Artigo Científico
Does seed size affect the germination rate and seedling growth of peanut under salinity and water stress?
O tamanho da semente afeta a taxa de germinação e o crescimento de plântulas de amendoim sob salinidade e estresse hídrico?
Does seed size affect the germination rate and seedling growth of peanut under salinity and water stress?
Pesquisa Agropecuária Tropical, vol. 49, pp. 1-9, 2019
Universidade Federal de Goiás
Recepción: 08 Agosto 2018
Aprobación: 02 Abril 2019
Abstract: Seed size is an important indicator of physiological quality, since it may affect seed germination and seedling growth, especially under stress conditions. This study aimed to investigate the effects of seed size on germination and initial seedling growth, under salinity and water stress conditions. The treatments were arranged in a completely randomized design, in a 3 × 3 factorial scheme: three seed size classes (small, medium and large) and three stress treatments (control, saline or water stress), with four replicates. Water and salt stresses do not reduce the germination rate of medium and large seeds; however, the germination rate of small seeds is reduced under salt stress conditions. Drought stress drastically reduces the shoot growth of seedlings regardless of seed size, whereas root growth is higher in seedlings from medium and large seeds under water stress conditions. Under non-stressful environments, the use of large seeds is preferable, resulting in more vigorous seedlings with a greater dry matter accumulation. Medium-size seeds are more adapted to adverse environmental conditions and, therefore, should be used under conditions of water shortage and salt excess in the soil at sowing time. Seedlings are more tolerant to salinity than to water stress during the germination stage and initial growth under laboratory conditions.
Keywords: Arachis hypogaea L, osmotic potential, seed reserve.
Resumo: O tamanho da semente constitui um importante indicador de qualidade fisiológica, por afetar sua germinação e o crescimento de plântulas, especialmente em condições adversas. Objetivou-se investigar os efeitos do tamanho da semente na germinação e no crescimento inicial de plântulas de amendoim, em condições de salinidade e restrição hídrica. Os tratamentos foram arranjados em delineamento inteiramente casualizado, em esquema fatorial 3 × 3: três classes de tamanho de sementes (pequena, média e grande) e três tratamentos de estresse (controle e estresse salino ou hídrico), com quatro repetições. Estresses salino e hídrico não reduzem a porcentagem de germinação das sementes de tamanho médio e grande; no entanto, a germinação das sementes pequenas é reduzida sob estresse salino. O estresse hídrico reduz drasticamente o crescimento da parte aérea das plântulas, independentemente do tamanho da semente, enquanto o crescimento das raízes é maior nas plântulas oriundas de sementes médias e grandes sob condições de estresse hídrico. Em condições controle, o uso de sementes grandes é preferível, resultando em plântulas mais vigorosas e com maior acúmulo de matéria seca. Sementes de tamanho médio são mais adaptadas às condições adversas do ambiente e, portanto, devem ser utilizadas em condições de escassez de água e de excesso de sal no solo na época de semeadura.As plântulas são mais tolerantes à salinidade do que ao estresse hídrico durante a fase de germinação e de crescimento inicial em condições de laboratório.
Palavras-chave: Arachis hypogaea L, potencial osmótico, reserva da semente.
INTRODUCTION
The use of high-quality seeds is essential for a successful crop production and food security. Crop yield and resource use efficiency depend on the successful plant establishment in the field, and seed vigor is what defines the ability to germinate and establish seedlings rapidly, uniformly and robustly, across diverse environmental conditions (Finch-Savage & Bassel 2016). Seed size is an important physical indicator of seed quality that affects the emergence, plant growth and performance of the crop in the field (Adebisi et al. 2013). Indeed, the sowing of mixed seeds of a species may result in a non-uniform stand establishment, what may lead to heterogeneity in the plant vigor and size (Mishra et al. 2010).
