establecer la diferencia de que algo es falso a pesar de que parece verdadero, por ejemplo, en una pregunta, comparamos el hecho de vender 60 libros con la promoción 5 por $20.000 con el hecho de vender 30 libros con la promoción 3 por $10.000 y vender otros 30 libros con la promoción 2 por $10.000.
Ejemplo de pregunta para la dimensión Argumentación en la prueba de pensamiento crítico, se tiene:
En la empresa EMPINNOV Ltda., se sabe que la función Utilidad U, de producir y vender una cantidad x de artículos está dada por la diferencia entre la función de Ingresos I y la función de Costos C. La función de ingresos está dada por el precio unitario del artículo multiplicado por la cantidad de artículos, la función de costos está dada por costos fijos CF más costos variables CV. Asuma que Ud. es un asesor del gerente y ha calculado que, se puede vender cada artículo a 35 dólares y que se tiene un costo fijo de 1000 dólares al mes para producir los artículos, y un costo variable igual a 25x dólares mensual. Además, por restricciones de capacidad de la empresa se puede producir un máximo de 500 artículos al mes. El gerente pregunta: ¿Es posible obtener una utilidad de 5000 dólares al mes, suponiendo que se puede vender todo lo que se produce en el mes?
¿Cuál de las siguientes respuestas del asesor responderían correctamente al gerente?:
Sí, es posible obtener esa utilidad, porque al producir 500 artículos al mes, se venderían a 35 cada uno, obteniendo una ganancia superior a 5000 dólares.
No es posible, porque se necesitaría producir más que el máximo de artículos que puede producir la empresa al mes para obtener esa utilidad.
No es posible, porque cuando se producen y venden menos de 100 artículos se obtienen pérdidas.
Sí, es posible porque si se producen 600 artículos se obtienen los 5000 dólares de utilidad.
En este tipo de preguntas se trata de encontrar una justificación matemática que asegure la validez de la argumentación. En este caso, la solución de una ecuación nos permite sustentar el argumento. Es muy común en el uso de la argumentación dar proposiciones que se apoyan en las estadísticas o probabilidades, el estudiante debe distinguir aquellas que son engañosas y conducen a falacias.
D4_Analizar hipótesis y resultados: en el proceso cognitivo de inquirir en el pensamiento crítico, se incluye la dimensión de análisis, que incorpora determinar y entender el problema; y evaluar resultados, examinando si las soluciones asociadas o supuestos están basados en hechos inadecuados o razonamiento, e identificar los espacios de conocimiento (Vincent-Lancrin et al., 2019). En su conjunto, se define la dimensión de análisis de hipótesis y resultados como la capacidad de identificar información relevante y considerar las hipótesis o supuestos adecuados para resolver un problema y analizar los resultados en función de los supuestos.
Facione (1990) afirma que los expertos manifiestan que el análisis “consiste en identificar las relaciones de inferencia reales y supuestas entre enunciados, preguntas, conceptos, descripciones u otras formas de representación que tienen el propósito de expresar creencia, juicio, experiencias, razones, información u opiniones” (Facione, 1990, p. 9). Los expertos incluyen además examinar las ideas, detectar y analizar argumentos como parte de las habilidades del análisis.
Las preguntas asociadas a esta dimensión piden al estudiante analizar hipótesis en enunciados matemáticos.
Ejemplo donde se destaca esta dimensión es:
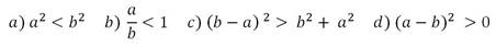
Si a y b son números reales cualesquiera tal que a es menor que b, y b es distinto de cero, determine cuál o cuáles de las siguientes afirmaciones es verdadera.

En este tipo de problema se necesita analizar si los diferentes resultados son consistentes con los supuestos o hipótesis. Este análisis se sustenta en axiomas, definiciones, proposiciones cuya verdad se conoce, también es importante para el análisis conocer los errores más comunes que se cometen en el razonamiento dentro de una determinada área de la matemática, lo que se conoce como los bloques epistemológicos, por ejemplo, en esta pregunta suponer que los números son positivos.
