Research Article
Quantity-intensity ratio of potassium in gypsiferous soils in Iraq1
Relação quantidade-intensidade de potássio em solos gipsíferos no Iraque
Quantity-intensity ratio of potassium in gypsiferous soils in Iraq1
Pesquisa Agropecuária Tropical, vol. 52, e71620, 2022
Escola de Agronomia/UFG
Received: 23 January 2022
Accepted: 13 June 2022
Published: 18 July 2022
ABSTRACT: In gypsiferous soils, potassium (K) undergoes leaching, precipitation and other reactions that reduce its availability. This study aimed to evaluate the physicochemical behavior of K in gypsiferous soils of the Salahaddin province (Iraq), in twelve locations chosen according to the variation in their soil physical and chemical properties. The K adsorption phenomenon was described by using thermodynamic parameters according to the quantity-intensity ratio (Q/I), with the following results: equilibrium activity ratio of 16 to 48 x 10−5 (mol L−1 )1/2, total labile K of 19 to 80 x 10−3 cmolc kg−1, potential buffering capacity of 22 to 42 cmolc kg−1 (mol L−1)−1/2, free energy of exchange of -1.237 to -1.086 kJ mol−1 and Gapon selectivity coefficient of 3.86 to 5.45 (L mol−1)1/2. All the investigated soils are characterized by good potassium reserves, but low in release.
KEYWORDS: Exchangeable-K, buffering capacity, labile potassium, Gapon selectivity.
RESUMO: Em solos gipsíferos, o potássio (K) sofre lixiviação, precipitação e outras reações que reduzem sua disponibilidade. Objetivou-se avaliar o comportamento físico-químico do K em solos gipsíferos da província de Salahaddin (Iraque), em doze locais escolhidos de acordo com a variação das propriedades físicas e químicas do solo. O fenômeno de adsorçâo de K foi descrito utilizando-se parâmetros termodinâmicos de acordo com a relação quantidade-intensidade (Q/I), com os seguintes resultados: razão de atividade de equilíbrio de 16 a 48 x 10−5 (mol L−1 )1/2, K lábil total de 19 a 80 x 10−3 cmolc kg−1, capacidade de tamponamento potencial de 22 a 42 cmolc kg−1 (mol L−1)−1/2, energia livre de troca de -1,237 a -1,086 kJ mol−1 e coeficiente de seletividade de Gapon de 3,86 a 5,45 (L mol−1)1/2. Todos os solos investigados caracterizaram-se por boas reservas de potássio, mas com baixa liberação.
PALAVRAS-CHAVE: Potássio trocável, capacidade de tamponamento, potássio lábil, seletividade de Gapon.
INTRODUCTION
Gypsum is considered a rock-forming mineral that also occurs in soils. In arid and semi-arid environments, gypsum can be a significant soil component (Kamal & Rashid 2020). However, its composition is sometimes overlooked or misexpressed, even though its chemical formula (CaSO4.2H2O) is quite simple (Herrero et al. 2009).
The total estimated area of gypsiferous soils in the world is 100 million hectares, with 5.42 million hectares being prevalent in Iraq (the study area), where it constitutes about 12 % of the total area and 38 % of the total arable land (AL-Kayssi & Mustafa 2016). Gypsum soils cover large tracts of land in the center and north of the Iraq sedimentary plain. Most of these lands suffer from multiple problems affecting their agricultural productivity (Ismaeal 2022). These problems are related to the physical, chemical and biological properties of these soils, so researchers are seeking ways to increase the agricultural area by reclaiming these lands which suffer from many problems.
Gypsum soils are highly deficient in nutrient availability, especially potassium (K), due to the competition for exchange sites by calcium, sedimentation and conversion of nutrients from the available situation to the unavailable one (Elrashidi et al. 2010). So, gypsum soils suffer from the lack of K necessary for plant growth.
The thermodynamic approach most often used in understanding, characterizing and evaluating the K+ supplying capacity of the soil is the quantity-intensity (Q/I) isotherm of K+ (Beckett 1964). Among the several laboratory methods used to assess the K supplying power of soils to plants, a fundamental approach based mainly on the labile pool of K is strongly advocated (Beckett 1964). This approach uses the relationship between the quantity (Q), which indicates the K reserves of non-exchangeable and total elemental K, and the intensity factor (I), which indicates the immediately available K, to describe the buffering capacity (BC), which is a measure of the resistance to a change in the K-potential in soils.
