Research Article
Allelopathic effects of Mikania micrantha Kunth on barnyardgrass and lowland rice1
Efeitos alelopáticos de Mikania micrantha Kunth em capim-arroz e arroz de planície
Allelopathic effects of Mikania micrantha Kunth on barnyardgrass and lowland rice1
Pesquisa Agropecuária Tropical, vol. 52, e71356, 2022
Escola de Agronomia/UFG
Received: 25 December 2021
Accepted: 08 April 2022
Published: 06 May 2022
ABSTRACT: Secondary metabolites from weeds have potential as a natural herbicide and are safe for the main crop. This study aimed to screening secondary metabolites in Mikania micrantha extract and their effect on the agronomic, physiological and histological characteristics of barnyardgrass and lowland rice. A non-factorial randomized block design was used, with extract concentrations of Mikania micrantha (0; 20; 40; 60; 80; 100 %) and 2,4-D dimethyl amine herbicide as comparison. The M. micrantha extract presented favonoids, tannins, alkaloids and saponins. The concentration of 20-100 % inhibited the barnyardgrass growth, but was considered safe for the lowland rice, and increased the root length and volume, while the concentration of 60 % increased the number of leaves and stomatal density in the lowland rice. The concentration of 20-100 % significantly inhibited the root volume, biomass, SPAD total chlorophyll and growth reduction of barnyardgrass, and it was classifed as an inhibitor. The barnyardgrass tocixity also increased as the concentration grew from 60 to 100 %. The M. micrantha extract reduced the barnyardgrass growth by 63.5 %, being close to the percentage presented by the 2,4-D dimethyl amine (65.6 %).
KEYWORDS: Echinochloa crus-galli (L.) Beauv, Oryza sativa L., secondary metabolites.
RESUMO: Metabólitos secundários de ervas daninhas têm potencial como herbicida natural e são seguros para a cultura principal. Objetivou-se identificar os metabólitos secundários em extrato de Mikania micrantha e o seu efeito nas características agronômicas, fisiológicas e histológicas de capim-arroz e arroz de planície. Utilizou-se delineamento não-factorial de blocos casualizados, com concentrações de extrato de Mikania micrantha (0; 20; 40; 60; 80; 100 %) e o herbicida 2,4-D de dimetilamina como comparação. O extracto de M. micrantha apresentou favonoides, taninos, alcaloides e saponinas. A concentração de 20-100 % inibiu o crescimento do capim-arroz, mas foi considerada segura para o arroz de planície, e aumentou o comprimento e volume das raízes, enquanto a concentração de 60 % aumentou o número de folhas e a densidade estomatal no arroz de planície. A concentração de 20-100 % inibiu significativamente o volume das raízes, biomassa, clorofila total SPAD e a redução do crescimento do capim-arroz, sendo classificada como um inibidor. A tocixidade do capim-arroz também aumentou à medida que a concentração elevou-se de 60 para 100 %. O extrato de M. micrantha reduziu o crescimento do capim-arroz em 63,5 %, porcentagem próxima à apresentada pela 2,4-D dimetilamina (65,6 %).
PALAVRAS-CHAVE: Echinochloa crus-galli (L.) Beauv, Oryza sativa L., metabólitos secundários.
INTRODUCTION
Rice (Oryza sativa L.) is widely cultivated in Asia, Latin America and Africa, and is consumed as a staple food by over 50 % of the world’s population (Lou et al. 2012). Globally, the rice crop yield will increase by 42 % to fulfill the projected demand by 2050 (Ray et al. 2013).
Efficient crop management, such as weed control, in rice-growing areas is needed to achieve optimal yield. Previous research showed that the loss of main crop yield due to the presence of weeds reached 32 % and was significantly greater than the effects of pests (18 %) and plant diseases (15 %) (Van Evert et al. 2017). One of the common weed species that can reduce rice yield is barnyardgrass [Echinochloa crus-galli (L.) Beauv], and Ottis & Talbert (2007) reported that the loss of rice plants due to barnyardgrass can attain up to 70 %. Wilson et al. (2014) added that the presence of E. crus-galli at a distance of 40 cm from lowland rice reduced yields by 27 % and absorbed nitrogen availability by 60-80 %. Travlos et al. (2011) added that a density of 10 plants of E. crus-galli per m2 can produce 34,600 seeds. According to Moon et al. (2010), E. crus-galli significantly inhibits the number of tillers and reduces the number of grains, maturity and 1,000-grain weight of lowland rice.
