Special Supplement: Bioinputs in Agriculture
Can golden mussel shell be an alternative to limestone in soil correction?
Carapaça de mexilhão-dourado pode ser uma alternativa ao calcário na correção de solo?
Can golden mussel shell be an alternative to limestone in soil correction?
Pesquisa Agropecuária Tropical, vol. 53, e76123, 2023
Escola de Agronomia/UFG
Received: 14 May 2023
Accepted: 14 July 2023
Published: 13 September 2023
ABSTRACT: Golden mussel is an invasive species in South America that causes environmental and economic damage due to the formation of large colonies without natural predators. This study aimed to test the agricultural use of golden mussel shell as a limestone substitute, as the shell is rich in calcium carbonate. The experiment was carried out in pots, with eight treatments (sandy soil; clay soil; sandy soil + 1.0 Mg ha−1 of limestone; clay soil + 1.0 Mg ha−1 of limestone; sandy soil + 1.0 Mg ha−1 of fresh shell; clay soil + 1.0 Mg ha−1 of fresh shell; sandy soil + 1.0 Mg ha−1 of calcined shell; clay soil + 1.0 Mg ha−1 of calcined shell), in addition to the application of the following fresh and calcined shell doses: 0, 1.0, 1.5 and 2.0 Mg ha−1. Rice was cultivated in all treatments, and the soil fertility and rice shoot and root dry masses were evaluated. The shell provided good chemical conditions to the soils and raised their pH and phosphorus and calcium contents. The agricultural use of golden mussel shell showed to be efficient for soil correction and can be considered an alternative to limestone.
KEYWORDS: Limnoperna fortunei, resíduos ambientais, condicionantes de solo, carbonato de cálcio, acidez do solo.
RESUMO: O mexilhão-dourado é uma espécie invasora na América do Sul que causa prejuízos ambientais e econômicos, devido à formação de grandes colônias sem predadores naturais. Objetivou-se testar o uso agrícola de carapaça de mexilhão-dourado como substituto ao calcário, já que é rica em carbonato de cálcio. O experimento foi conduzido em vasos, com oito tratamentos (solo arenoso; solo argiloso; solo arenoso + 1,0 Mg ha−1 de calcário; solo argiloso + 1,0 Mg ha−1 de calcário; solo arenoso + 1,0 Mg ha−1 de carapaça in natura; solo argiloso + 1,0 Mg ha−1 de carapaça in natura; solo arenoso + 1,0 Mg ha−1 de carapaça calcinada; solo argiloso + 1,0 Mg ha−1 de carapaça calcinada), além da aplicação das seguintes doses de carapaça in natura e calcinada: 0; 1,0; 1,5; e 2,0 Mg ha−1. Cultivou-se arroz em todos os tratamentos e foram avaliadas a fertilidade do solo e a massa seca da parte aérea e das raízes do arroz. A carapaça proporcionou boas condições químicas aos solos, elevou o seu pH e os teores de fósforo e cálcio. A utilização agrícola da carapaça de mexilhão-dourado foi eficiente para a correção do solo e pode ser considerada uma alternativa ao calcário.
PALAVRAS-CHAVE: Limnoperna fortunei, environmental residues, soil amendment, calcium carbonate, soil acidity.
INTRODUCTION
Golden mussel (Limnoperna fortunei Dunker, 1857) is a bivalve mollusc from Asia and commonly found in Korea, China, Taiwan and Thailand. It was introduced in Argentina in 1991 and taken to Brazil by ballast water (Boltovskoy & Correa 2015, Xu et al. 2015). This exotic invasive species has a set of characteristics that facilitates a fast occupation of new areas due to its easy dispersion, high reproduction capacity and the almost total absence of predators (Sousa et al. 2014, Hermes-Silva et al. 2021).
Its excessive proliferation has already been reported in the reservoirs of the Brazilian hydroelectric power plants of Itaipu, Porto Primavera and Ilha Solteira (Linares et al. 2020), damaging the generation of electric energy (Fortunato & Figueira 2022), as it settles in grids and pipes. Fish farming, an economic activity that is booming in the Ilha Solteira reservoir (Zaniboni-Filho et al. 2018), has also been compromised, as the mollusc attaches itself to the screen of the net cages (Portinho et al. 2021).
