ARTÍCULO ORIGINAL
El uso de reglas y restricciones en la resolución de un problema de mecánica: el rol de la Matemática en la Física
The rules and constraints used to solve a problem in mechanics: The role of mathematics in physics
El uso de reglas y restricciones en la resolución de un problema de mecánica: el rol de la Matemática en la Física
Ciência & Educação (Bauru), vol. 30, e24033, 2024
Programa de Pós-Graduação em Educação para a Ciência, Universidade Estadual Paulista (UNESP), Faculdade de Ciências, campus de Bauru.
Received: 23 November 2023
Accepted: 30 April 2024
Resumen: Se presentan los resultados de una investigación cualitativa que indaga las reglas y principios que utilizan estudiantes de un curso de ingeniería para resolver un problema de mecánica que puede ser abordado desde diferentes enfoques. En las resoluciones se analizan los distintos registros semióticos que dan cuenta del entramado de la matemática y la física. Los resultados muestran que las dificultades aparecen al realizar la conversión del esquema conceptual al lenguaje matemático. El análisis de los datos sugiere que cuando los estudiantes pueden representar en lenguaje matemático las reglas y las restricciones específicas de la situación presentada, pueden interpretar los resultados algebraicos en el marco del modelo físico.
Palabras clave: Enseñanza de la física, Enzeñza de la matemática, Enseñanza superior, Resolución de problemas, Proceso de aprendizaje.
Abstract: This qualitative investigation explores how engineering students apply physical principles and rules to solve a classical mechanics problem using different strategies. Various semiotic registers in the solutions are examined, which account for interweaving mathematics and physics. The findings demonstrate that difficulties arise when the conceptual scheme goes into mathematical language. According to the analysis, interpreting algebraic results within the physical model is possible if students can mathematically express the physical rules and constraints.
Keywords: Physics teaching, Mathematics teaching, Higher education, Problem solving, Learning process.
Introducción
La resolución de ejercicios y problemas tiene un lugar central en las estrategias de enseñanza de la física. Para comenzar a resolver un problema de física estructurado, de tipo cerrado (Perales, 2000), las y los estudiantes realizan diversas tareas. Para embarcarse en la resolución, la situación planteada debe resultar, en principio, coherente, es decir que las personas deben percibirla como posible en el mundo físico (Mcdermott; Larkin,1978).
Distintos modelos de resolución de problemas plantean que la primera tarea que suelen realizar las y los estudiantes es una identificación, que puede comenzar por la realización de un esquema con los elementos básicos de la situación, continuar con el reconocimiento de conceptos y relaciones importantes y, eventualmente, la realización de esquemas más conceptuales como diagramas de cuerpo libre (Carcavilla; Escudero Scorza, 2004). Desde un punto de vista más general, puede plantearse que lo que están haciendo es seleccionar el modelo adecuado para la situación, y con él, las reglas, o sea las representaciones matemáticas de los principios físicos (Buteler; Gangoso, 2003) que, desde el modelo teórico, pueden describirla adecuadamente. Además, deben interpretar y representar matemáticamente las restricciones que presenta el caso particular. Esas restricciones pueden presentarse como una condición sobre los valores de las magnitudes involucradas o como los vínculos físicos que forman parte del sistema. Así, entonces, las reglas y las representaciones matemáticas de las restricciones forman el conjunto que describe la situación, permite resolver el problema e interpretar los resultados obtenidos.
Las reglas son aplicables a un grupo de problemas, provienen de la teoría y son, en cierta forma, genéricas. En cambio, el conjunto de restricciones es particular para cada situación y depende fuertemente del contexto. Las y los estudiantes que resuelven un problema deben escribir las reglas tomando los datos de la situación particular (por ejemplo, reemplazando en la sumatoria de fuerzas las que actúan en ese sistema en particular). Para la escritura matemática de las restricciones, deben interpretar la situación y crear la ecuación, es decir hacer un cambio de registro de representación (Duval, 2006), de una representación del mundo físico a una representación matemática algebraica de los vínculos que restringen el sistema.
Los resultados encontrados durante la resolución deben ser interpretados desde el sistema físico, es decir, deben realizarse nuevamente cambios de una representación matemática a una representación del mundo físico. Ese trabajo de ida y vuelta entre los distintos registros de representación permite resolver la situación planteada interpretando los resultados matemáticos en el contexto del mundo físico.
Asumiendo que adquirir estrategias para resolver problemas es fundamental en el aprendizaje de la física es que surgen las preguntas de esta investigación: ¿qué reglas o principios usan las y los estudiantes para resolver un problema que puede ser abordado desde distintos enfoques?; ¿qué tipo de representaciones utilizan? y ¿qué registros aparecen en las resoluciones que dan cuenta del entramado entre la matemática y la física?
