Suplemento Especial: Bambu
Micropropagation of Guadua chacoensis (Rojas) Londoño & P. M. Peterson
Micropropagação de Guadua chacoensis (Rojas) Londoño & P. M. Peterson
Micropropagation of Guadua chacoensis (Rojas) Londoño & P. M. Peterson
Pesquisa Agropecuária Tropical, vol. 49, pp. 1-8, 2019
Universidade Federal de Goiás
Recepción: 15 Octubre 2018
Aprobación: 03 Abril 2019
Publicación: 15 Agosto 2019
Abstract: The bamboo productive chain is still incipient in Brazil, and the low supply of plantlets due to low-efficient conventional propagation methods presents a significant bottleneck to its development. This study aimed to establish a micropropagation protocol for Guadua chacoensis. Explants from donor plants cultivated under controlled environment showed less contamination, if compared to explants from plants grown in the field. The contamination rate was even lower when 2 mL L-1 of Plant Preservative Mixture (PPMTM) were added to the culture medium, leading to a higher establishment rate. The obtained cultures were then multiplied using either in vitro-derived nodal segments or clump division in the presence of increasing contents (0 μM, 10 μM, 20 μM, 30 μM or 40 μM) of 6-Benzylaminopurine (BAP). The number of shoots increased with increasing BAP concentrations, but this also resulted in a reduced rooting rate and root length. Plants acclimatized under 0 %, 35 % or 65 % of shading showed a dynamic maximum quantum yield of photosystem II (Fv/Fm), which initially decreased within the first seven days after the transfer to ex vitro conditions, but then increased until reaching stable values of 0.775 after 17 days. Additionally, the shading improved the plant survival rates, if compared to those under non-shaded conditions, which presented photoinhibition and photodamage symptoms.
Keywords: Bamboo in vitro establishment, micropropagation protocol, chlorophyll fluorescence.
Resumo: A cadeia produtiva de bambu, no Brasil, ainda é incipiente, e tem baixa oferta de mudas devido aos métodos convencionais de propagação. Objetivou-se, aqui, estabelecer um protocolo de micropropagação para Guadua chacoensis. Explantes de matrizes cultivadas em ambiente controlado resultaram em menor contaminação, relativamente aos de plantas cultivadas em campo. A contaminação foi ainda mais reduzida quando se adicionaram 2 mL L-1 de Plant Preservative Mixture (PPMTM) ao meio de cultura, resultando em maior taxa de estabelecimento. As culturas foram multiplicadas por meio de segmentos nodais de plantas in vitro ou por divisão de touceiras em concentrações crescentes (0 µM, 10 µM, 20 µM, 30 µM ou 40 µM) de 6-Benzilaminopurina (BAP). O número de brotações aumentou com o incremento na concentração de BAP; porém, isto reduziu a taxa de enraizamento e o comprimento de raízes. Plantas aclimatizadas sob 0 %, 35 % ou 65 % de sombreamento apresentaram rendimento quântico máximo do fotossistema II (Fv/Fm) dinâmico, o qual diminuiu nos primeiros sete dias após a transferência para condições ex vitro e, em seguida, aumentou até atingir valores estáveis de 0,775, aos 17 dias. Além disso, o sombreamento aumentou as taxas de sobrevivência das plantas, em comparação ao tratamento sem sombreamento, o qual apresentou sintomas de fotoinibição e fotodano.
Palavras-chave: Estabelecimento in vitro de bambu, protocolo de micropropagação, fluorescência da clorofila.
INTRODUCTION
Guadua chacoensis (Rojas) Londoño & P. M. Peterson is a neo-tropical woody bamboo native from Argentina, Bolivia, Brazil and Paraguay (Judziewicz et al. 1999). In Brazil, it occurs in the Atlantic Rainforest and Pantanal biomes, generally in riparian forests and lowlands (Shirasuna 2015).
Their culms are 10-20 m in height and 10-13 cm in diameter, with hollow internodes and nodes giving rise to white trichomes and thorny branches (Londoño & Peterson 1992). According to Benton (2015), G. chacoensis shows a significant commercial potential due to the quality of its wood either as whole lumber or as integrated into composites and fiberboard. In this way, G. chacoensis is similar to G. angustifolia [the only American bamboo listed as a priority by Rao et al. (1998)], which is likewise a target for the development of new bamboo-based products (Liese et al. 2015).
