Investigación
El efecto del Aprendizaje Basado en Proyectos en el rendimiento académico de los estudiantes
The effect of project-based learning on students' academic performance
El efecto del Aprendizaje Basado en Proyectos en el rendimiento académico de los estudiantes
Revista de estudios y experiencias en educación, vol. 21, núm. 46, pp. 277-291, 2022
Universidad Católica de la Santísima Concepción. Facultad de Educación
Recepción: 25 Febrero 2021
Recibido del documento revisado: 19 Abril 2021
Aprobación: 13 Mayo 2021
Resumen: La presente investigación busca evidenciar la mejora en el resultado académico de los estudiantes que cursan una asignatura donde se aplicó el Aprendizaje Basado en Proyectos (ABPro) como estrategia didáctica. La experiencia se desarrolló con estudiantes del curso Evaluación de Proyectos del programa de Licenciatura en Ingeniería en Administración de Empresas de la sede Calama de la Universidad Tecnológica de Chile INACAP. La iniciativa se enmarca en los desafíos que enfrentan las instituciones de educación superior por la puesta en práctica de alternativas pedagógicas relacionadas con el aprendizaje activo y la innovación en la enseñanza. Para la evaluación de su efecto sobre el rendimiento académico, se llevaron a cabo dos cuasi-experimentos con grupos de control diferentes. Los resultados muestran que el ABPro tiene un efecto positivo y significativo sobre las calificaciones de los estudiantes.
Palabras clave: Aprendizaje basado en proyectos, evaluación de impacto, aprendizaje activo, evaluación de proyectos.
Abstract: This research seeks to demonstrate the improvement in the academic results of students who take a subject where Project-Based Learning (ABPro) is applied as a didactic strategy. The experience began with students of a Project Evaluation course of the Bachelor in Business Administration program at the Calama campus of the Universidad Tecnológica de Chile INACAP. The initiative is part of the institutional challenges for the implementation of pedagogical alternatives related to active learning and teaching innovation. Two quasi-experiments were carried out with different control groups to evaluate its effect on academic performance. The results show that the ABPro has a positive and significant effect on the students' grades.
Keywords: Project-based learning, impact evaluation, active learning, project evaluation.
1. Introducción
A la luz de un conjunto de cambios sociales y productivos que están ocurriendo en el mundo, las instituciones de educación superior (IES) están revisando sus prácticas docentes para formar profesionales que puedan hacer frente a las necesidades y demandas de la actualidad y el futuro. Uno de los focos del trabajo llevado a cabo por las IES se centra en la búsqueda de estrategias didácticas que propicien el desarrollo de competencias, que permitan a las personas vivir una vida plena y desenvolverse en la sociedad.
El conjunto de veloces cambios tecnológicos ocurridos durante la última década, conocido como cuarta revolución industrial (Schwab, 2019), ha planteado una serie de desafíos para los sistemas educativos. El desarrollo de la inteligencia artificial, la automatización de procesos, la aplicación de internet de las cosas, el aprendizaje automático, o los avances que ha realizado la ciencia de datos, han configurado un nuevo panorama laboral, cuyas implementaciones se han acelerado por los efectos de la pandemia de COVID 19, obligando a que las IES revisen las mallas curriculares en cuanto a contenidos y métodos que utilizan los centros educativos para llevar a cabo la enseñanza y el aprendizaje (Ally y Wark, 2020; WEF, 2020a). En este sentido, debiera propenderse a que los estudiantes desarrollen habilidades que les permitan enfrentar los desafíos del futuro, tales como aprendizaje activo e implementación de estrategias de aprendizaje, resolución de problemas complejos, pensamiento crítico y análisis, creatividad, entre otros (WEF, 2020b).
Por otra parte, en el caso de los países latinoamericanos, las IES tienen el importante rol de apoyar la transición de las economías menos desarrolladas hacia la sociedad del conocimiento (Franco-Crespo et al., 2019). En particular, durante las últimas décadas en Chile, la democratización del acceso a la educación superior ha aumentado la heterogeneidad del alumnado (Bernasconi, 2017). Las IES nacionales, enfocadas antiguamente en un perfil de estudiante caracterizado por provenir de un nivel socioeconómico medio alto, dedicado exclusivamente a estudiar, con un desarrollo de competencias relativamente estandarizado, se han encontrado en la actualidad con una demanda formada por diferentes perfiles, tales como los estudiantes trabajadores o aquellos que provienen de sectores socioeconómicos menos favorecidos, quienes prefieren otros tipos de formatos educativos, y para los cuales es necesario adecuar las antiguas prácticas docentes. Por lo tanto, frente a esta heterogeneidad, debe propiciarse la utilización estrategias didácticas que permitan a los estudiantes hacerse cargo y ser responsables de su proceso de aprendizaje.
Ante este nuevo escenario internacional y nacional, los profesores se han visto obligados a actualizar sus enfoques de enseñanza (Doucet et al., 2018; Zavera, 2019). En particular, los estudiantes debieran prepararse para la resolución de problemas reales con escasa estructuración, fuertemente vinculados con su entorno, así como también, para implementar estrategias de aprendizaje con un fuerte componente de autogestión. Entre las estrategias pedagógicas que promueven este aprendizaje de carácter activo y experiencial se encuentra el Aprendizaje Basado en Proyectos (ABPro), una metodología centrada en el estudiante que permite a los alumnos involucrarse y desempeñar un papel protagonista en su aprendizaje (Quiroz y Castillo, 2017).