Para contestar estas preguntas se propuso como instrumento de investigación un problema canónico de mecánica que, por los datos proporcionados y las preguntas formuladas, posibilita diferentes estrategias de resolución.
Las representaciones matemáticas en física
Raymond Duval (Duval, 1995) plantea, en su teoría, la influencia del uso de diferentes sistemas semióticos de representación en el desarrollo de las actividades cognitivas fundamentales tales como la conceptualización, el razonamiento, la resolución de problemas y la comprensión de textos. Los registros semióticos de representación son los sistemas variados de escritura o representación de los números, las notaciones simbólicas de los objetos, la escritura algebraica, los gráficos, las imágenes, los esquemas, el lenguaje natural, etc. Estos registros semióticos de representación permiten expresar relaciones y operaciones en matemática, pero no solamente en ella. De hecho, en el mismo libro y en trabajos posteriores, Duval (2000, 2006) amplía el campo a las ciencias fácticas que trabajan con modelos matemáticos interpretados (Lombardi, 1998) marcando similitudes y diferencias con el aprendizaje de los modelos matemáticos puros. Klimovsky (2001) señala que el discurso matemático es puramente sintáctico y se le puede asignar significado posteriormente. El proceso de interpretación otorga capacidad de referencia a objetos o entidades que pueden ser puestos a prueba en relación al mundo real. Desde su punto de vista, la interpretación es la asignación de significado a aquello que no lo posee.
Duval (1995) señala, además, que las representaciones semióticas no sólo son esenciales para la comunicación, sino que juegan un papel primordial en la producción de conocimientos. En particular, el trabajo de conversión entre diferentes registros de representación produce conocimientos y, por lo tanto, es central en el aprendizaje.
Si aceptamos que la física construye modelos matemáticos interpretados, en el sentido de Lombardi (1998), el aprendizaje de física será entonces el aprendizaje de esos modelos donde los conceptos matemáticos y los conceptos físicos están íntimamente relacionados. Siguiendo a Duval (1995), para aprender física será entonces necesario trabajar con los distintos registros de las representaciones semióticas, su tratamiento y su conversión.
Ahora bien, durante el proceso de resolución de un problema, cada resultado del trabajo con las distintas representaciones semióticas ya sean conversiones (del lenguaje natural al esquema, del gráfico a la tabla, de las ecuaciones al gráfico, del gráfico al lenguaje natural, etc.) o tratamientos (dentro de las ecuaciones, o las tablas, etc.) puede ser monitoreado desde los conceptos físicos. Estas situaciones de control, o de falta de él, son las que dan cuenta de las relaciones entre los conceptos matemáticos y los conceptos físicos que puede establecer la persona que está resolviendo un problema.
Aspectos metodológicos
El enfoque metodológico de esta indagación es cualitativo, trabajando en forma descriptiva con los datos (Taylor; Bogdan, 1996). Las categorías conceptuales se construyen a partir de los datos obtenidos utilizando una lógica inductiva (Sirvent; Rigal, 2023). Se analiza cómo las y los estudiantes resuelven un ejercicio con el propósito de definir dimensiones que permitan construir el problema de investigación. El instrumento utilizado para la recolección de datos es un cuestionario en el que se propone un problema cerrado (Perales, 2000) de mecánica clásica dentro del modelo de cuerpos puntuales.
Al diseñar el cuestionario se tomaron las siguientes decisiones, en consonancia con lo propuesto por Buteler (2003): describir la situación física de manera independiente de las preguntas, para favorecer la identificación del modelo físico en la situación particular; escribir el enunciado utilizando la menor cantidad de términos complejos, para que resulte accesible a los y las estudiantes; y comenzar con una pregunta que pudiera ser contestada sin la necesidad de una resolución matemática, para facilitar que los y las estudiantes puedan realizar un análisis de factibilidad de la situación y recuperar los datos e información presentes en el enunciado. Por otra parte, se incorporaron diferentes registros semióticos de representación, como el esquema de la situación y una tabla de datos, considerando que a partir de diferentes representaciones pueden desarrollarse estrategias de resolución distintas.
Se tomó la decisión de trabajar sobre la máquina de Atwood con una polea ideal. Esta elección se basó en el hecho de que este sistema físico es conocido por las personas que cursan la materia de física en la que se tomaron los datos. De hecho, este sistema suele ser incorporado en los ejercicios propuestos tanto en las guías de estudio de dinámica como en las de energía. No obstante, se decidió plantear preguntas que difieren de las que se abordan normalmente en relación a este sistema con el objetivo de convertir el ejercicio en un problema (Perales, 2000). En la figura 1 se muestra la situación planteada a los y las estudiantes.

