Detección de defectos en textiles mediante técnicas espaciales para análisis de textura
Defect detection in textiles using special techniques fortexture analysis
Detección de defectos en textiles mediante técnicas espaciales para análisis de textura
Tecnura, vol. 20, núm. 47, pp. 97-106, 2016
Universidad Distrital Francisco José de Caldas
Recepción: 15 Octubre 2014
Aprobación: 18 Septiembre 2015
Financiamiento
Fuente: Universidad Antonio Nariño
Resumen: En el siguiente trabajo se presenta la utilizacion de tecnicas espaciales de analisis de textura en imágenes para la identificacion de defectos en textiles, en donde se presenta la aplicacion de técnicas para pre-procesamiento, y para el analisis de textura los patrones locales binarios y la matriz de co-ocurrencia con fin de extraer caracteristicas resaltar las diferencias e identificar los defectos en textiles haciendo uso del clasificador basado en la distancia de mahalanobis.
Palabras clave: analisis de textura, distancia de mahalanobis, defectos en textiles, matriz de co-ocurrencia, patrones locales binarios, filtrado de imagenes.
Abstract: This paper presents the use of spatial analysis techniques texture images for defects identification in textiles, where the application of pre-processing techniques is presented, and the analysis of texture local binary patterns and co-occurrence matrix to extract features to highlight differences and identify defects in textiles using classifier based on the Mahalanobis distance.
Keywords: Co-occurrence matrix, defects in textiles, Mahalanobis distance, pre-processing, local binary patterns, texture analysis.
INTRODUCCIÓN
El sector textil ha presentado cambios a traves de los anos, debido a factores como: la demanda, la globalizacion, la cantidad elevada de productores y cambios en la moda, lo que hace de esta industria un sector receptivo al cambio y en el que la innovacion plantea mejoras en los diferentes procesos (Supersociedades, 2013).
En el proceso que las maquinas de hilar fibras realizan, es posible que se puedan presentar diferentes tipos de defectos que generan fallas en el tejido. Por lo general, para su identificacion, una persona (operario) hace una inspeccion visual en busca de dichos defectos. En ocasiones, este tipo de control es insuficiente, pues los imperfectos son demasiado pequenos y no se perciben a simple vista, o porque la fatiga del inspector de calidad impide la identificacion (Che-Seung, Byeong-Mook y Moo-Jin, 2005).
Para la inspeccion automatica de los defectos, en el mercado encontramos diferentes soluciones para la industria textil (Ullua y Rodriguez, 2009), en las cuales se han implementado diferentes tecnicas de procesamiento de imagenes para la deteccion de los defectos. En la literatura hay propuestas basadas en la transformada de Fourier (Chi-Ho y Pang, 1999), transformada wavelet (Sungshin, Hyeon, Seong-Pyo y Kwang-Baek, 2005), demodulacion AM-FM (Ullua y Rodriguez, 2009), entre otros.
Anterior a este proyecto se desarrollo un estudio de tecnicas de analisis de imagenes para la identificación de defectos en textiles (Fernandez y Alvarado, 2010), en donde se clasificaban las imágenes en dos clases: defectos y sin defectos (figura 1); los resultados obtenidos de porcentaje de acierto se muestran en la tabla 1. Las tecnicas, matriz de co-ocurrencia (GLCM) y patrones locales binarios (LBP) presentaron mejores resultados en porcentaje de clasificacion y en tiempo de procesamiento, comparadas con el analisis de la energia de Laws.
En este articulose presentan los resultados de la continuacion de la evaluacion de alternativas de las tecnicasespaciales de analisis de textura, en donde se buscaidentificar los diferentes tipos de defectos que se producen en la fabricacion de telas.
METODOLOGÍA
En este trabajo se utiliza la base de datos texUANque cuenta con cerca de 2000 imágenes, las cuales representan muestras de telaque no tienen estampados ni adiciones de color y que fueron suministradas porempresas textiles de la ciudad de Ibagué (Tolima). Dicha base de datos estácompuesta, originalmente, por imágenes de 640×480; se elaboró un subconjunto deimágenes de 100×100 divididas en las siguientes clases de imágenes: pique con434, barrado con 421, mariposeo con 440, mota tejida con 318, mancha con 342, sindefecto con 1041, que corresponden a los diferentes tipos de defectos deestudio. En la figura 1 se pueden observar las imágenes de 640×480, y en lafigura 2 las diferentes clases de las imágenes de 100×100.