Soil labile K may be more reliably estimated by Q/I than by the measurement of exchangeable K with 1 M NH4OAc (Page et al. 1982). Higher values of labile K indicate a greater K release into the soil solution, resulting in increased K availability. K fertilization will also increase the labile K and Q/I measures the ability of the soil to maintain the intensity of its K solution, being proportional to the cation exchange capacity (CEC). A high value represents a good K-supplying power (BC), while a low value suggests a need for K fertilization. There are two aspects of K buffering capacity: buffering of the potential by the exchangeable pool and buffering of the exchangeable pool by non-exchangeable reserves (Al-Hamandi et al. 2019). The availability of K to plants depends on its intensity, capacity and renewal rate in soils. Intensity is the K concentration in the soil solution. Capacity is the total amount of K in soil solids available to go into the solution (Lin 2010) and renewal rate is a kinetic factor describing the K transfer rate from capacity to intensity of K exchange-equilibrium parameters that outcome from quantity-intensity (Q/I) isotherms (Bar-Yosef et al. 2015), i.e., K equilibrium activity ratio, potential buffering capacity for K (PBCK), labile K (ExK°), free energy of K replenishment (−ΔCF) and Gapon selectivity coefficient (kG) (Wang et al. 2004). It was found that soils do not generally differ in their exchangeable potassium, but do for %K saturation as an estimate of K liability (Bilias & Barbayiannis 2019).
In recent years, however, there have been various attempts to find a suitable method for determining the availability of K in soils, in order to evaluate the amount of K fertilizers needed by a particular crop. For a greater understanding of the fertility status of agricultural soils, the quantity-intensity (Q/I) relationship proposed and expanded by Shil et al. (2021) has been used to measure the availability of K in soils (Panda & Patra 2018).
The K status in Iraq soils has been studied by some researchers (Ahmed & Sheikh-Abdullah 2020, AL-Hamandi 2020). The use of thermodynamic methods showed that the release rate of K from Iraq soils is very low, and this may explain the response of most of them to K-fertilizers application, in spite of their high K contents. The Q/I soil relation describes the relation between K availability or intensity (I) in the soil to the amount (Q) present in the soil, that is, changes of K sorbed to changes of K in solution concentration (Auge et al. 2018).
The K content in soil depends mainly on the type and degree of soil weathering and the forms in which it exists in the soil, hence the K availability in the soil solution (intensity) and the inherent capacity of the soil to buffer this concentration against changes are among the important parameters that determine the effective availability of K to plants (Bilias & Barbayiannis 2018). In some cases, even though the soil contains a considerable amount of total K, its availability to plants is negligible. This is because the availability of K to plants depends not only on its availability, but also on its viz. dynamics, intensity, capacity and renewal rate in soils. Finally, knowing the equilibrium constants is vital for predicting the status and supplying K for the plant (Khan et al. 2015). The misunderstanding of these dynamics leads to the mismanagement of soil fertility.
These methods have been proved reliable for many soil types, but less reliable for soils that contain significant amounts of clay minerals that fix K, like illite or vermiculite, or for soils under intensive cropping (Khan et al. 2014). Thus, the prediction of K availability using methods that extract only soluble K and exchangeable K, as in the studied soils, has been quite frequently proved inadequate, even though the contribution of non-exchangeable K can be significant (up to 80-100 % of total K availability) (Islam et al. 2017). Evangelou et al. (1994) considered that the buffering capacity of a soil to resist changes in K concentration in the soil solution is related to the cation exchange capacity (CEC) and Gapon selectivity coefficient. However, from a typical Q/I isotherm curve, no clear conclusions can be deduced concerning the specific K pool (exchangeable or non-exchangeable K), because that is involved in the form of an isotherm curve. Since the projection of the curvilinear part that represents specific sites of K adsorption gives only an estimation of non-exchangeable K, it cannot be always predicted with adequate accuracy.
Thus, this study aimed to determine the Q/I parameters of some gypsiferous soils of Iraq and relate them to the K availability in these soils.
MATERIAL AND METHODS
Twelve representative surface soil samples were collected from locations surrounding the Salahaddin province, in Iraq (34°36′N, 43°41′E and altitude of 250 m above the mean sea level) (Figure 1), depending on their gypsum content (Table 1), for the years 2018-2019. The climate of the study area is semi-arid and sub-tropical, with average annual rainfall of 150 mm, which occurs from October to April (rainy season), with uneven distribution. The average annual temperature, relative humidity, wind speed, sunshine duration per day and potential evapotranspiration are, respectively, 17.4 °C, 52.9 %, 2.8 m s−1, 11.2 hand 1,986 mm.