Para que el problema pudiera resolverse ya sea en el marco de la dinámica y cinemática, en el marco de la energía mecánica o en un camino mixto que utilice diferentes enfoques en cada respuesta, se tomaron decisiones sobre los datos proporcionados y sobre la formulación de las preguntas. Se decidió no mencionar el tiempo en el enunciado ya que, si apareciera, podría direccionar una resolución basada en dinámica y cinemática. Por otra parte, se proporcionó el valor de la tensión, de manera de posibilitar la resolución por energía sin un planteo previo de dinámica. Esto implicó que el problema tuviera más datos que los necesarios para su resolución.
Además, se especificó el sistema de coordenadas con el objetivo de evitar confusiones al leer los valores de altura proporcionados. Asimismo, se hizo una aclaración explícita sobre la relación entre las posiciones de los cuerpos, que proviene de la condición de soga inextensible.
El cuestionario fue tomado en forma individual y anónima a estudiantes de nivel universitario. La muestra está constituida por 37 personas que cursaban Física I durante el primer cuatrimestre del 2022 en la Facultad de Ingeniería de la Universidad de Buenos Aires. La situación problemática que se analiza fue presentada después del primer parcial, en el que se evalúan conocimientos de mecánica (cinemática, dinámica y energía) para describir situaciones dentro de los modelos de cuerpo puntual, sistema de partículas y cuerpo rígido.
Los datos que se analizan en este estudio son los registros escritos de los planteos realizados para responder cada una de las preguntas del problema. Como señalan Hopkins, Bollington y Hewett (1989) el análisis cualitativo de los datos es un proceso cíclico y sistemático en el que se eligen segmentos significativos que son comparados y contrastados para sintetizar y organizar la información. Así, el análisis inductivo da lugar a una síntesis descriptiva de los datos que determina tipologías, conceptos y/o proposiciones teóricas, más abstractas.
En particular, para este estudio, se hizo una lectura de los registros para tener una primera visión general de los datos. Para empezar a sistematizar, se analizaron las respuestas dadas a cada una de las preguntas por separado y se construyeron categorías descriptivas sobre las distintas estrategias de resolución. A partir de estos resultados, se analizó cómo resuelve el problema cada una de las personas y como resultado de este proceso surgieron dimensiones de análisis que se presentan más adelante.
Resultados y análisis
Un total de 37 personas respondieron el cuestionario, pero no todas completaron la resolución. En la tabla 1 se presenta la cantidad de respuestas obtenidas en cada pregunta.