D5_ Resolver problemas: la resolución de problemas se enmarca en el proceso cognitivo de ejecutar o hacer del pensamiento crítico, que se establece directamente como producto del juicio razonado. Un proceso cognitivo posterior del pensamiento crítico es la reflexión, que incluye la evaluación de la solución y sus limitaciones (Vincent-Lancrin et al., 2019).
Matemáticamente, resolver problemas se refiere a la capacidad de solucionar problemas y tomar decisiones, aplicando herramientas matemáticas válidas para la resolución. El término resolver, según (Gortari, 2000) significa “resumir, epilogar, recapitular; analizar una cosa compuesta en sus partes o elementos, para reconocerlos cada uno de por sí” (Gortari, 2000, p. 455).
En esta dimensión es que se presentan el mayor número de problemas de aplicación en matemática, en estos se requiere utilizar los conocimientos matemáticos dados por reglas que se fundamentan en fórmulas, identidades, teoremas, definiciones, propiedades establecidas anteriormente, es decir todo el bagaje matemático que se ha adquirido. Ejemplo de ello se tiene:
Cuatro estudiantes universitarios de regiones deciden arrendar una casa en Santiago, la cual posee dos pisos, dos baños, una cocina, un comedor, un living, 6 habitaciones, una terraza y tiene 120 metros cuadrados de superficie total. Consideran repartir en partes iguales el arriendo mensual. Sin embargo, se dan cuenta que, si aumentan en dos el número de estudiantes, su cuota mensual se reduce en 35.000 pesos. ¿Cuánto cuesta el arriendo mensual de la casa?
En este tipo de pregunta se trata de utilizar lo que se sabe de ecuaciones de primer grado, discriminar entre; información del contexto del problema y la información que se requiere para resolver el problema planteado, plantear una ecuación y resolverla. La resolución de problemas tiene un amplio alcance en la literatura, partiendo de lo que se entiende por ¿qué es un problema? En la investigación se consideró como problema aquella situación que implica un reto o desafío y requiere una respuesta usando las herramientas matemáticas, que moviliza un proceso cognitivo superior. A diferencia de un ejercicio, donde solo se ejecutan procesos repetitivos que el estudiante ya conoce (Mayer, 2000).
D6_Razonamiento lógico: el razonamiento lógico, es una dimensión que está incluida parcialmente en el proceso cognitivo de inquirir del pensamiento crítico, que se refiere al pensamiento racional, que incluye chequear hechos, observar, establecer conexiones. Es necesario para el proceso de cognitivo de ejecución del juicio (Vincent-Lancrin et al., 2019).
Matemáticamente, el razonamiento lógico se refiere a la capacidad de aplicar el razonamiento lógico, es decir utilizar contenidos de la lógica en una situación teórica matemática o en contexto real, ya sea uso de conectivos y/o proposiciones lógicas.
Para Rico y Lupiáñez (2008), los razonamientos suponen un conocimiento de los conceptos y de su extensión, lo cual permite su procedimiento por medio de secuencias razonadas, basadas en relaciones de conexión, inferencia o implicación.
En matemática la exposición y dominio del conocimiento son procesos racionales sustentados en la lógica, por ejemplo, la deducción se basa en las operaciones de clasificación y ordenamiento. En la resolución de problemas el buen uso de los conectivos del cálculo proposicional es primordial, así como el uso de cuantificadores del cálculo de predicados, lo que permite la identificación de las falacias (Copi, 2011).
Las preguntas asociadas a esta dimensión evalúan la capacidad que tiene el estudiante de usar conectores lógicos, de resolver una ecuación o inecuaciones mediante equivalencias, de determinar si implicaciones son verdaderas o falsas, de usar los axiomas adecuados para demostrar resultados fundamentales en matemáticas (una de las preguntas analiza la demostración que “Si x≠0 entonces )x2>0”.
Ejemplo de pregunta del uso del razonamiento lógico es:
Un buen amigo suyo, Pedro, le dice: “si mañana llueve, entonces no salgo”. Determine la o las afirmaciones que son ciertas.
Si al día siguiente Pedro ha salido, entonces no ha llovido.
Si al día siguiente Pedro no ha salido, entonces ha llovido.
Si al día siguiente el cielo está muy oscuro, entonces Pedro no saldrá.