The samples were labeled as soil 1 to soil 12, dried, crushed and passed through a 2-mm mesh sieve, and then the chemical and physical analyses were conducted. The soils are classified as fine, mixed, active, hyperthermic, calcareous, Typic Torrifluvents (Ditzler et al. 2017). The soil chemical and physical characteristics were determined based on methods proposed by Page et al. (1982); organic matter by dichromate oxidation; cation exchange capacity (CEC) by dissolving soil with neutral IN NH4OAc; electrical conductivity (EC) and soil pH using 1:2.5 soil to water suspension; water-soluble, exchangeable and total K extracts by flame photometer; and mineralogy analyses and X-ray diffraction were performed on the < 2 um clay fraction. The sub-samples were treated with distilled water to remove the soluble salts, then with NaOAc at pH = 5.0 to remove the CaCO3, and treated with sodium hypochlorite (NaOCl 14 %). The organic matter and Na-dithionite-citrate-bicarbonate and Fe oxides were removed, and clay was separated by decantation. X-ray diffract grams were obtained with a Philips X-ray diffract meter with Ni-filtered Cuka radiation generated at 40 kv and 29 mA. The semi-quantitative mineralogical composition of the clay fraction was treated by Mg-saturation, Mg-plus ethylene glycol-saturation and K-saturation, and K was determined by X-ray diffraction analyses. A paired t-test was used to compare at the probability levels of 0.01 and 0.05 (Johnson & Bhattacharyya 2019).
The K+ quantity-intensity was determined according to Beckett (1964), by adding 50 mL of 0.01M CaCl2 solutions containing 0, 0.1, 0.2, 0.4, 0.6, 0.8, 1, 2, 5, 7 and 10 mmol L−1 of KC1 concentrations to 2.5 g of soil sample. The soil suspensions were shaken vigorously for 2 h and left overnight (24 h) for equilibration and then centrifuged. The suspensions of the soil samples were filtered and the supernatants analyzed for K+ by a flame photometer and for Ca++ and Mg++ by titration with Senate (Carter & Gregorich 2007). The K+ intensity (I) or the activity ratio of K+ (ARK) relative to Ca++ Mg++ species of each equilibrium solution was calculated. The change in the amount of K in solution gained or lost by the soil (±AK) was calculated according to the following equation: ±AK = (Ci - Cf) x V/W, where: V is the volume of solution (cm3); W the weight of dry soil (kg); Ci the concentration of added K; and Cf the K concentration after equilibrium (mg L−1).
The K intensity factor in the liquid phase for soil is expressed as activity ratio (ARK), and was computed from the measured concentration of Ca, Mg and K in the supernatant solution after equilibrium. The K activity ratio was calculated according to Beckett (1964), as: ARK= aK/√aCa + aMg, where: a is the ionic activity of the species (Ca, Mg and K). The ionic activity (ai) was calculated according to the Lewis equation: ai = Ci x yi, where: Ci is the concentration of ions in the species (mol L−1); and y. the ionic activity coefficients calculated by the empirical Davies equation (Sposito 2008), as: Log yi = −0.509 Zi2 [√I/1 + √I − 0.31], where: y. is the mean activity coefficient of the electrolyte; Z. the ion species valence; I the ionic strength (mol L−1); and I = 0.013 * EC, where: I is the ionic strength (mol L−1) and EC = dSnr−1.
From a plot of ±ΔK versus activity ratio, the Q/I parameters were obtained. The intercept of the Q/I curve on the ARKequ axis, where K = 0, gave the soil K activity ratio at equilibrium (ARK0), which denotes the soil solution K activity relative to the Ca + Mg at equilibrium. The equilibrium potential buffering capacity for K (PBCK0) was calculated as the slope of the linear section of the Q/I curve. The labile K (ΔK0) was obtained from the intercept of the extrapolated linear part of the Q/I isotherm on the quantity axis. The free energy of the K replenishment (−ΔGKequ) was computed from the following equation, as reported by Beckett (1964): −ΔGKequ = 2.303RTlog ARK0, where R and Tare the gas constant and absolute temperature, respectively. The Gapon constant was calculated according to Evangelou & Karanthansis (1986), as: kG = PBCK/CEC, where: kG is the Gapon constant, PBCK the K potential buffering capacity and CEC the cation exchange capacity.