Aunque existe evidencia de la aplicación de ABPro en diferentes contextos y países, la evidencia de su uso en educación superior en Chile es escasa. Chen y Yang (2019) realizan un meta-análisis y concluyen que el uso de ABPro tiene un efecto positivo y significativo cuando se compara con el uso de un formato de enseñanza tradicional, aunque analizan minoritariamente la experiencia en educación superior, y no revisan experiencias relacionadas con Chile. De aquí se plantea la necesidad de contar con estudios que permitan comprender los efectos del ABPro en contextos de educación superior en Chile.
Por otra parte, es importante señalar la existencia de brechas relacionadas con temas de diseño metodológico. Guo et al. (2020), quienes realizan una revisión de 76 artículos científicos relacionados con el uso de ABPro, encuentran que menos de la mitad de los estudios utilizan grupos de control en sus investigaciones, lo que genera un espacio para mejorar las técnicas con las cuales se analizan los datos y se obtienen conclusiones. En este sentido, esta investigación utiliza el método cuasi-experimental de diferencias en diferencias para evaluar el impacto del ABPro en el rendimiento académico de un grupo de estudiantes de educación superior en Chile.
Otra de las motivaciones del presente estudio dice relación con la presentación de un método general para evaluar el impacto de las innovaciones pedagógicas que podrían implementarse en las IES u otros contextos de enseñanza. Esperamos que esta investigación permita alimentar la discusión relacionada con la evaluación de impacto de la práctica docente innovadora.
La siguiente sección detallará los aspectos centrales de lo que se entiende por aprendizaje activo y aprendizaje experiencial, para continuar con una definición de ABPro y la evidencia que existe en torno a su efecto sobre el rendimiento académico de los estudiantes. A continuación, se relatará el diseño y aplicación de la iniciativa, para proseguir con la exposición de los resultados y su discusión. El último capítulo desarrolla las conclusiones y propone líneas de trabajo futuro.
2. Desarrollo
2.1 Aprendizaje activo y aprendizaje experiencial
En todo el mundo, las IES se encuentran transitando desde la utilización de métodos tradicionales de enseñanza basados en la transmisión del conocimiento a un enfoque basado en el aprendizaje activo, que busca poner al estudiante en el centro del proceso de enseñanza aprendizaje. Sin embargo, encontrar una definición única de aprendizaje activo (AA) es un desafío. El Diccionario de Educación de Greenwood define el AA como “el proceso de hacer que los estudiantes participen en alguna actividad que los obliga a reflexionar sobre las ideas y cómo las están usando. Exigir que los estudiantes evalúen periódicamente su propio grado de comprensión y habilidad para manejar conceptos o problemas en una disciplina en particular” (Collins y O'Brien, 2003). También establece que, en el AA, el conocimiento se desarrolla a través de la participación y la contribución al proceso de aprendizaje en el cual los estudiantes se mantienen mental - y físicamente - activos a través de actividades que los involucran en el diseño de objetivos, la recolección y análisis de información y la resolución de problemas.
Habitualmente, el AA aparece como una respuesta a los métodos de enseñanza tradicionales y predominantes basados en conferencias (Brockliss, 1996; Pozo y Pérez, 2015). Recientemente, las críticas a su efectividad han provocado que las universidades revisen sus estrategias de enseñanza y se adapten a los desafíos que plantea el entorno. Los elementos centrales del AA son la actividad y la participación de los estudiantes en el proceso de aprendizaje (Prince, 2004). En un contexto de AA, los estudiantes "deben hacer" en lugar de solo "escuchar" (Bonwell y Eison, 1991), es decir, deben analizar y sintetizar, investigar, discutir y comunicarse entre ellos. El AA hunde sus raices en el constructivismo, una de las principales ramas de la psicología y las ciencias del aprendizaje, dado que el estudiante, a medida que trabaja en torno a determinadas actividades e interactúa con sus compañeros, profesor y el medio, construye su aprendizaje (Michael, 2006).
Otro concepto importante que debe revisarse es el aprendizaje experiencial (AE) (Kolb y Kolb, 2017). El AE puede entenderse como el desarrollo de competencias que se produce cuando la experiencia del alumno ocurre habitualmente fuera del aula y donde la propia experiencia es uno de los componentes básicos que desencadena el aprendizaje (Collins y O'Brien, 2003). A través del diseño, ejecución y evaluación de un proyecto desarrollado en un contexto real, los estudiantes desarrollan competencias de manera activa y se involucran en una experiencia que los métodos tradicionales de enseñanza tradicionales, como una clase de “tiza y pizarra” no pueden brindar. El trabajo en torno al proyecto daría cabida a una experimentación activa, una experiencia, una instancia reflexiva y, finalmente, una conceptualización abstracta, en un conjunto de etapas que se retroalimentarían dando origen al ciclo de aprendizaje experiencial (Kolb y Kolb, 2017). Trabajando en torno a proyectos reales, vinculados con el medio - con empresas locales - y trabajando en grupo, los estudiantes aprenden a participar activamente en su propio proceso de aprendizaje.
2.2 ¿Qué es el Aprendizaje Basado en Proyectos (ABPro)?
El uso de proyectos en la educación superior permite a los estudiantes participar activamente en su aprendizaje al diseñar, planificar, controlar y evaluar sus capacidades en un contexto real (Graef, 2010; Huber, 2008). De igual forma, dado que los estudiantes deben enfrentar problemas reales como información insuficiente, situaciones inesperadas y toma de decisiones en momentos de incertidumbre, el aprendizaje se da de forma vivencial (Wurdinger y Carlson, 2010).
