Research Article
Received: 09 February 2021
Accepted: 26 May July 2021
DOI: https://doi.org/10.1590/1983-40632021v5167663
ABSTRACT: Salt stress is a major production constraint in wheat. The maintenance of a low Na+ accumulation in the leaves may improve the tissue tolerance against salt stress. A field experiment was conducted to discriminate twenty wheat genotypes, based on leaf Na+ accumulation as a criterion for salt tolerance, and evaluate the effect of sodium accumulation on the biomass production, physiological and yield traits of wheat genotypes grown in a saline-sodic environment. The Na+ concentration was determined in young fully expanded leaves at the vegetative growth stage. The genotypes were categorized into two contrasting groups (with low and high Na+ content), in a randomized complete block design, with three replications. The low Na+ genotypes (V-03094, V-02156, TURACO, V0005 and PVN) showed much longer chlorophyll retention, leaf K+ content, proline and phenolic contents than the high Na+ genotypes. The salt effects on yield components were also less in the wheat genotypes with low leaf Na+ content than the high Na+ genotypes. The greater grain yield of low Na+ accumulating genotypes was due to the enhanced grain number and weight in their tillers, which were strongly associated with the higher Na+ efflux from the leaves. The low sodium accumulator genotypes improved the seedling emergence (%) and grain yield in saline-sodic soil.
KEYWORDS: Triticum aestivum L., salt stress, salt tolerance.
RESUMO: O estresse salino é uma das principais restrições à produção de trigo. A manutenção de um baixo acúmulo de Na+ nas folhas pode melhorar a tolerância do tecido ao estresse salino. Um experimento de campo foi conduzido para discriminar vinte genótipos de trigo, com base no acúmulo de Na+ nas folhas como critério para tolerância ao sal, e avaliar o efeito do acúmulo de sódio na produção de biomassa, características fisiológicas e de produção de genótipos cultivados em ambiente salino-sódico. A concentração de Na+ foi determinada em folhas jovens totalmente expandidas, no estágio de crescimento vegetativo. Os genótipos foram categorizados em dois grupos contrastantes (com baixo e alto teor de Na+), em delineamento de blocos completos casualizados, com três repetições. Os genótipos com baixo teor de Na+ (V-03094, V-02156, TURACO, V0005 e PVN) mostraram retenção de clorofila, teor de K+ foliar, prolina e conteúdo fenólico por períodos muito mais longos do que os com alto teor. Os efeitos da salinidade sobre os componentes de rendimento também foram menores nos genótipos com baixo teor de Na+ nas folhas do que os com alto teor. O maior rendimento de grãos de genótipos com baixo acúmulo de Na+ deveu-se ao aumento no número e peso dos grãos em seus perfilhos, que mostraram-se fortemente associados ao maior efluxo de Na+ das folhas. Os genótipos com baixo acúmulo de sódio melhoraram a emergência de plântulas (%) e o rendimento de grãos, em solo salino-sódico.
PALAVRAS-CHAVE: Triticum aestivum L., estresse salino, tolerância ao sal.
INTRODUCTION
Wheat (Triticum aestivum L.) is one of the most used staple foods and provides about 20 % of total daily calories and protein globally (Shiferaw et al. 2013, Wasaya et al. 2021). Therefore, there is a need to double its production, especially in South Asian countries like Pakistan, where the per capita consumption (124 kg) is the highest globally (Raza & Khan 2018).
Various biotic and abiotic factors threaten the wheat yield, and soil salinity is one of the key abiotic stresses, affecting over 800 million hectares (Rengasamy 2010). Soil salinity stress is gradually contributing to land degradation all over the world: about 7 % of the earth’s land surface is salt-affected, whereas sodium-affected soils are more widespread (Panta et al. 2014). It has affected 10 % of the wheat-cultivated area in Pakistan, India, Iran, Mexico and Egypt (Mujeeb-Kazi & De-Leon 2002). The estimation of potential yield loss by salinity is 20 % (Rauf et al. 2010). To ensure food security, an increasing salinity tolerance in crops is one of the most viable approaches in salt-affected areas (Kotula et al. 2020).
Salt tolerance was achieved in many glycophytes through more than one approach, operating either concurrently or in isolation, depending upon the stress duration and intensity (Munns 2002). The approaches include improved low Na+ accumulation from uptake, sequestration of intracellular Na+, cytosolic K+ retention, control of ion loading in xylem, oxidative tolerance and osmotic adjustment (Adem et al. 2014). Na+ accumulation or discrimination of K+ and Na+ in the shoot is the most viable approach to screen the salt tolerance germplasm in wheat (Shabala et al. 2016, Saddiq et al. 2018).
