Estudio de caso
DOI: https://doi.org/10.14483/udistrital.jour.tecnura.2016.4.a06
Resumen: Contexto: El presente artículo muestra un método de evaluación del impacto de la penetración de energía solar fotovoltaica sobre los sistemas de distribución. La evaluación considera la minimización del costo de pérdidas de energía para el período de vida útil de los Paneles Fotovoltaicos (PFV) e incluye el cálculo del valor presente de los costos totales por compra de energía, e inversión, operación y mantenimiento de los PFV. Método: Los parámetros para la simulación se basan en estudios recientes en Colombia, con el fin de proponer alternativas más realistas. El problema de optimización se resuelve utilizando un algoritmo genético especializado y el método se prueba sobre el sistema de prueba de 37 nodos de la IEEE, modificado para incluir comportamiento de cargas residenciales e industriales. Resultados: Se presenta gráficamente la disminución de las pérdidas en el sistema de prueba a medida que se incrementa el número de barras con PFV. Los nodos más alejados de la fuente de alimentación son más atractivos para la ubicación de PFV en términos de inversión y costo total de la energía. Conclusiones: Los resultados de la evaluación llevan a una reducción de las pérdidas técnicas en las líneas además de mostrar las ventajas del soporte local de potencia reactiva. Según el escenario se observa que es posible generar con PFV obteniendo un retorno de la inversión desde la óptica del operador como inversionista.
Palabras clave: Energía solar fotovoltaica, pérdidas de energía, algoritmo genético, sistemas de distribución.
Abstract: Context: This article presents an evaluation method for penetration of solar photovoltaic energy in distribution systems. This evaluation considers cost minimization of energy losses during the lifetime of the solar photovoltaic panels and includes calculation of total costs of energy, and investment, operation and maintenance of the panels. Method: The parameters used in this study are based on recent studies in Colombia with the purpose of proposing more realistic alternatives. The optimization problem is solved using a specialized genetic algorithm and the method is tested on the IEEE 37-bus test-system modified, to include behavior of residential and industrial loads. Results: Power losses in feeders are graphically presented as a relationship with the number of buses with photovoltaic panels. The farther buses from the power supply are more attractive for the location of photovoltaic panels in terms of investment and total cost of energy. Conclusions: Results of the evaluation presents a reduction of power losses in lines. In addition, it shows the advantages of local reactive power support. According to the scenario, it shows that it is possible to generate with photovoltaic panels obtaining an investment return from the perspective of the network operator and investor.
Keywords: Solar photovoltaic energy, genetic algorithm, energy losses.
INTRODUCCIÓN
Los sistemas eléctricos han sido objeto de importantes cambios en los últimos años en áreas asociadas a la regulación, operación y la planeación. Parte de estos cambios se deben al creciente interés por minimizar los impactos ambientales asociados a la generación de energía con combustibles fósiles. Este hecho ha motivado a diferentes sectores hacia el desarrollo y promoción de las energías renovables en diferentes etapas del sistema, como una de las soluciones para mitigar las emisiones de gases de efecto invernadero.
Una de estas alternativas es la generación distribuida (GD) basada en energías renovables, cuya filosofía es ubicar fuentes de energía más cercanas a los centros de consumo (Walling et al., 2008). A través de esta alternativa no solamente se pueden obtener beneficios desde el punto de vista ambiental, sino que también se tienen beneficios técnicos y económicos, como: reducción de la energía transportada a través de la red de transmisión y la transformada en las subestaciones de distribución, aumento de la vida útil de los equipos, mejoramiento de los perfiles de tensión, reducción de pérdidas, reducción en las necesidades de expansión, control de inyección de reactivos, entre otros (Zobaa y Cecati, 2006).
