Investigación
La deshonestidad académica: estudio de caso de estudiantes de ciencias empresariales
Academic dishonesty: case study of students of business sciences
La deshonestidad académica: estudio de caso de estudiantes de ciencias empresariales
Revista de estudios y experiencias en educación, vol. 22, núm. 48, pp. 152-169, 2023
Universidad Católica de la Santísima Concepción. Facultad de Educación
Recepción: 26 Julio 2021
Recibido del documento revisado: 20 Enero 2022
Aprobación: 26 Enero 2022
Resumen: El estudio tiene como objetivo identificar las percepciones que tienen los estudiantes universitarios de primer año sobre comportamientos valóricos, focalizados en la honestidad. La información primaria fue recogida a través de cuestionarios a 61 estudiantes del área de ciencias empresariales en dos momentos, pre y post intervención de estrategias didácticas. El análisis fue cuantitativo e incluyó pruebas de confiabilidad y validez, test de Wilcoxon para datos pareados y pruebas de Chi-cuadrado para analizar la independencia entre las variables. Los principales resultados fueron la jerarquización del respeto como valor prioritario para los estudiantes y la honestidad se ubicó en tercer lugar. Las intervenciones didácticas implementadas muestran un efecto positivo y significativo en la percepción valórica de los estudiantes. Las instituciones de educación superior deben potenciar que sus docentes desarrollen prácticas didácticas que fomenten la honestidad en especial en los estudiantes que inician su formación universitaria.
Palabras clave: Valores, honestidad, educación superior, intervención didáctica, Chile.
Abstract: The study aims to identify the perceptions that first-year university students have about value behaviors, focused on honesty. The primary information was collected through questionnaires to 61 students from the business sciences area in two moments, pre- and post-intervention of didactic strategies. The analysis was quantitative and included reliability and validity tests, the Wilcoxon test for paired data, and Chi-square tests to analyze the independence between the variables. The main results were the ranking of respect as a priority value for students and honesty being placed in third place. The didactic interventions implemented show a positive and significant effect on the students' perception of value. Higher education institutions must encourage their teachers to develop didactic practices that promote honesty, especially in students who are beginning their university training.
Keywords: Values, honesty, higher education, didactic strategies, Chile.
1. Introducción
La sociedad demanda la formación de profesionales competentes e íntegros, lo que implica el desarrollo de conocimientos y habilidades del currículo universitario, pero también de los valores y actitudes que regulan la actuación profesional (Arana y Batista, 1999). Según Diez-Martínez (2014), las instituciones de educación superior han estado más preocupadas por formar en conocimientos y habilidades técnicas que en valores. Más del 80% de los estudiantes universitarios reconoce haber caído en prácticas deshonestas en algún momento de su formación académica (Marsden et al., 2005). Por lo tanto, urge relevar el hecho de que todo profesional debe incorporar prácticas honestas y transparentes dentro de su desempeño laboral. El proceso de enseñanza-aprendizaje considera de manera integral al sujeto que aprende, esto es que siente, piensa y hace. Por lo tanto, se requiere desarrollar tanto los saberes conceptuales y procedimentales como los saberes actitudinales o valóricos. La deshonestidad académica es el concepto que incluye varias conductas anómalas que se relacionan con la transgresión de aspectos éticos y morales que han sido analizados por diversos autores con aproximaciones distintas (Diez- Martínez, 2014).
La formación en las escuelas de negocios debe de considerar el ámbito valórico, ya que el quehacer de estos futuros gestores repercute en la sociedad donde se aprecia permanentes casos de fraudes, colusiones y corrupción en diversos mercados (Diez-Martínez, 2014). Tomando en cuenta la relevancia del tema, por el impacto que tienen los profesionales de las ciencias empresariales en la sociedad, resulta importante analizar la percepción de los estudiantes sobre esta temática, sensibilizarlos y crear instancias de discusión para abrir el debate y generar profesionales íntegros en todo sentido.
Esta investigación aporta para profundizar el conocimiento del fenómeno de la deshonestidad académica (Comas et al., 2011) de estudiantes universitarios del área de las ciencias empresariales. Para ello compara la percepción sobre el nivel de desarrollo de formación ética, al inicio y término del semestre de los estudiantes de primer año de la carrera de Ingeniería en Información y Control de Gestión de una universidad del norte de Chile. La modalidad de medir la percepción al inicio y finalización del periodo académico se efectuó con el fin de examinar si hubo un cambio en la valoración de los estudiantes en relación con diversos comportamientos vinculados a la temática de la deshonestidad académica. Durante el semestre se realizaron tres intervenciones pedagógicas orientadas a fomentar la reflexión sobre prácticas que favorecen la honestidad, es decir, disminuyan la deshonestidad académica. Adicionalmente, un segundo aporte está en ser un estudio exploratorio para disminuir la brecha de conocimiento de esta temática en América Latina y en Chile, en particular. Con ello ampliar la escasa literatura existente y fomentar el desarrollo de más investigaciones en esta línea valórica de los estudiantes universitarios que recién ingresan a su formación profesional en el área de gestión empresarial.
Esta investigación se centra en la temática relacionada a la deshonestidad académica vinculada a la sala de clases, es decir, entre el docente y los estudiantes. Sin embargo, también existen otras actividades o prácticas que pueden ser definidas como incorrectas o deshonestas en otros campos posibles dentro de las universidades, como la gestión y la investigación (Hinman, 2002) que se pueden tomar para futuras líneas de investigación en Latinoamérica.