One of the weed managements for E. crus-galli in lowland rice fields is spraying herbicides. Although the use of chemical herbicides such as 2,4-D dimethyl amine at a dose of 1 L ha−1 significantly controlled the total dry weight of E. crus-galli by 67.37 %, it inhibited the increase of the number of tillers and the total dry weight of lowland rice by 3.54 and 58.54 %, respectively, if compared to the control (Alridiwirsah et al. 2020a). Therefore, it is necessary to have an alternative environmentally friendly method of controlling E. crus-galli through the use of natural resources as herbicides. According to Tampubolon et al. (2018), weeds can be used as herbicides which are abundantly available from agricultural land. Junaedi et al. (2006) also stated that secondary metabolites in weeds, such as phenolics, terpenoids, tannins, alkaloids, steroids, essential oils and polyacetylene, have allelopathic activity.
Previous research has shown that allelopathic compounds of weeds can suppress the growth of the targeted weed, such as bitter vine (Mikania micrantha Kunth). It was identified that M. micrantha has phenolic compounds, favonoids, alkaloids and terpenes that influence the growth of other weeds (Ni et al. 2007). Shao et al. (2005) discovered a 50 % concentration index value of dihydromicanolide compounds from M. micrantha extract in suppressing the growth of Lolium perenne roots of 230 g mL−1.
Although it has been proved that M. micrantha extracts can inhibit the growth of E. crus-galli, studies on the effects of M. micrantha extracts on physiology, histology, agronomy of lowland rice and E. crus-galli have not been reported. Therefore, this study aimed to screening secondary metabolites in M. micrantha extract and determine their effect on the characteristics of E. crus-galli and lowland rice.
MATERIAL AND METHODS
This study was conducted at a farmland in Padang Bulan Selayang I, Medan Selayang sub-district, Medan city, Indonesia, from June to October 2021. The barnyardgrass seeds were taken at lowland rice fields in Padang Bulan, Medan (98°38.601′E and 3°33.560′N). The lowland rice seeds used were the Inpari 32 variety from the Technical Implementation Unit of the Seed Supervision and Certification Center of North Sumatra. The growing media was taken from the rice fields at a depth of 0-20 cm, put into a bucket and fooded for one week.
The planting medium for cultivating the lowland rice and barnyardgrass seeds was taken from the bucket and put into a germination tray. Subsequently, there were 100 seeds of lowland rice and barnyardgrass sown in each germination tray and maintained for two weeks after sowing. After growing to a height of 15 cm, the lowland rice seedlings were transplanted into bucket media at one seedling per bucket, with the planting placed in the middle. Subsequently, the barnyardgrass seedlings were transplanted after 3-4 leaves into a bucket of fve seedlings per bucket, in a position surrounding the lowland rice (Figure 1).

The Mikania micrantha shoot was taken from a experimental field in the Universitas Sumatera Utara, Medan (98°39.214′E and 3°33.467′N), up to 2.367 kg, with 96 % ethanol extracting material (ρ = 0.789 g cm−3 or equivalent to 789 g L−1). The total of distilled water used was one liter and each treatment was given the agristick adjuvants (Dadang & Prijono 2011) at a concentration of 2 % (20 mL L−1), to maintain the stability of the natural herbicide formulation.
The screening of M. micrantha secondary metabolites was conducted using a qualitative method by obtaining 10 mL of the extract (Figure 2) and analyzing the contents of alkaloids, tannins, saponins, favonoids, steroids and triterpenoids. The alkaloid secondary metabolites were measured by inserting 2 mL of the extract into a test tube, adding 2 drops of Bouchardat reagent, and waiting for one minute to obtain a brown precipitate, when the sample was positive. Furthermore, the favonoid was measured by inserting 2 mL of the extract into a test tube, then adding 2 drops of 5 % FeCl3 reagent and waiting for one minute to achieve a colloidal black, when the sample was positive.