RESULTS AND DISCUSSION
Table 2 shows that the studied soils are distinguished by gypsum soil rates ranging between 20 and 220 g kg−1. The highest lime value (350 g kg−1) was observed in soil 4 (sample 4) and the lowest one (200 g kg−1) in soil 7 (sample 7). The EC ranged from 1.5 to 3.74 dS m−1 and the pH was neutral (7.0-7.7). The results of X-ray diffraction for clay samples showed the clay minerals order as smectite, chlorite, palygorskite, kaolinite and illite.

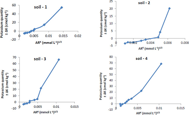
The Q/I plots for every layer showed a linear relationship at high activity ratios and curvilinear at low-intensity levels. The data show that the shape of the Q/I plots is similar for all layers, as confirmed by Ahmed & Sheikh-Abdullah (2020). The slopes of the plots not only depended on CEC, but also on kG at low K surface coverage (where the slopes equated to PBCK). The existence of curvature in the lower portion of the Q/I plots was the major difference among these gypsiferous soils. It is not clear why this curvature exists, but there are two possibilities: i) since the K+ exchange coefficient was found to be independent of calcite solubility, it is probable that the interactions between K+ and soil minerals may have contributed to the relatively high values of the exchange coefficient; ii) a masking effect produced by a relatively high concentration of exchangeable K+.These are possible factors responsible for the discrepancy between our results and those by the aforementioned authors.
Clay minerals differ in their ability to fix K, since illite and vermiculite constituted between 5 and 20 % of the silica clay content, respectively, and because of the difference in the crystalline structure, location and quantity of negative charges within the crystals. Illite has the ability to fix K from the soil solution and return it. Thus, the distance between the illite mineral plates remains constant. The size of silica tops in silica sheets is similar to two adjacent layers of mica, but this K is slowly released to the soil solution of these calcareous soils when the level of exchangeable K reduces in the solid phase. The K+ minerals interactions may indeed be contributing factors for these linear graphs. These plots also show the relation between the quantity factor, as a function of the intensity factor (KAR) (chemical potential) for labile K, and the chemical potential of Ca2+ and Mg2+ ions that move to the soil solution (Shil et al. 2021) (Figure 2). The plots refer clearly to the variation of values of slops and intercept these variations due to the variation in the soils chemical, physical and mineralogical properties (Zhu et al. 2020). The upper parts of these plots are linear and also allow determining the ARKo and soil buffering for K saturation (Figure 3). Also, linear parts of the plots refer to the exchangeable K that will be released from readily available sites of multiple adsorption layers with low adsorption, while the curve part of these plots will be from sites that hold extremely (specific sites) (Al-Hamandi et al. 2019).


The ARKe amount ranged widely [16 to 48 x 10−5 (mol L−1)1/2, with a mean of 27 x 10−5 (mol L−1)1/2]. These results are in line with Al-Hamandi et al. (2019). In some Iraq soils, the ARKe variation may be caused by cropping with or without K-fertilization and leaching process (Wang et al. 2004). The present study further supports that ARKe indicates the status of the immediately available K and, therefore, regulates the exchange of K ions from the exchange complex to the solution phase. Results in all soil samples also suggest that the adsorption was primarily held at planar positions. Jalali (2007) suggests the predominance of K adsorbed to edge sites, whereas ARKe > 0.01 (mol L−1)1/2 indicates a predominance of K adsorbed to planar, but there was no field with ARKe < 0.001 (mol L−1)1/2, what is an indication of K adsorbed to the interlattice position. Furthermore, the variation in K adsorption sites in the soils seems to clarify why exchangeable K was a poor predictor of K intensity. This represents the amount of K which is capable of ion exchange during the period of equilibrium between soil solids and soil solution (Sharma et al. 2012).