El trabajo se estructura en cuatro partes. A continuación, el marco teórico centrado en la temática de los valores, y las estrategias para su reflexión y desarrollo en el proceso de enseñanza-aprendizaje. Luego se plantea la metodología con el detalle de los datos recogidos. Le sigue la presentación de los resultados, su discusión y conclusiones.
2. Marco teórico
2.1 Los valores, entorno y educación
El interés en la concepción de los valores ha sido permanente. Estos constituyen un sinnúmero de realidades propias que afectan de la convivencia individual y social de todos los miembros de una comunidad. Frondizi (1977), los define como cualidades estructurales de un algo, cosa o ente, cuestiones valiosas, dado el significado que las personas atribuyen a este. Es decir, que desde la perspectiva subjetivista se parte de la idea que es el sujeto quien otorga valor a la cosa, el origen y fundamento de los valores están en el sujeto que valora; las cosas adquieren valor por el interés que suscita (Seijo, 2009) De acuerdo a Ávila (2016), el concepto formación históricamente ha sido comprendido como instrucción, es decir, como formación para el trabajo o preparación para el espacio laboral. Sin embargo, hoy no puede ser concebida como una cuestión meramente técnica, sino como un proceso en construcción permanente y en constante desarrollo, mediante el cual la persona se forma a sí misma (Gadamer, 2000) y con ello puede ir tomando una postura sobre los valores.
En contraposición a la visión subjetiva de los valores, está el objetivismo axiológico, que considera el valor desligado de la experiencia individual, es decir, es el hombre quien descubre el valor de las cosas. De acuerdo a lo mencionado por Seijo (2009), este enfoque tiene dos perspectivas distintas: i) una visión defenderá el valor como ideal (escuela fenomenológica) y la otra como real (perspectiva realista).
Según lo planteado por González (2001), tanto los valores más trascendentales para una sociedad (igualdad, justicia y solidaridad), como otros específicos vinculados al orden profesional, responsabilidad, por ejemplo, son manifestados de forma distinta por los estudiantes, dependiendo de su historia personal. Este relativismo valórico, significa que no siempre los valores jerarquizados como más importantes socialmente, coinciden con los intereses individuales. Solo cuando los valores son motivos de actuación de los estudiantes se constituyen en reguladores de su conducta, asumiendo una posición activa en la apropiación individual de los significados para la construcción de su propia escala valórica (González, 2001). DiezMartínez et al. (2013) señalan que difícilmente puede haber aprendizaje ético de la profesión, sí en paralelo no se da un desarrollo de valores en la familia, escuela e instituciones sociales en su conjunto.
2.2 La deshonestidad académica
De acuerdo con Medina y Verdejo (2005), la honestidad académica tiene relación con el cumplimiento cabal de la responsabilidad contraída en todo el quehacer académico sin hacer uso de la mentira, el engaño, la trampa ni la usurpación. En contraposición, la falta de esta, “se refiere a las diversas formas de copiarse, hacer trampa o engañar y cometer plagio que utiliza el estudiantado para dar o recibir ayuda que no ha sido autorizada con la intención de recibir crédito, una calificación o un beneficio académico” (p. 2), es la denominada deshonestidad o fraudes académicos.
Vaamonde y Omar (2008) identifican a la deshonestidad académica, como un constructo multidimensional y lo caracterizan como un comportamiento no deseado del proceso de enseñanza-aprendizaje. Diez-Martínez (2014) señala que la deshonestidad académica viene dada por “cualquier comportamiento intencional que busque un beneficio académico, económico, afectivo o de cualquier otra índole que vaya en contra de los principios éticos de las instituciones educativas y, en consecuencia, de la sociedad” (p. 3). Chun-Hua y Ling-Yu (2007) le añaden la característica de intencionalidad por parte del sujeto que realiza el comportamiento. Esta intencionalidad se entiende de acuerdo a lo manifestado por Vargas (2007) “tiene presente la manera como las pulsiones, las habitualidades, las convicciones, entre otras, inciden en las valoraciones y voliciones en general.” (p. 63).
En relación con los tipos de prácticas deshonestas hay varias clasificaciones. Comas et al. (2011) identifican tres tipos de actos que incluyen como prácticas deshonestas o incorrectas: i) prácticas deshonestas en exámenes (copiar, dejar copia, suplantar a alguien, usar algún apoyo no permitido, etc.); ii) prácticas deshonestas en la elaboración y presentación de trabajos académicos (ciber plagio, plagio de fuentes impresas, elaborar un trabajo para que lo entregue otra persona, etc.). El plagio se define como la presentación de un trabajo (o trozos de texto) de otra persona como propio, sin el reconocimiento adecuado de la fuente; y iii) conductas o prácticas deshonestas hacia el resto del alumnado (dañar el/los trabajo/s y/o material de otros alumnos, perturbar el desempeño de otro estudiante durante alguna actividad docente, etc.). Vaamonde y Omar (2008), además de las anteriores, consideran también la producción de excusas falsas o inventadas como otra práctica deshonesta. Ellos también señalan que el surgimiento de las nuevas tecnologías (celulares, computadores, internet), ha facilitado los actos deshonestos, sobre todo del plagio (el conocido “cortar y pegar”).
López et al. (2020) califican a la deshonestidad como un conjunto de acciones y motivaciones que el estudiante toma con el fin de obtener, a propósito de ellas, beneficio propio. El estudio también indica que la intervención de los docentes respecto de estas conductas estudiantiles es escasa por diversos motivos, como el no tener el tiempo necesario para dar seguimiento a tales conductas y/o la falta de apoyo institucional. Tefera y Kinde (2009) señalan que los docentes universitarios no discuten los actos de deshonestidad académica con sus alumnos. Más bien lo hacen de manera individual con el involucrado, y pocas veces reflexionan el tema de manera general con todos los estudiantes del grupo/curso.