A continuación, se presentan los resultados obtenidos a partir del análisis de las respuestas en dos direcciones: primero de todas las respuestas a cada pregunta del cuestionario y luego de cada resolución individual.
Análisis de la primera pregunta
Para responder la pregunta 1 (figura 2) es necesario construir una explicación descriptiva que no requiere de la realización de cálculos matemáticos, ya que es suficiente comparar los datos numéricos del enunciado. Una opción es analizar el diagrama de cuerpo libre de B, considerar que la tensión es mayor que el peso por lo tanto la aceleración es positiva en el sistema de coordenadas definido y como el bloque está inicialmente en reposo va a subir aumentando su rapidez. Otra opción es considerar que aumenta la energía cinética del bloque porque el trabajo de la tensión es positivo mientras que el trabajo del peso es negativo y en módulo menor. Por los datos que se dan en el enunciado, es posible responder esta pregunta analizando sólo el bloque B aunque también se puede estudiar el sistema formado por ambos bloques.

Son 37 personas quienes responden esta pregunta y se encuentra que 10 lo hacen apelando al lenguaje natural, 12 basan su descripción únicamente en lenguaje matemático y 15 utilizan una combinación de palabras y expresiones algebraicas (tabla 2).

En la figura 3 se muestra un ejemplo del uso del lenguaje matemático para la descripción y en la figura 4 una respuesta que apela únicamente al lenguaje natural.


En relación a las 27 respuestas que realizan algún desarrollo matemático, en 23 casos hay un análisis dinámico y cinemático de la situación mientras que en los otros 4 se presentan consideraciones energéticas.
De las 25 respuestas que describen el movimiento con palabras, 6 personas además argumentan que el bloque A baja porque es más pesado que el bloque B. En estos casos se puede observar que una explicación descriptiva no les resulta suficiente y por eso suman una explicación de tipo causal. Un ejemplo puede verse en la figura 5.

En cuanto a las representaciones gráficas que realizan en el planteo inicial, se encuentra que en 29 resoluciones realizan un esquema conceptual, es decir, el diagrama de cuerpo libre de al menos uno de los bloques. En 13 de esas resoluciones además se replica el esquema de la situación del enunciado, en muchos casos incorporando los datos numéricos.
Análisis de la segunda pregunta
Para responder el ítem a de la pregunta 2 (figura 6) sería suficiente considerar que la soga es inextensible y, por lo tanto, la suma de las alturas de ambos bloques es de 0,8 m.

No se encuentran errores matemáticos en las 35 respuestas a este ítem. Veintisiete personas utilizan la relación entre las posiciones de los cuerpos que se deriva del vínculo de la soga. De éstas, 23 utilizan alguna ecuación (figura 7) mientras que 4 sólo escriben el resultado. Siete resuelven utilizando cinemática, es decir, despejan el tiempo de la ecuación horaria de la posición del cuerpo B y lo reemplazan en la ecuación de posición del cuerpo A, como puede verse en la respuesta de la figura 8. Por último, una persona responde la pregunta a partir de un análisis energético incorrecto del sistema. Estos resultados se presentan en la tabla 3.



Para responder el ítem b de la pregunta se pueden utilizar las ecuaciones horarias de posición y velocidad del cuerpo B y luego utilizar la relación entre las velocidades de los cuerpos para obtener la velocidad de A. Otro procedimiento posible consiste en plantear que la energía mecánica del sistema formado por ambos bloques se conserva y utilizar la relación de velocidades.
Un total de 22 personas responden este ítem y, en general, no se encuentran errores matemáticos en las respuestas. En la tabla 4 se presentan los resultados. En 12 respuestas se utilizan las ecuaciones horarias de la posición y de la velocidad para hallar el tiempo y la velocidad del cuerpo B y luego repiten el mismo procedimiento para el cuerpo A. Otras dos personas utilizan el mismo procedimiento, pero sólo para un cuerpo contestando de manera incompleta la consigna. Tres personas utilizan las ecuaciones horarias de la posición y la velocidad para hallar la velocidad del cuerpo B y luego utilizan la relación de velocidades para expresar que la velocidad del otro cuerpo tiene el mismo módulo, pero sentido contrario (figura 9). Cinco personas realizan un planteo energético incorrecto.


Análisis de la tercera pregunta
Para contestar la pregunta 3 (figura 10) es necesario hacer cálculos, obtener un resultado y luego evaluar la magnitud obtenida comparando con la situación particular del problema, es decir con las restricciones del sistema.