El ABPro es una estrategia didáctica que promueve la participación activa tanto de estudiantes, profesores, y otros - como, por ejemplo, en la experiencia que se presenta aquí, los empresarios y trabajadores de las empresas donde se desarrollaron los proyectos -, siendo mencionada por primera vez en Kilpatrick (1918), continuando la teoría de su mentor Dewey (1997). El ABPro se caracteriza por ser una metodología centrada en el estudiante, lo que significa que existe un involucramiento y protagonismo de los alumnos en su propio aprendizaje, utilizando escenarios de la vida real, a partir de los cuales construyen conocimientos, habilidades y actitudes para responder o resolver una situación o crear un producto (Johari y Bradshaw, 2008). El ABPro tiene bases teóricas psicológicas sólidas, propicia el aprendizaje colaborativo (Helle et al., 2006) y se considera un generador de experiencia basada en el trabajo real (Boud y Solomon, 2001; Hanney, 2018). Se diferencia, por estos motivos, de las metodologías más tradicionales, en las que el rol del docente se limita al adoctrinamiento, impartir instrucciones e imponer un estilo específico de trabajo a los estudiantes (Hugerat, 2016). El ABPro es una estrategia didáctica novedosa (Ellis y Bond, 2016; Hanney, 2018) y una de las más utilizadas en las universidades de negocios (Smith y Gibson, 2016).
Helle et al. (2006) muestran cómo el ABPro tiene principios enraizados en la psicología cognitiva. Según estos autores, su esencia está en el problema al que se enfrentan los estudiantes al intentar diseñar y llevar a cabo un proyecto en un contexto real. Uno de los aspectos esenciales de ABPro es que contempla la construcción o fabricación de artefactos, cuando se trabaja en diferentes disciplinas o ámbitos educativos. Esto significa que los estudiantes deben trabajar en equipo para resolver las diferentes etapas relacionadas con objetivos claramente definidos. Como resultado, los estudiantes necesitan desarrollar habilidades que no se pueden aprender a través de métodos tradicionales de enseñanza o memorizando contenidos y respondiendo a una evaluación tipo test. El ABPro propicia el desarrollo del conocimiento vertical y horizontal al exponer a los estudiantes a trabajar en proyectos reales en empresas locales (Guile y Griffiths, 2001).
De la lectura de Hanney (2018), se puede desprender que el ABPro propiciaría el desarrollo de las competencias necesarias para que los estudiantes se desenvuelvan de manera adecuada enfrentando los desafíos del futuro. Esto quiere decir que esta estrategia didáctica permitiría a los estudiantes acceder directamente a los avances que están ocurriendo en la industria, lo que favorece que contrasten y reflexionen respecto de su formación en un contexto real. También es posible encontrar los fundamentos del ABPro en los trabajos de Piaget (1963) y Vygotsky (1978) sobre la colaboración cuando los estudiantes trabajan en equipo. En la práctica, a la hora de diseñar y ejecutar proyectos, los estudiantes trabajan en equipos orientados a establecer objetivos y lograr un producto concreto. En cada equipo, determinados roles pueden ser asumidos por los estudiantes, por ejemplo, director de proyecto, jefe de control de gestión o archivero, entre otros.
2.3 Evidencia del impacto del ABPro en los resultados del aprendizaje
En general, existe escasa evidencia de la efectividad del aprendizaje centrado en el estudiante o inspirado en el constructivismo (Clark, 2007; Kirschner et al., 2006; Sweller et al., 2007). En palabras de Condliffe et al. (2017), la evidencia es “prometedora, pero no probada”. En esa misma línea, la evidencia de los efectos del ABPro como herramienta de enseñanza en la educación superior es escasa; la mayoría de las investigaciones no consideran, en sus análisis de resultados, grupos de control, por lo que no es posible comprender la causalidad entre la aplicación del ABPro y los resultados obtenidos (Kokotsaki et al., 2016). La investigación de Pérez y Rubio (2020) es una excepción a esta situación, dado que proporciona una comparación entre los resultados académicos de un grupo de tratamiento y un grupo de control. El estudio muestra que los estudiantes que utilizan el método ABPro versus la enseñanza tradicional obtienen, en promedio, mejores calificaciones. Sin embargo, en términos metodológicos, sin controlar por la interacción entre las variables temporal y grupal - variables que podrían estar afectando al grupo de tratamiento y al grupo de control por separado, así como también variables que podrían influenciar a ambos grupos a lo largo del periodo de la implementación de la estrategia didáctica -, no es posible atribuir que las diferencias observadas al final de la intervención se deban, exclusivamente, al método de aprendizaje. Del mismo modo, Fini et al. (2018) muestran cómo la implementación de ABPro mejora significativamente las habilidades cognitivas de orden superior, la autoeficacia, el trabajo en equipo y las habilidades de comunicación en un curso de grado en ingeniería del transporte. Otros estudios realizados en escuelas primarias o secundarias nos brindan evidencia importante. Utilizando análisis multivariante, Cervantes et al. (2015) muestran que los estudiantes que participan en cursos mediante la utilización de ABPro obtienen mejores resultados en matemáticas y lectura que los estudiantes involucrados en cursos donde se usan métodos tradicionales. Özdemir et al. (2015) concluyen que el uso de ABPro es más eficaz para la enseñanza de las matemáticas que un método de enseñanza tradicional. Afriana et al. (2016) encuentran que el ABPro mejora también la alfabetización científica. Guo et al. (2019) analizan 76 artículos relativos a la aplicación de ABPro en contextos de educación superior, y concluye que, en general, los resultados pueden agregarse en tres categorías distintas: por una parte, hay una cantidad de artículos que evalúan resultados relacionados con la adquisición de conocimientos por parte de los estudiantes, otro grupo destaca la evaluación de resultados afectivos - en particular, percepciones de los estudiantes respecto del ABPro y su utilidad -, y, un tercer grupo de investigaciones se enfocan en resultados comportamentales, relacionados básicamente con habilidades, tales como, resolución de problemas, trabajo en grupo, pensamiento crítico, u otros. Llama la atención que solo 18 de los 76 estudios consideran la utilización de grupos de control como diseño metodológico, lo que invita a pensar respecto de mejoras que pueden realizarse en torno al análisis de datos. Finalmente, Chen y Yang (2019), a través de un meta-análisis que consideró 30 artículos científicos publicados entre 1998 y 2017, que incluye información relativa a 12.585 estudiantes de 189 centros educativos de 9 países a lo largo del mundo, concluyen que el ABPro tiene un efecto positivo y significativo cuando se compara con métodos de enseñanza tradicionales.