Although Brazil presents the greatest bamboos diversity in the Americas (Judziewicz et al. 1999), its production chain has only been established recently. Few native Brazilian bamboo species have been studied, despite their possible usefulness, an issue that grows in importance as agricultural frontiers expand, leading to biodiversity loss, genetic erosion and the possible permanent loss of valuable species. Additionally, the bamboo supply chain needs efficient propagation systems coupled to a thorough understanding of population dynamics, so that bamboo may be used sustainably without the need to harvest wild populations (Filgueiras & Gonçalvez 2011). Propagation systems for bamboos would serve to establish strategies for in situ and ex situ germplasm conservation, commercial plantations and plant breeding purposes (Londoño 2013).
Therefore, efficient plantlets production methods are essential for degraded areas and riparian forests reforestation, as well as to ensure a proper production for the developing industry. However, the availability of seeds in American woody bamboos is irregular due to the long flowering cycles, often with intervals of 30 years (Guerreiro 2014). Due to the seed scarcity, woody bamboos are conventionally propagated by asexual methods such as the division of clumps, rhizomes and section of culms. In many cases, such macropropagation techniques could present drawbacks, such as low efficiency, high costs, seasonality and problems with the transportation logistics of large-sized propagules (Gielis et al. 2001). In contrast, micropropagation may be used to establish a large-scale production system for disease- free and high-quality plantlets (Londoño 2013).
There are several reports on bamboo tissue culture research, although many focused on Asian species (Singh et al. 2013) rather than American ones (Marulanda et al. 2005, Jiménez et al. 2006, Gutierrez et al. 2016).
A consensus between in vitro bamboo culture studies is that epiphytic and endophytic microorganisms may contaminate the medium when the bamboo cultures have already advanced into the multiplication stage (Banerjee et al. 2011). In addition to the typical sanitation methods, there are two general ways of decreasing contamination rates: first by preventing the explant source plants from coming into contact with microorganisms, and second by controlling the proliferation of microorganisms that survive the initial disinfestations.
Biocides, such as the broad-spectrum Plant Preservative Mixture (PPMTM), added to the culture medium and a greater care of the explant donor plants may reduce the microorganisms growth and thus allow a greater chance of establishing a clean culture line (Jiménez et al. 2006). After the culture lines have been established, they must also be effectively multiplied. Cytokinins, such as 6-Benzylaminopurine (BAP), may stimulate in vitro bamboo cultures to produce a greater number of culms, if compared to untreated ones. However, individual genotypes may have different responses to BAP. Therefore, a range of concentrations must be tested to determine which ones will result in the highest multiplication rates with the least unwanted side effects (Sandhu et al. 2018).
The in vitro environment restricts the normal development of photosynthesis due to various physical factors, such as an exogenous supply of sucrose, high relative humidity and low luminous intensities (Hazarika 2006). These conditions impair the acclimatization of plants to survive under greenhouse or field conditions. Most studies on bamboo ex vitro acclimatization generally evaluated the plant survival rates, but not the factors limiting survival. As the photosystem II (PSII) is the first protein complex in the photosynthetic apparatus affected by the excess of light, its maximum quantum yield (measured as Fv/Fm) may serve as an indicator of the plant stress levels (Maxwell & Jonhson 2000). Therefore, it is a suitable tool for monitoring the plant performance during the ex vitro acclimatization.
Thus, this study aimed to establish a micropropagation protocol for the Guadua chacoensis bamboo, with a focus on developing a feasible large- scale production of healthy plantlets, as required for the consolidation of a bamboo productive chain in Brazil.
MATERIAL AND METHODS
The experiments for this protocol establishment were conducted at the Universidade Federal de Santa Catarina, in Florianópolis, Santa Catarina state, Brazil, from January 2016 to July 2018.