Its control is carried out by removal with water jets, a process that must be carefully conducted, so that the mussels do not return to the waters (Portinho et al. 2021), requiring organization for its correct disposal. It is treated as organic waste, once removed from the net cages, composed of the mollusc and its shell.
Several environmental residues have been used as fertilizers and soil amendments (Hueso-Gonzaléz et al. 2018), such as aquatic macrophytes (Boni et al. 2020, Fardin et al. 2021), sewage sludge (Silva et al. 2022) and biochar (Kamali et al. 2022), improving the soil chemical and organic quality. Boni et al. (2020) found that the addition of 32 t ha−1 of aquatic macrophytes and 30 t ha−1 of sugarcane bagasse ash reduced the soil Al3+ from 9.3 to 1.7 mmolc dm−3 and increased the pH from 4.3 to 4.8, K+ from 0.4 to 1.5 mmolc dm−3, and Ca2+ from 1.3 to 8.7 mmolc dm−3.
The residue composed of golden mussel and its shell has relevant amounts of nitrogen, phosphorus and calcium carbonate (Boltovskoy et al. 2022). Maltoni et al. (2020) reported contents of P = 1.6 g kg−1, N (Kjeldahl method) = 23.0 g kg−1, Ca = 297 g kg−1, Mg = 460 mg kg−1, K = 551 mg kg−1, S = 2.1 g kg−1, Cu = 10.7 mg kg−1 and Zn = 508 mg kg−1, thus allowing to consider its agricultural use. This residue can contribute to soil fertilization and correction, as it adds P, N, Ca, Mg, K, S and Cu, neutralizes Al3+ with 1.8 t ha−1 of ground golden mussel shell or 1.8 t ha−1 of limestone, and raises the soil pH from 4.2 to 6.1 with 2 t ha−1 of ground golden mussel shell and 4.2 to 6.0 with 2 t ha−1 of limestone (Maltoni et al. 2020), which are interesting results for Brazilian soils, which are mostly acidic (Lopes & Guilherme 2016).
Golden mussel shell originates three products: calcium carbonate, known as limestone, also called shell flour, when the shell is only ground; calcium oxide or quicklime, where the shell is calcined at temperatures around 800 ºC, with thermal decomposition and the formation of calcium oxide and release of carbon dioxide (CO2); calcium hydroxide or hydrated lime, which originates from the hydration of CaO, whose manufacturing process is quite simple and requires only shells as raw material (Atkins & Jones 2006, Zhang et al. 2020). However, they need to be chemically analyzed before application, as they may present contaminants such as heavy metals (arsenic, cadmium, copper, tin, lead, mercury, chromium and nickel), toxic compounds, pathogens, disease vectors such as fecal coliforms and Salmonella sp., causing considerable impacts when added to soils (Ayilara et al. 2020, Sayara et al. 2020). The presence of these elements in the water allows the golden mussel to incorporate them into its shell, as it is a filter-feeding and resistant mollusc, accumulating compounds in the environment in which it lives (Lang et al. 2013). Thus, the agricultural use of this residue calls for attention to current legislation, monitoring its effects on soil and plants, as well as an analysis of the cost/benefit ratio, if compared to conventional practices (Maltoni et al. 2020).
Liming, a current agricultural practice, has the main objective of eliminating soil acidity and providing plants with calcium and magnesium, as well as increasing the efficiency of other fertilizers, and, consequently, crop yield and profitability (Huang et al. 2021). Calcium has the function of stimulating the root growth and, therefore, liming can promote a higher development of the root system, stimulating a better use of water and soil nutrients, and helping the plant to tolerate drought (Huang et al. 2021).
The shell could be used in agriculture particularly due to its richness in calcium carbonate as an amendment for soil acidity. The idea of using it as a limestone substitute for soil correction becomes interesting, considering the problem related to the mollusc in reservoirs, lakes and rivers (Linares et al. 2020), both from an environmental and economic point of view, as it is an organic waste in the process of disposal (Summa et al. 2022).
Thus, this study aimed to evaluate the use of golden mussel shell to correct the acidity of agricultural soils, seeking to promote the proper disposal of this residue.