El sistema propuesto se desarrolla en tres etapas: en la primera se analizan diferentes técnicas de filtrado para homogenizar la superficie de las imágenes; en la segunda se estudian técnicas espaciales de análisis de textura, y en la tercera se utiliza un sistema de clasificación y la matriz de confusión para verificar el funcionamiento del sistema de detección de defectos en textiles.
TÉCNICAS DE FILTRADO DEIMÁGENES
En el proceso de adquisicion de las imagenes de la base de datos, el sistema de iluminacion utilizado permitio la influencia de luz del entorno con el objetivo de simular un ambiente industrial, debido a esto las imagenes presentan diferencias en contraste y brillo. Para atenuar estas variaciones se buscaron diferentes alternativas para estabilizar los niveles de gris en la imagen.
Filtro basado en latransformada “wavelet”
Se propone la utilizacion de un filtrobasado en la transformada wavelet, que busca mejorar la distribucion de los niveles de gris de la superficie. Serealiza inicialmente un filtro para atenuar los niveles altos de iluminacion mediante una wavelet Daubechies; en la caso de losniveles bajos de luminosidad se utiliza la wavelet Haar, donde se descarta la componente de bajafrecuencia para obtener un realce de los niveles. En las figuras 3(b) y 3(c) seobserva la imagen de salida y la superficie la imagen de la figura 3(a)aplicando esta tecnica.

Filtro espacialpromedio
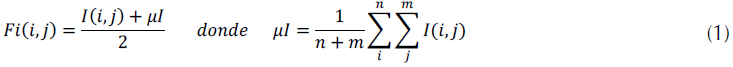
Para mejorar tanto la distribucion delos niveles de gris de la imagen como la caracterizacionde la textura, se implemento un filtro espacialutilizando el concepto del filtro promedio. Lo que seplantea inicialmente es el calculo de la media (μ) de la imagen, luego se busca que cada pixel este a menor distanciacon respecto a la media. Al aplicar este concepto, se tiene una imagen compactay corrige algunos problemas de iluminacion de laimagen. En la ecuacion (1) se define matemáticamenteel funcionamiento del filtro y en la figura 3(d) y 3(e) la imagen de salida yla superficie de la figura 3(a) aplicando esta tecnica.

TÉCNICAS ESPACIALES DEANÁLISIS DE TEXTURA
Matriz de co-ocurrencia(GLCM)
La tecnica matriz de co-ocurrencia analiza las repeticiones de la distribucion de los niveles de gris que se presentan en una imagen, en funcion del pixel de interes y el pixel adyacente denominado vecino; la informacion recopilada en esta matriz describe la relacion de los pixeles en una condición especifica de textura.
Para realizar este analisis, la tecnica se puede definir en la siguiente secuencia de pasos:
La distancia del pixel de interes alvecino.
El angulo (Θ) para establecer el patron de analisis.
Los niveles o el numerode bits de profundidad de la imagen.
Recorrer la imagen para recopilar la información en la matriz.
Utilizacion de los descriptores.
La distancia espacial interpixel sirvede referencia para el tamano de la ventana; losvalores de esta varian en numerosimpares iniciando en 3×3 hasta 21×21 (Haralick, Shanmugam y Dinstein, 1973). El angulo puede tomar valores de 0o, 45o, 90o, y 135o; alvariar estos valores es posible caracterizar diferentes tipos de textura opatrones de una textura en particular. En la figura 4 se observa la distribucion de los angulos enuna venta de 3×3.

Los niveles de la matriz GLCM se definen como 2n, en donde ndepende de la profundidad de la imagen (numero debits). Por lo general, el análisis de la textura se realiza en imagenes a escala de grises (8 bits), en este caso, el numero de niveles es de 256. En latabla 2 se presenta un ejemplo de la distribución de las posibles combinacionespresentes en una textura de 5 niveles para matriz GLCM. Por lo cual para 256niveles obtenemos una matriz de tamano 256×256 quecontiene la informacion de la distribucionespacial, en una distancia y angulo especifico. Por ultimo, se utilizan algunos descriptores de textura (Haralick, 1979) como energia, entropia, contraste, correlaciony homogeneidad.