Diferentes estudios han abordado la GD para cuantificar los beneficios en la red y las estrategias de inclusión. Por ejemplo, en Sadeghi y Kalantar (2014) se presenta un modelo probabilístico para la inclusión de las variaciones de la energía de PFV, con el fin de reducir los costos de las pérdidas de energía, a través de un algoritmo genético continuo y se prueba sobre un sistema de nueve nodos. En Castillo (2011) se presenta una revisión de las barreras que dificultan la implementación de la GD en los sistemas eléctricos, lo que ha reducido la penetración esperada de estos elementos en las redes tanto en países desarrollados como en vías de desarrollo.
Esmaeilian y Fadaeinedjad (2014) plantean un algoritmo híbrido heurístico-metaheurístico para minimizar las pérdidas de energía y a la vez realizar reconfiguración óptima del sistema. Una estrategia para reducir el costo total de operación de la red se muestra en (Nafisi, Farahani, Abyaneh y Abedi, 2015), también incorporando reconfiguración e incluyendo costos de pérdidas.
Por otro lado, Mahmoud, Yorino y Ahmed (2015) muestra un modelo para la ubicación de GD con el fin de minimizar las pérdidas de potencia. En general, entre las estrategias para reducción de pérdidas con GD se encuentran: programación lineal, flujo óptimo AC, metaheurísticas, programación multiobjetivo y análisis probabilístico (Keane et al., 2013).
Es importante mencionar que a pesar de múltiples estudios que se han realizado en los últimos años, no existe todavía una masificación importante de la GD como alternativa. Algunas de las barreras comunes para adoptar estos sistemas son: información insuficiente sobre escenarios reales para la implementación de algoritmos y efectuar un planeamiento adecuado, esquemas de costos con horizontes de tiempo limitados, incertidumbre en la generación y los costos asociados a las diferentes tecnologías, falta de incentivos para los agentes del mercado con el fin de promover la penetración de GD y marcos regulatorios insuficientes.
En el caso colombiano, las barreras mencionadas son evidentes, ya que la promoción de este tipo de alternativas es todavía insuficiente, o tal vez inexistente. Un primer esfuerzo importante en esta materia, se dio a través de la promulgación de la Ley 1715 de 2014, “por medio de la cual se regula la integración de las energías renovables no convencionales al sistema energético nacional” (Congreso de la República de Colombia, 2014). Esta es una iniciativa de gran valor en el contexto del actual desarrollo de las energías renovables a nivel mundial y de la perspectiva de modernización de la red eléctrica hacia el uso eficiente de recursos renovables.
Aunque es todavía largo el camino por recorrer, se han realizado esfuerzos después de la promulgación de la ley, con el fin de sentar las bases de sus posteriores desarrollos y priorizar las áreas para promoción, desarrollo y regulación. Uno de estos esfuerzos es el documento de “Integración de las Energías Renovables No Convencionales en Colombia”, realizado por la Unidad de Planeación Minero Energética (UPME) y el Banco Interamericano de Desarrollo (BID) (UPME y BID, 2015). En dicho estudio, se realiza un análisis de las oportunidades de promoción de alternativas como la energía eólica, solar, biomasa y geotérmica, y las opciones para la promoción de soluciones en las zonas no interconectadas (ZNI).
Para cada alternativa se abordan los elementos que imposibilitan la implementación de proyectos y se analizan las diferentes alternativas bajo supuestos financieros. Para determinar la posibilidad real de la puesta en marcha de diferentes propuestas, se analizan esquemas de incentivos en el marco de la Ley 1715 de 2014 y sus posteriores desarrollos.
Como resultado, se identifican –entre otras– oportunidades en torno al aprovechamiento eólico en La Guajira, el desarrollo de un mercado intradiario que tenga en cuenta la incertidumbre de energía eólica y solar, el esquema de medición neta como instrumento de promoción y la puesta en marcha de programas para energización de ZNI.
Uno de los aspectos que llaman la atención del estudio en mención es la necesidad de promover proyectos de energía solar fotovoltaica como alternativa de generación distribuida. En especial, se plantea que la cuidad de Bogotá posee la mayor capacidad instalable de PFV en techos, entre 22 ciudades de interés.