The screening of saponin was conducted by soaking the sample with ethanol and putting it in a test tube. Distilled water and 96 % alcohol reagent were further added, waiting for one minute to obtain a foam, for a positive sample. For the measurement of secondary metabolites for steroids and triterpenoids, 2 mL of the extract were inserted into a test tube, then 2 drops of Liebermann-Burchard reagent were added and allowed to stand for one minute, to achieve a silver ring. Furthermore, the measurement of secondary metabolites for tannins was conducted by inserting 2 mL of the extract into a test tube and adding 2 drops of 1 % FeCl3 reagent and allowed to stand for one minute, when the positive sample changed to colloidal black.
This study used a non-factorial randomized block design, with concentration factors of M. micrantha extract such as NH0 = 0 % (untreated); NH1 = 20 % (157.8 g L−1); NH2 = 40 % (315.6 g L−1); NH3 = 60 % (473.4 g Lc1); NH4 = 80 % (631.2 g L−1); NH5 = 100 % (789 g L−1); NH6 = 2,4-D dimethyl amine herbicide (720 g a.i. ha−1) as a comparison, with three replications. The application of natural herbicides from M. micrantha extract and comparison herbicide were conducted when the barnyardgrass had 5-6 leaves. Furthermore, a manual spraying was conducted at 9:40-10:53 a.m., when the temperature, humidity, air and spray pressure were 29.3 °C, 88 %, 1,008 hPa and 2-6 kg cm−2, respectively. Basic fertilization was conducted at one week after transplanting the lowland rice seedlings with NPK fertilizer, at a dose of 10 g per bucket, which were sown evenly. Subsequently, they were sprayed with deltamethrin insecticide (25 g L−1) to control pests and propine fungicide (70 %) to control diseases, based on the recommended dose.
The measured agronomic characters of the lowland rice included phytotoxicity at 2, 7 and 14 days after spraying (DAS), number of leaves at 7-14 DAS, root length and volume, and biomass (roots and shoots) at 42 DAS. The agronomic characters for barnyardgrass included phytotoxicity level at 2, 7 and 14 DAS, root length and volume, biomass (roots and shoots), growth reduction and allelopathic response index (ARI) at 42 DAS. The measurement of the phytotoxicity of lowland rice and the weed toxicity were carried out visually and scored based on leaf color, as it follows: score 0 = green; score 1 = yellowish-green; score 2 = overall yellow; score 3 = yellow-brown spots; score 4 = brown and shrink (Alridiwirsah et al. 2020b). The score was calculated and converted to percentage using the equation: . The fresh weight was measured by cleaning the roots from the soil, then drying for two hours and weighing with an analytical scale. Meanwhile, the dry weight measurement was carried out in an oven at 65 °C, for 72 hours, and the weed growth reduction was measured based on the total dry weight, using the equation: . The ARI measurement was based on the shoot dry weight, using the formula by Williamson & Richardson (1988): . When the ARI value is greater than 0, the allelopathic effect is stimulatory, and if the ARI value < 0, the allelopathy effect is inhibitory (Sunmonu & Van Staden 2014).
The measured histological characters of lowland rice and barnyardgrass included upper and lower epidermis, mesophyll and stomata density. The upper and lower epidermis and the mesophyll tissue were measured by taking the second leaf at 7 DAS with a transverse incision, using the paraffin method (Johansen 1940). The stomata density was measured by applying clear nail polish on the underside of the leaf and allowing it to dry for a few minutes and applying clear tape. The dried tape was pulled and placed on the surface of the preparation and the stomatal density was calculated with a microscope. The histological images were taken using the Axiovision 4.8 application, with a magnification of 10 x 10. The physiological characters of lowland rice and barnyardgrass included the total chlorophyll at 2, 7 and 14 DAS. Subsequently, the total chlorophyll was measured on the second leaf, using a SPAD 502 plus chlorophyll meter. The data of lowland rice and barnyardgrass were analyzed using Anova, followed by the Duncan’s multiple range test at p < 0.05, using the IBM SPSS statistics v.20 software.