Patrones localesbinarios (LBP)
El operador de analisis de textura LBP esta definido como una medida invariante a la escala de grises, derivado de una definicion general de la textura en una vecindad local (Alvarado y Fernandez, 2010). La propuesta original (Ojala, Pietikainen y Harwood, 1999) consiste en la comparación de pixel central con los vecinos, en donde el pixel central es tomado como el umbral con respecto a sus vecinos. Al comparar el pixel central con el vecino se le asigna un valor de uno (1) si el vecino es mayor o igual; en caso contrario, se le asigna un valor de cero (0). A cada resultado del umbral se le asigna un peso de 2n, en donde n depende de la posicion del vecino con respecto al pixel central. Por último, se realiza una suma de los diferentes pesos obteniendo la representación LBP de pixel.
El funcionamiento del operador original se presenta en la figura 5, donde se analiza una ventana de tamano 3×3 y la relacion del pixel central en esta caso con sus 8 vecinos. El equivalente LBP para los valores de la figura 5(b) se presentan en la ecuacion (2).


Posteriormente, del operador LBP original se deriva uno nuevo, que modifica los tamaños de la ventana y el número de vecindades para pixel de interés (Mäenpää, 2003). Para esta derivación se definen unos parámetros denominados R y P, donde R corresponde a la distancia (radio) a partir del pixel de origen al vecino y P el número de vecinos utilizados para el cálculo de LBP.
La distancia y la distribución de los vecinos P se encuentran igualmente espaciados y repartidos en una circunferencia simétrica que se construye a partir del valor de R, para valores de R>0 y P>1. Al modificar P y R se pueden obtener diferentes medidas de textura del área de interés. En la figura 6 se puede observar la distribución de los vecinos para diferentes valores de R y P.

La distribucion circular de los pixelesvecinos se realiza mediante la ecuacion (3), con laque se establece una aproximacion inicial de laubicación de los vecinos, a lo que es necesario complementarlo con un procesode interpolacion para definir las coordenadas (x.y) de los vecinos:

Por ultimo, la derivacion del operador LBP para una imagen se define en la ecuacion (4).

Patrones localesbinarios invariantes a la rotación
El trabajo de Ojala, Pietikainen y Maenpaa (2002) plantea un operador derivado del modelo LBPP,R; en este se considera cada pixel como un centro degiro y se incorpora el concepto de la rotacioninvariante local utilizando la forma circular de la relacioncon sus vecinos; se establecen patrones de textura definidos de la formacircular del operador, que analiza las diferencias de textura debido a cambiosen las posiciones relativas de una fuente de luz y el objeto de analisis. No considera los cambios producidos por loselementos de captura que son causados por los efectos de digitalizacion.Para este operador, el parametro P, ademas del numero de vecinos,define los niveles del operador, en el caso de P = 8, el valor cada LBPtiene 8-bits, lo que representa 256 niveles y 36 unicospatrones locales de invariantes en su rotación (Ojala, Pietikaineny Maenpaa, 2002). En la figura 7 se ilustran seistipos de patrones de texturas invariantes en su rotacion.

El operador
para P = 8 se puede representarcomo un histograma de 36 distribuciones, en donde se resumen las repeticionesde los diferentes patrones ri36, matematicamentese define en la ecuacion (5).

Donde ROR(LBP8,R)realiza una rotacion bit a bit de cada patron ri36; el numero derotaciones posibles puede variar dependiendo del cada patrón entre 0 a 7. En lafigura 8 se observa el funcionamiento para ri7.

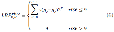
El operador LBPri36 posteriormente se le incorpora un concepto adicional de la uniformidad, en donde se realiza una division de los tipos de patrones definidos originalmente en el operador; este establece dos clases (Topi, Timo, Matti y Maricor, 2000): la primera compuesta de 9 texturas que forman un subconjunto de las texturas denotadas como uniformes; el segundo subconjunto conformado por las 27 texturas restantes denominadas no uniformes. Esta metodologia se considera una descripcion robusta y eficiente que puede alcanzar mejores indices de clasificacion. Para este operador se obtiene un histograma de 10 distribuciones las cuales corresponden 9 al primer subconjunto y las restantes 27 a la distribucion faltante; el operador LBP invariante en la rotacion uniforme se denota en la ecuacion (6):