A total of nine plantlets were cultured using macroproliferation from a single plant. To determine if the growing conditions of the donor plant would affect the contamination or establishment rates of the in vitro cultures, the plantlets were cultivated for 6 months (summer-autumn) in one of the three environments: i) indoors, in a commercial substrate (Tropstrato Florestal - Vida Verde Ltda.); ii) indoors, in a hydroponic system; iii) outdoors, under field conditions, in a commercial substrate. The indoor treatments were conducted in a growth room with two high pressure sodium-vapor lamps (400 W), with a 16 h photoperiod and controlled air temperature (24 ºC ± 2 ºC). For hydroponic cultivation, the plants were grown on expanded clay, in a 20 L dripping bucket system. The pH hydroponic solution was weekly adjusted to 5.8, being replaced every 15 days. The plants in the commercial substrate were cultivated in 10 L pots and watered weekly for the indoor treatment and, when necessary, for the outdoor treatment. All treatments were fertilized every 15 days with the same nutrition solution as the hydroponic system. The tissue culture was implemented with MS medium (Murashige & Skoog 1962) containing Morel and Wetmore vitamins (Morel & Wetmore 1951), 30 g L-1 of sucrose and 2 g L-1 of Phytagel®, here referred as basal medium. The pH was adjusted to 5.8 before sterilization, for 15 min, at 121 ºC and 1.5 atm. The in vitro cultures were maintained under 25 ± 2 ºC air temperature and 100 μmol m-2 s-1 of irradiance provided by four tubular LED lamps (Philips Green Power TLED), with a 16 h day-1 photoperiod.
Nodal segments with 10-15 mm in length and still protected by their sheaths were collected from primary branches and washed with a neutral detergent with a brush under running tap water. Sheaths were removed and explants were immersed in a solution of Agrimicine (2 g L-1) and Mancozeb (3 g L-1) plus Tween 20® (1 drop 100 mL-1 of solution), for 20 min, under constant agitation; then in 70 º GL ethanol solution for 60 s; then in a sodium hypochlorite solution (4 % active chlorine) with Tween20® (1 drop 100 mL-1 of solution), for 20 min, under constant agitation; and finally rinsed three times with sterile distilled water in a laminar flow chamber. Before the in vitro inoculation, nodal segments were reduced to 5 mm in length, by removing the tissues damaged by the disinfestation procedure. The nodal segments were transferred to glass tubes (25 mm × 150 mm) containing 10 mL of basal culture media supplemented with 15 μM of BAP plus 2 mL L-1 of PPMTM (Plant Cell Technology, EUA) or, for the control treatment, medium without PPMTM.
For multiplication, two experiments were performed using previously-established in vitro cultures maintained in MS basal medium free of plant growth regulators. The plantlets were multiplied via two approaches: i) in vitro-derived nodal segments division; ii) clump division. In the first one, the nodal segments from the culms basal section of in vitro plantlets were inoculated in basal medium supplemented with a range of BAP concentrations (0 µM, 10 µM, 20 µM, 30 µM, 40 µM). After 40 days, the bud breakage and shoot number and heights were recorded. Each experimental unit consisted of one nodal segment per glass tube with 10 mL of medium, with a total of 30 nodal segments per treatment. In the second experiment, clumps were cultivated in basal medium supplemented with a range of BAP concentrations (0 µM, 10 µM, 20 µM, 30 µM, 40 µM) for 40 days, and the shoot number and height; root number and length; and multiplication rate (final shoot number/initial shoot number) were recorded. Each experimental unit consisted of one clump with five culms per 300 mL jar containing 40 mL of culture, with a total of 18 clumps per treatment.
To acclimatize the plantlets to ex vitro conditions, shoot clumps were first divided again into 3-5 culms per clump, depending on the rhizome structure, and the roots were reduced to 2 cm in length, for standardization. These clumps were then planted in 72 multi cell plug trays and, after 60 days, transferred to 290 cm³ tube pots, in a greenhouse. The substrate used in both steps consisted of commercial substrate (Tropstrato HT - Vida Verde Ltda.) and vermiculite (1:1 v/v). A set of 25 plantlets was acclimatized under each one of the three shading treatments: i) high shading provided by a 65 % shading net; ii) low shading provided by a 35 % shading net; iii) control treatment without shading. Survival was determined at 30 days after transfer to ex vitro conditions. After 90-120 days of acclimatization, plants with 10-15 culms were macro-proliferated into clumps of 3-5 culms with rhizome and roots. The analysis of photosystem II photochemical quantum yield (Fv/Fm) was performed on MS medium without PGR. The Fv/Fm was measured using basal (Fo) and maximal fluorescence (Fm) at the newest fully- expanded leaf, after plants were dark-adapted for 60 min, prior to the fluorescence analysis. The analyzed leaves were marked and tracked during the ex vitro acclimatization for 30 days. After 7 days, senesced leaves were substituted by the next young expanded leaf. All measurements were carried out at night, using a Mini-PAM Fluorometer (Walz-Germany).