The labile K (LK) comprises two distinct components, namely the non-specifically held or immediate source of available K (AK0) and difficultly available K (Kx) (Bilias & Barbayiannis 2018). The lowest value of LK was 19 x 103 cmolc kg−1 in soil 12, while the higher value was 80 x 10−3 cmolc kg−1 in soil 2 (Table 3). This variation may be due to the presence of CaCO3 and CaSO4, clearly indicating that under intensive cropping the cultivated soil has a higher potential to replenish the K concentration in the soil solution for a longer period. The labile K values seem to be more affected by the particle size distribution of the soils. Potassium has a high tendency to adsorb in the solid phase, and therefore needs more energy to be released into the liquid soil phase. In addition, increasing the adsorption to maximize the adsorbed K layers contributes to reduce the binding energy which makes the K easy to release. On this basis, the K-bonding strength in the fine soil texture is higher than in the coarse soil texture. The labile K in Iraq soils represents 70-80 % of the exchangeable potassium. Therefore, clay minerals contribute to increasing the number of specific and non-specific sites responsible for K adsorption and retention. This is reflected in the amount of K adsorbed in the soil. The fine soil texture, which has a high adsorption capacity, needs more K supplying to the plant growth, while coarse soils need less K to reach the highest soluble concentration in the soil solution, although they do not have sufficient reserves to supply the plant with the required amount during the growth period. The -ΔK° value represents the proportion of labile K which is located on the planar surface (Panda & Patra 2018, Bilias & Barbayiannis 2019). According to Al-Hamandi et al. (2019), it makes up a constant percentage (70-80 %) of exchangeable K, and thus will seem -ΔK° and K on the higher energy sites of clay fraction particles. This means that the number of high energy sites is a function of the amount of exchangeable K, rather than a soil property. The -ΔK/Kex percentage ranges between 0.09 and 6.13. This, however, disagrees with findings by Ahmed & Sheikh-Abdullah (2020), and may be attributed to a high level of CaSO4 equivalent contents prevailing in these soils.

The potential buffering capacity (PBCK) equal to the amount of labile K can be removed before the ARKe is reduced by more than a given amount. The straight line section of the Q/I plot represents the linear buffering capacity (PBCK) of the soils, which is a measure of the ability of the soil to maintain the intensity of K in the soil solution (Zhu et al. 2020).
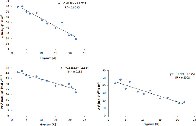
The differences in the PBC values in soils could be attributed to the differences in past cropping and management practices (Ahmed & Sheikh-Abdullah 2020), or the PBCK values are indicative of soil capacity for maintaining a given K activity (concentration) at equilibrium conditions, in case of K uptake by plants or leaching (Auge et al. 2018). The PBCK values of the studied soils help to explain the limiting validity of the equilibrated ratio values in describing the potassium status of many of the studied soils. The PBCK values (Table 4) show that all the studied soils are poorly K-buffered. This can be attributed to their high contents in CaCO3 and CaSO4 equivalent, since the value of this K parameter ranged between 22 cmolc kg−1 (mol L−1)−1/2 in soil 12 and 42 cmol kg−1(mol L−1)−1/2 in soil 2. Soils with the highest PBCK value were characterized by the lowest percentage of K saturation, being an indicative of the higher potential to replenish the K concentration in the soil solution (Yuan et al. 2021).

The free energy of exchange (-ΔG), represented by the term RT ln ARKe, is related to one chemical equivalent of K in the standard state replacing one chemical equivalent of calcium on clay, followed by the liberation of certain calories or joules of energy (Al-Hamandi et al. 2019). The amount of -ΔG varied among the soil locations and the energies of exchange (Table 4), with values between -1.237 and -1.082. Samadi (2006) observed that soils with higher exchangeable K (%K saturation) are generally characterized by low -ΔGKe values. The K fertility evaluation according to the free-energy indicates a critical fertility situation between the efficiency and the decrease. The amendment of this shortage through fertilization will make the K to be adsorbed on the planner surfaces, and thus it will be difficult to release it to the soil solution during the short growth period (Islam et al. 2017).
The Gapon selectivity coefficient for K expresses the relative affinity that soils may develop toward K in the presence of Ca and Mg, both in the soil solid phase and soil solution under equilibrium conditions. Most of the kG values fluctuated within the range of 3.86 to 5.45 (L mole−1)1/2, with mean of 4.65 (L mole−1)1/2, suggesting that the relative affinity for K was quite similar (Table 4). The Gapon selectivity coefficients reported by Samadi (2006) varied between 2.3 and 5.3 (Lmole−1)1/2. The changes in kG values are basically attributable to the levels of exchangeable Ca and Mg (Panda & Patra 2018). The soil selective behavior for K, in comparison with dominant Ca and Mg, may also be attributed to the preferential attraction of K ions over Ca and Mg at some planar sites of soil colloids (AL-Hamandi 2020).