RESULTS AND DISCUSSION
The results showed that there was not diference in the compounds from several concentrations of Mikania micrantha extract (Table 1). The secondary metabolites from the extract had alkaloids, favonoids, saponins and tannins, but steroids and triterpenoids compounds were not detected. The findings of this compound in this species have also been reported by Jyothilakshmi et al. (2015), who found glycosides, terpenoids, phenolics, alkaloids, steroids, favonoids and tannins.

The M. micrantha extracts at any concentration and the 2,4-D dimethyl amine herbicide significantly affected the phytotoxicity of lowland rice and barnyardgrass at 2, 7 and 14 DAS (Figure 3). The 2,4-D dimethyl amine herbicide showed the highest phytotoxicity in the lowland rice and barnyardgrass at 14 DAS, when compared to all the extract concentrations. There was phytotoxicity in the lowland rice due to exposure to the M. micrantha extract in the concentration of 20 % at 2 DAS and of 20-40 % at 7 DAS, but all the extract concentrations (20-100 %) were safe in lowland rice at 14 DAS. In contrast, the weed toxicity of barnyardgrass increased with the increase in the concentration of 60-100 % from M. micrantha extracts at 14 DAS (Figure 3B). The M. micrantha extracts at any concentration and the 2,4-D dimethyl amine herbicide significantly affected the number of leaves in lowland rice plants aged 7-14 DAS (Table 2). The results showed that the exposure to M. micrantha extract at a concentration of 60 % increased the number of leaves by 35.0 %, and the 2,4-D dimethyl amine herbicide inhibited the leaf growth of the lowland rice by 25.2 % at 14 DAS, when compared to the control.


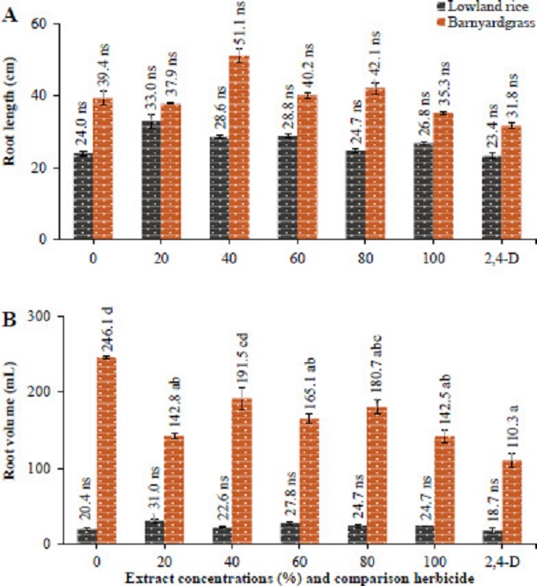
The M. micrantha extracts at any concentration and the 2,4-D dimethyl amine herbicide significantly affected the root volume of barnyardgrass, but were not significant on the root length and volume of the lowland rice and root length of the barnyardgrass (Figure 4). Furthermore, the exposure to M. micrantha extracts caused a decrease in the root volume of barnyardgrass from 22.2 to 42.1 % and the 2,4-D dimethyl amine herbicide by 55.2 %, with the highest decrease found at the concentration of 100 %. This indicated that the 100 % exposure to M. micrantha extracts inhibited the growth and development of the barnyardgrass roots.

The M. micrantha extracts at any concentration and the 2,4-D dimethyl amine herbicide significantly inhibited the barnyardgrass biomass, but were not significant for the lowland rice biomass (Figure 5). Furthermore, the exposure to the extracts caused a decrease in the root fresh and dry weight of the barnyardgrass from 58.9 to 71.6 % and 63.4 to 73.2 %, respectively, with the highest decrease at the concentration of 20 %. This was also observed in the treatment with the 2,4-D dimethyl amine herbicide, which decreased the root fresh and dry weight of barnyardgrass by 75.4 and 75.9 %, respectively. There was a decrease in the shoot fresh and dry weight of barnyardgrass due to the exposure to the M. micrantha extracts, which ranged 41.6-62.6 and 27.0-60.9 %, respectively, with the highest decrease at the concentration of 60 %. This was similar to the treatment with the 2,4-D dimethyl amine herbicide, which decreased the shoot fresh and dry weight of barnyardgrass by 57.6 % and 55.3 %, respectively.