MATERIAL AND METHODS
The experiment was carried out in pots (3.2 L of soil) under protected cultivation conditions at the Universidade Estadual Paulista, in Ilha Solteira, São Paulo state, Brazil, in 2019.
Two soils were selected for the experiment: a sandy soil [Neossolo Quartzarênico (Santos et al. 2018) or Quartzipsamment (USDA 2014); sand = 882 g kg−1; silt = 23 g kg−1; clay = 95 g kg−1] collected in Três Lagoas, Mato Grosso do Sul state, Brazil; and a clay soil [Latossolo Vermelho (Santos et al. 2018) or Oxisol (USDA 2014); sand = 566 g kg−1; silt = 64 g kg−1; clay = 370 g kg−1)] collected in Selvíria, Mato Grosso do Sul state. The Al3+ contents before the beginning of the experiment were 0.0 mmol dm−3 in the sandy soil and 3.3 mmol dm−3 in the clay soil.
The golden mussels were collected from fish farms located in the reservoir of the Ilha Solteira hydroelectric power plant, in Ilha Solteira (point 1 -20º26′09″S and 51º15′17″W; point 2 - 20º26′26″S and 51º14′53″W), at the confluence with the São José dos Dourados river. The collection was carried out immediately after cleaning the net tanks and left to dry in the air for 90 days. A dry material composed mostly of shells was obtained after this period. This material was ground (Willey knife mill) and sieved (0.250 mm mesh). Part of this material was calcined (550 ºC) in a muffle furnace for two hours, while the rest was kept fresh.
The evaluation of the possibility of using golden mussel shell (GMS) to replace limestone and comparing it with limestone is necessary to know its physicochemical composition (Table 1) and evaluate it in accordance with the current Brazilian legislation (Brasil 2016). The GMS was analyzed by the EPA-SW-846-3051a method, with determination by ICP-AES, according to the EPA-SW-846-6010c for metals, Kjeldahl method for nitrogen, moisture and volatile solids, and weight loss at 60 and 500 ºC, respectively. The pH was determined in aqueous extract at a 1:10 ratio (residue:water) (Andrade & Abreu 2006).

The treatments were established after the material preparation and physicochemical analysis using the sandy and clay soils and a single dose equivalent to 1 Mg ha−1 of limestone and fresh (GMS-F) or calcined (GMS-C) golden mussel shell (Table 2). The application of 0, 1.0, 1.5 and 2.0 Mg ha−1 of GMS-F and GMS-C was also evaluated.

Treatments with soil and limestone were used to compare the results. The limestone had the following composition: 28 % of CaO, 20 % of MgO and relative neutralizing power (PRNT) of 80.3. All the treatments had seven replications and were irrigated daily considering the soil water retention capacity (Donagemma et al. 2017), avoiding the occurrence of leaching.
The treatments were incubated for 30 days. Subsequently, the soil was fertilized, and rice (cultivar IAC 202) was sown using 10 seeds pot−1. Thinning was performed at 10 days after sowing, aiming to keep 7 plants pot−1. The plant species was selected as an indicator, as it has fast growth and reproduction cycles. Fertilization consisted of incorporating NPK + Mg into the soil at doses equivalent to 2.98 Mg ha−1 of monoammonium phosphate (4.77 g pot−1), 100 kg ha−1 of KCl (160 mg pot−1), 0.40 Mg ha−1 of MgSO4 (0.65 g pot−1) and 0.28 Mg ha−1 of urea (0.457 g pot−1), the latter topdressed at 10 days after sowing. Irrigation was conducted with purified water in a reverse osmosis system, avoiding the addition of chemical elements that might be present in the public supply water (Boni et al. 2015).
The soil was evaluated after 45 days of rice cultivation and 75 days after the beginning of incubation for phosphorus (P resin) and calcium (Ca2+) contents, pH, potential acidity (H + Al), effective cation exchange capacity (CEC), and iron (Fe) and manganese (Mn) contents (Raij et al. 2001).
The rice shoot dry mass production was also evaluated at the end of the cultivation period. For this purpose, all plants in each pot were collected, dried in a forced-air circulation oven at 60 ºC for 72 h or until constant weight, and weighed to obtain the dry mass.