Río et al. (2019) usaron la teoría de la conducta planificada y demostraron que la actitud de copiar en exámenes tenía una relación directa con la frecuencia real de volver a hacerlo. Asimismo, concluyen que las conductas de riesgo tienen un alto componente emocional y que la intención de copiar o desarrollar conductas deshonestas de estudiantes están más vinculadas a emociones positivas y a la experiencia que a la sensación de eficacia o control de acciones. En estos escenarios, es posible una intervención docente, para prevenir tales conductas con acciones directas y/o proponer programas innovadores sobre la vida estudiantil en jóvenes.
Los resultados de la investigación de Comas et al. (2011) en base a la respuesta de 560 estudiantes universitarios españoles, señalan que la práctica deshonesta más frecuente es la de permitir copiar a otro estudiante del propio examen. Casi 75% del alumnado dice haberlo permitido alguna vez (54,7% entre 1 y 4 veces y un 19,7% 5 o más veces). La práctica de ciber plagio es la siguiente más recurrida; más del 60% dice haberlo hecho alguna vez (42,2% entre 1 y 4 veces, y el 18,9% más de 4 veces). En relación con los trabajos académicos, el plagio y/o autoplagio de partes de trabajos entregados como propios, aparece también como una práctica habitual ya que la mitad del alumnado declara haberla realizado alguna vez.
Dentro de las causas que dan origen a la deshonestidad académica, la literatura los agrupa básicamente en dos grandes grupos: i) factores individuales y ii) factores contextuales o socioculturales. Vaamonde y Omar (2008) señalan que no hay consenso en cuál de los dos es el más importante. McCabe et al. (2001) indican que las variables contextuales o socioculturales tienen mayor incidencia en los actos de deshonestidad académica o falta de honestidad académica. Dentro de las principales condicionantes mencionan la percepción de los comportamientos y actitudes de los compañeros (esta sería la más importante), la presencia o ausencia de códigos de honor, la percepción de la severidad de las sanciones, entre otros. Devlin y Gray (2007) señalan que las principales razones por las cuales los estudiantes universitarios realizan plagio son los criterios de admisión inadecuados, conocimiento deficiente de lo que implica plagiar, la pereza/comodidad y presiones externas. Gallent y Tello (2017) indican que muchas veces los estudiantes caen en plagio por desconocimiento de la forma de usar la información ajena. Por lo tanto, es crucial explicar a los estudiantes los procedimientos más adecuados para elaborar un trabajo académico con especial énfasis en los primeros cursos universitarios (Locquiao e Ives, 2020). Resulta muy conveniente transmitirles la importancia de reconocer la autoría de la información que se utiliza.
Las teorías que explican la deshonestidad académica aparecen muy bien detalladas por Vaamonde y Omar (2008). Ellos destacan seis teorías: i) Teoría de la socialización diferencial de los géneros (Nonis y Swift, 2001), Teoría de la desviación (Blankenship y Whitley, 2000), Teoría actitudinal (Gottfredson y Hirschi, 1990, citado en Bolin, 2004), Teoría motivacional (Murdock y Anderman, 2006), Teoría del desarrollo moral (Austin et al., 2005) y Teoría del aprendizaje social de Bandura (1986). Esta última sugiere que una parte importante de la conducta humana es aprendida a través de la observación de figuras cercanas al individuo, que juegan un rol de modelador o referente. Este estudio toma como base esta teoría, ya que en la búsqueda de variables que se vinculen con la valorización de la formación ética, está la familia y lo observado de las docentes que aplicaron las intervenciones didácticas en busca de fortalecer una conducta académica honesta. En consecuencia, el enfoque utilizado para el estudio está centrado en los factores contextuales (familia y docentes).
2.3 Educación superior integral
La formación en valores de los estudiantes universitarios cobra real importancia, siendo un complemento para el desarrollo de competencias profesionales específicas, y también en el fortalecimiento de su personalidad, aportando de esta forma a la formación integral de los futuros profesionales.
Las universidades deben responder al desafío de la formación profesional integral que permita desarrollar valores y evitar conductas de deshonestidad académica en el proceso docente-educativo (Arana y Batista, 1999). Esta búsqueda de una cultura integral se presenta como un objetivo estratégico en el mundo actual, así un científico o tecnólogo que posee elevados conocimientos y específicas habilidades profesionales tiene que saber encauzarlas hacia la sociedad. La educación valórica del nivel terciario, de acuerdo con planteamientos de Bolívar (2005) pretende un desarrollo moral crítico, que permita cierta autonomía conforme a principios éticos personales y universales. Esto supone un proceso de reflexión sobre determinadas actuaciones profesionales o técnicas de acuerdo con la naturaleza de las diferentes disciplinas.
Se trata de transformar, la enseñanza tradicional, que posee poca o ninguna posibilidad de contribuir al desarrollo integral, en una enseñanza centrada en el estudiante, donde este sea el protagonista de su propio proceso de formación. Se requiere un diseño de acciones concretas a desarrollar por él, durante su proceso de instrucción, de manera que la formación axiológica sea parte de su proceso formativo (Molina et al., 2005).
En el contexto chileno, se han realizado estudios sobre la aplicación de un modelo pedagógico para la formación de valores en estudiantes universitarios, aplicado con éxito en la Universidad Austral de Chile y en el Instituto Superior Politécnico José Antonio Echeverría de Cuba (Molina et al., 2005). El modelo pedagógico constituye una base general para el diseño de asignaturas pertenecientes a especialidades universitarias. Tiene un carácter flexible que permite su adecuación a cualquier perfil profesional y, puede encaminarse hacia la formación de valores esenciales.