Improving the salinity tolerance in wheat by maintaining K+ homeostasis in the cell is also an important trait. It has been well documented that plants having tolerance to salt stress generically maintained high K+/Na+ in their tissues (Saddiq et al. 2018, Saddiq et al. 2019). The high K+/Na+ ratio was the salt tolerance indicator, while the low discrimination ratio was the salt sensitivity indicator (Salim & Raza 2020, Hafeez et al. 2021). Chlorophyll a and b (photosynthetic pigments), gas exchange and antioxidant parameters are crucial in screening germplasm for salt tolerance (El-Hendawy et al. 2017, Genc et al. 2019). Morphological traits (e.g., fertile tiller, number of tillers with other indices) have also been used to estimate salt tolerance. Grain yield was also a primary criterion used to improve salt tolerance in many crops, including wheat (El-Hendawy et al. 2017, Mujeeb-Kazi et al. 2019, Mansour et al. 2020). However, these traits were not enough and feasible for the screening and selecting of salt-tolerant genotypes (Tahjib-Ul-Arif et al. 2018). Therefore, this study aimed to evaluate wheat germplasm, based on leaf Na+ accumulation as a criterion for salt tolerance, and the effects of leaf Na+ accumulation on grain yield in saline-sodic soil.
MATERIAL AND METHODS
A field trial was conducted at the Soil Salinity Research Institute (SSRI) experimental site, in Pindi Bhattian (31.8950ºN, 73.2706ºE and 190 m above the sea level), in central Punjab, Pakistan, in 2015/2016. The climate in the area is semi-arid, with more than 1,600 mm of evaporation, average annual rainfall of 325 mm (Ashraf et al. 2012) and temperature of 32 ºC (Ahmad et al. 2019).
The genotypes were selected from a previous study on hydroponic crop (Saddiq et al. 2018). In this study, 20 bread wheat genotypes (including four high and fourteen low Na+ genotypes, and two salt-tolerant checks, i.e., Kharchia 65 and LU26S) contrasting with their sodium accumulation were used to measure the effect of leaf Na+ accumulate on grain yield in saline-sodic soil. The origin and source of the genotypes are presented in Table 1. Each treatment was replicated three times and the data statistically analyzed by Anova under a randomized complete block design. Each experimental unit’s size was 13 m2, with 22.5 cm row to row distance.

Soil [0-30 cm depth; ECe = 13.9 dS m-1; SAR = 42 (mM)1/2; pH = 8.8] and tub-well water [ECe = 1.52 dS m-1; SAR = 7.62 (mM)1/2] samples were collected and analyzed before sowing (USDA 1954). The salt-affected soil was saline-sodic in nature. The soil was prepared by two ploughings, followed by planking, to maintain moisture. The seeds were sown with a drill at 22 cm row to row distance, at a seed rate of 125 kg ha-1, in November 2015. At the time of sowing, the recommended doses of nitrogen (N), phosphorus (P) and potassium (K) (100:90:75 kg ha-1 for N:P:K, respectively) were applied in the field. The source of NPK fertilizer was urea, DAP and potash sulfate, respectively. The whole dose of K and P and half the N basal dose were applied during the soil preparation, while the remaining half N dose was applied on the first irrigation.
The crop was irrigated with tub-well water and the water requirement was fulfilled by the flood irrigation method. Four irrigations (1 Rauni + 3 irrigations) were applied according to the crop requirement. Rauni irrigation was applied prior to the crop sowing, as a pre-sowing irrigation for seedbed preparation and crop seedling at optimum planting time. The first irrigation was made to the wheat crop at 23 days after sowing. During the tillering stage, a second irrigation was carried out. The third irrigation was made at the heading stage. During the 2015/2016 crop season, the relative humidity (RH) remained normal, whereas the evapotranspiration (ETo) remained normal to below the normal during the growing period.
To measure the leaf Na+ and K+ concentrations, after 30 days of sowing at the vegetative stage, a newly emerged fully expanded leaf was removed and the fresh and oven-dried weights determined. Leaf Na+ and K+ were measured by the Shavrukov et al. (2009) method, using a flame photometer (Sherwood, UK Model 360).
Five young, fully expanded leaves were collected from each plot at 60 days after sowing. The sample collection was done early in the morning (7:00 a.m.). The leaf samples were put in plastic zipper bags and immediately transferred to a biomedical freezer (-80 ºC, MDF-U333; Japan), for further biochemical analysis. The leaf chlorophyll contents were determined according to Nagata & Yamashita (1992) and the total leaf phenolic contents according to Waterhouse (2002). Finally, using a spectrophotometer (UV 4000; ORI, Germany), the leaf proline content was determined in the fresh sample (Bates et al. 1973).