En este caso, una de las restricciones a tener en cuenta es la del dominio de la posición del bloque, ya que no puede atravesar el piso. Matemáticamente esto se representa con que los valores de la coordenada y deben ser mayores o iguales a cero. Sin embargo, se podría resolver la situación pedida apelando sólo a comparar la velocidad dada con la velocidad que alcanza el bloque cuando llega al piso.
La pregunta es contestada por 19 personas (tabla 5). Quince de ellas resuelven a partir de ecuaciones de cinemática. Otras dos lo hacen con un planteo a través de la energía. Dos personas más responden sólo si es posible o no que el bloque alcance esa velocidad apelando a palabras, pero sin justificar, como el caso mostrado en la figura 11. Llegan a la conclusión correcta 10 personas, todas ellas del grupo que utiliza ecuaciones de cinemática.


Respecto de las estrategias de resolución, se observa que las dos personas que plantean la pregunta desde la visión energética asumen erróneamente la conservación de la energía mecánica de cada bloque por separado. Aun así, operan obteniendo un resultado que evalúan en relación a la situación física. Dado que obtienen una rapidez mayor a 3 m/s al final del recorrido, sólo afirman que es posible alcanzarla asumiendo la continuidad de la velocidad. En cuanto a las resoluciones en las que se utiliza la descripción cinemática del movimiento la estrategia utilizada por 11 de las 15 personas, es la búsqueda del tiempo en que la rapidez vale 3 m/s para, posteriormente, determinar el valor de la posición para ese tiempo, como en el caso ilustrado en la figura 12. Los demás eligen buscar la velocidad que tiene el bloque al llegar al piso y compararla con el valor dado (figura 13). En ambos casos, se observa un uso correcto de las ecuaciones y se encuentran muy pocos errores.


En cuanto a las argumentaciones que se utilizan en las 19 respuestas, 4 personas no construyen una justificación; otra obtiene un valor para la altura que es mayor que cero para esa rapidez y por lo tanto no justifica su respuesta. En los 14 restantes se utilizan diferentes formas de argumentación, expresadas en vocabulario común haciendo referencia explícita al límite impuesto por el piso o expresadas en términos matemáticos. Puede verse un ejemplo en la figura 14.

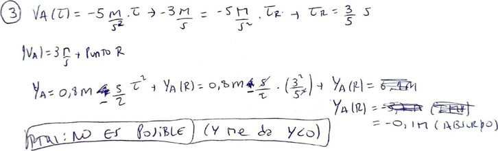
En las respuestas a esta pregunta se evidencia el planteo de la restricción de los valores que puede tomar la posición de los cuerpos. La ecuación que describe esa restricción, de acuerdo al sistema de coordenadas planteado en el enunciado, es y≥0. En 8 casos llegan a un resultado negativo para la posición y explican que es un resultado absurdo. Están utilizando la restricción del dominio de las posiciones explícitamente. Otras estrategias de resolución adoptadas, con resoluciones exitosas también, no necesitan mirar el dominio de la posición, sino que basta con fijar el valor de y=0 para el piso. En una resolución (figura 15) se utiliza la continuidad de la velocidad para argumentar la respuesta.

Análisis de la cuarta pregunta
Para contestar el ítem a de la pregunta 4 (figura 16) hay diversos caminos posibles: utilizar las relaciones de posición y velocidad entre los cuerpos A y B que impone la soga inextensible en conjunto con los datos de la tabla; trabajar directamente sobre la cinemática de B sin apelar a los vínculos con el cuerpo A ni a la tabla; trabajar desde conceptos de energía – utilizando o no los vínculos – o se podría optar por un camino mixto entre los anteriores.

Este ítem fue contestado por 15 estudiantes, los resultados se presentan en la tabla 6. Hay 6 respuestas que utilizan cinemática en la resolución: tres trabajan con cinemática de manera independiente para el cuerpo B, calculando los tiempos y las velocidades para las alturas dadas llegando al resultado correcto y otros tres resuelven utilizando alguna relación de vínculo entre los cuerpos y cinemática. En nueve respuestas se utilizan las relaciones de vínculo y la tabla de datos, correcta o incorrectamente, para contestar la pregunta (figura 17). En cuatro de estas respuestas llegan al resultado correcto vinculando las alturas y velocidades de ambos cuerpos y utilizando los valores de la tabla. Cinco respuestas llegan a un resultado incorrecto que proviene de asignarle al cuerpo A las posiciones dadas para el cuerpo B.