The rice root dry mass production was also evaluated. The roots were separated from the soil by manual sieving, washed in running water, dried with paper towels to remove the water excess, dried in a forced-air circulation oven at 60 ºC for 72 h or until constant weight, and weighed again to obtain the root dry mass.
The experiment was conducted in a completely randomized design and the data subjected to analysis of variance by the F-test. When significant, the doses effects were analyzed by regression, and the correctives effects (limestone, GMS-F and GMS-C) analyzed by the Tukey mean test (p < 0.05), using the Sisvar statistical software (Ferreira 2019).
RESULTS AND DISCUSSION
The comparative evaluation of the application of limestone, fresh (GMS-F) or calcined (GMS-C) golden mussel shell, all at the same dose (1.0 Mg ha−1), showed that the fresh and calcined golden mussel shell corrected the pH and reduced the potential acidity of the sandy and clay soils, equaling or exceeding the effects promoted by limestone, a positive result from the point of view of soil correction and promising in terms of GMS use (Table 3).

The incorporation of GMS-F or GMS-C to the sandy soil provided similar or superior results to the application of limestone for P, pH, Ca, H + Al, CEC, Fe, shoot and root dry mass, indicating that their use is equivalent to using limestone for these variables (Table 3). The Mn contents remained the same as in the soil without correction (5.0 mg dm−3) with the addition of GMS-F (5.0 mg dm−3) or increased with GMS-C (7.5 mg dm−3). Although the Mn contents were higher than the results found with limestone, it can be considered a positive result, as these contents range from medium (1.3-5.0 mg dm−3) to high (> 5.0 mg dm−3) for most annual crops (Cantarella et al. 2022). Another aspect to be considered to avoid higher Mn contents would be to avoid calcining the GMS, as it has about 140 mg kg−1 of Mn, which can be more easily available after calcination (Pap et al. 2022), avoiding expenses with the process.
The application of GMS-F or GMS-C differed statistically from limestone for P and Ca2+ contents in the clay soil (Table 3), with higher P contents in the soil that received GMS-F (9.0 mg dm−3) or GMS-C (10.0 mg dm−3) than limestone (4.3 mg dm−3). Importantly, GMS has 1.6 g kg−1 of P (Table 1), contributing to the increases observed in the soil P contents. The same justification applies to the higher Ca2+ contents obtained with the addition of GMS-F or GMS-C (Table 3), as golden mussel shells contain 297 g kg−1 of Ca2+ (Table 1).
The variables CEC, H + Al, Fe and Mn contents, shoot and root dry mass showed no statistical differences among the soil amendments, that is, limestone, GMS-F and GMS-C produced equivalent effects when applied to the clay soil (Table 3).
Still in the clay soil, the pH (4.6) varied among amendments, with GMS-C raising the pH to 5.4 (Table 3), surp5.a5 ssing limestone (5.2) and GMS-F (5.2). Although significant, the variation is small. The increase in pH occurs when CaCO3 dissociates into Ca2+ and CO3 ions, with CO32− being responsible for neutralizing H+, forming HCO3− and OH+, which raise pH (Prezotti & Guarçoni 2013). The higher pH in the presence of GMS-C can be attributed to the partial shell calcination, a process that can provide a faster reaction with the soil (Pap et al. 2022). The increase in pH to 5.2 led to a reduction of Al3+ from 3.3 to 0 mmol dm−3, which occurs when Al3+ reacts with OH− ions, changing from Al3+ to Al(OH)3, which is insoluble in water, also contributing to reducing potential acidity (Rheinheimer et al. 2000, Bouray et al. 2022). This behavior relative to Al3+ was not observed in the sandy soil, with pH 5.2 and absent aluminum, without the introduction of amendments.
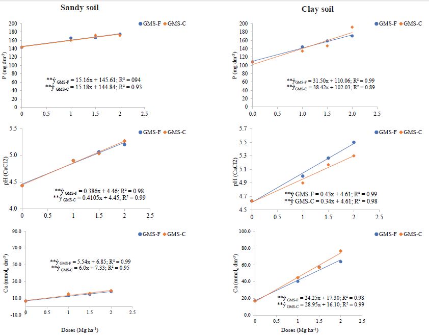
The amendments (GMS-F and GMS-C) were also evaluated at increasing doses of 0.0, 1.0, 1.5 and 2.0 Mg ha−1, both in sandy and clay soils, associated with the addition of NPK + Mg (Figures 1, 23) to guarantee minimum conditions for the initial rice growth.