Si al día siguiente Pedro no ha salido, entonces es más probable que haya llovido a que no haya llovido.
Este es un problema típico de utilización del cálculo proposicional, en este caso la equivalencia lógica de la implicación y su contra recíproca, p implica q es lógicamente equivalente a no q implica no p. En el uso diario del razonamiento se utilizan constantemente deducciones que son falaces, cayendo en contradicciones o paradojas, la matemática que pretende constituirse en un lenguaje más preciso debe respetar estrictamente las reglas de la lógica, es importante que nuestros estudiantes se vayan acostumbrando a ser más rigurosos en ese aspecto.
3.5 Medición de confiabilidad
Para analizar la consistencia interna del instrumento de evaluación del pensamiento crítico, se consideró la muestra de 371 estudiantes que se describió en la sección de Características de la muestra.
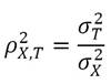
Para obtener una validación del instrumento confiable, se aplicó un método cuantitativo considerando indicadores de la teoría clásica de validación de instrumentos. Se calculan dos índices de confiabilidad: el KR-20 y el índice de las dos mitades (Hogan y Viveros 2015; Nunnally y Bernstein, 1995).
El índice KR-20 se calcula mediante la fórmula:

donde M es el número de preguntas, es la varianza del puntaje obtenido por los estudiantes en la pregunta k y es la varianza del puntaje total obtenido por los estudiantes.
Se obtuvo un índice KR20 igual a 0,8 el cual, según Nunnally y Bernstein (1995), es un buen índice de confiabilidad, cuando este es superior a 0,7. El KR20, que es un caso particular del alfa de Cronbach, se puede interpretar desde la teoría clásica de los tests (C.T.C.).
Más precisamente, podemos asumir que tenemos:
X=T+ε, donde X es el resultado obtenido por el alumno, T es el puntaje que debería haber obtenido y ε es un error. Un índice de confiabilidad según Thorndike (1996) es:

El coeficiente alfa de Cronbach fue propuesto en 1951 por Cronbach como un estadístico para estimar la confiabilidad de una prueba, o de cualquier compuesto obtenido a partir de la suma de varias mediciones. Este coeficiente, que es igual al KR20 cuando cada pregunta es dicotómica, estima el valor de al evaluar la consistencia interna del conjunto de ítems o partes del compuesto. En este sentido, se corresponde con un coeficiente de equivalencia y, por lo tanto, estima la varianza que en los puntajes observados corresponde a factores comunes de los diferentes ítems.
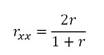
Para asegurar que los resultados de confiabilidad sean certeros, se utilizó el índice de las dos mitades (Cozby y Ayala, 2005). El procedimiento que se sigue es el siguiente: se divide aleatoriamente el instrumento en dos instrumentos de 25 preguntas cada uno de 10.000 maneras distintas, y luego, por cada división, se calcula el coeficiente de correlación de Pearson entre los resultados obtenidos en ambos instrumentos de 25 preguntas, y luego se aplica la corrección de Spearman-Brown, la cual entrega el coeficiente del índice de las dos mitades. El valor mínimo que se obtuvo es de 0.74, el valor máximo es de 0.88 y el valor promedio de los 10.000 coeficientes del índice de las dos mitades es de 0.82 (Hogan y Viveros, 2015).
La fórmula de corrección de Spearman-Brown se define de la manera siguiente: si r es el coeficiente de correlación entre ambas partes, entonces el coeficiente de confiabilidad obtenido por el índice de las dos mitades es igual a:

De acuerdo con cómo se utiliza habitualmente, se dividió el instrumento entre las preguntas pares e impares, de un total de 50 preguntas, obteniendo un coeficiente de correlación de 0.72, y; luego de aplicar la fórmula de Spearman-Brown, se obtuvo el coeficiente del índice de las dos mitades igual a 0.84.
Los valores de los distintos índices de confiabilidad que se obtienen en ambos índices son muy parecidos entre ellos y, además, son satisfactorios para fines de investigación de acuerdo con lo estipulado en (Hogan y Viveros, 2015; Muñiz, 2002).