The number of emerged seedlings was counted daily. The seedling was considered emerged when coleoptiles were visible above the ground surface. Twelve days after sowing, the emergence was evaluated from a 2 m2 area with the following formula: .
The data were documented from randomly selected plants for plant height and spike length, on a centimeter scale, while the number of spikelets spike-1 and grains spike-1 were counted manually. Plants from 1 m2 were harvested manually just above the ground. After sun drying in an open field, the grain and biological yields were calculated.
Each treatment was replicated three times, and the data statistically analyzed by Anova, under a randomized complete block design. Significance levels of treatments were calculated using the SAS software (version 9.1). Graphs are presented with standard error bars, and the Statistic 8.1 package was also used to determine the correlation between grain yield and crop density parentage provided with a p-value. Data regarding yield are presented in Tables 2 and 3, with critical values to compare treatment means using the LSD test at 5 % of probability. Furthermore, the GGE-biplot software (Yan 2001) was used to describe better the performer genotype and the correlation among yield-related attributes, i.e., plant height, spike length, number of spikelets per spike, number of grains per spike, 1,000-grain weight, grain yield and biological yield on salt-affected soil. GGE generated the polygon view to describe the performance of genotypes based on an interaction between the entries (genotypes) and testers (traits). The vector view of the biplot shows the interrelationship among all traits. Traits are positively correlated if the angle between their vectors is < 90 º (acute angel), while they are negatively correlated if their vectors are > 90 º (obtuse angle).


RESULTS AND DISCUSSION
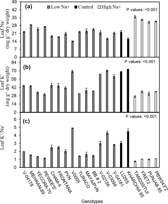
A significant genetic variation (p ≤ 0.05) was observed among the genotypes for Na+ concentrations when sampled from a salt-affected field. The genotype TAM200/TUI, followed by PUNJAB 85, FRET2 and PBW343*2, accumulated a high leaf Na+, as compared to the checks Kharchia 65 and LU26S (Figure 1a). An increased concentration of K+ (72 mg g-1) was noted in the Kharchia 65 leaves, followed by V-03094 (70.32 mg g-1), V0005 (68.82 mg g-1), LU26S (68.31 mg g-1) and V-02156 (64.57 mg g-1) (Figure1b). Meanwhile, the highest leaf K+/Na+ ratio was recorded for the V0005 genotype, followed by Kharchia 65 and V-03094 (Figure 1c).

Significant differences (p ≤ 0.05) were noted for leaf chlorophyll contents in the salt-stressed genotypes (Figures 2a-c). The highest chlorophyll a was observed in the V-02156 genotype (0.1073 mg g-1), followed by LU26S, V-04181, MAYA/PVN and V-03094; while PBW343*2, MEHRAN-89 and FRET2 had a lower chlorophyll a content, as compared to the checks Kharchia 65 and LU26S (Figure 2a). Differences were observed among the genotypes for chlorophyll b content (Figure 2b). V-04178 (0.2295 mg g-1) and PEWEE’S’ (0.2537 mg g-1) showed the highest values, while PBW343*2, PUNJAB 85 and FRET2 had less chlorophyll b content, as compared to the checks LU26S and Kharchia 65 (Figure 2b). Meanwhile, V-03094 (0.3139 mg g-1), V0005 (.0302 mg g-1) and V-02156 (0.302 mg g-1) had the highest values for leaf total chlorophyll content (Figure 2c).

Significant variations were recorded for leaf proline accumulation and total phenols among the genotypes (Figure 3). The highest proline accumulation was noticed for Kharchia 65 under the saline regime, followed by V-03094, FRONTANA, BB # 2 and V0005 (Figure 3b). At the same time, maximum leaf total phenols were observed in V-03094, followed by Kharchia 65, V-04181, V0005 and V-02156 (Figure 3a). Intriguingly, the highest carotenoids were detected in Kharchia 65 and PEWEE’S’, followed by MEHRAN-89, V-02156 and PVN (Figure 3c). Considerably decreased levels of non-enzymatic antioxidants (total leaf phenols, leaf proline and carotenoid) were recorded in the leaves for TAM200/TUI, FRET2, PBW343*2 and PUNJAB 85, as compared to Kharchia 65 and LU26S (Figure 3).