The M. micrantha extracts at any concentration and the 2,4-D dimethyl amine herbicide significantly affected the leaf stomata density of the lowland rice and barnyardgrass, but were not significant for the upper and lower epidermis and mesophyll tissue (Table 3; Figure 6). The extract concentration of 60 % and the 2,4-D dimethyl amine herbicide increased the highest stomatal density of lowland rice by 96.9 and 91.1 %, respectively, if compared to the control. However, the extract concentration of 100 % significantly increased the stomatal density of the barnyardgrass by 81.7 %, when compared to the control.


The M. micrantha extracts at any concentration and the 2,4-D dimethyl amine herbicide significantly inhibited the total chlorophyll of the barnyardgrass at 2, 7 and 14 DAS, as well as the total chlorophyll in the lowland rice at 2 and 14 DAS, but were not significant at 7 DAS (Figure 7). There was a decrease in the SPAD total chlorophyll content of the lowland rice due to exposure to the M. micrantha extracts ranging from 13.0 to 28.0 %, when compared to the control, and the highest decrease was observed for the concentration of 40 % at 14 DAS. The 2,4-D dimethyl amine herbicide also slightly decreased the SPAD total chlorophyll content of the lowland rice by 7.5 %. On the other hand, the extract concentrations of M. micrantha had no effect in decreasing the SPAD total chlorophyll content for the barnyardgrass at 2 DAS, but the chlorophyll decreased from 7 to 14 DAS. The highest decrease in total chlorophyll (28.4 %) was observed at the concentration of 100 % of M. micrantha extract, when compared to the control at 14 DAS. Furthermore, the 2,4-D dimethyl amine herbicide also decreased the SPAD total chlorophyll content for the barnyardgrass by 26.1 % at 14 DAS.

The M. micrantha extracts at any concentration and the 2,4-D dimethyl amine herbicide significantly reduced the barnyardgrass growth, and were classifed as inhibitors (Figure 8). The results showed that the highest growth reduction for the barnyardgrass was found in the exposure to the herbicide by 65.6 %. Meanwhile, the ability of the extract to reduce the barnyardgrass growth ranged from 46.0 to 63.5 %, with the highest rate for the concentration of 60 %. Also, the ARI for all the M. micrantha extract concentrations and the 2,4-D dimethyl amine herbicide ranged from −0.6 to −0.3. This indicates that the extract concentration of 20-100 % and the herbicide inhibited the growth and biomass of the barnyardgrass (ARI < 0).

In general, the effect of the M. micrantha concentration is less toxic or safe for the growth of lowland rice plants. This is supported by the concentration of 60 %, which increased the number of leaves and resulted in the highest stomatal density of the lowland rice (Tables 2 and 3). Furthermore, the length and volume of the lowland rice root at all the extract concentrations (20-100 %) were higher than for the control (Figure 4). These parameters are possibly used as the basis to determine the mechanism of plant growth disorders due to allelopathy. According to Chon et al. (2005), the effect of allelopathy is more visible in the inhibition of root growth than in the shoot, because the roots are more sensitive to phytotoxic compounds. Similarly, Li et al. (2010) also emphasized that roots are the first organs directly related to allelochemistry, and that the absorption of water and ions is disrupted, while the accumulation of abscisic acid increases, thus affecting the stomata opening width and the photosynthesis process.