3.6 Medición de validez
La validación de contenido del instrumento se realizó mediante el juicio crítico de doce expertos profesores universitarios del Instituto de Ciencias Básicas de la Universidad Diego Portales, quienes tienen postgrados en matemáticas y mucha experiencia en los cursos de matemáticas universitarias. La participación de los profesores fue completamente voluntaria. Se realizaron dos talleres de validación, una por cada forma del instrumento. Se les presenta el objetivo de cada dimensión a evaluar y posteriormente se les solicita la revisión de cada pregunta en detalle, incluyendo su redacción y las alternativas de solución. Entre los aspectos de análisis se les solicitó que valoraran el grado de comprensión de la pregunta, la claridad, la coherencia con las alternativas de solución y pertinencia de acuerdo con la definición de la respectiva dimensión.
En estas sesiones los profesores escribieron sus comentarios y sugerencias de cambios en una planilla, y un visto bueno si validaban la pregunta. Posterior a la realización de los talleres se realizó una matriz de cruce de comentarios y sugerencias por cada experto, seleccionado las preguntas a las que se debía hacer ajustes y dejando sin cambios las preguntas validadas por todos.
4. Resultados de la aplicación
Considerando la muestra de 371 estudiantes, la media y mediana de resultados fueron muy similares, tal que en promedio los y las estudiantes contestaron aproximadamente 23 preguntas y que al menos la mitad contestaron 23 o más preguntas de manera correcta, con un mínimo de 7 preguntas y un máximo de 39 preguntas correctas de un total de 50 preguntas. En la Tabla 3 se observan los estadísticos descriptivos.
Al comparar los cursos de Cálculo 1 y Cálculo 2, aquellos que se encontraron en Cálculo 2 en promedio contestan más preguntas de manera correcta respecto a los que están cursando Cálculo I. Se realizó una prueba de inferencia estadística con la prueba t para muestras independientes, que mostró diferencias significativas en el número de respuestas correctas entre ambos cursos, siendo significativamente mayor el número de respuestas en el curso de Cálculo 2. Se considera significativo un valor p< 0,05. La prueba t se expone en la Tabla 4.


Respecto al número de respuestas correctas entre hombres y mujeres, la Figura 2 expone un diagrama de cajas por curso agrupado por género. La mediana de respuestas correctas para hombres y mujeres fue de 21 y 16 en el curso de Cálculo 1, respectivamente; mientras que en el curso de Cálculo 2 fue de 24 y 23 para hombres y mujeres, respectivamente. Se realizó, además, una prueba de inferencia estadística con la prueba t para muestras independientes, de donde se obtuvo que no hay diferencias significativas según género con un 95% de confianza. La prueba t se expone en la Tabla 5.


Por último, en la Figura 3, se presenta un diagrama de caja con las respuestas correctas por dimensión del instrumento. Las dimensiones con menor porcentaje de respuestas correctas fueron Argumentar, Análisis de hipótesis y resultados (supuestos) y Razonamiento Lógico. En cambio, las que presentaron mayor porcentaje de respuestas correctas correspondieron a las dimensiones de Interpretar e Inferir. A nivel general en todas las dimensiones se observa mayores porcentajes de respuestas correctas en el curso de Cálculo 2, es decir, en los estudiantes que aprobaron Cálculo 1 el primer semestre.

5. Discusión
El propósito del presente estudio fue desarrollar un instrumento validado para medir el pensamiento crítico a través de la matemática, a partir de la aplicación en estudiantes universitarios de primer año de ingeniería en una universidad chilena.
Entre las fortalezas del estudio se encuentra que se elaboraron preguntas que requieren habilidades matemáticas no muy complejas, usando como modelo en su mayoría el tipo de preguntas consideradas en la prueba PISA de matemáticas. Esto las hace apropiadas para aplicarlas en cursos iniciales de ingeniería, permitiendo establecer una aproximación del nivel de pensamiento crítico en estos estudiantes. Lo anterior establece una diferencia de otros instrumentos diseñados para medir el pensamiento crítico que no utilizan las matemáticas ni establecen como objetivo medir la competencia matemática, como el Halpen Critical Thinking Assesment o el Cornell Critical Thinking Test (Ennis y Millman, 2005; Halpern, 2012); o que son dirigidos con otros propósitos en cursos avanzados, como el Watson-Glaser Critical Thinking est o el test de Tareas de Pensamiento Crítico (Miranda, 2003; Watson y Glaser, 1980).