Binary data of the in vitro establishment experiment were analyzed statistically, using a contingence table and the Pearson’s Chi square test. The parameters in the multiplication experiments were analyzed using regression analysis. The Fisher’s exact test was used for the survival analysis during acclimatization. All statistics were analyzed on the R environment (R Core Team 2019).
RESULTS AND DISCUSSION
At 30 days from the in vitro inoculation, 22 % of the explants had established cultures (i.e. sprouted nodal segments without apparent microorganism contamination). Due to the anatomy of nodal segments, contamination rates are usually quite high, because microorganisms may be shielded from disinfestation procedures by the space under bud prophylls, in the space between the bud prophyll and culm, or within vessels. Though mercury-based solutions (e.g. HgCl2) are commonly reported for efficient explant sterilization (Marulanda et al. 2005, Banerjee et al. 2011, Sandhu et al. 2018), they are very hazardous. Aiming to avoid the use of such toxic compounds, an effective rate of in vitro culture establishment was obtained using sodium hypochlorite solution, as a disinfestation agent, and PPMTM added to the culture medium. The bud breaking occurred from 7-15 days after the inoculation (Figure 1A).
The conditions in which the explant donor plants were kept greatly affected the contamination rate. Explants from field-grown plants showed a
![Guadua chacoensis organogenesis. A) In vitro nodal segment bud breaking (bar = 2 mm); B) established culture; C) bud breaking of in vitro-derived nodal segment (bar = 1 mm); D) clump obtained from in vitro-derived nodal segment (bar = 2 cm); E) clumps on 20 µM of BAP multiplication treatment, [left] subsequently subculture on 20 µM of BAP and [right] subsequently subculture on BAP-free medium (bar = 5 cm); F) [from left to right] plants from 0 µM, 20 µM and 40 µM of BAP treatments after a subsequently culture over 40 days in a BAP-free medium; G) plantlets prepared for ex vitro acclimatization (bar = 3 cm).](../253067965059_gf2.png)
complete contamination rate when their explants were placed on culture medium without PPMTM and a 95 % contamination rate with PPMTM (Table 1). In contrast, both indoor methods had less contamination and a greater establishment rate, regardless of whether PPMTM was added or omitted from the in vitro culture medium. Plants raised under hydroponic conditions had less contamination than those raised in commercial substrate indoors. PPMTM showed a clear effect as well: under all growth conditions, the addition of PPMTM decreased contamination, leading to a greater rate of culture establishment in vitro. Indoor plants under hydroponic conditions, using PPMTM in the in vitro culture medium, was the most effective strategy, in which only 15 % of the initial explants showed signs of contamination and 35 % of explants were in vitro established (Figure 1B). The results suggest that the condition of donor plants is an important factor for increasing the likelihood that a given explant will survive disinfestation and establish a stable culture line. Similar results regarding explants contamination from field-grown and greenhouse plants were reported by Jiménez et al. (2006).
In the first multiplication approach, at least 90 % of all the in vitro-derived nodal segments sprouted (Figure 2A), regardless of the BAP concentration. New clumps were obtained from single nodal segments of in vitro culms, contrasting with the results of Jiménez et al. (2006), who found that this kind of explants were not suitable for G. angustifolia organogenesis. A previous experiment showed a better bud breakage (Figure 1C) in well-developed nodal segments from the base of in vitro culms, especially the first and second nodes (data not shown).
As the BAP concentration increased, the number of shoots increased as well. However, the mean shoot height tended to decrease (Figures 2B and 2C). It was observed that 20 μM of BAP in the medium led to almost a two-fold increase in the number of shoots, in relation to the control treatment. Chlorosis and oxidation were observed in the shoots obtained from in vitro-derived nodal segments cultured in BAP-supplemented media. Similar features were also observed by Jiménez et al. (2006) in in vitro cultures of G. angustifolia.