Las trece personas que contestaron el ítem b de esta pregunta consideran razonable el resultado que obtuvieron. Al justificar esa respuesta apelan a diversas características del sistema, entre otras: la aceleración del cuerpo B, la diferencia de pesos entre los cuerpos, la condición de soga inextensible y la elección del sistema de coordenadas. Ejemplos de lo anterior pueden verse en las figuras 18 y 19, respectivamente.


Catorce personas proponen una resolución alternativa al contestar el ítem c de la pregunta. Quienes lo resolvieron utilizando las relaciones de vínculo proponen, en su mayoría, el uso de cinemática como camino alternativo; y quienes lo resolvieron por cinemática proponen trabajar con conceptos de energía o utilizando la tabla.
Análisis de las resoluciones individuales
A partir del análisis de las resoluciones de cada persona y de la consideración de las preguntas de investigación planteadas para este trabajo, pueden definirse tres dimensiones que toman en cuenta los aspectos salientes de los resultados: las particularidades de las resoluciones en las que se usa el enfoque energético, el desgranamiento en el número de respuestas cuando se requieren conversiones al lenguaje matemático y la utilización de las restricciones de vínculo que impone la soga inextensible.
En seis de las 37 resoluciones las y los estudiantes eligen plantear el problema desde el punto de vista de la energía mecánica. En dos resoluciones aparecen escritas algunas relaciones de variación de la energía, pero no operan con ellas. En las otras cuatro operan con las expresiones de energía y aparecen claramente dos cuestiones: se postula que la energía mecánica de cada bloque se conserva y, ante resultados negativos para el cuadrado de la velocidad, señalan explícitamente que debe haber un error. Por ejemplo, escriben: “no sé por qué quedó un menos, hice algo mal…” y “me da con signo negativo, pero lo ignoré para seguir resolviendo” (figuras 20 y 21). En estas resoluciones puede observarse que, aun reconociendo los resultados matemáticos erróneos a los que lleva el planteo de la conservación de la energía para cada cuerpo, las y los estudiantes no cuestionan esa regla que asumieron como verdadera.


Respecto del desgranamiento en el número de respuestas cuando se requieren conversiones al lenguaje matemático se encuentra que 37 personas responden la primera pregunta y este número disminuye a medida que avanzan en las resoluciones (tabla 1). La mayor diferencia se observa entre el número de personas que resuelven la pregunta 2a y la 2b, que son 35 y 22 respectivamente. Es de notar que la pregunta 2b es la primera en la que se requiere operar matemáticamente con las ecuaciones del modelo elegido. Se torna interesante, entonces, buscar las similitudes y diferencias entre las resoluciones de quienes sólo pudieron responder hasta la pregunta 2a y quienes continuaron resolviendo el problema.
Como puede observarse en la tabla 7, dentro de las personas que responden hasta la 2a se encuentra que el 62 % realiza el diagrama de cuerpo libre para al menos uno de los cuerpos del sistema, el 54 % escribe la ecuación correspondiente a la segunda ley de Newton y el 31 % explicita la relación entre las aceleraciones de los cuerpos. Estos porcentajes aumentan al 82 %, 86 % y 96 % respectivamente en el grupo de las personas que resuelven la pregunta 2 completa. Estos resultados parecen sugerir que realizar la conversión a la representación en lenguaje matemático de las restricciones es un punto crítico para avanzar en la resolución del problema.