Conocer el nivel de pensamiento crítico a través de la matemática permite obtener un perfil de tal competencia, tanto individual como colectiva, para orientar el proceso de enseñanza y aprendizaje de la matemática de primer año universitario en Ingeniería. Aplicaciones sucesivas de este tipo de preguntas podrían otorgar información útil en cuanto a la progresión del pensamiento matemático y pensamiento crítico, así como servir de instrumento para evaluar intervenciones dirigidas a potenciar este tipo de pensamiento. Al respecto, se obtiene como resultado esperado que los estudiantes cursando el segundo semestre de cálculo (Cálculo 2) obtuvieron resultados significativamente mejores que aquellos que reprobaron el curso y se encontraban cursando el primer semestre de cálculo (Cálculo 1).
Respecto al análisis por género, no se encontraron diferencias significativas en esta muestra, lo cual es concordante con otros estudios hechos sobre pensamiento crítico en general (Bagheri y Ghanizadeh, 2016; Muñiz, 2002; Salahshoor y Rafiee, 2016). Se añade que, en este caso, no hubo diferencias significativas al medir el pensamiento crítico a través de la matemática en estudiantes de ingeniería. Otros estudios han reportado que no existen diferencias significativas en el desempeño de estudiantes de ingeniería entre hombres y mujeres, tanto a nivel individual como en trabajo en equipo (McAnear y Seat, 2002). Se reconoce que la muestra, al igual que la distribución a nivel general de la carrera, presenta un número mucho más bajo de mujeres respecto al número de hombres.
Entre las limitaciones de este estudio se encuentra el formato de algunas de las preguntas consideradas para la construcción del instrumento. Si bien no en su totalidad, se consideraron preguntas de selección múltiple que, aunque son más fáciles y objetivas de calificar, puede impedir la medición de la dimensión deseada en función de otros procesos cognitivos como el reconocimiento y selección de una respuesta. Es decir, los procesos cognitivos del pensamiento pueden no ser evaluados completamente, ya que a los encuestados no se les pide que elaboren su pensamiento respondiendo preguntas, sino evaluando respuestas construidas (Franco et al., 2014).
Además, si bien la mayoría establecía enunciados de problemas adaptados a contextos que simularan la realidad, algunas preguntas correspondían a enunciados matemáticos, pudiendo parecer artificiales para los estudiantes (Sainz y Rivas, 2008). El objetivo de los autores al incluir este tipo de preguntas fue no tan solo capturar la dimensión Análisis de hipótesis y resultados, sino también identificar si los alumnos son capaces de abstraer sus ideas en lenguaje formal. La capacidad de expresar pensamiento abstracto se considera parte del pensamiento matemático (Ciltas y Isik, 2013).
Se discute, además, un aspecto que ya ha sido problematizado por otros autores como Douglas (2012). Esto es que, para medir el pensamiento crítico, los instrumentos separan esta habilidad en distintas dimensiones que se considera están incluidas o son requeridas para lograr el pensamiento crítico, asumiendo que quien logra estas habilidades debe ser capaz de pensar críticamente, particularmente en otros contextos reales. Sin embargo, en lugar de una lista discreta de habilidades o dimensiones independientes, el pensamiento crítico incluye retroalimentación e interacción entre las habilidades (Douglas, 2012). Según la OCDE, se destacan 4 procesos cognitivos involucrados en el pensamiento crítico: inquirir, imaginar, hacer o ejecutar y reflexionar. Estos involucran distintas dimensiones del pensamiento crítico (Vincent-Lancrin et al., 2019). En este estudio, se consideraron 6 dimensiones, incluidas en los procesos cognitivos de inquirir, imaginar y hacer o ejecutar; sin necesariamente capturar completamente dichos procesos y sus interacciones.
Otra de las limitaciones de la investigación es que el instrumento fue aplicado en un contexto de pandemia a través de una plataforma web, por lo que las condiciones del entorno no estuvieron controladas y no necesariamente fueron las adecuadas para que los estudiantes pudieran rendir de manera concentrada las pruebas.