After 80 days in culture, 80 % of the established nodal segments on BAP-free medium grew into
| Mother plant condition PPMTM | Contamination (%) | Bud breaking (%) | Establishment (%) | |
| Field | Commercial substrate - | 100 | 0 | 0 |
| + | 90 | 15 | 5 | |
| Commercial substrate - | 60 | 25 | 20 | |
| Indoor | + | 30 | 30 | 30 |
| Hydroponic - | 45 | 35 | 30 | |
| + | 15 | 35 | 35 | |
N = 20 explants per treatment.

plantlets with 3.1 ± 0.5 shoots, with spontaneous rooting (Figure 1D). At this phase, BAP could be used to improve the multiplication rates using the clump division method.
The second multiplication approach, via division of clumps, is an efficient method commonly used for bamboo in vitro multiplication. For G. chacoensis, BAP effectively improved the clump multiplication in a positive linear trend up to the highest concentration tested (Figure 3A). While in the absence of BAP the clumps doubled the number of culms over 40 days, the clumps in medium with 40 μM of BAP multiplied more than three-fold. However, the spontaneous root formation reduced in response to increasing BAP concentrations (Figure 3B). Marulanda et al. (2005) reported that the BAP removal from the culture medium and the use of auxin resulted in 90 % of rooting in G. angustifolia. Although the highest BAP concentration resulted in a 3.3 multiplication rate, it also resulted in shorter shoots, fewer and smaller leaves with necrotic lesions, and no spontaneous rooting in some clumps (Figure 3C). Those clumps recovered the normal morphological features and showed 100 % of rooting when they were placed onto culture medium free of BAP (Figures 1E and 1F). In comparison, Gutierrez et al. (2016) reported a 2.7 multiplication rate when G. angustifolia cultures were maintained on semi-solid medium with 3.0 mg L-1 of BAP.
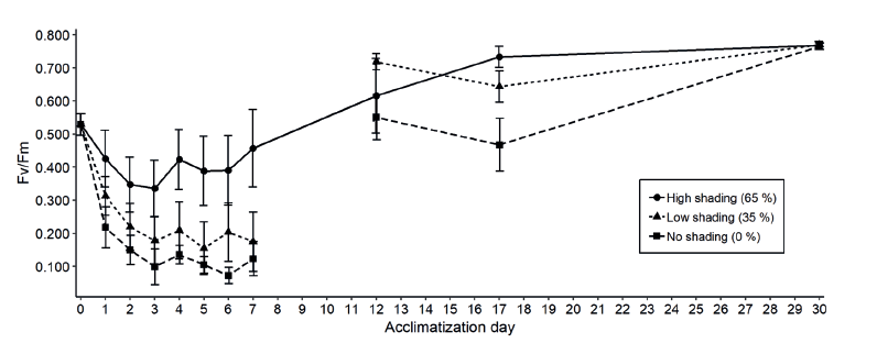
After a subculture in the absence of BAP, the Fv/Fm mean of the in vitro plantlets was 0.536 . 0.015, indicating a relatively low potential quantum yield in the mixotrophic condition. The Fv/Fm value for all treatments - no shading, low shading and high shading - during the seven initial days post-acclimatization under ex vitro conditions initially decreased, but then showed a recovery on the persistent leaves (Figure 4). An initial decrease is commonly reported during the first days after the ex vitro transfer (Yang & Yeh 2008) and occurred



more rapidly in no shading and low shading than in high shading treatments. A significant increase in the photon flux density leads to photoinhibition, and a long-term disparity in the quantum yield may lead to a photosynthesis down regulation by photodamage (Naresh & Bai 2009). The no shading and low shading treatments resulted in leaves with basipetal chlorophyll bleaching followed by foliar abscission on most of the tracked leaves (100 % and 90 %, respectively) on the 12nd day, thus suggesting symptoms of a photo-oxidative stress caused by the evolution of the reactive oxidative species due to an excess of light. In contrast, 35 % of the tracked leaves in the high shading treatment reached a high Fv/Fm in the same period for the persistent leaves. In the no shading treatment, even ex vitro-developed leaves senesced. A similar behavior was described by Matysiak (2004), who found that ex vitro-developed leaves still presenting photodamage symptoms were not able to acclimatize. According to Harazika (2006), the survival of leaves in the ex vitro condition depends on the environmental stress level. These leaves have an important photosynthetic role in acclimatization, but non-persistent leaves function only as a nutritional reserve.