Esta conclusión motiva la realización de diferentes estudios y análisis que permitan allanar el camino hacia la implementación de estas alternativas, bajo escenarios reales y mediados por los incentivos adecuados y una regulación robusta.
Por lo anterior, se plantea el presente trabajo, en torno a la evaluación el impacto de los proyectos de PFV incorporando variables técnicas y económicas de acuerdo con la realidad del sistema eléctrico colombiano, el potencial en Bogotá y desde el punto de vista de un operador de red (OR). Con este estudio se pretende evaluar diferentes escenarios de penetración de GD por medio de PFV y cuantificar los costos asociados a los proyectos para el periodo de vida de dicha tecnología. Esta evaluación se realiza a través de la minimización del costo por medio de un algoritmo genético de Chu-Beasley (AGCB) y el análisis eléctrico de las alternativas utilizando un flujo de carga para sistemas de distribución. Posteriormente se determina la relación entre inversión en GD y las potenciales reducciones de compra de energía por parte de una empresa de distribución para cubrir demanda y pérdidas.
Las principales contribuciones del presente trabajo son las siguientes:
• Se presenta un análisis desde el punto de vista económico, teniendo en cuenta el comportamiento típico de la demanda para cada franja horaria.
• El sistema de prueba utilizado se modifica para reflejar la presencia de cargas residenciales e industriales.
• Se incorporan variables como: el incremento de los precios de la energía comprada en bolsa, el crecimiento de la carga, la inflación y los costos nivelados de energía (levelized cost of energy, LCOE,) para los PFV. Todos basados en el contexto colombiano.
• Los supuestos de penetración de energía solar se basan en recientes estudios del potencial para la cuidad de Bogotá, con el fin de hacer un estudio más realista.
El documento está estructurado de la siguiente forma: primero, se hace la formulación matemática del problema; después, se presenta el algoritmo de optimización utilizado. Seguidamente, se describen las pruebas y los resultados, y por último se presentan las conclusiones.
FORMULACIÓN DEL PROBLEMA
Para enfrentar el problema del impacto de los PFV se deben incorporar variables técnicas y económicas. A continuación se explican las funciones de costo involucradas en el esquema propuesto
Costo de pérdidas de energía
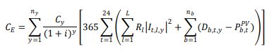
Para la evaluación del impacto sobre el costo total de las pérdidas de energía del sistema de distribución, se evalúa el valor presente neto (VPN) de las pérdidas para el horizonte de tiempo planteado, teniendo en cuenta las variaciones diarias de la carga. Su formulación matemática se presenta en la ecuación (1).
(1)En donde, y, t y l, son los subíndices asociados al año de análisis, la franja horaria y el corredor del sistema, respectivamente. L y ny son el número de corredores del sistema y la cantidad total de años, respectivamente. Además, Cy, i, Rl e It,l,y representan respectivamente, el costo de la energía en el año y, la inflación, la resistencia del tramo l y la corriente en el periodo t, el tramo l y el año y.
Costo total de energía
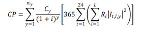
Para incorporar los costos en los que incurre el OR con el fin de suplir la energía necesaria del alimentador primario, se consideran los costos asociados a la compra de energía durante el periodo considerado. Estos tienen como componentes la energía consumida por los usuarios y la energía que se pierde debido al efecto Joule. Dicho cálculo se realiza de acuerdo con la ecuación (2).
(2)En donde, nb es el número de nodos, Db,t,y es la demanda en el nodo b, franja t y año y, y Pb,tPV es la potencia inyectada por el panel en el nodo b y franja t. Con esta expresión se encuentra el VPN de los costos en los que se incurre por compra de energía. También se considera que el costo de la energía incrementa anualmente de acuerdo con proyecciones del mercado y las proyecciones de los precios de bolsa. La demanda a atender en cada nodo varía dependiendo de la cantidad de generación que se pueda atender localmente por medio de los PFV. De esta forma, se disminuye la energía transportada por la red y por tanto se reducen las necesidades de compra por parte del OR.