Significant differences (p ≤ 0.05) were recorded among the genotypes for yield-related attributes, i.e., number of spikelets spike-1, spike length and plant height (Table 2). High Na+ genotypes had the lowest value for emergence percentage, as compared to low Na+ genotypes. Kharchia 65 (93 %) and V-04178 (93 %) exhibited a higher seedling emergence, followed by CHAM-4 (91 %) and TURACO (89 %).
Significant variations were noted in all genotypes for number of spikelets spike-1, spike length and plant height (Table 2). Kharchia 65 had the highest plant height, followed by V0005, CHAM-4 and V-03094, while the highest spike length was recorded in V-04181, followed by BB # 2, MEHRAN-89 and V-03094. The highest spikelets spike-1 were observed in YECORA-70, V-02156 and V-04181. Overall, among the genotypes, TAM200/TUI, FRET2, PBW343*2 and PUNJAB 85 had the poorest performance, as compared to the checks Kharchia 65and LU26S, for yield contributing factors (Table 2).
A substantial genetic variation was observed among the genotypes for number of grains per spike, 1,000-grain weight, economic and biological yields (Table 2). The highest number of grains per spike was recorded in V0005, followed by V-02156, Kharchia 65 and V-03094; while TAM200/TUI, FRET2, PBW343*2 and PUNJAB 85 had the lowest values for this attribute (Table 2). The 1,000-grain weight stood out in MAYA/PVN and BB # 2, followed by MEHRAN-89 and V0005. Overall, Kharchia 65 produced the maximum grain and biological yields, followed by V0005, V-02156 and V-03094. On the other hand, TAM200/TUI, FRET2, PBW343*2, MEHRAN-89 and PUNJAB 85 produced less biomass and grain yield than the checks LU26S and Kharchia 65 (Table 2).
The GGE-biplot (Figure 4a) generated a polygon view to describe the performance of genotypes based on an interaction between the entries (genotypes) and testers (traits) under salt-affected soil. The principal components (PC1 and PC2) explained 82.6 % of the total variation observed among the genotypes based on the yield-related testers’ performance. The biplot analysis of the yield components showed that the genotypes placed on corners [Kharchia 65 (16), CHAM-4 (5), FRONTANA (6), BB # 2 (11), MEHRAN-89 (2), PUNJAB 85 (19) and TAM200/TUI (17)] were the most responsive ones. The most responded sectors were the sectors one and six, in which the tester (traits) fell (Figure 4a). The first sector represented yield-related traits, such as plant height, grain yield, number of grains per spike and biological yield. It showed Kharchia 65 (16) as the best and most favourable for the aforementioned traits, followed by V-03094 (13), V-02156 (12), V-04181 (14), PEWEE’S’ (8), LU26S (15), CHAM-4 (5) and FRONTANA (6). The sixth sector expressed the spike length, number of spikelets per spike and 1,000-grain weight, with BB # 2 (11) as the most favourable, followed by BB # 2(11), MAYA/PVN (10), YECORA-70 (3), MEHRAN-89(2) and V-04178 (1). The remaining vertex genotypes [TAM200/TUI (17), PUNJAB 85 (19), FRET2 (18) and PBW343*2 (20)] showed the poorest performance for the yield-related traits (Figure 4a), as they were located far away from the marked traits on the biplot. The vector view of the GGE-biplot shows the interrelationship among all yield-related traits measured in the salt-affected soil (Figure 4b). Across 20 tested genotypes, a positive correlation was found in all yield-related traits (Figure 4b). The 1,000-grain weight had a positive but imperfect correlation with the number of grains and grains per spike (Figure 4b).

The correlations for grain yield, emergence percentage and different physiological indices of all the 20 wheat genotypes were measured under saline-sodic soil (Table 3). The grain yield and emergence percentage showed a highly negative correlation with leaf Na+ accumulation and were positively correlated with other physiological traits, i.e., leaf phenols, proline, carotenoid, chlorophyll contents (a and b), leaf K+ contents and K+/Na+ ratio. Among the traits assessed, leaf Na+ was found to have the highest negative correlation with grain yield, K+/Na+ ratio, leaf phenols and proline (Table 3).
The wheat germplasm, in contrast to its leaf sodium accumulation, was evaluated in a saline-sodic field environment to measure the leaf sodium accumulation’s effect on the emergence percentage, yield components, physiological and biochemical traits of the wheat genotypes. The emergence percentage of high Na+ wheat genotypes was markedly reduced by salt stress, if compared to the check varieties LU26S and Kharchia 65 (Table 2). This decline may be due to the combined effect of osmotic stress and ion toxicity due to salinity stress (Munns & Tester 2008). Salinity tolerance differs across various growth stages. The early stages (germination and emergence) have been more sensitive to salinity than the later ones. Germination and emergence percentage under stress are considered important indicators of salt-tolerant genotypes (Hussain et al. 2018).