The GMS-F and GMS-C doses provided similar effects for the sandy soil, with linear and positive responses for P, pH and Ca2+ contents (Figure 1), reduction in H + Al and Fe contents (Figure 2), and absence of effects on CEC, Mn, shoot and root dry mass (Figures 23), indicating that the use of GMS-F or GMS-C did not influence the plant biomass production. In the clayey soil, the GMS-F and GMS-C doses promoted increments in the P, pH, Ca2+ and CEC contents, reduced potential acidity and Fe and Mn contents, and also did not change the shoot and root dry mass.
The plant response in both the sandy and clay soils was indifferent to the use of GMS-F or GMS-C for shoot and root biomass production in rice (Figure 3). This lack of contribution to biomass production may be related not to the soil amendment used, but to factors such as sowing time, lack of water and inadequate fertilization (Aguiar et al. 2014, Pal et al. 2017). The most suitable time for sowing this cultivar is from mid-September to December (Aguiar et al. 2014). The present cultivation was conducted in June, thus out of the indicated time, what does not invalidate the results for the soil chemical aspects.
The GMS-F and GMS-C showed the same behavior in the sandy soil (Figures 1, 23) for all the analyzed variables (P, pH, Ca2+, H + Al, CEC, Fe, Mn, shoot and root dry mass). The clay soil showed significant variations only for Ca2+ (p-value = 0.0259) and Mn (p-value = 0.0251) contents (Figures 1, 23). The average Ca2+ contents in the presence of GMS-F (28.8 mmolc dm−3) are statistically different and lower, when compared with GMS-C (31.4 mmolc dm−3) in the clay soil. Submitting golden mussel shell to high temperatures, i.e., calcination, may have contributed to the observed difference, as a partial calcination (500 ºC, for 2 h) was conducted, which released carbon and produced CaO, leaving calcium more easily available.
The results were reversed for the Mn contents, that is, GMS-F led to 39.0 mg dm−3 of Mn and GMS-C to 35.1 mg dm−3. In this case, calcining golden mussel shell raised the pH, what contributed to reducing the Mn availability. However, considering the soils separately, in the clay soil, the Mn contents reached 64.5 mg dm−3 with GMS-C and 71.8 mg dm−3 with GMS-F. That did not occur in the sandy soil. In fact, the Mn contents are statistically equal (Mn = 5.8 mg dm−3 with GMS-C and 6.1 mg dm−3 with GMS-F), showing that the reactions are more intense in the clay soil due to the characteristics of its minerals, such as aluminosilicates and Fe and Al oxyhydroxides, which are highly reactive minerals that participate in ionic exchanges, adsorption of nutrients and water retention (Brady & Weil 2013).
The high Mn content observed in the clay soil without the addition of amendments (58.3 mg dm−3) decreased in the presence of GMS-F or GMS-C. However, they are still high (34.9-43.8 mg dm−3), as Mn contents in the soil varying between 1.3 and 5.0 mg dm−3 are considered medium, and above 5 mg dm−3 are considered high (Cantarella et al. 2022). The reduction observed in the Mn content of the clay soil was influenced by an increase in pH and reduction of H + Al, what helps in the availability of macronutrients, but reduces the contents of micronutrients such as Fe and Mn due to the reduction reaction and formation of less soluble or insoluble compounds, reducing their availability (Nachtigall et al. 2009, Prezotti & Guarçoni 2013).
The positive effects of applying golden mussel shell to the soil are similar both in the sandy and clay soils, standing out the Ca2+, Mn and CEC contents of the clay soil, which are higher than those observed in the sandy soil, what is attributed to the intrinsic soil characteristics. In other words, the higher amount of clays naturally present in clay soils provides a higher CEC and, consequently, a higher number of charge sites available for cations, i.e., Ca2+ and Mn in this case (Ronquim 2010).