Por otro lado, la universidad del norte de Chile analizada, ubicada en la zona norte del país, concibe la educación en valores como eje constitutivo del proceso formativo de los estudiantes y del perfil profesional de sus egresados. La UCN reafirma su quehacer orientado al bien común, considerado en su misión y visón, para lo cual define tres valores primordiales de Libertad, Verdad y Justicia. La libertad entendida como una herramienta de la persona para construir su destino y que le permite ser responsable de su vida y de la sociedad; la verdad como eje central del quehacer universitario, tanto en la generación como en la difusión del conocimiento con transparencia y honestidad; y la justicia como la virtud de dar a cada uno lo suyo, esto es, asegurar que cada uno dé y reciba lo que le corresponda (Proyecto Educativo Institucional UCN, 2017).
De acuerdo con lo que plantea Arana y Bastita (1999), hablar de una educación en valores como una estrategia didáctica en educación superior es poco serio, puesto que el valor es parte del contenido y esto debe ser un elemento central y constitutivo de la didáctica. Luego, el proceso de enseñanza-aprendizaje debe ser integral, con intencionalidad y explicitación. En este proceso, el mayor desafío es dar la intencionalidad pedagógica para el desarrollo de valores, es decir, que estos sean un contenido didáctico en el diseño curricular, pero no solo desde el punto de vista docente, sino que represente también a la comunidad. Gretty (2004) sostiene que las experiencias y oportunidades de aprendizaje genuinas y participativas, se establecen como un potente espacio y recurso pedagógico. A juicio de Acosta et al. (2007), el trabajo con dilemas éticos o morales expone al estudiante a situaciones complejas donde alguien debe elegir entre dos alternativas, y ambas presentan un valor en conflicto. También se utilizan estudios de casos de la profesión con contenido moral, frases inacabadas para que el propio estudiante pueda terminarlas según su propio pensamiento; dramatizaciones, juegos cooperativos, resolución de conflictos y otros.
3. Método
El estudio tiene un enfoque cuantitativo, puesto que mide el fenómeno estudiado a través de las percepciones de los estudiantes con la aplicación de dos cuestionarios con escalas Likert. Las variables del estudio analizadas son:
- Percepción de los valores y conductas asociadas a deshonestidad académica. La medición se hizo en dos momentos. La primera antes de la aplicación de estrategias pedagógicas (pre-intervención) y la segunda medición se hizo al finalizar la asignatura (post-intervención).
- Satisfacción respecto de la incorporación de las intervenciones didácticas aplicadas centradas en fomentar conductas integrales y evitar la deshonestidad académica. La medición se hizo una sola vez, al finalizar la asignatura.
Cabe mencionar que todo estudio de percepciones, y en especial aquellos sensibles a determinados comportamientos (habilidades, uso de drogas, honestidad, entre otros) pueden tener un sesgo de la deseabilidad social. Este implica que los encuestados pueden responder a las preguntas de una manera que otros verán positivamente, y con ello se puede sobreestimar el comportamiento esperado o sub-informar el comportamiento no deseable. Esto último lo incorporamos en las limitaciones del estudio de manera explícita.
3.1 Participantes
El universo estuvo constituido por estudiantes de las asignaturas: i) Visión del Entorno Económico y Social y ii) Desarrollo de Habilidades Comunicacionales I, ambas de la carrera de Ingeniería en Información y Control de Gestión adscrita a la Escuela de Ciencias Empresariales de la universidad del norte de Chile analizada. Esta asignatura corresponde al primer nivel de la carrera. Los alumnos con los cuales se trabajó fueron aquellos matriculados el primer semestre del 2019 y fueron distribuidos en dos grupos/curso con la misma docente, pero en horarios diferentes.
El grupo muestral de estudiantes fue aquel que firmó el consentimiento informado y respondió antes y después de la intervención los cuestionarios de medición de percepciones. De un total de 90 estudiantes matriculados al inicio del semestre, la muestra válida llegó a 61 alumnos. Se perdieron 29 encuestas producto de retiro de estudiantes del curso y/o inasistencias en la evaluación inicial y/o final y/o por no firma del consentimiento informado.
3.2 Intervención didáctica
La intervención tuvo como propósito favorecer el desarrollo de valores vinculados a disminuir la deshonestidad académica, a través de diferentes estrategias didácticas, que apuntaban a la explicitación de ideas, actuaciones y representaciones valóricas. Dicho proceso incluyó intervención en dos asignaturas: Visión del Entorno Económico y Social y Desarrollo de Habilidades Comunicacionales I. Los grupos/curso son similares para las dos asignaturas involucradas en la intervención, es decir, son los mismos estudiantes quienes están en cada grupo/curso para ambas asignaturas. El proceso tuvo los siguientes momentos:
- Recogida de información antes de la intervención didáctica (cuestionario pre-intervención).
- Realización de la intervención didáctica, centrada en 4 estrategias implementadas durante el transcurso de la asignatura semestral.
- Aplicación de dos encuestas de percepción tipo Likert al finalizar la asignatura. La primera es el cuestionario post-intervención (el mismo cuestionario pre-intervención) y la segunda es la encuesta de satisfacción sobre la implementación de estrategias didácticas implementadas.
La intervención didáctica utilizada para fortalecer los valores y minimizar la deshonestidad académica fueron las siguientes:
- Análisis de caso y preguntas en evaluaciones que incluían dilemas o problemas éticos de la disciplina.
- Ensayos relacionados a temas económicos, con inclusión de argumentos y/o contrargumentos ligados al actuar ético en la disciplina.