There was a lesser grain reduction in genotypes that accumulated low Na+ contents than high Na+ genotypes. A significant positive correlation was found between grain yield and yield contributing factors, i.e., plant height, dry biomass, number of grains per spike, spikelets per spike and spike length (Figure 4b). In contrast, a highly significant correlation was also recorded among the physiological traits and between seedling emergence percentage and grain yield (Table 3). Low Na+ genotypes [V-03094 (13), V-02156 (12), V-04181 (14), PEWEE’S’ (8), CHAM-4 (5), FRONTANA (6), BB#2 (11) and MAYA/PVN (10)] performed better by improved yield components in saline-sodic conditions, as also reported by Allel et al. (2018). These genotypes could be effectively used as new sources of salt tolerance in wheat (Table 2; Figure 4a).
A significant genetic variation (86.2 %) for yield components was detected in the wheat genotypes using biplots (Figure 4a). The genotypes V0005(8), BB#2(11), V-02156(12), V-03094(13) and V-04181(14) were identified as promising yield performers genotypes, including Kharchia 65 (16; Figures 4a and 4b). These genotypes were salt excluders, and most of the salt excluder genotypes have been recognized as salt-tolerant in the literature (Cuin et al. 2010), as also confirmed from findings of this study, due to the higher yield and biomass production, as compared to high Na+ genotypes (Tables 2 and 3; Figure 4a). This low Na+ accumulation posits the Na+ exclusion from leaves (Saddiq et al. 2018), low Na+ uptake at root boundary, and controlled unloading in the stele from the xylem parenchyma (Munns et al. 2006). Locus Nax1 and Nax2 have also been recognized in wheat genotypes that control Na+ accumulation (Lindsay et al. 2004) and positively associated molecular markers which are widely used in breeding programs to develop the salt tolerance character in wheat (Saddiq et al. 2018, Mujeeb-Kazi et al. 2019, Saddiq et al. 2019).
Saddiq et al. (2021) found that low Na+ genotypes also had a higher grain yield, which was strongly linked with high leaf K+ contents and K+/Na+ ratios, as evident from the current investigation (Tables 2 and 3; Figures 1a and 1b). It was also stated that salt tolerance is linked with K+ content, as clear from these findings (Table 3; Allel et al. 2018, Saddiq et al. 2018), because of its role in osmotic adjustment and competition with Na+ (Munns & Tester 2008). It has been noticed that the K+/Na+ ratio was an important character of glycophytes to tolerate salt stress (Saddiq et al. 2018, Saddiq et al. 2020). It is noteworthy that the leaf K+/Na+ ratio decreased in all wheat genotypes, as compared to the check Kharchia 65, but drastic reductions were recorded in Na+ includer genotypes (Figure 1c). A high accumulation of detrimental ion (Na+) in high Na+ genotypes also leads to an abrupt decrease in the K+ concentration and K+/Na+ ratio, indicating physiological damages due to ion toxicity (Acosta-Motos et al. 2017, Zahra et al. 2018). The salt tolerance of many crop plants depends on the contents of carbohydrates, proteins, amino acids, K+/Na+ and antioxidant enzymes (El-Hendawy et al. 2017, Genc et al. 2019).
Many physiological processes, such as chlorophyll contents and selective uptake of K+ over Na+, are essential traits to improve the tissue tolerance in wheat against salinity stress (El-Hendawy et al. 2017, Genc et al. 2019, Saddiq et al. 2019). Statistically significant differences were found among the genotypes for chlorophyll a and b (Figures 2a and 2b) and non-enzymatic antioxidant (leaf proline, phenol and carotenoid; Figures 2a and 2b) grown in saline-sodic soil. The chlorophyll content reduction depends on the salt tolerance potential of plants (Acosta-Motos et al. 2017). Low sodium genotypes comparatively showed less the drop in chlorophyll, as confirmed in this study (Figures 2a-c). Furthermore, Husain et al. (2003) reported that low Na+ genotypes have a greater supply of assimilates to the growing region, such as growing ear and gain. This indicates that low Na+ genotypes could stamp out sodium from leaves and delay the time at which the sodium toxicity level was reached. In response to reducing the photosynthesis rate and the formation of reactive oxygen species (ROS), the plant increases the biochemical and enzyme activity that protects the photosynthesis machinery and detoxifies the ROS (Apel & Hirt 2004).