Para el caso de Chile, hasta nuestro conocimiento, no existe evidencia del impacto en el rendimiento académico del uso de ABPro en cursos de educación superior. Dada esta recopilación, los efectos del ABPro en el rendimiento académico de los estudiantes deben investigarse más a fondo utilizando métodos de evaluación más rigurosos, especialmente en el contexto educacional chileno. Esta investigación busca contribuir a ello.
2.4 Descripción de la experiencia
Previo al semestre de otoño de 2017, los docentes a cargo de la asignatura Evaluación de Proyectos, impartido en el séptimo semestre de la carrera de Ingeniería en Administración de Empresas de la sede de Calama de la Universidad Tecnológica de Chile INACAP, se reunieron para diseñar e implementar el ABPro. Se trataba de una asignatura orientada a proporcionar las bases para evaluar alternativas de negocio viables para la toma de decisiones financieras relevantes, así como también, para iniciarse en el conocimiento de las aplicaciones y herramientas utilizadas en el análisis de proyectos. Este diseño implicó el trabajo práctico de los estudiantes en pequeñas y medianas empresas locales.
Cincuenta y seis estudiantes, agrupados en dos secciones en jornada diurna y uno en jornada vespertina, formaron parte de los cursos de evaluación de proyectos en el otoño de 2017 en la sede Calama de la Universidad Tecnológica de Chile INACAP. La primera unidad se basó en conferencias, utilizando métodos tradicionales para el desarrollo de conocimientos iniciales y evaluado a través de una prueba tipo test. A partir de la segunda unidad, los alumnos comenzaron a trabajar en el diseño del proyecto. Los dueños de negocios, contactados gracias a gestiones de los mismos estudiantes apoyados por sus profesores, fueron invitados a las reuniones de avance con los docentes y alumnos. Los estudiantes sostuvieron reuniones a lo largo del semestre con los empresarios y con trabajadores de las diferentes empresas, para recolectar información y entregar avances producto de los análisis que se hacían en las áreas de recursos humanos, marketing y finanzas, así también como lo relacionado con el estudio de mercado. Durante las fases iniciales se desarrollaron diagnósticos para identificar y evaluar diferentes ideas de proyectos que tuviesen las empresas y que requirieran una evaluación. La interacción entre los diferentes actores enriqueció el trabajo de los estudiantes producto de la obtención de información y retroalimentación en tiempo real por parte de los empresarios y sus docentes. Los profesores se encargaron de orientar el trabajo de los estudiantes, ofreciendo asesoría experta a través del desarrollo de líneas alternativas de trabajo y entrega de bibliografía, además de calificar el desarrollo de competencias de los alumnos. Los estudiantes, entonces, elaboraron bajo el concepto de artefacto, documentos con evaluaciones de proyectos ad hoc para cada una de las empresas, que contenían, entre otros, viabilidad legal, estudio de mercado, análisis de demanda, flujos financieros, y resultados en diferentes escenarios.
3. Método
3.1 Participantes
El ABPro se implementó en la asignatura Evaluación de Proyectos en el séptimo semestre de la carrera Ingeniería en Administración de Empresas. El grupo de tratamiento estuvo conformado por 56 estudiantes que tomaron este curso en el otoño de 2017 en la sede Calama de la Universidad Tecnológica de Chile INACAP. Se implementaron pruebas para evaluar si los resultados académicos de los estudiantes del campus Calama eran mejores que los de los estudiantes de otras sedes.
Para evaluar el impacto de la aplicación de ABPro en el grupo de tratamiento, usamos dos grupos de control, es decir, dos experimentos ex post facto diferentes (Hoy y Adams, 2016). En la primera comparación, el grupo de control se construyó con la totalidad de los estudiantes que cursan la misma asignatura en las otras sedes de la universidad, lo que conformó un grupo de 495 estudiantes. Para reducir la heterogeneidad del grupo de control, elegimos un subgrupo de 56 estudiantes de este grupo mediante la técnica de emparejamiento por puntuación de propensión - o, en inglés, propensity score matching (Ovalle, 2015; Randolph et al., 2014). Las variables utilizadas para el emparejamiento fueron la edad, el sexo, la jornada y el número de años desde la graduación de la escuela secundaria. De esta manera, cada uno de los estudiantes de la sede Calama quedó emparejado con un estudiante que cursó la misma asignatura, el mismo semestre, en otra sede, y cuya edad, sexo y jornada eran muy similares.