The M. micrantha extracts at any concentration significantly affected the characteristics of the barnyardgrass weed. The concentration of 60-100 % increased the toxicity of the barnyardgrass, and the 20-100 % concentration could inhibit the root volume growth, biomass (root and shoot) and also the SPAD total chlorophyll. However, the concentration of 100 % increased the stomatal density by 81.7 %, when compared to the control. This is due to the contents of flavonoids, tannins, alkaloids and saponins from M. micrantha (Table 1) that could inhibit the chlorophyll biosynthesis and affect the establishment of a lower weed biomass, if compared to the control. Li & Jin (2010) observed that the roots, stem and leaf extracts from M. micrantha reduced the POD enzyme activity in Coix lacryma-jobi seedlings by 27, 52 and 34 %, respectively. Shajib et al. (2012) reported that isofavones played a role as phytotoxic allelochemicals against Echinochloa crus-galli. Jali et al. (2021) also stated that the use of M. micrantha extract up to 200 mg mL−1 increased the toxicity to 329 %, but reduced the root and shoot length, as well as the biomass, of Macrotylama uniforum.
The M. micrantha extracts at any concentration reduced the growth of the barnyardgrass from 46.0 to 63.5 %, with the highest ability found at 60 %. Meanwhile, all concentrations from 20 to 100 % had a negative allelopathic response index, or were classifed as inhibitors (ARI < 0). The highest one (63.5 %) was close to the effect of the 2,4-D dimethyl amine (65.6 %). The results obtained are in line with Ma et al. (2020), who stated that a concentration of 50-400 mg mL−1 from M. micrantha extract had a negative allelopathic response index.
The 2,4-D dimethyl amine herbicide had a less safe impact on the growth of lowland rice plants due to a higher level of phytotoxicity and a lower number of leaves, inhibiting the root and shoot growth. Furthermore, the use of M. micrantha extract is considered safe for the growth of lowland rice, with potential to reduce the use of synthetic herbicides and save costs for farmers.
CONCLUSIONS
ACKNOWLEDGMENTS
The authors would like to thank the Provincial Government of Sumatera Utara (Pemerintahan Provinsi Sumatera Utara) for collaborating with the Universitas Muhammadiyah Sumatera Utara to funding this study.
REFERENCES
ALRIDIWIRSAH; TAMPUBOLON, K.; SIHOMBING, F. N; BARUS, W. A.; SYOFIA, I.; ZULKIFLI, T. B. H.; PURBA, Z. Screening and effectiveness of secondary metabolites of Mikania micrantha on barnyardgrass weed and its impact on lowland rice. Agrotechnology Research Journal, v. 4, n. 2, p. 84-91, 2020a.
ALRIDIWIRSAH; TAMPUBOLON, K.; SIHOMBING, F N.; SIBURIAN, E.; PURBA, Z.; WAGINO; SULASTRI, Y. S.; MANURUNG, I. R.; PRATOMO, B.; KARIM, S.; SAMOSIR, S. T S.; SUPRIYADI; GUSTIANTY, L. R.; HARAHAP, F S. Glyphosate potassium salt dosage efficacy to weed control in guava plants. Asian Journal of Plant Sciences, v. 19, n 4, p. 487-494, 2020b.
CHON, S. U; JANG, H. G.; KIM, D. K.; KIM, Y M.; BOO, H. O.; KIM, Y J. Allelopathic potential in lettuce (Lactuca sativa L.) plants. Scientia Horticulturae, v. 106, n. 3, p. 309-317, 2005.
DADANG; PRIJONO, D. The development of natural insecticide formulation technology for holticultural pest management in order to produce holticultural healty product. Indonesian Journal of Agricultural Sciences, v. 16, n 2, p. 100-111, 2011.
JALI, P.; SAMAL, I. P.; JENA, S.; MAHALIK, G. Morphological and biochemical responses of Macrotyloma uniforum (Lam.) Verdc. to allelopathic effects of Mikania micrantha Kunth extracts. Heliyon, v. 7, n. 8, e07822, 2021.
JOHANSEN, D. A. Plant microtechnique. New York: McGraw-Hill, 1940.
JUNAEDI, A.; CHOZIN, M. A.; KIM, K. H. Current research status of allelopathy. Hayati Journal of Biosciences, v. 13, n. 2, p. 79-84, 2006.
JYOTHILAKSHMI, M.; JYOTHIS, M.; LATHA, M. S. Antidermatophytic activity of Mikania micrantha Kunth: an invasive weed. Pharmacognosy Research, v. 7, suppl., p. S20-S25, 2015.