Distinct seed sizes have different levels of starch and other energy reserves which may be an important factor to improve the expression of germination and initial growth of seedlings (Shahi et al. 2015). Germination depends on the ability of the seed to use reserves more efficiently (Bewley et al. 2013), by mobilization of seed reserves for the germination traits (Sikder et al. 2009). A wide array of different effects of seed size in non-stressful and stressful conditions has been reported for seed germination, seedling emergence and establishment in many crop species (Mut & Akay 2010, Shahi et al. 2015, Soares et al. 2015). However, these results vary widely between the crop species and the germination and growth environment. In general, large seeds have a higher seedling survival rate, higher growth and better field performance than small seeds, under non-stressful environments (Ambika et al. 2014).
In many situations, crop sowing is performed under inappropriate soil moisture conditions to support seed germination or in areas with an excess of salts in the soil or in the irrigation water (Munns & Tester 2008). Water shortage and salt excess in the soil at the sowing time cause delayed and reduced seed germination, unequal seedling emergence and unsatisfactory stand establishment (Steiner et al. 2017), what results in crop yield reductions (Lawles et al. 2012). Drought and salinity affect germination by creating highly negative water potentials, thus preventing the seed water uptake. Salinity may also cause direct phytotoxic effects of Na. and Cl. ions (Acosta-Motos et al. 2017). However, the negative effects of drought and salinity on seed germination and plant establishment can be alleviated or potentiated with the use of different seed sizes.
Research results have reported that the effects of seed size on germination and seedling growth under water and saline stress conditions are still controversial and inconclusive. The use of increased seed size resulted in higher germination and seedling growth rates in naked oat (Mut & Akay 2010) and triticale (Kaydan & Yagmur 2008). On the contrary, Pereira et al. (2013) obtained more vigorous seedlings from small soybean seeds under water stress conditions, whereas large seeds produced seedlings with a higher growth rate than small seeds under optimal soil moisture conditions. On the other hand, Soares et al. (2015) reported that the size of soybean seeds does not affect the germination and initial seedling growth under water and saline stress conditions. Limede et al. (2018) also verified that the seed size does not affect the emergence of soybean seedlings, although large seeds produce plants with the highest shoot dry matter. However, the effects of seed size on the germination and growth of peanut seedlings under stressful environments are still unknown. Thus, this study aimed to investigate the effects of seed size on the seed germination and initial growth of peanut (Arachis hypogaea L.) seedlings under salinity and water stress conditions.
MATERIAL AND METHODS
Peanut (Arachis hypogaea L.) plants (IAC- Tatu ST cultivar) were grown under field conditions in Cassilândia, Mato Grosso do Sul state, Brazil (19º05’20’’S, 51º48’24’’W and altitude of 470 m), during the 2015/2016 crop season, when the minimum and maximum temperatures were 19.5 ºC and 37.1 ºC, respectively, and the mean air relative humidity was 64 % (± 8 %). The harvest was manually performed at 105 days after sowing, and the plants were air-dried at room temperature for 96 h. The seeds were extracted by hand, weighed and then separated into three size classes: i) small seeds, with mass of 0.16-0.24 g; ii) medium seeds, with mass of 0.32-0.40 g; iii) large seeds, with mass of 0.48-0.56 g. After the separation in size classes, the seeds were stored in sealed plastic bags for 18 days, at 15 ºC and 45 % of relative humidity, until their use.
To compare the effects of salt or water stress on germination and seedling growth, the seeds of each size class were exposed to -0.20 MPa iso- osmotic solutions with polyethylene glycol (PEG- 6000) or NaCl. The concentration of PEG-6000 required to obtain the solution was determined by the equation of Michel & Kaufmann (1973): Ψs = [- (1.18 × 10-2) C - (1.18 × 10-4) C2 + (2.67 ×10-4) CT + (8.39 × 10-7) C2 T]/10, where Ψs is the osmotic potential (MPa), C the concentration (g L-1 of PEG-6000 in water) and T the temperature (ºC). The concentration of NaCl to obtain the osmotic potential of -0.20 MPa was calculated by the Van’t Hoff equation (Hillel 1971): Ψs = -RTCi, where R is the ideal gas constant (0.008314 MPa mol-1 K-1), T the absolute temperature (273.15 + ºC), C the concentration in molarity of the solute (mol L-1) and i the Van’t Hoff factor, i.e., the ratio between the actual concentration of particles produced when the substance is dissolved, whose value, for NaCl, is 2.0 (Na+ and Cl- ). As a control, a solution with osmotic potential of 0.00 MPa was used.