Costo de la inclusión de los PFV
Para determinar los costos asociados con los proyectos de PFV a nivel de distribución, se determinan las cantidades totales de energía inyectada a través de esta tecnología a lo largo de su periodo de vida y se encuentra su costo asociado a través del LCOE (IRENA, 2012), de acuerdo con la ecuación (3)
(3)Es importante mencionar que el LCOE se obtiene a partir de un flujo de caja que tiene en cuenta el valor del dinero en el tiempo. Este análisis incorpora los costos de instalación, operación y mantenimiento, y en general, los costos asociados a la tecnología renovable a implementarse por el tiempo de vida útil y en función de la energía total generada en kWh, de acuerdo a lo presentado en UPME y BID (2015) e IRENA (2012).
Las restricciones del problema están dadas por las ecuaciones (4) a (10).
(4)
(5)
(6)
(7)
(8)
(9)
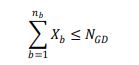
(10)Donde, Vb,t,y y δb,t,y son la tensión y el ángulo en el nodo b, en la franja horaria t y el año y; Ybm y θbm son la amplitud y el ángulo de la admitancia entre los nodos b y m; Qb,tPV es la potencia reactiva de soporte que puede inyectar el inversor asociado al panel instalado en el nodo b y la franja t; NGD es el número máximo de nodos permitidos para la instalación de PFV; β es el porcentaje de penetración del PFV instalado en cada nodo con respecto a la demanda máxima; Dbbase es la demanda máxima en el nodo b en el año base; Xb es una variable binaria que indica si en el nodo b existe instalación de PFV.
Las restricciones (4) y (5) son las asociadas al flujo de carga. La restricción (6) indica la cantidad de potencia reactiva que puede ser inyectada a través del inversor asociado al PFV. El modelo resultante es del tipo no lineal entero mixto debido a la presencia de variables reales y enteras, y para su solución se emplea un algoritmo genético en dos niveles. Un primer nivel que genera propuestas de instalación de PFV y un segundo nivel que determina el estado del sistema a través del flujo de carga, cuyos resultados sirven para determinar los valores de la función objetivo.
ALGORITMO DE SOLUCIÓN
Para resolver el problema de optimización descrito en la sección anterior, se utiliza un AGCB (Correa, Bolaños y Garcés, 2012).
El algoritmo implementado en este trabajo tiene la ventaja de evaluar un solo descendiente por ciclo generacional e incluirlo en la población dependiendo de su calidad y diversidad con respecto al resto de individuos, acelerando el proceso de convergencia. La codificación utilizada es la decimal {0,1} para denotar instalación o ausencia de PFV en un nodo determinado.
A continuación se explican, de manera resumida, los pasos del algoritmo implementado.
Verificación de diversidad
La población inicial se genera de manera aleatoria. Con el fin de ubicar esta población en diferentes lugares del espacio de solución se realiza una modificación de los bits similares entre cada individuo. Esto garantiza que cada solución generada en el ciclo inicial difiera en un número mínimo de bits.
Selección, cruzamiento y mutación
En esta etapa se utiliza la selección por torneo. Se realizan dos torneos cada uno con un número variable de padres, de tal manera que resulten dos padres. Un número alto de padres prioriza el elitismo y viceversa.
El cruzamiento se hace de manera tradicional, siguiendo la lógica de punto simple. En la etapa de mutación se modifica un bit seleccionado aleatoriamente.
Promoción
Para la promoción de una solución al siguiente ciclo generacional se evalúa que dicho individuo sea diferente a los presentes en la población del ciclo generacional en cuestión. Si se cumple esta condición y el individuo tiene mejor calidad que el peor de la población, es incluido.
Criterio de parada
El proceso de optimización finaliza una vez se cumple alguno de los siguientes criterios: 1) el algoritmo ha alcanzado un número máximo de iteraciones; 2) se cumple un número predeterminado de iteraciones sin mejorar la incumbente (mejor solución actual).
El diagrama de flujo del algoritmo de solución se muestra en la figura 1.