Table 5 shows the correlation coefficients between Q/I parameters and soil chemical properties. The potassium activity ratio (ARKe) showed the highest correlation with these soil properties at the 0.01 probability level. That reflects the potency of soil properties on the ARKe values in gypsiferous soils. The exchangeable free energy (-AG) also has a high correlation with the studied soil properties at the 0.01 probability, because the -AG values are also directly correlated with ARKe values. For the labile potassium (LK), the single parameters have no significant correlation with the soil properties, because LK depends on clay content.

The potential buffering capacity (PBCK) also has a high correlation with the soil properties, directly indicating the effect of the liquid phase of these soils on the supply of calcium and potassium. The Gapon coefficient (kG) was not affected by these properties due to the low clay content and organic matter.
CONCLUSION
All the investigated soils are characterized by good potassium reserves, but low in release, according to the adsorption of the quantity-intensity ratio parameter to determine the soil potassium availability. Therefore, these soils require special management to prevent soil degradation and improve soil fertility and management.
ACKNOWLEDGMENTS
The authors would like to thank the University of Mosul and University of Tikrit, for providing the laboratory equipment to conduct this research, and also the anonymous reviewers, for helping us to improve the manuscript.
REFERENCES
AHMED, G.; SHEIKH-ABDULLAH, S. Potassium mobility potential of forest soil in Kurdistan region, Iraq, as estimated by quantity-intensity (Q/I) relationships. Journal of Geoinformatics & Environmental Research, v. 1, n. 1, p. 11-19,2020.
AL-H AMANDI, H. M.; AL-OB AIDI, M. A.; ALJUMAILY, M. M. A. Study on quantity and intensity of potassium in the alluvial soils in Baghdad. Plant Archives, v. 19, n. 2, p. 123-130,2019.
AL-HAMANDI, H. The dynamic behavior of potassium in some different agricultural soils in Nineveh governorate. Mesopotamia Journal of Agriculture, v. 48, n. 2, p. 77-90, 2020.
AL-KAYSSI, A. W.; MUSTAFA, S.H. Modeling gypsiferous soil infiltration rate under different sprinkler application rates and successive irrigation events. Agricultural Water Management, v. 163, n. 1, p. 66-74, 2016.
AUGE, K. D.; ASSEFA, T M.; WOLDEYOHANNES, W. H; ASFAW, B. T. Potassium dynamics under enset (ensete ventricosom cheesman) farming systems of Sidama zone, southern Ethiopia. Journal of Soil Science and Environmental Management, v. 9, n. 4, p. 47-58, 2018.
BAR-YOSEF, B.; MAGEN, H.; JOHNSTON, A. E.; KIRKBY, E. A. Potassium fertilization: paradox or K management dilemma? Renewable Agriculture and Food Systems, v. 30, n. 2, p. 115-119, 2015.
BECKTT, P. Studies on soil potassium II: the ‘immediate’ Q/I relations of labile potassium in the soil. Journal of Soil Science, v. 15, n. 1, p. 9-23, 1964.
BILIAS, F; BARBAYIANNIS, N. Contribution of non-exchangeable potassium on its quantity-intensity relationships under K-depleted soils. Archives of Agronomy and Soil Science, v. 64, n. 14, p. 1988-2004, 2018.
BILIAS, F; BARBAYIANNIS, N. Potassium availability: an approach using thermodynamic parameters derived from quantity-intensity relationships. Geoderma, v. 338, n. 16, p. 355-364, 20191
CARTER, M. R.; GREGORICH, E. G Soil sampling and methods of analysis. 2. ed. Boca Raton: CRC, 2007.
DITZLER, C; SCHEFFE, K.; MONGER, H. C. Soil survey manual. Washington, DC: United States Department of Agriculture, 2017.
ELRASHIDI, M. A.; WEST, L. T; SEYBOLD, C. A.; BENHAM, E. C; SCHOENEBERGER, P. J.; FERGUSON, R. Effects of gypsum addition on solubility of nutrients in soil amended with peat. Soil Science, v. 175, n. 4, p. 162-172,2010.
EVANGELOU, V P.; KARATHANASIS, A. D. Evaluation of potassium quantity-intensity relationships by a computer model employing the Gapon equation. Soil Science Society of America Journal, v. 50, n. 1, p. 58-62, 1986.