Importantly, golden mussel shell not only corrects the soil, but has the potential to supply P, Ca2+ and other nutrients (Table 1), as also reported by Maltoni et al. (2020). These results are promising for the use of GMS-F and GMS-C to replace limestone, regarding soil correction. The set of observations presented in this study allows establishing strategies to continue the analysis of the use of GMS-F or GMS-C in sandy and clay-textured soils, chemically acid, and using diferent crops to evaluate the biomass production.
Furthermore, the results of the golden mussel shell analysis (Table 1) allow its use, considering the current legislation regulating the use of fertilizers and soil amendments (Brasil 2016). The next step to define the possibility of using golden mussel shell in agriculture should be the field test to evaluate its influence on the soil, plant, microorganisms and production under uncontrolled conditions.
CONCLUSIONS
ACKNOWLEDGMENTS
To the Laboratory of Pedology of the Department of Plant Health, Rural Engineering and Soils of the Universidade Estadual Paulista (Unesp)/Ilha Solteira Campus, for the support in the development of this research.
REFERENCES
AGUIAR, A. T. E.; GONÇALVES, C.; PATERNIANI, M. E. A. G. Z. P. Instruções agrícolas para as principais culturas econômicas. 7. ed. rev. e atual. Campinas: Instituto Agronômico, 2014. (Boletim, n. 200).
ANDRADE, J. C.; ABREU, M. F. (ed.). Análise química de resíduos sólidos para monitoramento e estudos agroambientais. Campinas: IAC, 2006.
ATKINS, P. W.; JONES, L. Princípios de química: questionando a vida moderna e o meio ambiente. 3. ed. Porto Alegre: Bookman, 2006.
AYILARA, M. S.; OLANREWAJU, O. S.; BABALOLA, O. O.; ODEYEMI, O. Waste management through composting: challenges and potentials. Sustainability, v. 12, n. 11, e4456, 2020.
BOLTOVSKOY, D.; CORREA, N. Ecosystem impacts of the invasive bivalve Limnoperna fortunei (golden mussel) in South America. Hydrobiologia, v. 746, n. 1, p. 81-95, 2015.
BOLTOVSKOY, D.; PAOLUCCI, E.; MACISAAC, H. J.; ZHAN, A.; XIA, Z.; CORREA, N. What we know and don’t know about the invasive golden mussel Limnoperna fortune. Hydrobiologia, v. 849, p. 1-48, 2022.
BONI, T. S.; MALTONI, K. L.; FEITOSA, D. G.; CASSIOLATO, A. M. R. Influência da qualidade da água em experimento conduzido em vasos. Cultura Agronômica, v. 24, n. 4, p. 343-354, 2015.
BONI, T. S.; MALTONI, K. L.; MIZOBATA, K. K. G. da S. Dipteryx alata seedlings nutritional status in a recovery area in the Brazilian Savannah. Floresta e Ambiente, v. 27, n. 2, e20180125, 2020.
BOURAY, M.; MOIR, J. L.; CONDRON, L. M.; LEHTO, N. J.; BAYAD, M.; GHAROUS, M. E.; MEJAHED, K. E. Effect of phosphogypsum application on aluminum speciation in acid pasture soils. Journal of Soils and Sediments, v. 22, n. 7, p. 1959-1975, 2022.
BRADY, N. C.; WEIL, R. R. Elementos da natureza e propriedades do solo. 3. ed. Porto Alegre: Bookman, 2013.
BRASIL. Ministério da Agricultura, Pecuária e Abastecimento. Instrução normativa nº 06, de 10 de março de 2016. Dispõe sobre as especificações e garantias, tolerâncias, registro, embalagem e rotulagem dos corretivos de acidez, de alcalinidade e de sodicidade e dos condicionadores de solo, destinados à agricultura. Diário Oficial da União, Brasília, DF, v. 132, p. 1-10, 2016.
CANTARELLA, H.; QUAGGIO, J. A.; MATOS JÚNIOR, D.; BOARETTO, R. M.; VAN RAIJ, B. Recomendações de adubação e calagem para o estado de São Paulo. Campinas: Instituto Agronômico, 2022. (Boletim, 100).