- Aplicación de las citas de todos los trabajos escritos realizados en las asignaturas. Esto fue enseñado a los estudiantes en la asignatura de Desarrollo de Habilidades Comunicacionales I, a través de revisión de normas APA, sexta edición. Estas son un estilo sólido y coherente que permite la divulgación completa de la información, dando crédito a la autoría, sin plagiar y propiciando que los/las estudiantes se hagan responsables de sus discursos.
- Preparación y desarrollo de debate grupal (cinco integrantes máximos), a partir de juego de roles. Esta actividad fue la del cierre de los cursos. Los temas para el debate fueron seleccionados por la docente según contenidos de la asignatura de Visión del Entorno Económico y Social. Cada temática para el debate tenía una posición a favor y en contra, así en cada tema participaban dos equipos de estudiantes bajo la simulación de roles y debía de incluir argumentación valórica dentro del desarrollo del debate.
3.3 Instrumentos
El primer instrumento fue ajustado de Esper (1998) y consta de tres secciones. La primera parte tiene una pregunta con escala de Likert de 1 a 5, sobre el aporte de la familia en el fomento de los valores éticos (1: Completamente de Acuerdo y 5: Completamente en Desacuerdo). La segunda sección requería que los estudiantes jerarquizaran siete valores. Estos debían ser priorizados de 1 a 7 según la importancia que el estudiante le asignaba (1 es el más importante y 7 el menos importante). Finalmente, la tercera sección incluye preguntas de opinión (percepción) acerca de comportamientos vinculados a la honestidad. Esta parte tiene un total de 7 afirmaciones con valoración en escala Likert. El estudiante debía valorar entre 1 a 5 (1: Siempre hasta 5: Nunca). Esta parte del cuestionario de aplicó al inicio y finalización del semestre.
El segundo instrumento recoge la percepción y/u opinión de los estudiantes respecto de las intervenciones didácticas realizadas. Este cuestionario fue diseñado y validado a través de juicios de expertos por el Centro de Innovación Metodológica y Tecnológica (CIMET) unidad encargada de apoyar a los docentes en relación con innovación pedagógica en la Universidad Católica del Norte. Dicho cuestionario contó con 16 afirmaciones en una escala Likert de 5 valores (1: Totalmente en Desacuerdo hasta 5: Totalmente de Acuerdo) y con cinco preguntas de selección múltiple. Para el análisis final se analizaron seis afirmaciones vinculadas a las intervenciones didácticas.
3.4 Estrategia de análisis de datos
En primer lugar, se aplicó el Alpha de Cronbach para verificar la validez y confiabilidad de los datos. Para analizar si hubo diferencias en la percepción de los estudiantes al inicio y finalización del semestre se realizó a través de la prueba de Wilcoxon para datos pareados. Adicionalmente se aplicó pruebas de Chi2 para analizar si había independencia entre las variables. Todos los análisis estadísticos se hicieron a través del software Stata 15.
3.5 Variables
El estudio consideró variables de fuente secundaria y primaria. La información secundaria correspondió a las variables proporcionadas por la unidad de Registro Curricular de la universidad. Esta información incluyó: sexo, edad, tipo de colegio, puntajes de notas de enseñanza media y pruebas de admisión a la universidad. La información primaria se obtuvo de la aplicación de dos cuestionarios explicados anteriormente. La Tabla 1 muestra el detalle de las variables que se recogieron con dichos instrumentos. Las variables de la Sección 3 son aquellas que se tomaron en dos momentos. El primer momento es al inicio del semestre y por ello, en la nomenclatura de estas variables, todas terminan con una ‘i´. El segundo momento de estas variables es al finalizar el semestre, es decir miden la percepción de los estudiantes relacionado con el comportamiento de salida del curso, luego de haber experimentado las intervenciones didácticas, por ello llevan una ‘s’ al final en la nomenclatura.

4. Resultados
Como se puede apreciar en la Tabla 2, el grupo de estudiantes partícipes fue de 61, con una leve superioridad de mujeres (52,5%). Poco más de la mitad de ellos terminó su educación media en establecimientos de tipo particular subvencionado, es decir con financiamiento compartido entre la familia y el aporte estatal. Le siguen los estudiantes procedentes de establecimientos con financiamiento público (Municipal y Administración delegada, 26,3%). La edad promedio de los estudiantes es de 19,4 años. El puntaje promedio de la prueba de selección universitaria (PSU) para ingreso a la universidad fue de 573 puntos. Cabe mencionar que el puntaje máximo es de 850 puntos. El 85% de los estudiantes proviene de la Región de Coquimbo y un 8,5% de la Región de Atacama. El 65% de los estudiantes egresó del colegio el año anterior (2018) y el 23% tiene dos años de haber salido del establecimiento educacional.
El 98,3% de los estudiantes señala que está de acuerdo o completamente de acuerdo en considerar que en su familia se han fomentado los valores éticos (77% y 21%, respectivamente). Asimismo, el 90% señala que está de acuerdo o completamente de acuerdo en considerar que en el ambiente en que se ha desenvuelto se han fomentado los valores éticos (59% y 31,1%, respectivamente). Poco más del 95% considera la formación en valores como muy importante o esencial. La pertenencia a alguna religión está bastante similar; el 58% indica pertenecer a una y el 42% no.