Treatments were arranged in a completely randomized design, in a 3 × 3 factorial scheme: three seed sizes (small, medium and large) and three stress treatments (control, saline and water stress), with four replications.
Four replicates of 25 seeds from each size class were evenly distributed between two sheets of paper towel moistened with distilled water (control), PEG or NaCl solutions of -0.20 MPa, in the proportion of three times the mass of the dry substrate. The sheets were then turned into rolls, which were packaged into plastic bags to prevent evaporation and maintain the relative humidity close to 100 %. Germination was carried out in a growth chamber under a 12/12 h photoperiod (light/darkness), light intensity of 180 μmol m-2 s-1 and temperature of 25 ºC, for 12 days. Thiram was added to the solutions at a concentration of 0.2 % (v/v) to control the fungi infection (Demir & Mavi 2008). Seeds were considered germinated when the primary root was longer than 5.0 mm. Germinated seeds were recorded at 5 days (first germination count test) and 12 days (total germination percentage) after starting the test (Brasil 2009).
The shoot and primary root length were measured in 10 normal seedlings randomly obtained after the total germination count (12th day) using a meter scale, with results expressed in cm. To determine the dry matter partitioning into root and shoot, all seedlings obtained at the end of the germination test (12 days) were separated into shoots and roots, dried in a forced air circulation oven for three days, at 65 ºC, and then weighed. The results were expressed in mg seedling-1. To determine the root:shoot ratio, the obtained root dry matter was divided by the shoot dry matter
The data of germination percentage, seedling length and dry matter production were used to calculate the seedling vigor and salt or drought tolerance indices. Seedling weight (SWVI) and length (SLVI) vigor indices in each treatment were calculated using the following equations (Abdul-Baki & Anderson 1973): SLVI = [seedling length (cm) × seed germination (%)] and SWVI = [seedling dry weight (mg) × seed germination (%)].
The data normality was previously tested by the Kolmogorov-Smirnov test at 5 % of significance, and then the data were submitted to analysis of variance (Anova) and means of seed size class and stress treatments were compared by the t-test at the confidence level of 0.05. For statistical analysis, the data expressed in percentage were previously transformed into arcsin√(x/100). The analyses were performed using the Sisvar software, version 5.6 (Ferreira 2011).
RESULTS AND DISCUSSION
The analysis of variance reported that the main effects of seed size and abiotic stress were significant (p < 0.05) on all the traits of seed germination and seedling growth (Table 1). The interaction between seed size and stresses showed a significant effect (p < 0.05) on all the germination and growth traits, except for the total seedling length and seedling length vigor index (Table 1). The significant interaction between the main effects of seed size and abiotic stress for most of the measured traits indicates that the different seed size classes have distinct responses when exposed to stressful environmental conditions, thus justifying the classification of peanut seeds by size.

The first germination count test was significantly reduced with the exposure of peanut seeds to the drought and saline stresses (Figure 1A). These results suggest that the start of the seed germination process was delayed under water and saline stress conditions, when compared to the seeds under non-stressful control conditions. The delay of the germination process in stressful environments has been commonly reported for other crops, such as soybean (Pereira et al. 2013, Soares et al. 2015), common bean (Coelho et al. 2010), naked oat (Mut & Akay 2010) and wheat (Shahi et al. 2015, Steiner et al. 2017).

(A) and germination percentage (B) of peanut (Arachis hypogaea L.; IAC-Tatu ST cultivar) seeds under salinity and water stress conditions. Bars followed by the same lower-case letter between the seed sizes or the same upper-case letter for the stress treatments are not significantly different by the t-test at the confidence level of 0.05. Data refer to mean values (n = 4) ± mean standard error.