EVANGELOU, V. P.; WANG, J.; PHILLIPS, R. E. New developments and perspectives on soil potassium quantity/ intensity relationships. Advances in Agronomy, v. 52, n. 65, p. 173-227, 1994.
HERRERO, J.; ARTIEDA, O.; HUDNALL, W. H. Gypsum, a tricky material. Soil Science Society of America Journal, v. 73, n. 6, p. 1757-1763, 2009.
ISLAM, A.; KARIM, A. S.; SOLAIMAN, A. R. M.; ISLAM, M. S.; SALEQUE, M. A. Eight-year long potassium fertilization effects on quantity/intensity relationship of soil potassium under double rice cropping. Soil and Tillage Research, v. 169, n. 1, p. 99-117,2017.
ISMAEAL, A. S. Diagnostics and characterization of micro morphological features of some soil series in Baiji city, central. Tikrit Journal for Agricultural Sciences, v. 22, n. 2, p. 132-147, 2022.
JALALI, M. A study of the quantity/intensity relationships of potassium in some calcareous soils of Iran. Arid Land Research and Management, v. 21, n. 2, p. 133-141, 2007.
JOHNSON, R. A.; BHATTACHARYYA, G K. Statistics: principles and methods. 8. ed. Hoboken: John Wiley & Sons, 2019.
KAMAL, A. M.; RASHID, A. A. The nature of iron oxide distribution in some calcareous and gypsiferous soils. Tikrit Journal for Agricultural Sciences, v. 20, n. 2, p. 107-119,2020.
KHAN, S. A.; MULVANEY, R. L.; ELLSWORTH, T. R. Further insights into why potassium fertility is a paradox. Renewable Agriculture and Food Systems, v. 30, n. 2, p. 120-123,2015.
KHAN, S. A.; MULVANEY, R. L.; ELLSWORTH, T R. The potassium paradox: implications for soil fertility, crop production and human health. Renew able Agriculture and Food Systems, v. 29, n. 1, p. 3-27, 2014.
LIN, Y H. Effects of potassium behaviour in soils on crop absorption. African Journal of Biotechnology, v. 9, n. 30, p. 4638-4643, 2010.
PAGE, A. L.; MILLER, R H; KEENEY, D. R. Methods of soil analysis: chemical and microbiological properties. Madison: Soil Science Society of America, 1982.
PANDA, R.; PATRA, S. K. Quantity-intensity relations of potassium in representative coastal soils of eastern India. Geoderma, v. 332, n 16, p. 198-206, 2018.
SAMADI, A. Potassium exchange isotherms as a plant availability index in selected calcareous soils of western Azarbaij an province, Iran. Turkish Journal of Agriculture and Forestry, v. 30, n. 3, p. 213-222, 2006.
SHARMA, V; SHARMA, S.; ARORA, S.; KUMAR, A. Quantity-intensity relationships of potassium in soils under some guava orchards on marginal lands. Communications in Soil Science and Plant Analysis, v. 43, n. 11, p. 1550-1562, 2012.
SHIL, N. C; ALAM, K. M.; SALEQUE, M. A.; ISLAM, M. R.; JAHIRUDDIN, M. Quantity-to-intensity (Q/I) relationships can efficiently characterize intensively cultivated agricultural soils in Bangladesh for better potassium supplying capacity. Spanish Journal of Agricultural Research, v. 19, n. 2, ell03, 2021.
SPOSITO, G. The chemistry of soils. New York: Oxford University Press, 2008.
WANG, J. J.; HARRELL, D. L.; BELL, P. F. Potassium buffering characteristics of three soils low in exchangeable potassium. Soil Science Society of America Journal, v. 68, n 2, p. 654-661,2004.
YUAN, G; HUAN, W; SONG, H; LU, D.; CHEN, X.; WANG, H; ZHOU, J. Effects of straw incorporation and potassium fertilizer on crop yields, soil organic carbon, and active carbon in the rice-wheat system. Soil and Tillage Research, v. 209, el04958, 2021.
ZHU, D.; LU, J.; CONG, R.; REN, T; ZHANG, W.; LI, X. Potassium management effects on quantity/intensity relationship of soil potassium under rice-oilseed rape rotation system. Archives of Agronomy and Soil Science, v. 66, n 9, p. 1274-1287, 2020.