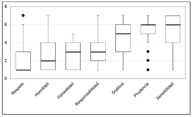
La Figura 1, muestra los resultados de la priorización que hicieron los estudiantes a los siete valores entregados. Se aprecia el siguiente orden: 1. Respeto; 2. Humildad; 3. Honestidad y Responsabilidad; 5. Gratitud; 6. Prudencia y 7. Sensibilidad. Hecho que da cuenta de la importancia que se da al respeto (primer lugar) y a la honestidad y responsabilidad. Es importante destacar que el respeto es la base para una buena convivencia y desarrollo de actividades en todo ámbito, más aún en la sala de clases. Los estudiantes le dan el primer lugar a este valor, con lo cual tenemos la base para poder desarrollar y fortalecer la relevancia del respeto para ser parte de toda comunidad. Este estudio tiene su foco en potenciar la conducta honesta de los estudiantes y con ello evitar la deshonestidad académica (copia, plagio, conductas inapropiadas, Comas et al., 2011).
Los resultados son relevantes, ya que dan cuenta de la valoración de los estudiantes, ubicando a la honestidad en tercer lugar. En base a estos resultados, se puede afirmar que los estudiantes consideran a la honestidad como un valor importante. Sin embargo, no es de la primera prioridad ni de suma importancia para ellos, lo cual podría explicar o justificar las conductas caracterizadas por deshonestidad académica.

A continuación, se presenta la Tabla 3 con los indicadores relacionados con la consistencia interna entre los ítems y la validez y confiabilidad medido a través del Alpha de Cronbach para las variables en estudio. Se puede apreciar que la consistencia entre los ítems está entre 0,3 y 0,7, lo cual es más que aceptable. Asimismo, el Alpha de Cronbach también es aceptable, al tener casi todas las variables un valor de a lo menos 0.7. La excepción son dos variables, cuyos valores están muy cercanos al mínimo requerido. Por lo tanto, se concluye que las variables son consistentes y permiten hacer el análisis estadístico.

La Tabla 4 nos muestra las correlaciones entre las variables de análisis. Se puede apreciar que las mayores correlaciones y significativas se dan entre variables al momento de la finalización del semestre. En particular, la mayor correlación (69%) se da entre las relacionadas con el reconocimiento de errores al equivocarse sin culpar a otros (rec_error_s) y la referida a asumir la responsabilidad ante equivocaciones sin usar pretextos inventados (resp_sin_pret_s). La variable de rectitud al actuar también tiene una alta correlación (60%), tanto con el comportamiento de ser sincero al hablar (60%) y con el asumir la responsabilidad ante las equivocaciones sin pretextos inventados.

Con el objetivo de medir si las intervenciones didácticas generaron algún efecto en los comportamientos analizados, se utilizó la prueba de Wilcoxon. Esta prueba permite evaluar si la mediana es significativamente distinta en los dos momentos analizados (inicio y finalización del semestre). En la Tabla 5, se puede apreciar que existe una diferencia significativa en la percepción de los estudiantes en las prácticas o comportamientos analizados. Por lo tanto, se rechaza la hipótesis nula de igualdad en la mediana, con lo cual los resultados de la post-intervención son diferentes a los de la pre-intervención. Todos los signos son positivos, por lo tanto, la valoración posterior es mayor a la inicial, el nivel de significancia es de a lo menos el 95%. Con estos resultados se puede verificar que las intervenciones didácticas implementadas orientadas a disminuir la deshonestidad académica generan un efecto favorable en la percepción de los estudiantes.

Finalmente, se presenta la Tabla 6 que muestra la valoración que dieron los estudiantes a los comportamientos docentes vinculados a potenciar conductas honestas y a las intervenciones didácticas implementadas (Ver Tabla 2, con el detalle de las afirmaciones y escala). La afirmación que logró la mayor valoración fue la relacionada con que las profesoras aclaran reglas de honestidad en los trabajos individuales (95%). Le siguen muy de cerca el hecho de que las profesoras destacan la importancia de decir y actuar siempre con la verdad (91,9%) y que los escritos y trabajos explicitan que requieren aplicar honestidad respetando citas y poniendo la bibliografía respectiva (91.8%). También con valores cercanos al 90%, está el reconocimiento que en el discurso de las profesoras aflora el valor de la honestidad (90,3%). La valoración referida a que las actividades desarrolladas en las asignaturas permitieron potenciar el ámbito valórico (honestidad) de los estudiantes logra un 87,1% y la más baja valoración fue de 78,7% para la afirmación que indicaba que durante las sesiones de clase se aprovechan problemas de contingencia nacional o internacional para para provocar una discusión valórica.

5. Discusión
Como marco del estudio es bueno reiterar que la educación superior tiene un gran desafío en la formación valórica. La priorización de los siete valores presentados ubicó a la honestidad y responsabilidad en tercer lugar, con lo cual estos dos se pueden potenciar a través de la formación en la educación superior. El referente más cercano que tienen los estudiantes al interior de las universidades durante toda su formación profesional, son todos sus docentes. Ellos tienen una gran responsabilidad para lograr potenciar la integridad y honestidad académica. Esto va en la línea con lo que cuestionan Comas et al. (2011) ¿Dan, de manera general, buen ejemplo los docentes a su alumnado en cuanto a los principios que deben marcar la integridad académica?, es decir, ¿Existe una práctica docente sistemática e intencionada sobre los valores?
El hecho de estudiar en una universidad confesional pareciera no tener gran impacto en lo valórico a juicio de los estudiantes, aun cuando, la práctica de sus docentes sí. La institución en sí misma no es la que favorecerá valores, sino más bien, la institución conformada por personas y docentes con ciertas prácticas éticas sólidas, son las que fomentarían la ética en la actuación personal y profesional, porque eso valoran los estudiantes.