The delay in germination under water and saline stress was due to an increase of the external osmotic pressure, what adversely affects the water absorption by seeds. According to Bewley et al. (2013), it is necessary that the seeds reach an adequate level of hydration during the imbibition phase, in order to occur the reactivation of seed metabolic processes and growth of the embryonic axis. Seeds exposed to drought or saline stress require more time to adjust the internal osmotic potential in accordance with the external environment (Munns & Tester 2008). A highly negative osmotic pressure may affect the seed water uptake, making germination not possible (Soares et al. 2015). Additionally, the osmotic stress affects the starch synthesis reactions and energy production process (adenosine triphosphate - ATP) through seed respiration (Bewley et al. 2013), resulting in a reduced germination speed index and thus in the delay of the germination time. The most common responses of plants to the reduction of osmotic potential are a delay in the initial germination and a reduction in the germination rate (Mut & Akay 2010, Soares et al. 2015, Steiner et al. 2017).
The first germination count test of the large seeds was lower than for other seed sizes in both non- stressful and water stressful conditions (Figure 1A), suggesting that the germination process of large seeds was delayed, when compared to small and medium seeds. This delay occurred because large seeds need more water absorption than small seeds and, consequently, they take more time to germinate. A similar result was reported by Shahi et al. (2015), who showed that the germination speed index of wheat large size seeds is lower than those of the small and medium size seeds. According to Bewley et al. (2013), the minimum water content required in the seed for starting the peanut germination process is 50-55 % of dry weight.
The total germination percentage was significantly influenced by the germination medium conditions only when small seeds were used, and the saline stress resulted in a lower seed germination rate, when compared to non-stressful control conditions (Figure 1B). This suggests that the germination of small-size peanut seeds is more affected by salinity than water stress conditions. Similar results were reported by Soares et al. (2015), who showed that the soybean seed germination is more affected by the saline stress induced by NaCl than by mannitol- induced water stress. These results may be because salinity, in addition to inhibiting the seed germination by reducing the water potential, may also cause specific phytotoxic effects due to the absorption of Na+ and Cl- (Acosta-Motos et al. 2017). However, these effects were not observed in medium and large peanut seeds.
The initial growth of peanut seedlings was significantly influenced (p < 0.05) by the seed size and stress conditions (Figure 2). Shoot growth was drastically inhibited under saline and water stress conditions, when compared to the control seedlings in all seed sizes, with the least inhibition in small seeds (Figure 2A). Under salt stress conditions, the decrease in the shoot length from small, medium and large seeds were, respectively, 5 %, 28 % and 37 %, when compared to the control seedlings. Under drought stress, the decrease in the shoot length from small, medium and large seeds were, respectively, 47 %, 72 % and 75 %, when compared to the control seedlings (Figure 2A). These results indicate that the shoot growth of the seedlings was more affected by water stress than salt stress.
However, contrary results were observed for root growth, where the radicular length was more affected by salinity than by drought stress (Figure 2B). The saline stress resulted in the reduction of radicle length of peanut seedlings of 58 %, 35 % and 45 %, respectively for small, medium and large seeds, if compared to the control seedlings. On the other hand, the drought stress increased the root growth of the seedlings produced from medium seeds by 22 %, while there was no difference for large seeds; but a 35 % reduction in root growth with the use of small seeds was reported under drought conditions (Figure 2B).
Several studies have shown that the shoot is more likely to be affected by abiotic stresses than other traits (Mut & Akay 2010, Shahi et al. 2015, Steiner et al. 2017). The highest root growth of peanuts observed under drought conditions must have occurred as a response of the plant to adverse conditions of the medium. During the exposure to abiotic stresses, plants exhibit a wide range of responses at the molecular, cellular and whole plant levels, including physiological, morphological and developmental changes (inhibition of shoot growth and enhancement of root growth), as well as changes in the metabolic pathway (synthesis of osmolytes and antioxidant enzyme; protein localization and degradation) (Roychoudhury et al. 2013). Therefore, the increase of root growth under water stress may The initial growth of peanut seedlings was significantly influenced (p < 0.05) by the seed size and stress conditions (Figure 2). Shoot growth was drastically inhibited under saline and water stress conditions, when compared to the control seedlings in all seed sizes, with the least inhibition in small seeds (Figure 2A). Under salt stress conditions, the decrease in the shoot length from small, medium and large seeds were, respectively, 5 %, 28 % and 37 %, when compared to the control seedlings. Under drought stress, the decrease in the shoot length from small, medium and large seeds were, respectively, 47 %, 72 % and 75 %, when compared to the control seedlings (Figure 2A). These results indicate that the shoot growth of the seedlings was more affected by water stress than salt stress.