MÉTODO DE CLASIFICACIÓN
Para el sistema de clasificacion se utiliza el concepto de la distancia de Mahalanobis (1936), que es usado frecuentemente para medir la distancia entre un individuo y el centro de la poblacion de donde procede el individuo. Este concepto permite establecer la semejanza de un individuo con el resto de la poblacion (Mahalanobis, 1936), cada patron seleccionado aleatoriamente se define como un vector xi = (xi(1),xi(2),....,xi(n)), para una población con centro μi = (μi(1),μi(2),....,μi(n)), y una matriz de covarianzas Σ.
El sistema propuesto busca establecer si la imagen presenta algun defecto y a que tipo de defecto corresponde. Las clases establecidas son: (1) sin defecto, (2) barrado, (3) mancha, (4) mariposeo, (5) mota tejida y (6) pique. Al presentar una imagen de entrada aleatoria, el proceso de clasificación consiste en una fase de aprendizaje y una fase de clasificacion.
Fase de aprendizaje
Se toman N imagenes que pertenecen a cada clase; a cada imagen se le extrae el vector característico xi definido por el tipo de tecnica de analisis de textura; cada vector se recopila en una matriz M representada en la ecuacion (7).

Se le calcula a M el vector de media μi y la matriz inversa de covarianza Σ−1 para cada clase.
Se almacenan los vectores de media μi y la matriz inversa de covarianza Σ−1 para cada clase.
Fase de clasificación
En este paso se realiza tambien la extraccion del vector de caracteristicas de cada imagen a clasificar xi.
Se calcula la distancia de Mahalanobis di entre el vector de caracteristicas xi, el vector media μi y la matriz inversa de covarianza Σ−1, en donde obtenemos un vector D = [di(1),di(2),di(3),di(4),- di(5),di(6)] que corresponde a las distancias de la imagen de entrada con cada clase.

Por ultimo, se incorporoun algoritmo de competencia para determinar la pertenencia de los datos a unaclase determinada. De esta manera es posible establecer la clase a la quepertenece una imagen para los diferentes tipos de defectos establecidos.
RESULTADOS
Para la validacion de los resultados seutilizaron las imagenes de la base de datos texUAN, donde 50 % de las imagenes de cadaclase son usadas para el entrenamiento, y el porcentaje restante, para la clasificacion. Para establecer los porcentajes de aciertose utilizo el concepto de matriz de confusión (Umbaugh, 2010) para las seis clasesestablecidas. En la tabla 3 se muestra la matriz de confusionutilizando el filtro promedio y la tecnica 

Los resultados obtenidos para la tecnicade patrones locales binarios (LBP) y sus extensiones se resumen en la tabla 4;las imagenes sin ninguntipo de filtrado, en la tabla 5, y en la tabla 6 se muestran los resultadosaplicando los dos tipos de filtrado descritos.



En el caso de la matriz de co-ocurrencia (GLCM), se analizaron los resultados para las posibles combinaciones de GLCM 0o, GLCM 45o, GLCM 90o y GLCM 135o, y cada uno de estos, para un total 15 posibilidades. En la tabla 7 se muestran las cuatro opciones que presentan mayores porcentajes de acierto, mediante la técnica de filtrado basada en el filtro wavelet que presento mejores resultados para esta técnica.