LI, J.; JIN, Z. Potential allelopathic effects of Mikania micrantha on the seed germination and seedling growth of Coix lacryma‐jobi. Weed Biology and Management, v. 10, n 3, p. 194-201, 2010.
LI, Z. H; WANG, Q.; RUAN, X.; PAN, C D.; JIANG, D. A. Phenolics and plant allelopathy. Molecules, v. 15, n. 12, p. 8933-8952, 2010.
LOU, W; WU, L.; CHEN, H; JI, Z.; SUN, Y Assessment of rice yield loss due to torrential rain: a case study of Yuhang county, Zhejiang Province, China. Natural Hazards, v. 60, n. 2, p. 311-320, 2012.
MA, H.; CHEN, Y.; CHEN, J.; ZHANG, Y.; ZHANG, T.; HE, H. Comparison of allelopathic effects of two typical invasive plants: Mikania micrantha and Ipomoea cairica in Hainan island. Scientific Reports, v. 10, e11332, 2020.
MOON, B. C.; CHO, S. H.; KWON, O. D.; LEE, S. G.; LEE, B. W. Modelling rice competition with Echinochloa crus-galli and Eleocharis kuroguwai in transplanted rice cultivation. Journal of Crop Science and Biotechnology, v. 13, n. 2, p. 121-126, 2010.
NI, G.; LI, F.; CHEN, B.; SONG, L.; PENG, S. Allelopathic plants 21. Mikania micrantha HBK. Allelopathy Journal, v. 19, n. 2, p. 287-295, 2007.
OTTIS, B. V.; TALBERT, R. E. Barnyardgrass (Echinochloa crus-galli) control and rice density effects on rice yield components. Weed Technology, v. 21, n. 1, p. 110-118, 2007.
RAY, D. K.; MUELLER, N. D.; WEST, P. C.; FOLEY, J. A. Yield trends are insuficient to double global crop production by 2050. PloS One, v. 8, n. 6, e66428, 2013.
SHAJIB, M. T. I.; PEDERSEN, H. A.; MORTENSEN, A. G.; KUDSK, P.; FOMSGAARD, I. S. Phytotoxic effect, uptake, and transformation of biochanin A in selected weed species. Journal of Agricultural and Food Chemistry, v. 60, n. 43, p. 10715-10722, 2012.
SHAO, H.; PENG, S.; WEI, X.; ZHANG, D.; ZHANG, C. Potential allelochemicals from an invasive weed Mikania micrantha HBK. Journal of Chemical Ecology, v. 31, n. 7, p. 1657-1668, 2005.
SUNMONU, T. O.; VAN STADEN, J. Phytotoxicity evaluation of six fast-growing tree species in South Africa. South African Journal of Botany, v. 90, n. 1, p. 101-106, 2014.
TAMPUBOLON, K.; SIHOMBING, F. N.; PURBA, Z.; SAMOSIR, S. T. S.; KARIM, S. Potency of secondary metabolite from weeds as natural pesticides in Indonesia. Kultivasi, v. 17, n. 3, p. 683-693, 2018.
TRAVLOS, I. S.; ECONOMOU, G.; KANATAS, P. J. Corn and barnyardgrass competition as influenced by relative time of weed emergence and corn hybrid. Agronomy Journal, v. 103, n. 1, p. 1-6, 2011.
VAN EVERT, F. K.; FOUNTAS, S.; JAKOVETIC, D.; CRNOJEVIC, V.; TRAVLOS, I.; KEMPENAAR, C. Big data for weed control and crop protection. Weed Research, v. 57, n. 4, p. 218-233, 2017.
WILLIAMSON, G. B.; RICHARDSON, D. Bioassays for allelopathy: measuring treatment responses with independent controls. Journal of Chemical Ecology, v. 14, n. 1, p. 181-187, 1988.
WILSON, M. J.; NORSWORTHY, J. K.; SCOTT, R. C.; GBUR, E. E. Program approaches to control herbicide-resistant barnyardgrass (Echinochloa crus-galli) in midsouthern United States rice. Weed Technology, v. 28, n. 1, p. 39-46, 2014.