3.2 Variables
Para comparar el desempeño académico de los estudiantes de los grupos de tratamiento y control, usamos las calificaciones de los estudiantes, las cuales oscilan en un rango de 1 a 7. La asignatura se dividió en cinco unidades. En la sede Calama, la primera unidad académica se impartió mediante conferencias tradicionales, al igual que en las otras sedes de la universidad. La calificación de la unidad 1 se utilizó luego como pre test. Desde la unidad 2 hasta la unidad 5, los estudiantes de la sede Calama trabajaron utilizando la metodología ABPro. La calificación promedio de la unidad 2 a la unidad 5 se utilizó como post test. Ambas calificaciones se utilizaron como variables dependientes para comparar el desempeño de los estudiantes de Calama, respecto de los estudiantes de otras sedes.
Dentro de las variables independientes se consideraron variables dummies para diferenciar el grupo de tratamiento y control, y también el pre y post test, además de la interacción entre ellos.
3.3 Análisis de los datos
Para analizar los datos, utilizamos el método cuasi-experimental de diferencias en diferencias (Gertler et al., 2017). Para estos efectos, se definió el siguiente modelo:

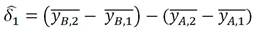
Donde y es la calificación final obtenida por el estudiante en la asignatura, DT es una variable ficticia - dummy - que captura los factores agregados que afectan el resultado académico de los estudiantes en el grupo de tratamiento versus el grupo de control y DC captura los efectos que influyen en el resultado académico de los estudiantes en el tiempo para ambos grupos, tratamiento y control. Finalmente, DT∙DC corresponde a la interacción entre las variables descritas anteriormente. El coeficiente de interés es, por tanto, δ1, definido como:

El estimador δ1 se conoce como el estimador de diferencias en diferencias. Se espera que este indicador sea significativo y mayor que cero, lo que sería evidencia a favor del impacto positivo de la implementación de la innovación pedagógica.
4. Resultados
Los resultados iniciales de la implementación de ABPro en la asignatura Evaluación de Proyectos se muestra en la Tabla 1. Como se puede observar, los estudiantes de la sede Calama obtienen una calificación inicial similar a aquella obtenida por los estudiantes en las restantes sedes de la universidad. Mientras en la sede Calama la calificación promedio de la primera unidad fue de un 4,7 - con un 67,8% de los estudiantes con una calificación sobre el 4,0 -, en las restantes sedes el promedio fue de un 4,8 - y un 66,1% de calificaciones sobre el 4,0 -, lo que muestra una relativa paridad en lo que respecta al desempeño inicial. Hacia el final del semestre, se puede observar que, en promedio, los estudiantes de sede Calama obtuvieron 4 décimas por sobre el promedio de los estudiantes de otras sedes y el porcentaje de aprobación fue de 96,4% en comparación con el 92,2%.

La información para realizar el primer análisis de diferencia de medias se muestra en la Tabla 2. Lo primero que se testea es el supuesto de normalidad en la distribución de la variable evaluación inicial y evaluación final. Tal como muestran los resultados, se debería rechazar la hipótesis de normalidad en cada uno de los casos, dependiendo del nivel de significancia. Como consecuencia de este resultado, a través del uso del test de Wilcoxon es posible evidenciar que, tanto para el caso de la sede Calama, así como para las otras sedes, el aumento entre la evaluación inicial y la evaluación final, es estadísticamente significativo. En otras palabras, tanto para la sede donde se implementa el ABPro, como para las sedes donde se implementan métodos tradicionales de enseñanza, la diferencia entre la evaluación final y la inicial es estadísticamente distinta de cero. Los resultados del test de Wilcoxon se muestran en la Tabla 3.


De la misma forma, se procedió a comparar el resultado obtenido por los estudiantes de la sede Calama, versus las demás sedes en cuanto a la evaluación inicial y la evaluación final. Los resultados se muestran en la tabla 4. Cuando se contrasta el resultado de la primera evaluación, se puede observar que la calificación promedio de los estudiantes de la sede Calama y las demás sedes no es estadísticamente significativa; pero cuando se compara el resultado de la evaluación final, su diferencia - las 4 décimas de diferencia que se muestran en la tabla 1 - sí es estadísticamente significativa. Por lo tanto, puede decirse que, aun cuando la diferencia de los resultados de la evaluación inicial entre los estudiantes de la sede Calama y las demás sedes no es estadísticamente distinta de cero, en el caso de la evaluación final esta diferencia sí lo es.

Una vez organizados los datos para realizar el análisis de regresión, se comprueba que la variable dependiente presenta una distribución normal. En la tabla 5 se muestran los resultados del análisis. Evidentemente, no existe evidencia que permita sostener que la variable sigue una distribución normal.