Plantlets acclimatized under the high shading treatment achieved stable Fv/Fm values at 17 days after transfer, suggesting that leaves were adjusting from the in vitro to the ex vitro condition. After 30 days, the surviving plantlets of all treatments presented an Fv/Fm mean of 0.775 ± 0.004, similar to the 90-days-old ex vitro plants. These results are in accordance with those reported by Kumar et al. (2002) for G. angustifolia and other bamboo species with values within the range of 0.75 to 0.85 for non- stressed plants (Bolhar-Nordenkampf et al. 1989).
After 30 days of acclimatization, the survival rates were 38 %, 84 % and 92 %, respectively for the no shading, low shading and high shading treatments. This result highlights that the direct transfer into full sunlight would likely be highly damaging to these plantlets, impairing their survival and the sprout of new leaves. On the other hand, shading improved the plantlets survival and quality. A higher survival rate obtained on the high shading treatment resulted as a consequence of the persistent-leaves plasticity under moderate light. Similar results were also reported by Marulanda et al. (2005), Jiménez et al. (2006) and Gutierrez et al. (2016), in G. angustifolia. To validate this procedure, ~250 clumps (3-5 culms) were acclimatized under high shading conditions, resulting in 95 % of survival over 30 days (Figures 5A, 5B and 5C). These plantlets were further macroproliferated, leading to a 2-3 increase in the number of plantlets, thus improving the protocol efficiency.
CONCLUSIONS
A feasible micropropagation protocol was established for Guadua chacoensis. In vitro cultures were established from explants obtained from donor plants cultivated indoors, and contamination rates were reduced by supplementing the culture medium with PPMTM (2 mL L-1). New clumps were regenerated from nodal segments of in vitro plants. Culture medium supplemented with BAP significantly increased the in vitro multiplication rate of G. chacoensis clumps, but negatively affected the culms height and both the root length and quantity. Moving plantlets onto medium without BAP reversed these detrimental effects. The ex vitro survival rate of the plants increased when they were maintained under low or high shading, if compared to those without shading, reaching up to 95 % of successful acclimatization.
Acknowledgments
We thank the Associação Catarinense do Bambu (BambuSC) for the donated plants and collaboration during this study, which was supported by the Coordenação de Aperfeiçoamento de Pessoal de Nível Superior (Capes) and Conselho Nacional de Desenvolvimento Científico e Tecnológico (CNPq 457726/2013-0 and 306126/2013-3).
REFERENCES
BANERJEE, M.; GANTAIT, S.; PRAMANIK, B. R. A two step method for accelerated mass propagation of Dendrocalamus asper and their field evaluation. Physiology and Molecular Biology of Plants, v. 17, n. 4, p. 387-393, 2011.
BENTON, A. Priority species of bamboo. In: LIESE, W.; KÖHL, M. (ed.). Bamboo: the plant and its use. Cham: Springer, 2015. p. 31-41.
BOLHAR-NORDENKAMPF, H. R. et al. Chlorophyll fluorescence as a probe of the photosynthetic competence of leaves in the field: a review of current instrumentation. Functional Ecology, v. 3, n. 4, p. 497-514, 1989.
FILGUEIRAS, T. S.; GONÇALVES, A. S. Bambus nativos no Brasil: oportunidades e desafios para seu conhecimento. In: ALMEIDA, J. G.; TEIXEIRA, A. A. I seminário nacional do bambu: estruturação da rede de pesquisa e desenvolvimento. 2. ed. Brasília, DF: CPAB, 2011. p. 33-42.
GIELIS, J. et al. Tissue culture strategies for genetic improvement of bamboo. Acta Horticulture, v. 552, n. 22, p. 195-203, 2001.
GUERREIRO, C. Flowering cycles of woody bamboos native to southern South America. Journal of Plant Research, v. 127, n. 2, p. 307-313, 2014.