DONAGEMMA, G. K.; VIANA, J. H. M.; ALMEIDA, B. G. de; RUIZ, H. A.; KLEIN, V. A.; DECHEN, S. C. F.; FERNANDES, R. B. A. Análise granulométrica. In: TEIXEIRA, P. C.; DONAGEMMA, G. K.; FONTANA, A.; TEIXEIRA, W. G. (ed.). Manual de métodos de análise de solos. 3. ed. Brasília, DF: Embrapa, 2017. p. 95-116.
FARDIN, F. H.; MALTONI, K. L.; BONI, T. S.; FARIA, G. A.; REZENDE, A. A. Restauração ecológica de subsolo exposto condicionado com resíduos no Cerrado. Scientia Forestalis, v. 49, n. 130, e34522021, 2021.
FERREIRA, D. F. Sisvar: a computer analysis system to fixed effects split plot type designs. Revista Brasileira de Biometria, v. 37, n. 4, p. 529-535, 2019.
FORTUNATO, H. F. de M.; FIGUEIRA, R. M. A. Freshwater sponges overgrow the invasive golden mussel Limnoperna fortunei in the upper Paraná river, Brazil. Marine and Freshwater Research, v. 73, n. 11, p. 1393-1398, 2022.
HERMES-SILVA, S.; RIBOLLI, J.; ÁVILA-SIMAS, S.; ZANIBONI-FILHO, E.; CARDOSO, G. F. M.; NUÑER, A. P. O. Limnoperna fortunei: updating the geographic distribution in the Brazilian watersheds and mapping the regional occurrence in the upper Uruguay river basin. Biota Neotropica, v. 21, n. 3, e20201175, 2021.
HUANG, X.; MUNEER, M. A.; LI, J.; HOU, W.; MA, C.; JIAO, J.; CAI, Y.; CHEN, X.; WU, L.; ZHENG, C. Integrated nutrient management significantly improves pomelo (Citrus grandis) root growth and nutrients uptake under acidic soil of southern China. Agronomy, v. 11, n. 6, e1231, 2021.
HUESO-GONZÁLEZ, P.; MUÑOZ-ROJAS, M.; MARTÍNEZ-MURILLO, J. F. The role of organic amendments in drylands restoration. Current Opinion in Environmental Science and Health, v. 5, n. 1, p. 1-6, 2018.
KAMALI, M.; SWEYGERS, N.; AL-SALEM, S.; APPELS, L.; AMINABHAVI, T. M.; DEWIL, R. Biochar for soil applications-sustainability aspects, challenges and future prospects. Chemical Engineering Journal, v. 428, e131189, 2022.
LANG, J.; COLETTI, K. B.; AGUSTINI, M. A. B.; HEBERLE, K. Mexilhão dourado como bioindicador da qualidade da água do lago de Itaipu em São Miguel do Iguaçu, PR. Revista Cultivando o Saber, v. 6, n. 4, p. 85-95, 2013.
LINARES, M. S.; MACEDO, D. R.; MASSARA, R. L.; CALLISTO, M. Why are they here?: local variables explain the distribution of invasive mollusk species in neotropical hydropower reservoirs. Ecological Indicators, v. 117, e106674, 2020.
LOPES, A. S.; GUILHERME, L. G. A career perspective on soil management in the Cerrado region of Brazil. In: SPARKS, D. L. (ed.). Advances in agronomy. Delaware: Academic Press, 2016. p. 1-72.
MALTONI, K. L.; OLIVEIRA, N. F. de.; BONI, T. S.; FARIA, G. A.; CASSIOLATO, A. M. R. Use of the golden mussel shell as a limestone substitute in soil correction and calcium supply. Research, Society and Development, v. 9, n. 11, e93291110396, 2020.
NACHTIGALL, G. R.; NOGUEIROL, R. C.; ALLEONI, L. R. F. Extração sequencial de Mn e Zn em solos em função do pH e adição de cama-de-frango. Revista Brasileira de Engenharia Agrícola e Ambiental, v. 13, n. 3, p. 240-249, 2009.
PAL, R.; MAHAJAN, G.; SARDANA, V.; CHAUHAN, B. S. Impact of sowing date on yield, dry matter and nitrogen accumulation, and nitrogen translocation in dry-seeded rice in north-west India. Field Crops Research, v. 206, n. 1, p. 138-148, 2017.