La Tabla 6 muestra los resultados de las dos regresiones. En primer lugar, se presentan los resultados que comparan el desempeño del grupo de tratamiento con un grupo de control formado por todos los alumnos que cursaron la asignatura en todas las sedes utilizando métodos tradicionales de enseñanza, que denominados “grupo de control sin match”. Luego, se muestran los resultados de la estimación cuando se utiliza un grupo de control seleccionado por el método de propensity score matching, que denominamos “grupo de control con match”. Debido a que los test realizados sobre los residuos no permiten aceptar la hipótesis de que siguen una distribución normal, se estimaron intervalos de confianza para cada parámetro utilizando la técnica de bootstrap (Pek et al., 2018).

La variable DT, que es la variable dicotómica que permite capturar el efecto de las características diferentes entre el grupo de control y el grupo de tratamiento, aparece como no significativa en ambos ejercicios. Esto es evidencia que no hay variables dentro de los grupos que estén afectando los resultados entre el grupo de tratamiento y el de control. Los resultados, cuando se realizan estimaciones sin la variable DT, no se alteran de manera significativa. Por este motivo, y para respetar la presentación original del modelo de evaluación de impacto, preferimos mostrar los resultados con la variable DT.
Respecto de la variable DC, se puede señalar que los resultados muestran que, a medida que avanzaba el semestre, el desempeño académico de los estudiantes mejoró en un promedio de 0,68 puntos en comparación con los de los estudiantes del grupo de control sin match y en 0,59 en comparación con los estudiantes con match. Ambos valores son estadísticamente significativos.
El R cuadrado, o la bondad de ajuste del modelo es de 0,093 cuando se compara la sede Calama con el resto de las sedes de Chile, y asciende hasta 0,166 cuando se utiliza el grupo de control obtenido por propensity score matching. Si bien es cierto, R cuadrado es un estadístico ampliamente utilizado en investigaciones, en el presente estudio ponemos foco en los parámetros y cómo su significancia se manifiesta como evidencia a favor del efecto de uso de la innovación pedagógica sobre el resultado académico de los estudiantes. Futuras investigaciones se concentrarán en analizar variables que podrían agregarse al modelo, de tal forma de obtener un mejor ajuste. Aun con esto, puede evidenciarse que, cuando se utiliza como grupo de control aquel conjunto de estudiantes obtenido por la técnica de propensity score matching, el R cuadrado mejora, pudiendo establecerse una mejor bondad de ajuste del modelo. En términos generales, aun cuando la transformación de variables podría haber provocado mejores ajustes del modelo, en la presente investigación se ha preferido favorecer la interpretabilidad de los resultados.
Respecto del error típico, puede observarse que en ambos casos bordea el valor 1, lo que significa que, en promedio, las calificaciones se desvían de la línea de regresión estimada en, aproximadamente, 1 punto. Considerando que el valor medio de las calificaciones del primer ejercicio es de 5,14 y de 5,19 en el segundo, se puede decir que el porcentaje de error promedio es de 22,9% y de 20,9% respectivamente. Como puede observarse, al igual que cuando se analizó la bondad de ajuste, cuando se utiliza como grupo de control aquel grupo obtenido por la técnica de propensity score matching, se obtienen mejores resultados.
Finalmente, como era de esperar, se observa que δ1, el parámetro de la variable DT∙DC es significativo y positivo en ambas estimaciones. Los estudiantes que usan el método ABPro obtienen 0,5 puntos más que los estudiantes que usan otros métodos de enseñanza, en comparación con el grupo de control sin match, y 0,59 punto s más en comparación con el grupo de control generado con la técnica de propensity score matching. Ambos resultados son estadísticamente significativos. Esto es evidencia de que - cuando se mantienen constantes otras variables - los estudiantes que se involucraron en la innovación pedagógica utilizando el método ABPro obtuvieron, en promedio, calificaciones más altas que los que no participaron en la iniciativa.
5. Discusión
En este estudio, evaluamos el impacto del uso del aprendizaje basado en proyectos - ABPro - en los resultados académicos de los estudiantes en el contexto de la educación superior, comparando los resultados de un grupo de estudiantes que participaron en un curso de Evaluación de Proyectos, utilizando ABPro versus estudiantes que reciben el mismo curso utilizando métodos de enseñanza tradicionales. Evaluamos el impacto del ABPro en los resultados académicos utilizando el método cuasiexperimental de diferencias en diferencias.
Los resultados muestran que la implementación del ABPro como método de enseñanza tiene un efecto positivo y estadísticamente significativo. Esto quiere decir que, cuando se aplicó el ABPro como estrategia didáctica, los estudiantes obtuvieron calificaciones más altas que aquellos estudiantes que participaron de cursos donde se utilizaron técnicas tradicionales de enseñanza. En términos concretos, los estudiantes que participaron en un contexto ABPro obtuvieron entre 0,5 y 0,59 puntos más, en promedio, que los estudiantes que estudiaron con otro tipo de enseñanza.
Si bien la participación de estudiantes de la misma sede en un único experimento podría haber arrojado resultados con mayor validez interna y externa, creemos que la aplicación rigurosa de métodos cuasi-experimentales en este estudio es una alternativa válida. En este sentido, este estudio complementa otros estudios (Condliffe et al., 2017; Pérez y Rubio, 2020) donde el diseño o la disponibilidad de datos no ha permitido utilizar métodos cuasi-experimentales para mostrar la relevancia de promover prácticas docentes innovadoras.