Este estudio tuvo como participantes a estudiantes de primer año, específicamente del primer semestre, es decir, los alumnos estaban en su primera experiencia universitaria. En este nivel, es importante sentar las bases de comportamiento honesto desde el inicio de los estudios universitarios. Para ello los docentes juegan un rol importante en este proceso de formación y el perfil de estos debe de incluir una permanente retroalimentación y sanciones ante la existencia de conductas deshonestas por parte del alumnado. Se requiere visibilizar también, aquellos comportamientos deseables y destables en términos de los valores que favorecen el desarrollo personal y profesional.
Los estudiantes de este estudio mostraron la importancia que tienen las prácticas y la intencionalidad en el aula para fortalecer los valores y la honestidad, en particular. El rol de docentes y directivos educacionales adquiere una dimensión crucial. Se requiere promover entre los estudiantes la reflexión acerca de la deshonestidad académica y el cambio de actitudes y creencias hacia tales prácticas. Al respecto, Gallent y Torres (2017) indican que es importante tener presente que los estudiantes de primer año son los que menos prácticas deshonestas tienen. Sin embargo, muchas veces es la falta de formación sobre el adecuado uso y gestión de la información (principalmente de medios electrónicos) para la realización de sus tareas y/o trabajos académicos la que los lleva, en algunas ocasiones, a cometer plagio, sin tener la intención de hacerlo. En este sentido, asumiendo el desconocimiento y la falta de información, se hace necesario replicar intervenciones que fortalezcan los beneficios individuales y sociales que supone la elaboración de trabajos de manera correcta, sin malas prácticas. Por ello resulta conveniente ampliar este tipo de intervenciones en los estudiantes de primer año de todas las carreras, para ayudarles a razonar acerca de la necesidad de reconocer la autoría de las personas sobre sus ideas (Gómez-Ferri, 2008) y la importancia de citar las fuentes. De acuerdo con lo que mencionan Vaamonde y Omar (2008), en relación con el discurso docente, este debe de ser claro y explícito de las reglas para lograr la máxima integridad y coherencia en la formación académica de una institución.
6. Conclusiones
Esta investigación tiene como objetivo entregar evidencia empírica sobre el fenómeno de la deshonestidad académica de estudiantes universitarios del área de la gestión de empresas de una universidad del norte de Chile. Como principales resultados están la jerarquización del respeto como valor prioritario para los estudiantes, y la honestidad y responsabilidad se ubicaron en el tercer lugar de los siete valores entregados a los estudiantes para su priorización. En segundo lugar se aprecia que las intervenciones didácticas implementadas muestran un efecto positivo y significativo en la percepción valórica de los estudiantes.
Dentro de las implicancias prácticas para las instituciones de educación superior está que estas deben potenciar que sus docentes desarrollen prácticas didácticas que fomenten la honestidad, en especial en los estudiantes que inician su formación universitaria. En la línea con lo que señalan Vaamonde y Omar (2008), uno de los mayores desafíos con el que se enfrentan las instituciones educativas es el de crear un ambiente donde las prácticas académicas deshonestas sean socialmente inaceptables, es decir, donde los estudiantes repudien estos actos y adviertan que hacer trampa en la escuela es más perjudicial que beneficioso. Es hora de comenzar a desmantelar las prácticas deshonestas desde la misma cotidianidad institucional. Como nuevas líneas de investigación, se puede plantear realizar un estudio que profundice en determinar si los estudiantes chilenos o latinoamericanos presentan diferencias significativas en la percepción de comportamientos de deshonestidad de acuerdo al género. A nivel internacional, hay estudios que han encontrado diferencias notorias por género, siendo los hombres más proclives para tener prácticas de deshonestidad académica (Ghanem y Mozahem, 2019).
Como limitaciones del estudio se puede mencionar la aplicación de la encuesta a una sola cohorte de estudiantes de una única universidad. Por ello, se cataloga más como un caso de estudio, el cual se podría ampliar a una mayor cobertura de estudiantes, no solo de primer año sino con mayor experiencia universitaria.
Otra limitación inherente a los estudios de percepciones se relaciona con el sesgo de la deseabilidad social. Esto implica que se puede dar el caso en que los participantes tiendan a responder al cuestionario con una mayor predisposición hacia el comportamiento deseable minimizando el no deseable.
Referencias
Acosta, M., Páez, H., y Vizcaya, O. (2007). ¿Es posible educar en valores en las instituciones educativas? Revista Educación en Valores, 1(7), 25-40.
Arana, M., y Batista, N. (1999). La educación en valores: una propuesta pedagógica para la formación profesional. Pedagogía Universitaria, 4(3), 1-30.
Austin, Z., Simpson, S., y Reynen, E. (2005). The fault lies not in our students, but in ourselves’: academic honesty and moral development in health professions education-results of a pilot study in Canadian pharmacy. Teaching in Higher Education, 10(2), 143-156.
Ávila, L. (2016). El Dasein y la formación: Una mirada en clave Heideggeriana, en La formación y la constitución del ser. Editorial Universidad Distrital Francisco.
Bandura, A. (1986). Social foundations of thought and action. Englewood Cliffs, NJ, Prentice Hall.
Blankenship, K., y Whitley, Jr.B. (2000). Relation of general deviance to academic dishonesty. Ethics y Behavior, 10(1), 1-12.
Bolin, A. (2004). Self-control, perceived opportunity, and attitudes as predictors of academic dishonesty. The Journal of Psychology, 138(2), 101-114.
Bolívar, A. (2005). El lugar de la ética profesional en la formación universitaria. Revista Mexicana de Investigación Educativa, 10(24).
Chun-Hua, S. L., y Ling-Yu, M. (2007). Academic dishonesty in higher education. A nationwide study in Taiwan. Higher Education, 54, 85-97.