RESULTADOS
Para determinar el impacto de los PFV sobre el sistema de distribución, se toma el sistema de prueba de la IEEE de 37 nodos asumiendo cargas balanceadas (Garcés, Correa y Bolaños, 2014). Este alimentador tiene una carga total de 2.457 kW. Para dicho sistema se suponen nodos con cargas residenciales e industriales que siguen las curvas de carga normalizadas como se muestra en la figura 2.

La carga industrial se encuentra ubicada en los nodos 25 a 34 y las demás cargas son del tipo residencial. El diagrama unifilar del alimentador del caso de estudio se muestra en la figura 3 con re-numeración de los nodos (en rojo) para facilidad en la presentación de los resultados.

Con el fin de realizar el análisis de pérdidas de energía del sistema durante el periodo de vida útil de 25 años de los PFV, se tienen en cuenta los siguientes factores:
Penetración de PFV
Teniendo en cuenta el estudio en UPME y BID (2015) y con el objeto de realizar un estudio más realista, se determina la capacidad de instalación de PFV de acuerdo con el potencial aprovechable en techos de la cuidad de Bogotá. Este procedimiento ya se ha utilizado exitosamente en trabajos como Garcés, Correa y Sánchez (2014).
De acuerdo con este estudio, se tiene un factor de instalación factible técnicamente de 0,11 kWp. Al incorporar información sobre la propiedad de los predios y demanda promedio se llega a un valor total de 698 MWp. Al compararse este valor con la demanda máxima en la zona de cobertura de Codensa, que es 2.186 MW para el año 2013 según Fedesarrollo (2013), se obtiene una relación de 0,32.
Este dato se utiliza para dimensionar los paneles a ser instalados en cada nodo de acuerdo con su propio valor de demanda máxima. Lo anterior se hace con el fin de mantener una relación más cercana entre las zonas disponibles para generación y aspectos reales de posibilidades técnicas de instalación de PFV para un alimentador ubicado en Bogotá.
Para cada instalación a ser evaluada, se considera una curva de potencia como se muestra en la curva en amarillo de la figura 2, en donde la totalidad de la energía aprovechable es inyectada a la red y la escala del máximo de potencia es 0,32 de la demanda máxima en el nodo de instalación. Es importante mencionar que el dimensionamiento del panel se hace a partir de la demanda del año inicial y se mantiene constante en el tiempo.
Crecimiento anual de la demanda
Para incluir el incremento natural de la demanda cada año, se toman los datos de evolución de demanda máxima en el área de Codensa presentados en Fedesarrollo (2013) y se toma un promedio de las variaciones desde el año 2000 hasta 2013. De esta forma se obtiene un crecimiento anual promedio de la demanda de 2,39 %, valor que se incorpora en este estudio.
Variables económicas
La inflación se calcula con el promedio de 9 años presentado en UPME y BID (2015, p. 122, tabla 5.3), y su resultado es 3,04 % anual. El costo de la energía se toma del mismo documento, a partir de un precio de bolsa de 175 pesos colombianos por kWh (COP/kWh) para el año 2014. Para el incremento anual del precio de la energía se toma un promedio de 3 %. Para evaluar el impacto financiero de la instalación de los PFV se asume un LCOE base de 0,2 USD/kWh de acuerdo con lo planteado en UPME y BID (2015), con el fin de realizar variaciones y determinar los niveles necesarios para la factibilidad de los proyecto
Minimización de pérdidas
Con los supuestos anteriores se resuelve el problema de minimización presentado en (1) sujeto a las restricciones (4) a (10), con el fin de determinar el impacto sobre las pérdidas del sistema por el tiempo de vida útil de los paneles (estimado en 25 años), para diferentes valores de NGD.
Una vez realizada la simulación se obtienen los valores de costos de energía para todo el periodo analizado y se consignan en la figura 4.