6. Conclusiones
Esta investigación muestra los efectos de aplicar el ABPro como una metodología de aprendizaje activo y experiencial para mejorar el rendimiento académico de los estudiantes. El ABPro se caracteriza por ser una metodología centrada en el estudiante, lo que significa que desarrollan un incentivo para involucrarse en su propio proceso de aprendizaje mediante la realización de un proyecto en un entorno empresarial real. El ABPro tiene bases psicológicas sólidas, y propicia el aprendizaje colaborativo (Helle et al., 2006) y se considera un generador de experiencia (Hanney, 2018), basado en el trabajo (Boud y Solomon, 2001). En este contexto, este estudio aporta evidencia empírica que demuestra que este tipo de estrategias de enseñanza innovadoras pueden mejorar el rendimiento académico de los estudiantes y deben ser promovidas en contextos de educación superior.
Finalmente, se discuten ciertas limitaciones y oportunidades para futuras investigaciones. Considerando que la presente investigación es un aporte a la evidencia de los impactos de la utilización de ABPro, debe tenerse en mente que sus conclusiones se circunscriben a la experiencia narrada y son altamente sensibles al contexto (Ellis y Bond, 2016), por lo que otros estudios deben realizarse para indagar en los efectos del uso de ABPro en otras asignaturas, otras sedes y otras instituciones de educación superior. De igual forma, y como se indicó anteriormente, la consistencia del experimento podría mejorarse comparando el desempeño académico de estudiantes de una misma sede, reduciendo así el efecto que podrían tener variables asociadas a los contextos regionales particulares. Por otra parte, se podría medir el impacto de esta estrategia de enseñanza en otros indicadores, diferentes a las calificaciones, tales como desarrollo de niveles de autorregulación y autonomía de los estudiantes (Stefanou et al., 2013). Por último, para complementar estos resultados, se podrían considerar métodos cualitativos para explorar las percepciones de todos los actores involucrados (estudiantes, docentes y empresarios), considerando que la experiencia es la variable que desencadena el aprendizaje y la relación entre los actores con el proyecto puede arrojar información valiosa para mejorar iniciativas futuras. Todas estas oportunidades futuras de trabajo permitirían una mejor comprensión de los efectos de la implementación del ABPro en la educación superior y proporcionaría evidencia relevante para mejorar la forma en que se aplican estos métodos de enseñanza innovadores.
Agradecimientos
Esta investigación ha sido financiada a través del Fondo de Inicio en Investigación y Desarrollo con Foco Educativo 2018 de la Universidad Tecnológica de Chile INACAP (FIIDE)
Referencias
Afriana, J., Permanasari, A., y Fitriani, A. (2016). Project Based Learning Integrated to STEM to Enhance Elementary School`s Student Scientific Literacy. Journal Pendidikan IPA Indonesia, 5(2), 261 - 267.
Ally, M., y Wark, N. (2020). Sustainable development and education in the fourth industrial revolutio (4IR). Commonweath of Learning, Athabasca Univesrsity. http://oasis.col.org/handle/11599/3698.
Bernasconi, A. (2017). Desafíos del futuro de la educación superior chilena. Temas de la Agenda Pública, 12(96), 52-81.
Bonwell. C., y Eison. J. (1991). Active Learning: Creating Excitement in the Classroom. Washington DC: The George Washington University.
Boud, D., y Solomon, N. (2001). Work-Based Learning: A New Higher Education? Buckingham: Open University Press.
Brockliss, L. (1996). Curricula. A History of the University in Europe. In H. de Ridder-Symoens (Ed.) A History of the University in Europe: Universities in Early Modern Europe (1500-1800) (pp. 564-616). Cambridge: Cambridge University Press.
Cervantes, B., Hemmer, L., y Kouzekanani, K. (2015). The Impact of Project-Based Learning on Minority Student Achievement: Implications for School Redesign. Education Leadership Review of Doctoral Research, 2(2), 50-66.
Chen, Ch., y Yang, Y. (2019). Revisiting the effects of Project-based learning on students´ academic achievement: a meta-analysis investigating moderators. Educational Research Review, 26, 71-81.
Clark, R.E. (2007). Learning from serious games? Arguments, evidence, & research suggestions. Educational Technology, 47(3), 56-59.
Collins, J., y O`Brien, P. (2003). The Greenwood Dictionary of Education. Santa Bárbara: Greenwood.
Condliffe, B., Visher, MG., Bangser, MR., Drohojowska, S., Saco, L., y Nelson, E. (2017). Project Based Learning: A Literature Review. Nueva York: MDRC.
Dewey, J. (1997). Experience and Education. 1938. Nueva York: First Touchstone Edition.
Doucet, A., Evers, J., Guerra, E., López, N., Soskil, M., y Timmers, K. (2018). Teaching in the Fourth Industrial Revolution. Standing at the precipice. Nueva York: Routledge.
Ellis, A., y Bond, J. (2016). Research on educational innovations. Nueva York: Routledge .
Fini, E., Awadallah, F., y Parast, M. (2018). Impact of Project Based Learning on Improving Student Learning Outcomes of Sustainability Concepts in transportation Engineering Courses. European Journal of Engineering Education, 43(3), 473 - 488.
Franco-Crespo, A., Ramos, V., Herrera, F., y Chávez, H. (2019). The challenges of higher education in latin america towards the knowledge economy. Proceedings of EDULEARN19 Conference. 1 y 2 de Julio, Mallorca, España.
Gertler, P., Martínez, S., Premand, P., Rawlings, L., y Vermeersch, C. (2017). La Evaluación de Impacto en la Práctica. Washington: Grupo Banco Mundial.
Graef, T. (2010). Strategic Teaching for Active Learning. Marketing Education Review, 20(3), 265 - 278.