Comas, R., Sureda, J., Casero, A., y Morey, M. (2011). La integridad académica entre el alumnado universitario español. Estudios Pedagógicos, XXXVII (1), 207-225.
Devlin, M., y Gray, K. (2007). In Their Own Words: A Qualitative Study of the Reasons Australian University Students Plagiarize. Higher EducationResearch and Development, 26 (2),181-198. https://doi.org/10.1080/07294360701310805.
Diez-Martínez, E. (2014). Deshonestidad académica de alumnos y profesores. Su contribución en la desvinculación moral y corrupción social. Sinéctica Revista Electrónica de Educación, 44, 1-17.
Diez-Martínez, E., Vázquez, F., Ochoa, A., Gilio, M.C., Iglesias, G., y Valdivia, C. (2013). Algunos aspectos de la deshonestidad académica en la Educación superior: reflexiones acerca de la Formación ciudadana. En XII Congreso Nacional De Investigación Educativa, México.
Esper, M. (1998). ¿Cómo educar en el valor de la honestidad? (Tesis presentada para optar al grado de Maestra en Educación con Especialidad en Comunicación, Universidad Virtual del Instituto Tecnológico y de Estudios Superiores de Monterrey), México.
Frondizi, R. (1977). Introducción a los problemas fundamentales del hombre. Fondo de Cultura Económica, México.
Gadamer, H.G. (2000). La educación es educarse. Editorial Paidós.
Gallent, C., y Tello, I. (2017) Percepción del alumnado de traducción de la Universidad Internacional de Valencia (VIU) sobre el ciberplagio académico. Rev. Digit. Invest. Docencia Univ, 11(2), 90-117. http://dx.doi.org/10.19083/ridu.11.563.
Ghanem, C., y Mozahem, N. (2019). A study of cheating beliefs, engagement, and perception- The case of business and engineering students. Journal of Academic Ethics, 17, 291-312.
Gretty, N. (2004). La Gerencia en el Aula. Parias: Editorial Calatayud.
Gómez-Ferri, J. (2008). De la chuleta al ordenador: reflexiones y propuestas didácticas ante el ciberplagio. Ponencia presentada en el V Congreso Iberoamericano de docencia universitaria. Valencia, España.
González, V. (2001). La Educación de valores en el Currículum Universitario. Un enfoque Psicopedagógico para su estudio. Centro de Estudios para el perfeccionamiento de la Educación Superior, Universidad de la Habana, Cuba.
Hinman, M. (2002). Academic integrity and the world wide web. Computers and Society, Computers and Society, 32(1), 33-42. http://dx.doi.org/10.1145/511134.511139.
Locquiao, J., e Ives, B. (2020). First-year university students’ knowledge of academic misconduct and the association between goals for attending university and receptiveness to intervention. International Journal for Educational Integrity, 16(5), 1-19.
López, D., Eraña, I., Segura-Azuara, N., Noriega, I., Díaz-Elizondo, J., y Cabrera, M. (2020). Percepciones de los profesores sobre de la deshonestidad en estudiantes de Medicina: prevalencia, motivaciones e implicaciones. Educación Médica, 21(6), 285-291.
Marsden, H., Carroll, M., y Neill, J. (2005). Who cheats at university? A self-report study of dishonest academic behaviours in a simple of Australian university students. Australian Journal of Psychology, 57(1),1-10. https://doi.org/10.1080/00049530412331283426.
McCabe, D., Klebe, L., y Butterfield, K. (2001). Cheating in Academic Institutions: A Decade of Research. Ethics & Behavior, 11(3), 219-232. https://doi.org/10.1207/S15327019EB1103_2.
Medina, M., y Verdejo, A. (2005). Encuesta acerca de la deshonestidad académica estudiantil en la Universidad de Puerto Rico, Recinto de Río Piedras. Pedagogía, 38, 179-204.
Molina, A., Silva, F., y Cabezas, C. (2005) Concepciones teóricas y Metodológicas para la implementación de un modelo pedagógico para la formación en valores de estudiantes universitarios. Estudios pedagógicos, XXI(1), 79 - 95.
Murdock, T., y Anderman, E. (2006). Motivational perspectives on student cheating: Toward an Integrated model of academic dishonesty. Educational Psychologist, 41 (3), 129-145.
Nonis, S., y Swift, C. (2001). An examination of the relationship between academic dishonesty and workplace dishonesty: A multicampus investigation. Journal of Education for Business, 11(12), 69-77.
Río, A., Durán, M., Ferraces, M.J., y Rodríguez, M. (2019) Variables clave para una intervención eficaz en deshonestidad académica. Ciencias Psicológicas, 13(2), 356-366.
Seijo, C. (2009). Los valores desde las principales teorías axiológicas: Cualidades apriorísticas e independientes de las cosas y los actos humanos. Clío América, 3(6), 152-164.
Tefera, T., y Kinde, G. (2009). Faculties’ perception and responses to academic dishonesty of undergraduates in Education, Business and Administration. Ethiopian Journal of Education and Science, 4(2), 57-72.
Universidad Católica del Norte (2017). Proyecto Educativo Institucional. Chile.
Vaamonde, J., y Omar, A. (2008). La deshonestidad académica como un constructo multidimensional. Revista Latinoamericana de Estudios Educativos, XXXVIII (3-4), 7-27.
Vargas, J.C. (2007). La ética fenomenológica de Edmund Husserl como ética de la “renovación” y ética personal. Estudios Filosóficos, 36, 61-9.
Notas de autor
*Correspondencia: Karla Soria Barreto. Correo electrónico: ksoria@ucn.cl.