Para un escenario sin instalación de PFV los costos asociados a las pérdidas de energía son 5.050 millones de pesos colombianos. Cuando NGD aumenta, disminuyen a su vez las pérdidas, debido a la disminución de carga que se debe suplir desde la subestación de distribución y su consecuente impacto sobre las corrientes en el sistema. También influye el soporte de potencia reactiva local a través de los inversores de los PFV, utilizando para ello la ecuación (6). Para instalación de PFV en 25 nodos, se alcanza una disminución de 35,3 % en el costo asociado a las pérdidas.
También es importante determinar los nodos más influyentes sobre la disminución de pérdidas. Para esto se muestra el número de veces que el algoritmo de optimización elige un nodo específico para instalación de PFV (del total de 37 nodos). De la figura 5 se observa que el nodo 2 estuvo presente para todas las simulaciones realizadas. De igual manera, los nodos 5, 7, 11, 13, 14, 16, 20, 25, 28, 29, 33 y 37 tienen presencia frecuente en las soluciones óptimas. Esto quiere decir que son los nodos más atractivos para la instalación de PFV con el fin de disminuir las pérdidas.
Del diagrama unifilar, se observa que estos nodos tienen la característica de estar en finales de circuitos, en zonas topológicamente alejadas de la subestación o en nodos del área industrial. Este último aspecto es importante, ya que debido a que la curva de carga industrial tiene un comportamiento más cercano al de los PFV, dicha energía se puede aprovechar de forma más eficiente, diferente a lo que ocurre con las cargas residenciales, en donde el pico de demanda ocurre en una hora en la que no existe inyección de potencia por parte del panel.

Minimización de costos totales
La siguiente prueba consiste en la minimización de las ecuaciones (2) y (3) sujeto a las restricciones (4) a (10). Para este caso se observa que la factibilidad de los proyectos se alcanza con un LCOE de US$ 90, ya que para valores mayores a este, no se compensan los ahorros en pérdidas y energía comprada en bolsa con respecto a la inversión realizada en PFV. Para un LCOE de US$ 90, el costo total asumido por el OR, sería de 8.386 millones pesos colombianos y las 7 ubicaciones para los PFV se encuentran en los nodos 13, 14, 16, 17, 19, 20 y 27. En este caso el algoritmo prioriza los nodos que están alejados de la subestación y solo un panel es instalado en el nodo industrial 27.
Minimización de costos totales en alimentadores industriales
Para esta simulación se asume que todas las cargas tienen comportamiento industrial, con el fin de determinar el impacto sobre decisiones de inversión para este escenario. Para este caso, el proyecto de inclusión de PFV tiene equilibrio financiero para un valor del LCOE de US$ 104, con un costo total asociado de 8.806 millones de pesos colombianos, y paneles en los nodos 16, 17 y 19. De esta simulación se concluye que los proyectos en alimentadores con predominancia de cargas industriales pueden ser atractivos financieramente para valores más altos de LCOE, en comparación con redes de alta presencia de cargas residenciales.
CONCLUSIONES Y RECOMENDACIONES
La metodología presentada permite evaluar la inclusión de PFV en una red de distribución, desde el punto de vista de las pérdidas de energía y los costos totales asociados durante el periodo de vida útil de esta tecnología. Este estudio incorpora variables eléctricas y de mercado con el fin de reflejar escenarios más realistas.
Se obtiene un ahorro importante asociado a la disminución de las pérdidas, debido a la disminución de corrientes por los conductores y al soporte local de potencia reactiva a través de los inversores de los PFV.
Debido a la característica de potencia generada de los PFV, los proyectos tienden a cerrar financieramente para valores comparativamente más altos de LCOE en alimentadores con cargas predominantemente industriales, ya que la potencia de los paneles puede ser aprovechada durante el día, mientras existe mayor demanda en este tipo de cargas.
La inclusión de PFV también impacta sobre la planeación del sistema de distribución, ya que aumenta la vida útil de los transformadores y disminuye la cargabilidad de los conductores. Esta información debe ser incluida en un estudio futuro con el fin de evaluar los proyectos de generación solar bajo una perspectiva más holística y generar señales para futuros incentivos.