(B) and total seedling length (C) of peanut (Arachis hypogaea L.; IAC-Tatu ST cultivar) under conditions of salinity and water stress. Bars followed by the same lower-case letter between the seed sizes or the same upper-case letter for the stress treatments are not significantly different by the t-test at the confidence level of 0.05. Data refer to mean values (n = 4) ± mean standard error.
The total seedling growth was inhibited under salt and water stress conditions, when compared to the control seedlings in all seed sizes, with the least inhibition in medium seeds (Figure 2C). The decrease in the growth rate of seedlings under stressful conditions could be due to a reduction in one or both the primary cellular growth traits: wall extensibility and cell turgor. Under water stress conditions, seedling growth is affected due to the reduction of water uptake by plants and lower cell turgor pressure (Taiz et al. 2017). Indeed, Li et al. (2011) reported a growth rate of seedlings from 27.8 mm day-1 under control conditions, whereas under drought stress conditions this growth rate was only 16.1 mm day-1. According to Acosta-Motos et al. (2017), one of the first processes affected in response to decreased water potential is cell expansion, a highly dependent turgidity process of the plants.
Under control conditions, the increase in seed size resulted in a greater dry matter accumulation of shoots, roots and total (Figure 3). These results suggest that seed size plays an important role in the rapid establishment of plants in the field when sown under unrestricted environments. Indeed, Adebisi et al. (2013) pointed out that seed size is an important physical indicator of seed quality and vigor affecting the seedling growth rate and crop performance in the field. Similar results were reported by Pereira et al. (2013) and Limede et al. (2018), who found a greater dry matter accumulation of plants with the increase of the soybean seed size. Ambika et al. (2014) also showed that large seeds have a higher seedling survival rate, higher growth and better field performance than small seeds, under non-stressful environments. This higher dry matter accumulation of the peanut seedlings from the large seeds under control conditions was because these seeds have a greater amount of starch and other energy reserves that can be allocated to improve the initial growth rate, resulting in more vigorous seedlings (Shahi et al. 2015).
Under salt and water stress conditions, the shoot, root and total dry matter accumulation were significantly greater for medium-size seeds, followed by large seeds, and lower for small seeds (Figure 3). These results suggest that peanut medium seeds are better adapted to salinity and drought than large and small seeds. Contrary results were reported for other plant species. In soybean seeds, Pereira et al. (2013) showed that small seeds produce seedlings with the highest dry matter under drought conditions. Similarly, Farhoudi & Motamedi (2010) proposed that small seeds germinate faster and grow higher under saline conditions, and that they could be preferred for use in saline soils to achieve better stands. On the other hand, Soares et al. (2015) showed that soybean large seeds result in seedlings with the highest dry matter, even when exposed to saline and water stress conditions.

Another important result observed in this study was that the shoot, root and total dry matter of seedlings produced from medium-size seeds were significantly higher under saline conditions, when compared to control conditions (Figure 3). These results confirm that medium seeds are better adapted to salinity conditions and, therefore, should be used in saline soils to produce more vigorous seedlings. Under salinity conditions, the higher root growth is a common response of plants to salt stress (Acosta- Motos et al. 2017). This larger root system may favor the retention of toxic ions in this organ, controlling their translocation to the shoots. This translocation control of Na+ and Cl- ions to the shoot may attenuate the adverse effects of salt stress on plant growth, resulting in more vigorous seedlings (Oliveira & Steiner 2017).