Entre los alcances de la investigación cabe mencionar que se aplicó exclusivamente a los y las estudiantes de la muestra descrita, por lo tanto, no se puede inferir los resultados a estudiantes de otras universidades.
Futuras líneas de investigación incluyen la aplicación del instrumento en otras universidades para analizar los resultados y hacer estudios comparativos. Además, se plantea como mejora metodológica elaborar preguntas que, si bien utilicen herramientas matemáticas, tengan un mayor énfasis en la resolución de problemas complejos en contexto real que incluyan aspectos como problemas de sustentabilidad medioambiental, cambio climático, pobreza y escasez de recursos; problemas a los cuales están cada vez más enfrentados los ingenieros en la actualidad (Seager et al., 2011). A juicio de los autores, esto disminuiría aún más el sesgo de evaluar una lista discreta de dimensiones, en lugar de medir de forma integral el pensamiento crítico.
Además, se considera una línea de investigación relevante incorporar preguntas que capturen el proceso cognitivo de reflexionar, en el cual, aunque se haya determinado una solución del problema - considerada como superior a otras -, la persona sea capaz de reflexionar sobre su perspectiva, sobre sus limitaciones y sus incertidumbres, y esté abierta a incorporar otras ideas (Vincent-Lancrin et al., 2019). En el caso de ingeniería, este proceso cognitivo del pensamiento crítico es relevante en el cuestionamiento sobre el rol de la ingeniería, que debería aportar al estudiante la formulación de preguntas sobre la ingeniería en la sociedad (Claris y Riley, 2012). Los autores creen que la medición de este proceso es fundamental especialmente en etapas más avanzadas de la carrera.
Por último, se espera que el diseño y validación de este tipo de instrumentos contribuya a establecer con mayor claridad, cómo medirlo en estudiantes de ingeniería en distintos niveles.
6. Conclusiones
El propósito del presente estudio fue desarrollar un instrumento para medir el pensamiento crítico a través de la matemática a partir de la aplicación en estudiantes universitarios de primer año de ingeniería en una universidad chilena. Se obtuvo un instrumento validado de 50 preguntas, que involucran las dimensiones de Interpretar, Inferir, Argumentar, Análisis de hipótesis, Resolver problemas y Razonamiento lógico. Se ofrecen ejemplos del tipo de preguntas que se utilizaron para capturar cada dimensión.
Conocer las dimensiones en las cuales los estudiantes presentan fortalezas y debilidades entrega información relevante para el desarrollo de metodologías de aprendizaje más focalizadas, que permitan fortalecer el pensamiento crítico en estudiantes de ingeniería. Se considera la aplicabilidad del instrumento es amplia, abarcando ámbitos educativos y de investigación, constituyéndose en un elemento valioso para detectar las debilidades que presentan los estudiantes y por tanto permite tener elementos para decidir estrategias que permitan fortalecer ciertas dimensiones en los programas de matemáticas.
Agradecimientos
Este estudio fue financiado por el Fondo de Investigación en Docencia, N°2019_03 Vicerrectoría Académica, Universidad Diego Portales.
Referencias
Adair, D., y Jaeger, M. (2016). Incorporating Critical Thinking into an Engineering Undergraduate Learning Environment. International Journal of Higher Education, 5(2), 23-39. https://doi.org/10.5430/ijhe.v5n2p23.
Ahern, A., Dominguez, C., McNally, C., O’Sullivan, J.J., y Pedrosa, D. (2019). A literature review of critical thinking in engineering education. Studies in Higher Education, 44(5), 816-828. https://doi.org/10.1080/03075079.2019.1586325.
Ajisuksmo, C., y Saputri, G. (2017). The Influence of Attitudes towards Mathematics, and Metacognitive Awareness on Mathematics Achievements. Creative Education, 8(3), 486-497. https://doi.org/10.4236/ce.2017.83037.
Ananiadoui, K., y Claro, M. (2009). 21st Century Skills and Competences for New Millennium Learners in OECD Countries. OECD Education Working Papers, 41. https://doi.org/10.1787/19939019.
Bagheri, F., y Ghanizadeh, A. (2016). Critical Thinking and Gender Differences in Academic Self-regulation in Higher Education. Journal of Applied Linguistics and Language Research, 3(3), 133-145.