Contrary to the leaf chlorophyll contents (Figures 2a and 2b), the leaf proline, phenol and carotenoid contents (Figures 3a-c) increased in low Na+ genotypes, as compared to high Na+ genotypes. These osmolytes may play an indirect role in osmotic adjustment by regulating the K+ transport across the plasma membrane (Cuin & Shabala 2007). Thus, the key role of proline and phenols as osmoprotectants by qualifying Na+ toxicity warrants further detailed studies. Osmoprotectants (e.g. proline) have an essential role in improving the wheat tolerance to oxidative stress induced by salt stress (Chun et al. 2018). Proline not only acts as an osmolyte, it also plays essential roles as a metal chelator and antioxidant defense molecule during stress (Singh et al. 2017).
CONCLUSION
The effects of salinity on yield components were less in wheat genotypes with low leaf Na+ content than in high Na+ genotypes. However, in saline-sodic field conditions, the higher yield of low Na+ accumulating genotypes (V-03094, V-02156, V0005, V-04181 and V-04178) was strongly associated with higher K+ influx in leaves and improved the physiological traits (i.e., leaf phenol and proline synthesis).
ACKNOWLEDGMENTS
The authors are thankful to the International Foundation for Science (IFS), for financial support to accomplish this research.
REFERENCES
ACOSTA-MOTOS, J. R.; ORTUÑO, M. F.; BERNAL-VICENTE, A.; DIAZ-VIVANCOS, P.; SANCHEZ-BLANCO, M. J.; HERNANDEZ, J. A. Plant responses to salt stress: adaptive mechanisms. Agronomy, v. 7, n. 18, p. 1-38, 2017.
ADEM, G. D.; ROY, S. J.; ZHOU, M.; BOWMAN, J. P.; SHABALA, S. Evaluating contribution of ionic, osmotic and oxidative stress components towards salinity tolerance in barley. BMC Plant Biology, v. 14, n. 1, p. 1-13, 2014.
AHMAD, A.; KHAN, M. R.; SHAH, S. H. H.; KAMRAN, M. A.; WAJID, S. A.; AMIN, M.; KHAN, A.; ARSHAD, M. N.; CHEEMA, M. J. M.; SAQIB, Z. A.; ULLAH, R.; ZIAF, K.; UL HUQ, A.; AHMAD, S.; AHMAD, I.; FAHAD, M.; WAQAS, M. M.; ABBAS, A.; IQBAL, A.; PERVAIZ, A.; KHAN, I. A. Agro-ecological zones of Punjab, Pakistan. FAO: Rome, 2019.
ALLEL, D.; BEN-AMAR, A.; ABDELLY, C. Leaf photosynthesis, chlorophyll fluorescence and ion content of barley (Hordeum vulgare) in response to salinity. Journal of Plant Nutrition, v. 41, n. 4, p. 497-508, 2018.
APEL, K.; HIRT, H. Reactive oxygen species: metabolism, oxidative stress, and signal transduction. Annual Review of Plant Biology, v. 55, n. 1, p. 373-399, 2004.
ASHRAF, M. Y.; ABDUL, R. A.; KHALID, M. Rehabilitation of saline ecosystem through cultivation of salt tolerant plants. Pakistan Journal of Botany, v. 44, n. 1, p. 69-75, 2012.
BATES, L. S.; WALDREN, R. P.; TEARE, I. Rapid determination of free proline for water-stress studies. Plant and Soil, v. 39, n. 1, p. 205-207, 1973.
CHUN, S. C.; PARAMASIVAN, M.; CHANDRASEKARAN, M. Proline accumulation influenced by osmotic stress in arbuscular mycorrhizal symbiotic plants. Frontiers in Microbiology, v. 9, e2525, 2018.
CUIN, T. A.; PARSONS, D.; SHABALA, S. Wheat cultivars can be screened for NaCl salinity tolerance by measuring leaf chlorophyll content and shoot sap potassium. Functional Plant Biology, v. 37, n. 7, p. 656-664, 2010.
CUIN, T. A.; SHABALA, S. Compatible solutes reduce ROS‐induced potassium efflux in Arabidopsis roots. Plant, Cell & Environment, v. 30, n. 7, p. 875-885, 2007.
EL-HENDAWY, S. E.; HASSAN, W. M.; AL-SUHAIBANI, N. A.; REFAY; Y.; ABDELLA, K. A. Comparative performance of multivariable agro-physiological parameters for detecting salt tolerance of wheat cultivars under simulated saline field growing conditions. Frontiers in Plant Science, v. 8, e435, 2017.