GUTIERREZ, L. G.; LÓPEZ-FRANCO, R.; MORALES-PINZÓN, T. Micropropagation of Guadua angustifolia Kunth (Poaceae) using a temporary immersion system RITA.. African Journal of Biotechnology, v. 15, n. 28, p. 1503-1510, 2016.
HAZARIKA, B. N. Morpho-physiological disorders in in vitro culture of plants. Scientia Horticulturae, v. 108, n. 2, p. 105-120, 2006.
JIMÉNEZ, V. M. et al. In vitro propagation of the neo- tropical giant bamboo, Guadua angustifolia Kunth, through axillary shoot proliferation. Plant Cell, Tissue and Organ Culture, v. 86, n. 3, p. 389-395, 2006.
JUDZIEWICZ, E. J. et al. American bamboos. Washington, DC: Smithsonian Institution Press, 1999.
KUMAR, R.; PAL, M.; TEOTIA, U. V. S. Diurnal changes in chlorophyll fluorescence in four species of bamboo. Journal of Bamboo and Rattan, v. 1, n. 4, p. 341-349, 2002.
LIESE, W.; WELLING, J.; TAN, T. K. H. Utilization of bamboo. In: LIESE, W.; KÖHL, M. (ed.). Bamboo: the plant and its uses. Cham: Springer, 2015. p. 299-346.
LONDOÑO, X. Genetic diversity of the bamboos of America and specifically of the genus Guadua. Acta Horticulturae, v. 1003, n. 4, p. 43-50, 2013.
LONDOÑO, X.; PETERSON, P. Guadua chacoensis (Poaceae: Bambusoideae): its taxonomic identity, morphology and relationships. Novon, v. 2, n. 1, p. 41-47, 1992.
MARULANDA, M.; GUTIÉRREZ, L. G.; MÁRQUEZ, M. P. Micropropagación de Guadua angustifolia Kunth. Actualidades Biológicas, v. 27, n. 82, p. 5-15, 2005.
MATYSIAK, B. Effect of light intensity on growth and chlorophyll fluorescence of rhododendron microcuttings during acclimatization. Folia Horticulturae, v. 16, n. 1, p. 107-114, 2004.
MAXWELL, K.; JOHNSON, G. N. Chlorophyll fluorescence: a practical guide. Journal of Experimental Botany, v. 51, n. 345, p. 659-668, 2000.
MOREL, G.; WETMORE, R. H. Tissue culture of monocotyledons. American Journal of Botany, v. 38, n. 2, p. 138-140, 1951.
MURASHIGE, T.; SKOOG, F. A revised medium for rapid growth and bioassays with tobacco tissue cultures. Physiologia Plantarum, v. 15, n. 3, p. 473-497, 1962.
NARESH, K. S.; BAI, K. K. Photo-oxidative stress in coconut plantlets: early events to leaf scorching and seedling death. Brazilian Journal of Plant Physiology, v. 21, n. 3, p. 223-232, 2009.
R CORE TEAM. R: a language and environment for statistical computing. Vienna: R Foundation for Statistical Computing, 2019.
RAO, A. N.; RAO, V. R.; WILLIAMS, J. T. Priority species of bamboo and rattan. Serdang: IPGRI-APO, 1998.
SANDHU, M.; WANI, S. H.; JIMÉNEZ, V. M. In vitro propagation of bamboo species through axillary shoot proliferation: a review. Plant Cell, Tissue and Organ Culture, v. 132, n. 1, p. 27-53, 2018.
SHIRASUNA, R. T. Lista de espécies da flora do Brasil: Guadua Kunth. 2015. Avaliable at: http://floradobrasil.jbrj.gov.br/jabot/floradobrasil/FB13247 Access on: Oct. 2018.
SINGH, S. R. et al. Limitations, progress and prospects of application of biotechnological tools in improvement of bamboo: a plant with extraordinary qualities. Physiology and Molecular Biology of Plants, v. 19, n. 1, p. 21-41, 2013.
YANG, S. H.; YEH, D. M. In vitro leaf anatomy, ex vitro photosynthetic behaviors and growth of Calathea orbifolia (Linden) Kennedy plants obtained from semi-solid medium and temporary immersion systems. Plant Cell, Tissue and Organ Culture, v. 93, n. 2, p. 201-207, 2008.
Notas de autor