Guile, D., y Griffiths, T. (2001). Learning through work experience. Journal of Education and Work, 14(1), 113 - 131.
Guo, P., Lysanne, N., y Admiraal, W. (2020). A review of Project-based learning in higher education: student outcomes and measures. International Journal of Educational Research, 102. https://doi.org/10.1016/j.ijer.2020.101586.
Hanney, R. (2018). Doing, being, becoming: a historical appraisal of the modalities of Project Based Learning. Teaching in Higher Education, 23(6), 769 - 783.
Helle, L., Tynjälä, P., y Olkinuora, E. (2006). Project-based learning in postsecondary education - theory, practice and rubber sling shots. Higher Education, 51(2), 287 - 314.
Hoy, W., y Adams, C. (2016). Quantitative Research in Education. A primer. Washington DC: SAGE Publications.
Huber, G. (2008). Aprendizaje Activo y Metodologías Educativas. Revista de Educación, Número Extraordinario, 59 - 81.
Hugerat, M. (2016). How teaching science using project-based learning strategies affects the classroom learning environment. Learning Environments Research, 19(3), 383-395.
Johari, A., y Bradshaw, AC. (2008). Project-based learning in an internship program: A qualitative study of related roles and their motivational attributes. Educational Technology Research and Development, 56(3), 329-359.
Kilpatrick, W. (1918). The Project Method. Teachers College Record, 19(4), 319 - 335.
Kirschner, PA., Sweller, J., y Clark, R. (2006). Why minimal guidance during instruction does not work: An analysis of the failure of constructivist, discovery, problem-based, experiential and inquiry-based teaching. Educational Psychologis, 41(2), 75-86.
Kokotsaki, D., Menzies, V., y Wiggins, A. (2016). Project-based learning: a review of the literature. Improving Schools, 19(3), 267 - 277.
Kolb, A., y Kolb, D. (2017). Experiential learning theory as a guide for experiential educators in higher education. Experiential Learning & Teaching in Higher Education, 1(1), 7-44.
Michael, J. (2006). Where’s the Evidence that Active Learning Works?. Advances in Psychology Education, 30(4), 159 - 167.
Ovalle, C. (2015). Sobre la Técnica de Puntajes de Propensión (Propensity Score Matching) y sus usos en la investigación en Educación. Educación y Ciencia, 4(43), 80-89.
Özdemir, AS., Yildiz, F., y Yildiz, SG. (2015). The Effect of Project Based Learning in ‘Ratio, Proportion and Percentage’ Unit on Mathematics Sources and Attitude. European Journal of Science and Mathematic Education, 3(1), 1-13.
Pek, J., Wong, O., y Wong, A. (2018). How to address non-normality: A taxonomy of approaches, reviewed, and illustrated. Frontiers in Psycholgy, (9)2104. Doi:10.3389/fpsyg.2018.02104.
Pérez, B., y Rubio, A. (2020). A Project-Based Learning Approach for Enhancing Learning Skills and Motivation in Software Engineering. Trabajo presentado en el Symposium of Computer and Science Education SIGCSE 20, Portland, OR: 11-14 de marzo de 2020.
Piaget, J. (1963). Psychology of Intelligence. Paterson, Nueva Jersey: Littlefield, Adams & Co.
Pozo, J., y Pérez, M. (2015). Psicología del Aprendizaje Universitario. Madrid: Morata.
Prince, M. (2004). Does active learning work? A review of the research. Journal of Engineering Education, 93(3), 223 - 231.
Quiroz, J.S., y Castillo, D.M. (2017). A proposal for a model to introduce active methodologies in higher education. Innovación Educativa, 17(73), 115-131.
Randolph, J., Falbe, K., Kureethara, A., y Balloun, J. (2014). A Step-by-Step Guide to Propensity Score Matching. Practical Assessment, Research and Evaluation, 19(18), 1 - 6.
Schwab, K. (2019). Foreword. Journal of International Affairs, 72(1), 13-16. https://www.jstor.org/stable/26588338.
Smith, P., y Gibson, L. (2016). Project-Based Learning in Colleges of Business: Is it enough to develop educated graduates? New Directions for Teaching and Learning, 145, 41 - 47.
Stefanou, C., Stolk, J., Prince, M., Chen, J., y Lord, S. (2013). Self-regulation and Autonomy in Problem and Project Based Learning Environments. Active Learning in Higher Education, 14(2), 109 - 122.
Sweller, J., Kirschner, PA., y Clark, RE. (2007). Why minimally guided teaching techniques do not work: a reply to commentaries. Educational Psychologist, 42(2), 115-121.
Vygotsky, L. (1978). Interaction between learning and development. Reading son the Development of Children, 23(3), 34-41.
WEF (2020a). Schools of the future. Defining new models of education for the fourth industrial revolution. Suiza: World Economic Forum.
WEF (2020b). The Future of Jobs Report 2020. Suiza: World Economic Forum .
Wurdinger, S., y Carlson, J. (2010). Teaching for Experiential Learning. Plymouth: Rowman y Littlefield Publishing.
Zavera, I. (2019). The analysis of the response from tertiary education programs to the challenges of the fourth industrial revolution. Proceedings of the 13th International Conference of Business Excellence 2019. Doi: 10.2478/picbe-2019-0111.
Notas de autor
*Correspondencia: Franco Barrera Arcaya. Correo electrónico: fbarreraa@inacap.cl.