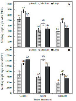
The length vigor index of peanut seedlings was significantly reduced with the exposure of plants to salt and water stress for all seed sizes (Figure 4A). These results evidenced the negative effect of salinity and drought on the elongation of peanut seedlings, as reported by the lower length of the shoot (Figure 2A) and primary root (Figure 2B). However, the use of medium-size seeds resulted in higher seedling length vigor index in both the non-stressful and stressful conditions (Figure 4A). The weight vigor index of peanut seedlings was significantly reduced under drought conditions in all seed sizes, with the least reduction in medium seeds (Figure 4B). However, under salinity conditions, the seedling weight vigor index was 16 % higher than the control, when using medium-size seeds, while there was no difference for small seeds. But the use of large seeds reduced the seedling weight vigor index by 21 %, if compared to control seedlings (Figure 4B). In general, these results suggest that peanut medium seeds could be preferred for use in adverse environmental conditions, when compared to large and small seeds.
The lowest value for seedling weight vigor index, with the use of peanut small seeds, may be because the smaller seeds have less amount of reserves to be allocated to the seedlings, resulting in less vigorous plants (Figure 4B). Therefore, the use of small peanut seeds should not be recommended, even under water shortage and salt excess in the soil at the sowing time, because it compromises the suitable establishment of the plant stand.

Effects of seed size on seedling length vigor index (A) and seedling weight vigor index (B) of peanut (Arachis hypogaea L.; IAC-Tatu ST cultivar) under salinity and water stress conditions. Bars followed by the same lower-case letter between the seed sizes or the same upper-case letter for the stress treatments are not significantly different by the t-test at the confidence level of 0.05. Data refer to mean values (n = 4) ± mean standard error
The seedling vigor index has been used as a tolerance index to evaluate the effect of salinity and drought on seedling growth (Ashkan & Jalal 2013, Oliveira & Steiner 2017). Seedling vigor is a measure of the extent of damage that accumulates as viability declines, and the damage accumulates in seeds until they are unable to germinate and eventually die (Bewley et al. 2013). The lowest seedling vigor index under water and saline stress conditions occurred because the reduction of the osmotic potential of the external medium inhibited the germination rate and initial growth of the peanut seedlings.
CONCLUSIONS
REFERENCES
ABDUL-BAKI, A. A.; ANDERSON, J. D. Vigor determination in soybean seed by multiple criteria. Crop Science, v. 13, n. 6, p. 630-633, 1973.
ACOSTA-MOTOS, J. R. et al. Plant responses to salt stress: adaptive mechanisms. Agronomy, v. 7, n. 1, p. 1-18, 2017.
ADEBISI, M. A. et al. Influence of different seed size fractions on seed germination, seedling emergence and seed yield characters in tropical soybean (Glycine max L. Merrill). International Journal of Agricultural Research, v. 8, n. 1, p. 26-33, 2013.
AMBIKA, S.; MANONMANI, V.; SOMASUNDARAM, G. Review on effect of seed size on seedling vigour and seed yield. Research Journal of Seed Science, v. 7, n. 2, p. 31-38, 2014.
ASHKAN, A.; JALAL, M. Effects of salinity stress on seed germination and seedling vigor indices of two halophytic plant species (Agropyron elongatum and A. pectiniforme). International Journal of Agriculture and Crop Sciences, v. 5, n. 22, p. 2669-2676, 2013.
BEWLEY, J. D. et al. Seeds: physiology of development, germination and dormancy. 3. ed. New York: Springer, 2013.
BRASIL. Ministério da Agricultura, Pecuária e Abastecimento. Regras para análise de sementes. Brasília, DF: MAPA/ACS, 2009.
COELHO, D. L. M. et al. Estresse hídrico com diferentes osmóticos em sementes de feijão e expressão diferencial de proteínas durante a germinação. Acta Scientiarum Agronomy, v. 32, n. 3, p. 491-499, 2010.
DEMIR, I.; MAVI, K. Effect of salt and osmotic stresses on the germination of pepper seeds of different maturation stages. Brazilian Archives of Biology and Technology, v. 51, n. 5, p. 897-902, 2008
FARHOUDI, R.; MOTAMEDI, M. Effect of salt stress and seed size on germination and early seedling growth of safflower (Carthamus tinctorius L.). Seed Science and Technology, v. 38, n. 1, p. 73-78, 2010.