GENC, Y.; TAYLOR, J.; LYONS, G. H.; LI, Y.; CHEONG, J.; APPELBEE, M.; OLDACH, K.; SUTTON, T. Bread wheat with high salinity and sodicity tolerance. Frontiers in Plant Science , v. 10, e1280, 2019.
HAFEEZ, M. B.; RAZA, A.; ZAHRA, N.; SHAUKAT, K.; AKRAM, M. Z.; IQBAL, S.; BASRA, S. M. A. Gene regulation in halophytes in conferring salt tolerance. In: HASANUZZAMAN, M.; PRASAD, M. N. V. Handbook of bioremediation. Cambridge: Academic Press, 2021. p. 341-370.
HUSAIN, S.; MUNNS, R.; CONDON, A. T. Effect of sodium exclusion trait on chlorophyll retention and growth of durum wheat in saline soil. Australian Journal of Agricultural Research, v. 54, n. 6, p. 589-597, 2003.
HUSSAIN, S.; XIAOCHUANG, C.; CHU, Z.; LIANFENG, Z.; MAQSOOD, A. K.; SAJID, F.; JUNHUA, Z.; QIANYU, J. Sodium chloride stress during early growth stages altered physiological and growth characteristics of rice. Chilean Journal of Agricultural Research, v. 78, n. 2, p. 183-197, 2018.
KOTULA, L.; GARCIA-CAPARROS, P.; ZÖRB, C.; COLMER, T. D.; FLOWERS, T. J. Improving crop salt tolerance using transgenic approaches: an update and physiological analysis. Plant, Cell & Environment , v. 43, n. 12, p. 2932-2956, 2020.
LINDSAY, M. P.; LAGUDAH, E. S.; HARE, R. A.; MUNNS, R. A locus for sodium exclusion (Nax1), a trait for salt tolerance, mapped in durum wheat. Functional Plant Biology , v. 31, n. 11, p. 1105-1114, 2004.
MANSOUR, E.; MOUSTAFA, E. S.; DESOKY, E-S. M.; ALI, M.; YASIN, M. A.; ATTIA, A.; ALSUHAIBANI, N.; TAHIR, M. U.; EL-HENDAWY, S. Multidimensional evaluation for detecting salt tolerance of bread wheat genotypes under actual saline field growing conditions. Plants, v. 9, n. 10, e1324, 2020.
MUJEEB-KAZI, A.; DE-LEON, J. L. D. Conventional and alien genetic diversity for salt tolerant wheats: focus on current status and new germplasm development. In: AHMAD, R.; MALIK, K. A. Prospects for saline agriculture. Dordrecht: Springer, 2002. p. 69-82.
MUJEEB-KAZI, A.; MUNNS, R.; RASHEED, A.; OGBONNAYA, F. C.; ALI, N.; HOLLINGTON, P.; DUNDAS, I.; SAEED, N.; WANG, R.; RENGASAMY, P.; SADDIQ, M. S. Breeding strategies for structuring salinity tolerance in wheat. In: SPARKS, D. L. Advances inAgronomy . Cambridge: Academic Press , 2019. p. 121-187.
MUNNS, R. Comparative physiology of salt and water stress. Plant, Cell & Environment , v. 25, n. 2, p. 239-250, 2002.
MUNNS, R.; JAMES, R. A.; LÄUCHLI. A. Approaches to increasing the salt tolerance of wheat and other cereals. Journal of Experimental Botany, v. 57, n. 5, p. 1025-1043, 2006.
MUNNS, R.; TESTER, M. Mechanisms of salinity tolerance. Annual Review of Plant Biology , v. 59, n. 1, p. 651-681, 2008.
NAGATA, M.; YAMASHITA, I. Simple method for simultaneous determination of chlorophyll and carotenoids in tomato fruit. Nippon Shokuhin Kogyo Gakkaishi, v. 39, n. 10, p. 925-928, 1992.
PANTA, S.; FLOWERS, T.; LANE, P.; DOYLE, R.; HAROS, G.; SHABALA, S. Halophyte agriculture: success stories. Environmental and Experimental Botany, v. 107, n. 1, p. 71-83, 2014.
RAUF, S.; ADIL, M. S.; NAVEED, A.; MUNIR, H. Response of wheat species to the contrasting saline regimes. Pakistan Journal of Botany , v. 42, n. 5, p. 3039-3045, 2010.
RAZA, A.; KHAN, D. Pakistan: food security and reducing the price of wheat. 2018. Available at: http://www.ipsnews.net/2018/12/pakistan-food-security-reducing-price-wheat/. Access in: July 2021.