Respecto del uso explícito, o no, de la restricción en el movimiento de los cuerpos que impone la soga inextensible se hace evidente en la resolución de la pregunta 2 y la pregunta 4a. En la pregunta 2a puede utilizarse la relación de posiciones, en la 2b la de velocidades y en la 4a es necesario el uso conjunto de ambas relaciones cuando se utilizan los datos de la tabla. Cabe mencionar, que al realizar el análisis de los datos notamos que haber incorporado el valor de la tensión en el enunciado implicó que todo el problema pudiera ser resuelto sin utilizar las restricciones que impone el vínculo de la soga. Dentro de las 13 resoluciones que contestan las preguntas mencionadas desde un enfoque dinámico y cinemático aparecen tres grupos con diferentes estrategias de resolución. Por un lado, en un grupo de 3 resoluciones se encuentra una estrategia que se basa en trabajar el movimiento de ambos cuerpos de manera totalmente independiente a la que llamamos estrategia de cinemática independiente. Este grupo se caracteriza por encontrar la aceleración del sistema, luego escribir las ecuaciones horarias para cada cuerpo y contestar todas las preguntas trabajando a partir de ellas. Una vez que escriben las ecuaciones horarias de cada bloque conectan los movimientos solo a través del tiempo, considerando que son simultáneos. Por otro lado, en un grupo de 4 resoluciones se utiliza una estrategia a la que llamamos de uso exclusivo de vínculos. Esta estrategia se caracteriza por resoluciones basadas únicamente en las relaciones de posición y velocidad de ambos cuerpos, trabajando de manera explícita con la restricción que impone la soga en el movimiento de ambos cuerpos. Por último, un grupo de 6 personas utilizan una estrategia que llamamos mixta en las que se encuentran resoluciones que alternan el uso de cinemática o las relaciones que se derivan del vínculo de la soga. En estas respuestas utilizan el vínculo de la soga para contestar la pregunta 4a; sin embargo, usan diferentes estrategias de resolución en la pregunta 2: en 3 casos utilizan cinemática y en otros 3 las relaciones de vínculo en la 2a y cinemática para ambos cuerpos en 2b.
A modo de conclusión
En los registros escritos se puede observar que la mayoría de las personas construyen representaciones gráficas para abordar este problema de física (Carcavilla; Escudero Escorza, 2004). Las dificultades aparecen explícitamente al realizar la conversión del esquema conceptual a la escritura de las reglas y las restricciones en lenguaje matemático.
Se encuentra que una amplia mayoría elige resolver el problema a partir de consideraciones dinámicas y cinemáticas. Se puede suponer que esta preferencia se debe a que el enfoque energético es relativamente novedoso para este grupo de estudiantes. Asimismo, aparecen también diversas estrategias al contestar cada pregunta. De manera general, se puede apreciar una preferencia por las resoluciones cinemáticas. Sin embargo, frente a la pregunta en la que se presenta adicionalmente una tabla de datos que relaciona velocidades y posiciones, aumentan las resoluciones basadas en las relaciones impuestas por el vínculo de la soga ideal. Se puede notar, entonces, que diferentes formas de preguntar parecen conducir a distintas estrategias de resolución (Buteler, 2003). En este sentido, que en el enunciado del problema se presente una forma de representación semiótica diferente parece ampliar las posibilidades de comprensión del sistema físico en su conjunto (Duval, 2006).
A lo largo de las resoluciones puede observarse que las personas prácticamente no cometen errores en el tratamiento matemático de las ecuaciones. Sin embargo, cuando se encuentran con alguna inconsistencia entre el resultado y lo que esperan, los comentarios o correcciones que dejan expresadas son de naturaleza diferente según las reglas que estén utilizando. En trabajos anteriores (Pérez, 2018) ya habíamos detectado que un error de tratamiento matemático en cinemática suele dar lugar a revisiones tanto de la regla como del tratamiento en sí. Lo que se encuentra en las resoluciones, cuando eligen un planteo energético, es que no dudan de las reglas derivadas de la concepción de que la energía de cada cuerpo se conserva, pero sí del tratamiento de las ecuaciones. Parece haber una diferencia sustancial entre la seguridad con que operan en cinemática, en la que pueden revisar tanto la regla como el tratamiento matemático y en consecuencia solucionar las inconsistencias, mientras que el apego a la concepción de la conservación no permite la duda necesaria ante una inconsistencia que reconocen en el tratamiento matemático.