PAP, S.; GAFFNEY, P. P.; BREMNER, B.; SEKULIC, M. T.; MALETIC, S.; GIBB, S. W.; TAGGART, M. A. Enhanced phosphate removal and potential recovery from wastewater by thermo-chemically calcinated shell adsorbents. Science of the Total Environment, v. 814, e152794, 2022.
PORTINHO, J. L.; SILVA, M. S. G. M.; QUEIROZ, J. F.; BARROS, I.; GOMES, A. C. C.; LOSEKANN, M. E.; KOGA-VICENTE, A.; SPINELLI-ARAUJO, L.; VICENTE, L. E.; RODRIGUES, G. S. Integrated indicators for assessment of best management practices in tilapia cage farming. Aquaculture, v. 545, e737136, 2021.
PREZOTTI, L. C.; GUARÇONI, A. M. Guia de interpretação de análise de solo e foliar. Vitória: Incaper, 2013.
RAIJ, B. V.; ANDRADE, J. C.; CANTARELLA, H.; QUAGGIO, J. A. Análise química para avaliação da fertilidade de solos tropicais. Campinas: Instituto Agronômico, 2001.
RHEINHEIMER, D. dos S.; SANTOS, E. J. da S.; KAMINSKI, J.; XAVIER, F. M. Aplicação superficial de calcário no sistema plantio direto consolidado em solo arenoso. Ciência Rural, v. 30, n. 2, p. 263-268, 2000.
RONQUIM, C. C. Conceitos de fertilidade do solo e manejo adequado para as regiões tropicais. Campinas: Embrapa Monitoramento por Satélite, 2010. (Boletim de pesquisa e desenvolvimento, 8).
SANTOS, H. G. dos; JACOMINE, P. K. T.; ANJOS, L. H. C. dos; OLIVEIRA, V. A. de; LUMBRERAS, J. F.; COELHO, M. R.; ALMEIDA, J. A. de; ARAUJO FILHO, J. C. de; OLIVEIRA, J. B. de; CUNHA, T. J. F. Sistema brasileiro de classificação de solos. 5. ed. Brasília, DF: Embrapa, 2018.
SAYARA, T.; BASHER-SALIMIA, R.; HAWMDE, F.; SÁNCHEZ, A. Recycling of organic wastes through composting: process performance and compost application in agriculture. Agronomy, v. 10, n. 11, e1838, 2020.
SILVA, P. S. T.; PRATES, A. R.; FERNANDES, D. M.; CASSIOLATO, A. M. R.; MALTONI, K. L. Microrganismos e lodo de esgoto compostado no desenvolvimento inicial de mudas de baru em vasos. Engenharia Sanitária e Ambiental, v. 27, n. 5, p. 1021-1029, 2022.
SOUSA, R.; NOVAIS, A.; COSTA, R.; STRAYER, D. L. Invasive bivalves in fresh waters: impacts from individuals to ecosystems and possible control strategies. Hydrobiologia, v. 735, n. 1, p. 233-251, 2014.
SUMMA, D.; LANZONI, M.; CASTALDELLI, G.; FANO, E. A.; TAMBURINI, E. Trends and opportunities of bivalve shells’ waste valorization in a prospect of circular blue bioeconomy. Resources, v. 11, n. 5, e1100048, 2022.
UNITED STATES DEPARTMENT OF AGRICULTURE (USDA). Soil Survey Staff. Keys to soil taxonomy. 12. ed. Washington, DC: USDA, 2014.
XU, M.; WANG, Z.; ZHAO, N.; PAN, B. Growth, reproduction, and attachment of the golden mussel (Limnoperna fortunei) in water diversion projects. Acta Ecologica Sinica, v. 35, n. 4, p. 70-75, 2015.
ZANIBONI-FILHO, E.; PEDRON, J. D. S.; RIBOLLI, J. Opportunities and challenges for fish culture in Brazilian reservoirs: a review. Acta Limnologica Brasiliensia, v. 30, e302, 2018.
ZHANG, Y.; CHEN, D.; LIANG, Y.; QU, K.; LU, K. Study on engineering properties of foam concrete containing waste seashell. Construction and Building Materials, v. 260, e119896, 2020.