Ciltas, A., y Isik, A. (2013). The effect of instruction through mathematical modelling on modelling skills of prospective elementary mathematics teachers. Educational Sciences: Theory and Practice, 13(2), 1187-1192.
Claris, L., y Riley, D. (2012). Situation critical: critical theory and critical thinking in engineering education. Engineering Studies, 4(2), 101-120. https://doi.org/10.1080/19378629.20 11.649920.
Copi, I. M. (2011). Introducción a la lógica, 2a ed (2.a ed.). Editorial Limusa.
Cozby, P. C., y Ayala, L. E. P. (2005). Métodos de investigación del comportamiento. McGraw-Hill Education.
Dennet, D.C. (2013). Intuition Pumps and Other Tools for Thinking. Penguin Books.
Domínguez, C. (2018). A European collection of the Critical Thinking skills and dispositions needed in different professional fields for the 21st century. UTAD.
Douglas, E. P. (2012). Defining and Measuring Critical Thinking in Engineering. Procedia - Social and Behavioral Sciences, 56, 153-159. https://doi.org/10.1016/j.sbspro.2012.09.642.
Dwyer, C., Hogan, M., y Stewart, I. (2014). An integrated critical thinking framework for the 21st century. Thinking Skills and Creativity, 12, 43-52. https://doi.org/10.1016/j. tsc.2013.12.004.
Ennis, R. H., y Millman, J. (2005). Cornell Critical Thinking Test Level X. (5.a ed.). The Critical Thinking Company.
Ennis, R. H., y Weir, E. (1985). The Ennis-Weir Critical Thinking Essay Test (Measurement instrument). Midwest Publications.
Facione, P. (1990). Critical Thinking: A Statement of Expert Consensus for Purposes of Educational Assessment and Instruction - The Delphi Report. California Academic Press.
Facione, P., y Gittens, C. (2015). Think Critically. Pearson.
Franco, A., Almeida, L., y Saiz, C. (2014). Pensamiento crítico: Reflexión sobre su lugar en la Enseñanza Superior. Education Siglo XXI, 32(2). https://doi.org/10.6018/j/202171.
Fullan, M., y Langworthy, M. (2014). A Rich Seam. Pearson.
Gortari, E. (2000). Diccionario de la lógica. Plaza y Valdés.
Gutiérrez, J. A., y Gallegos, R. R. (2019). Theoretical and Methodological Proposal on the Development of Critical Thinking through Mathematical Modeling in the Training of Engineers. Proceedings of the Seventh International Conference on Technological Ecosystems for Enhancing Multiculturality. Published. https://doi.org/10.1145/3362789.3362828.
Halpern, D. F. (2012). Halpern Critical Thinking Assessment (Measurement instrument). Schuhfried.
Hogan, T. P., y Viveros, S. (2015). Pruebas psicológicas: Una introducción práctica (2.a ed.). Editorial El Manual Moderno.
Jonassen, D., Strobel, J., y Lee, C. B. (2006). Everyday Problem Solving in Engineering: Lessons for Engineering Educators. Journal of Engineering Education, 95(2), 139-151. https://doi.org/10.1002/j.2168-9830.2006.tb00885.x.
Liu, O., Frankel, L., y Roohr, K. (2014). Assessing Critical Thinking in Higher Education: Current State and Directions for Next-Generation Assessment. ETS Research Report Series, (1), 1-23. https://doi.org/10.1002/ets2.12009.
Mayer, R. (2000). Diseño Educativo para un aprendizaje constructivista. En C. M. Reigeluth (Ed.), Diseño de la instrucción teorías y modelos: un nuevo paradigma de la teoría de la instrucción (1.a ed., pp. 153-172). Santillana.
McAnear, T., y Seat, E. (2002). Perceptions of team performance: a comparison of male and female engineering students. 31st Annual Frontiers in Education Conference. Impact on Engineering and Science Education. Conference Proceedings (Cat. No.01CH37193). Published. https://doi.org/10.1109/fie.2001.964012.
Meller, P. (2018). Claves para la educación del futuro. Creatividad y pensamiento crítico. Editorial Catalonia.