Las y los estudiantes manifiestan gran pericia al operar con las reglas de la dinámica y la cinemática. Las magnitudes halladas en cinemática son interpretadas con seguridad. En cambio, con las reglas de energía se apoyan en la seguridad de un conocimiento declarativo, incorrecto en todos los casos y la confianza en que el problema es resoluble, lo que da lugar a ignorar o no poder solucionar los errores matemáticos aun cuando se les hacen evidentes.
Los datos sugieren que la experticia en los cálculos matemáticos no es el principal condicionante, aun cuando es una afirmación que suele ser repetida sin discusión. Los resultados parecen indicar que, cuando las y los estudiantes pueden representar en lenguaje matemático las reglas y restricciones específicas de la situación presentada, pueden interpretar los resultados algebraicos en el marco del modelo físico. Podría decirse que, construir las habilidades para trabajar matemáticamente con las reglas y restricciones, contribuye a la comprensión del modelo físico.
Agradecimientos
Este artículo fue elaborado en el marco del Proyecto UNGS Interinstitutos 30/5030, financiado por la Universidad Nacional de General Sarmiento.
Referencias
BUTELER, L. La resolución de problemas en física y su relación con el enunciado. Revista de Enseñanza de la Física, Córdoba, Argentina, v. 16 n. 1, p. 5-15, 2003. Recuperado el 18 oct. 2023 de: https://revistas.unc.edu.ar/index.php/revistaEF/article/view/15857.
BUTELER, L.; GANGOSO, Z. La representación externa en la resolución de un problema de física: ¿una cuestión de forma o una cuestión de fondo? Cognitiva, España, v. 15 n. 1, p. 51-66, 2003.
CARCAVILLA, A.; ESCUDERO ESCORZA, T. Los conceptos en la resolución de problemas de física “bien estructurados”: aspectos identificativos y aspectos formales. Enseñanza de las Ciencias, Barcelona, v. 22 n. 2 p. 213-228, 2004. Recuperado el 18 oct. 2023 de: https://ensciencias.uab.cat/article/view/v22-n2-carcavilla-escudero/1791.
DUVAL, R. Basic issues for research in mathematics education. In: NAKAHARA, T.; KOYAMA, M. (ed.). Proceedings of the 24th conference of the international group for the psychology of mathematics education. Hiroshima: Hiroshima University, 2000. v. 1, p. 55-69. Recuperado el 18 oct. 2023 de: https://files.eric.ed.gov/fulltext/ED466737.pdf.
DUVAL, R. Sémiosis et pensée humaine: registres sémiotiques et apprentissages intellectuels. Bern, Suisse: Peter Lang, 1995.
DUVAL, R. Un tema crucial en la educación matemática: la habilidad para cambiar el registro de representación. La Gaceta de la RSME, España, v. 9, n. 1, p. 143-168, 2006. Recuperado el 18 oct. 2023 de: https://gaceta.rsme.es/abrir.php?id=546.
HOPKINS, D.; BOLLINGTON, R.; HEWETT, D. Growing up with qualitative research and evaluation. Evaluation and Research in Education, Abingdon, UK, v. 3, n. 2, p. 61-80, 1989.
KLIMOVSKY, G. Las desventuras del conocimiento científico. 5. ed. Buenos Aires: A-Z Editora, 2001.
LOMBARDI, O. La noción de modelo en ciencias. Educación en Ciencias, Argentina, v. 2, n. 4, p. 5-13, 1998. Recuperado el: 18 oct. 2023 de: https://tinyurl.com/4eamjxyv.
McDERMOTT, J.; LARKIN, J. H. Re-representating textbook physics problems. In: PROCEEDINGS of the 2nd National Conference of the Canadian Society for Computational Studies of Intelligence. Toronto: University of Toronto Press, 1978. p. 156-164.
PERALES, F. J. La resolución de problemas. In: PERALES PALACIOS; CAÑAL DE LEÓN (comp.).Didáctica de las ciencias experimentales. Alcoy: Marfil, 2000. p. 289-307.
PÉREZ, S. M. La construcción del entramado de física y matemática: análisis de producciones de estudiantes universitarios en cinemática elemental. 2018. Tesis (Doctorado) – Facultad de Filosofía y Letras, Universidad de Buenos Aires, Buenos Aires, 2018.
SIRVENT, M. T.; RIGAL, L. La investigación social en educación: diferentes caminos epistemológicos, lógicos y metodológicos de producción de conocimiento. Barcelona: Miño y Dávila Editores, 2023.
TAYLOR, S. J.; BOGDAN, R. Introducción a los métodos cualitativos de investigación. Barcelona: Paidós, 1996.
Author notes
Autora Correspondiente: lchiabra@fi.uba.ar