CONCLUSIONES
Las técnicas de filtrado utilizadas mejoran el porcentaje de acierto de las técnicas de análisis de textura. Para los patrones locales binarios el filtro promedio y en la matriz de co-ocurrencia el filtro wavelet, incrementaron el porcentaje de acierto en la identificación de los defectos en la tela. En la identificación de los diferentes defectos de estudio el filtro wavelet aumenta el porcentaje de acierto en la clasificación del mariposeo y la mota tejida, el filtro promedio en imágenes sin defecto, y sin utilizar filtros el barrado, la mancha y el pique.
Para la matriz de coocurrencia se exploraron deferentes alternativas para mejorar el porcentaje de acierto, dentro de las cuales la que mostro mejores resultados de clasificación fue la combinación de las cuatro componentes de GLCM 0o, 45o, 90o, 135o. En resumen, la técnica no resulto ser tan eficiente para detección de los diferentes defectos textiles de las imágenes analizadas.
La derivación original del operador LBP no fue eficiente para la identificación de defectos en textiles debido a que la información recopilada es una descripción general de la textura, y las características de las imágenes de estudio presentan una similitud que no se puede establecer con este método. Por otra parte las extensiones derivadas de LBPri36 y LBPriu2 presentaron mejores porcentajes en la clasificación, donde ri36 resulto ser la técnica con mejores resultados en la identificación de defectos en textiles, ya que a través de esta se busca caracterizar las texturas uniformes y no uniformes presentes en la imagen.
Agradecimientos
Este proyecto fue financiado por la Universidad Antonio Narino en la convocatoria interna para proyectos deinvestigación.
Referencias
Alvarado, J.D. & Fernandez, J. (2012). Analisis de textura en imagenes a escala de grises, utilizando patrones locales binarios (LBP). Revista ENGI 1(1), 1-6. Recuperado de: http://revistas_electronicas. unicundi.edu.co/index.php/Revistas_electronicas/ article/view/5/5
Che-Seung, C.; Byeong-Mook, C. & Moo-Jin, P. (2005, Aug). Development of Real-Time Vision-Based Fabric Inspection System. Industrial Electronics, IEEE Transactions on 52(4), 1073-1079. DOI:10.1109/ TIE.2005.851648
Chi-Ho, C. & Pang, G. (1999). Fabric defect Detection by Fourier Analysis. Industry Applications Conference, 3, 1743-1750. DOI: 10.1109/IAS.1999.805975
Fernandez, J. & Alvarado, J.D. (2010). Estudio comparativo de tecnicas espaciles para la identificacion de defectos en textiles. ITECKNE 7(1), 75-82. Recuperado de: http://revistas.ustabuca.edu.co/index.php/ ITECKNE/article/download/354/316
Haralick, R.M. (1979). Statistical and Structural Approaches to Texture. Proceedings ofthe IEEE 67(5), 786- 804.DOI:10.1109/PROC.1979.11328
Haralick, R.; Shanmugam, K. & Dinstein, I. (1973). Texture Features for Image Classification. Systems, Man and Cybernetics, SMC, 3, 610-621. DOI:10.1109/ TSMC.1973.4309314
Maenpaa, T. (2003). The Local Binary Pattern Approach to Texture Analysis–Extensions and Applications. Dissertation, Acta Univ Oul C 187, 78 p + App.: University of Oulu.
Mahalanobis, P. C. (1936). On the Generalized Distance in Statistics. Proceedings of the National Institute of Sciences II(1), 49-55.
Ojala, T.; Pietikainen, M. & Harwood, D. (1999). A Comparative Study of Texture Measures with Classification Based on Featured Distributions. Pattern Recognition 29(1), 51-59. DOI:10.1016/0031-3203(95)00067-4.
Ojala, T.; Pietikainen, M. & Maenpaa, T. (2002). Multiresolution Gray-Scale and Rotation Invariant. Texture Classification with Local Binary Patterns. Pattern Analysis and Machine Intelligence, IEEE Transactions on 24(7), 971-987. DOI:10.1109/ TPAMI.2002.1017623
Sungshin, K.; Hyeon, B.; Seong-Pyo, C. & Kwang- Baek, K. (2005). On-line Fabric-Defects Detection Based on Wavelet Analysis. En ICCSA.Computational Science and Its Applications, 3483, 1075-1084). Berlin: Springer Berlin Heidelberg. DOI:10.1007/11424925
Superintendencia de Sociedades. (2013). Desempeño del sector textil confeccion 2008-2012. Bogota D.C.: Delegatura de Asuntos Economicos y Contables, Grupo de Estudios Economicos y Financieros.
Topi, M.; Timo, O.; Matti, P. & Maricor, S. (2000). Robust Texture Classification by Subsets of Local Binary Patterns. Pattern Recognition, 2000. Proceedings. 15th International Conference on 3, 935-938. doi:10.1109/ICPR.2000.903698
Ullua, A. & Rodriguez, P. (2009). Deteccion automática de defectos en telas basado en la demodulación AM-FM. Ibero-American Conference on Trends in Engineering Education and Collaboration.
Umbaugh, S. E. (2010). Digital Image Processing and Analysis: Human and Computer Vision Applications with CVIPtools. Boca Raton: CRC Press.
Notas de autor