FERREIRA, D. F. Sisvar: a computer statistical analysis system. Ciência e Agrotecnologia, v. 35, n. 6, p. 1039- 1042, 2011.
FINCH-SAVAGE, W. E.; BASSEL, G. W. Seed vigour and crop establishment: extending performance beyond adaptation. Journal of Experimental Botany, v. 67, n. 3, p. 567-591, 2016.
HILLEL, D. Soil and water: physical principles and process. New York: Academic Press, 1971.
KAYDAN, D.; YAGMUR, M. Germination, seedling growth and relative water content of shoot in different seed sizes of triticale under osmotic stress of water and NaCl. African Journal of Biotechnology, v. 7, n. 16, p. 2862- 2868, 2008.
LAWLES, K. et al. Effect of delayed emergence on corn grain yields. Journal of Plant Nutrition, v. 35, n. 3, p. 480- 496, 2012.
LI, F. L.; BAO, W. K.; WU, N. Morphological, anatomical and physiological responses of Campylotropis polyantha (Franch.) Schindl. seedlings to progressive water stress. Scientia Horticulturae, v. 127, n. 4, p. 436-443, 2011.
LIMEDE, A. C. et al. Effects of seed size and sowing depth in the emergence and morphophysiological development of soybean cultivated in sandy texture soil. Australian Journal of Crop Science, v. 12, n. 1, p. 93-98, 2018.
MICHEL, B. E.; KAUFMANN, M. R. The osmotic potential of polyethylene glycol 6000. Plant Physiology, v. 51, n. 5, p. 914-916, 1973.
MISHRA, A. et al. Tree growth, biomass and productivity of wheat under five promising clones of Populus deltoids in agrisilviculture system. International Journal of Ecology and Environmental Sciences, v. 36, n. 2-3, p. 167-174, 2010.
MUNNS, R.; TESTER, M. Mechanisms of salinity tolerance. Annual Review of Plant Biology, v. 59, n. 1, p. 651-681, 2008.
MUT, Z.; AKAY, H. Effect of seed size and drought stress on germination and seedling growth of naked oat (Avena sativa L.). Bulgarian Journal of Agricultural Science, v. 16, n. 4, p. 459-467, 2010.
OLIVEIRA, C. E. S.; STEINER, F. Potassium nitrate priming to mitigate the salt stress on cucumber seedlings. Scientia Agraria Paranaensis, v. 16, n. 4, p. 454-462, 2017.
PEREIRA, W. A.; PEREIRA, S. M. A.; SANTOS, D. D. C. F. Influence of seed size and water restriction on germination of soybean seeds and on early development of seedlings. Journal of Seed Science, v. 35, n. 3, p. 316- 322, 2013.
ROYCHOUDHURY, A. et al. Cross-talk between abscisic acid-dependent and abscisic acid-independent pathways during abiotic stress. Plant Cell Reports, v. 32, n. 7, p. 985-1006, 2013.
ROYCHOUDHURY, A. et al. Cross-talk between abscisic acid-dependent and abscisic acid-independent pathways during abiotic stress. Plant Cell Reports, v. 32, n. 7, p. 985-1006, 2013.
SHAHI, C. V. et al. How seed size and water stress affect the seed germination and seedling growth in wheat varieties? Current Agriculture Research Journal, v. 3, n. 1, p. 60-68, 2015.
SIKDER, S.; HASAN, M. A.; HOSSAIN, M. S. Germination characteristics and mobilization of seed reserves in maize varieties as influenced by temperature regimes. Journal of Agricultural and Rural Development, v. 7, n. 1-2, p. 51-56, 2009.
SOARES, M. M. et al. Estresse hídrico e salino em sementes de soja classificadas em diferentes tamanhos. Pesquisa Agropecuária Tropical, v. 45, n. 4, p. 370-378, 2015.
STEINER, F. et al. Drought tolerance of wheat and black oat crops at early stages of seedling growth. Revista de Ciências Agrárias, v. 40, n. 3, p. 576-586, 2017.
TAIZ, L. et al. Fisiologia e desenvolvimento vegetal. Porto Alegre: Artmed, 2017.