RENGASAMY, P. Soil processes affecting crop production in salt-affected soils. Functional Plant Biology , v. 37, n. 7, p. 613-620, 2010.
SADDIQ, M. S.; AFZAL, I.; BASRA, S. M. A.; ALI, Z.; IBRAHIM, A. M. Sodium exclusion is a reliable trait for the improvement of salinity tolerance in bread wheat. Archives of Agronomy and Soil Science, v. 64, n. 2, p. 272-284, 2018.
SADDIQ, M. S.; AFZAL, I.; BASRA, S. M.; IQBAL, S.; ASHRAF, M. Sodium exclusion affects seed yield and physiological traits of wheat genotypes grown under salt stress. Journal of Soil Science and Plant Nutrition, v. 20, n. 3, p. 1442-1456, 2020.
SADDIQ, M. S.; IQBAL, S.; AFZAL, I.; IBRAHIM, A. M.; BAKHTAVAR, M. A.; HAFEEZ, M. B.; JAHANZAIB; MAQBOOL, M. M. Mitigation of salinity stress in wheat (Triticum aestivum L.) seedlings through physiological seed enhancements. Journal of Plant Nutrition , v. 42, n. 10, p. 1192-1204, 2019.
SADDIQ, M. S.; IQBAL, S.; HAFEEZ, M. B.; IBRAHIM, A. M. H.; RAZA, A.; FATIMA, E. M.; BALOCH, H.; JAHANZAIB; WOODROW, P.; CIARMIELLO, L. F. Effect of salinity stress on physiological changes in winter and spring wheat. Agronomy , v. 11, n. 6, e1193, 2021.
SALIM, N.; RAZA, A.; Nutrient use efficiency (NUE) for sustainable wheat production: a review. Journal of Plant Nutrition , v. 43, n. 2, p. 297-315, 2020.
SHABALA, S.; BOSE, J.; FUGLSANG, A. T.; POTTOSIN, I. On a quest for stress tolerance genes: membrane transporters in sensing and adapting to hostile soils. Journal of Experimental Botany, v. 67, n. 4, p. 1015-1031, 2016.
SHAVRUKOV, Y.; LANGRIDGE, P.; TESTER, M. Salinity tolerance and sodium exclusion in genus Triticum. Breeding Science, v. 59, n. 5, p. 671-678, 2009.
SHIFERAW, B.; SMALE, M.; BRAUN, H-J.; DUVEILLER, E.; REYNOLDS, M.; MURICHO, G. Crops that feed the world 10: past successes and future challenges to the role played by wheat in global food security. Food Security, v. 5, n. 3, p. 291-317, 2013.
SINGH, A.; SHARMA, M. K.; SENGAR, R. S. Osmolytes: proline metabolism in plants as sensors of abiotic stress. Journal of Applied and Natural Science, v. 9, n. 4, p. 2079-2092, 2017.
TAHJIB-UL-ARIF, M.; SAYED, M. A.; ISLAM, M. M.; SIDDIQUI, M. N.; BEGUM, S.; HOSSAIN, M. A. Screening of rice landraces (Oryza sativa L.) for seedling stage salinity tolerance using morpho-physiological and molecular markers. Acta Physiologiae Plantarum, v. 40, n. 4, e70, 2018.
UNITED STATES DEPARTMENT OF AGRICULTURE (USDA). Salinity Laboratory Staff. Diagnosis and improvement of saline and alkali soils. Washington, DC: USDA, 1954.
WASAYA, A.; MANZOOR, S.; YASIR, T. A.; SARWAR, N.; MUBEEN, K.; ISMAIL, I. A.; RAZA, A.; REHMAN, A.; HOSSAIN, A.; EL SABAGH, A. Evaluation of fourteen bread wheat (Triticum aestivum L.) genotypes by observing gas exchange parameters, relative water and chlorophyll content, and yield attributes under drought stress. Sustainability, v. 13, n. 9, e4799, 2021.
WATERHOUSE, A. L. Determination of total phenolics. Current Protocols in Food Analytical Chemistry, v. 6, n. 11, p. 1-11, 2002.
YAN, W. GGEbiplot: a Windows application for graphical analysis of multi environment trial data and other types of two‐way data. Agronomy Journal, v. 93, n. 5, p. 1111-1118, 2001.
ZAHRA, N.; MAHMOOD, S.; RAZA, Z. A. Salinity stress on various physiological and biochemical attributes of two distinct maize (Zea mays L.) genotypes. Journal of Plant Nutrition , v. 41, n. 11, p. 1368-1380, 2018.