Si bien el costo asociado a los PFV ha decrecido en los últimos años, todavía es necesaria una mayor disminución del LCOE para hacer este tipo de proyectos más atractivos desde la óptica del operador de red. Mientras tanto, se deben generar incentivos financieros con el fin de promover estas alternativas.
Referencias bibliográficas
Castillo, A. (2011). Barreras para la implementación de generación distribuida: dos representantes de países desarrollados vs. un representante de país en desarrollo. Tecnura, Vol. 15(No. 29), pp. 62-75.
Congreso de la República de Colombia. (Mayo de 2014). Ley 1715: por medio de la cual se regula la integración de las energías renovables no convencionales al sistema energético nacional. Bogotá D. C.
Correa, C., Bolaños, R., & Garces, A. (2012). Environmental transmission expansion planning using non-linear programming and evolutionary techniques. IEEE International Symposium on Alternative Energies and Energy Quality (SIFAE), (págs. 1-5). Colombia.
Esmaeilian, H., & Fadaeinedjad, R. (Agosto de 2014). Energy loss minimization in distribution systems utilizing an enhanced reconfiguration method integrating distributed generation. IEEE Systems Journal, PP(9), 1-10.
FEDESARROLLO. (2013). Análisis de la situación energética de Bogotá y Cundinamarca. Bogotá D. C., Colombia: Estudio presentado para la EEB
Garces, A., Correa, C., & Bolaños, R. (2014). Optimal operation of distributed energy storage units for minimizing energy losses. IEEE PES Transmission & Distribution Conference and Exposition - Latin America (PES T&D-LA), (págs. 1-6). Colombia.
Garcés, A., Correa, C., & Sánchez, A. (2014). Operación económica de dispositivos almacenadores de energía para disminución de pérdidas. Tecnura, Vol. 18(No. 42), pp. 53-64.
IEEE-PES. (2000). Distribution System Analysis Subcommittee. IEEE 37 Node Test Feeder. Recuperado el 22 de Junio de 2015, de http://www.ewh.ieee.org/soc/pes/dsacom/testfeeders/index.html
IRENA. (Junio de 2012). Renewable energy technologies: cost analysis series. IRENA working paper: Solar Photovoltaics, 1(4/5).
Keane, A., Ochoa, L., Borges, C., Ault, G., Alarcon, A., Currie, R., . . . Harrison, G. (Mayo de 2013). State-of-the-art techniques and challenges ahead for distributed generation planning and optimization. IEEE Trans. on Power Syst.,, 28(2), 1493-1502
Mahmoud, K., Yorino, N., & Ahmed, A. (Abril de 2015). Optimal distributed generation allocation in distribution systems for loss minimization. IEEE Trans. on Power Syst., PP(99), 1-10.
Nafisi, H., Farahani, V., Abyaneh, H., & Abedi, M. (2015). Optimal daily scheduling of reconfiguration based on minimisation of the cost of energy losses and switching operations in microgrids. IET Gener. Transm. Distrib., 9(6), 513-522.
Sadeghi, M., & Kalantar, M. (2014). Solar units planning using continuous genetic algorithm to reduce energy loss cost of the distribution system. 14th International Conference on Environment and Electrical Engineering (EEEIC), (págs. 127-131). Polonia.
UPME & BID. (2015). Integración de las energías renovables no convencionales en Colombia. Bogotá D. C.: Convenio financiado con recursos del Fondo para el Medio Ambiente Mundial –FMAM– a través del Banco Interamericano de Desarrollo –BID–.
Walling, R., Saint, R., Dugan, R., Burke, J., & Kojovic, L. (Julio de 2008). Summary of distributed resources impact on power delivery systems. IEEE Trans. on Power Deliv., 23(3), 1636-1644.
Zobaa, A., & Cecati, C. (2006). A comprehensive review on distributed power generation. International Symposium on Power Electronics, Electrical Drives, Automation and Motion, SPEEDAM 2006, (págs. 514-518). Italia