Miranda, C. (2003). El pensamiento crítico en docentes de educación general básica en Chile: un estudio de impacto. Estudios pedagógicos (Valdivia), 29. https://doi.org/10.4067/s0718-07052003000100003.
Muñiz, J. (2002). Teoría clásica de los tests. Ediciones Pirámide.
Naimpally, A., Ramachandran, H., y Smith, C. (2011). Lifelong Learning for Engineers and Scientists in the Information Age. Elsevier.
Niss, M. (2014). Mathematical Competencies and PISA. En K. Stacey & R. Turner (Eds.), Assessing Mathematical Literacy (pp. 35-55). Springer.
Nunnally, J.C., y Bernstein, I.J. (1995). Teoría psicométrica (3ª ed). McGraw-Hill.
OECD. (2016). Pisa Ten Questions for Mathematics Teachers and How Pisa Can Help Answer Them. OECD.
Osman, S., Abu, S., Mohammad, S., y Mokhtar, M. (2015a). Interrelation among pertinent elements of critical thinking and mathematical thinking in the real-world practice of civil engineering. Malaysian Journal of Civil Engineering, 27(2), 290-304. https://doi.org/10.11113/mjce.v27.15926.
Osman, S., Mohammad, S., y Abu, M. S. (2015b). A preliminary study on the integral relationship between critical thinking and mathematical thinking among practicing civil engineers. AIP Conference Proceedings, 1660(1). https://doi.org/10.1063/1.4915748.
Ossa-Cornejo, C., Palma-Luengo, M., Lagos-San Martín, N., y Díaz-Larenas, C. (2018). Evaluación del pensamiento crítico y científico en estudiantes de pedagogía de una universidad chilena. Revista Electrónica Educare, 22(2), 1. https://doi.org/10.15359/ree.22-2.12.
Ossa-Cornejo, C., Palma-Luengo, M., Lagos-San Martín, N., Quintana-Abello, I., y Díaz-Larenas, C. (2017). Análisis de instrumentos de medición del pensamiento crítico. Ciencias Psicológicas, 11(2), 19. https://doi.org/10.22235/cp.v11i2.1343.
Pantoja, L., y Zúñiga, G. (2006). Diccionario filosófico. Nika Editorial S.A.
Pérez, L. V., y Flores, S. M. (2007). Desarrollo de la alfabetización en niños de preescolar. UNAM.
Possin, K. (2013). Some Problems with the Halpern Critical Thinking Assessment (HCTA) Test. Inquiry: Critical Thinking Across the Disciplines, 28(3), 4-12. https://doi.org/10.5840/inquiryct201328313.
Rico, L., y Lupiáñez, J. L. (2008). Competencias matemáticas desde una perspectiva curricular. Alianza Editorial.
Saíz, C., y Rivas, S. F. (2008). Evaluación en pensamiento crítico: Una propuesta para diferenciar formas de pensar. Ergo, Nueva Época, 22(23), 25-66.
Salahshoor, N., y Rafiee, M. (2016). The Relationship between Critical Thinking and Gender: A Case of Iranian EFL Learners. Journal of Applied Linguistics and Language Research, 3(2), 117-123.
Seager, T., Selinger, E., y Wiek, A. (2011). Sustainable Engineering Science for Resolving Wicked Problems. Journal of Agricultural and Environmental Ethics, 25(4), 467-484. https://doi.org/10.1007/s10806-011-9342-2.
Snyder, L., y Snyder, M. (2008). Teaching Critical Thinking and Problem Solving Skills. The Delta Pi Epsilon Journal, 50, 90-99.
Thorndike, R. L. (1996). Psicometría aplicada. Limusa.
Vincent-Lancrin, S., Bouckaert, M., González-Sancho, C., Fernández-Barrerra, M., Jacotin, G., De Luca, F., Urgel, J., & Vidal, Q. (2019). Fostering Students’ Creativity and Critical Thinking. OECD.
Watson, G., y Glaser, E. M. (1980). Watson-Glaser Critical Thinking Appraisal (Measurement instrument). Pearson Assessment.
Notas de autor
*Correspondencia: Sara Arancibia Carvajal. Correo electrónico: sara.arancibia@mail.udp.cl.