Dossier
Six Decades of Energy Poverty: Reducing Disparities in Latin America and the Caribbean?
Seis décadas de pobreza energética: ¿Reduciendo las disparidades en América Latina y el Caribe?
Six Decades of Energy Poverty: Reducing Disparities in Latin America and the Caribbean?
Revista INVI, vol. 38, no. 109, pp. 71-99, 2023
Universidad de Chile. Facultad de Arquitectura y Urbanismo. Instituto de la Vivienda
Received: 23 March 2023
Accepted: 27 September 2023
Abstract: Latin America and the Caribbean are one of the most unequal regions in the world, with high levels of poverty and reduced state capacity to solve structural problems. In this paper, we examined the existence of a β-convergence process between countries (i.e., reduction of disparities) in terms of energy poverty indicators. For this, we construct an annual panel of countries for the last six decades and for thirteen energy poverty indicators covering three dimensions (access, quality, and affordability). The results indicate that a convergence process has taken place between countries of Latin America and the Caribbean, which includes all the dimensions analyzed (i.e., the countries of the region have become more similar in terms of energy poverty over time). Context-specific recommendations that emerge from the findings aim at promoting greater adoption of renewable energy, reducing delays in obtaining an electricity connection, and cutting subsidies for natural gas and oil.
Keywords: Convergence, energy poverty, Latin America, Caribbean.
Resumen: América Latina y el Caribe es una de las regiones más desiguales del mundo, con altos niveles de pobreza y reducida capacidad estatal para resolver problemas estructurales. En este artículo, examinamos la existencia de un proceso de β-convergencia entre países (es decir, reducción de disparidades) en términos de indicadores de pobreza energética. Para ello, construimos un panel anual de países para las últimas seis décadas y que contiene trece indicadores de pobreza energética que cubren tres dimensiones (acceso, calidad y asequibilidad). Los resultados indican que se ha producido un proceso de convergencia entre los países de América Latina y el Caribe, que incluye todas las dimensiones analizadas (es decir, los países de la región se han vuelto más similares en términos de pobreza energética a lo largo del tiempo). Las recomendaciones específicas para el contexto que surgen de los hallazgos tienen como objetivo promover una mayor adopción de energías renovables, reducir los retrasos en la obtención de una conexión eléctrica y recortar los subsidios al gas natural y al petróleo.
Palabras clave: Convergencia, pobreza energética, América Latina, Caribe.
Introduction
Several authors recognize Latin America and the Caribbean as one of the most unequal regions in the world (Alvaredo & Gasparini, 2015; Dabús et al., 2014; Gasparini, 2019; Lustig, 2020; Maurizio, 2021; Ramos Carvajal et al., 2019; Saraví, 2020). The centrality of this problem has resulted in a significant number of papers that attempt not only to measure inequality but also to explain its causes and consequences. Isidro Luna (2022) found that, despite the fact that global wealth is constantly increasing, inequalities between countries have not disappeared, but rather have worsened. In addition, the author concluded that the poorest countries have not matched the most prosperous ones and, specifically, there is a strong internal disparity in Latin America.
Along the same lines, Gasparini (2019) observed that Latin America has experienced significant distributional changes in recent decades. On average, income inequality rose in the 1990s, fell in the first decade of the 2000s, and slowed in the 2010s. According to the author, the substantial reduction in inequality in the 2000s can be explained based on three main reasons: (i) the natural rebound after some unequalizing shocks in the previous decade; (ii) the favourable international context that led to an episode of high economic growth; and (iii) the support of public policies with a redistributive impact. The same result was found by Maurizio (2021), Lustig (2020), Amarante et al. (2016), and Kliksberg (2005).
Latin America and the Caribbean suffers from both inequality and poverty. Countries of this region are characterized by high poverty rates (Cecchini et al., 2021; Ciaschi, 2021; Delgado, 2020; Rodríguez et al., 2020). Considering the poverty incidence rate indicator, based on $1.90 per day (2011 purchasing power parity) provided by the World Bank (2023) 4.4% of Latin America and the Caribbean population lived in poverty in 2019. Several studies analyze poverty from a multidimensional perspective, although only a few examine the phenomenon in the entire region (Conconi & Ham, 2007). Various authors identified that multidimensional poverty in these nations is high and, also, that there are great disparities between and within them (Boltvinik, 2013; González et al., 2021; González & Santos, 2018; Paz, 2014; Paz & Arévalo, 2021; Ponce, 2018; Rojas & Ríos, 2015; Villatoro & Santos, 2019).
One of the dimensions that have taken center stage in accounting for situations of deprivation is energy. This dimension is considered a social good that allows satisfying basic needs and increasing the level of well-being of the population. Moreover, it is essential for the processes of development and social inclusion (Guzowski, 2016). Therefore, deprivations in the energy dimension are components and explanatory factors of situations of vulnerability and exclusion.
The relevance of energy and of its deprivation is indisputable. However, energy poverty has acquired greater prominence since the establishment of the Sustainable Development Goals (SDGs) and the Paris Agreement (PA). One of the SDGs, promoted by the United Nations Development Program [UNDP], refers to “Affordable and Clean Energy” to satisfy human basic needs at affordable costs and includes electricity and appliances such as stoves for cooking. However, because it is a multidimensional phenomenon, energy poverty is also related to other goals such as ending poverty, good health and well-being, reducing inequalities, sustainable cities and communities, climate action, and terrestrial ecosystem life, among others. Thus, energy is also considered a central issue in pursuit of economies that follow the path of sustainable development.
In 2017, the World Energy Council [WEC] incorporated the concept of the energy trilemma to assess the core dimensions of energy sustainability (Figure 1). Energy security is the effective management of primary energy supply from domestic and external sources, the reliability of energy infrastructure, and the ability of energy providers to meet current and future demand. On the other hand, energy equity refers to the accessibility and affordability of energy supply for the entire population. Finally, environmental sustainability encompasses the achievement of energy efficiencies on the supply and demand side and the development of energy supply from renewable and other low-carbon sources (WEC, 2017).
This trilemma highlights the relevance of energy poverty in the sustainability of the energy system and, transitively, of the economies. The presence of energy poverty implies non-compliance with energy equity, which puts the sustainability of the system at risk. It is worth highlighting that energy poverty also has a strong connection with energy security. In this sense, energy supply issues generate situations of vulnerability and energy poverty due to their close link with the dimension of access (one of the pillars when evaluating the phenomenon of energy poverty). The SDGs propose missions common to the economies, which must be accomplished in order to follow a sustainable path. These goals, as stated above, incorporate reliable and affordable access to energy. Behind compliance with the SDGs is a convergence process between economies, where disparities should be reduced.
In this context, the aim of this paper is to analyze the evolution of the main energy poverty indicators in the countries of the region over time (i.e., a convergence analysis). In this work, convergence analysis examines the evolution of disparities in terms of these indicators between countries. If this evolution shows a reduction in disparities over time, we can affirm that a convergence process exists.
For this, and following Salman et al. (2022), we construct an annual panel of countries of the region for the last six decades, which contains thirteen indicators of energy poverty. Using these data, we test the existence of conditional and unconditional convergence, and performed an analysis of clusters to evaluate the behavior of similar countries.
The findings of this study showed that, in the last six decades, a process of convergence-conditional and unconditional-took place between these countries. This process includes the three dimensions analyzed (access, quality, and affordability), and its speed was heterogeneous between indicators, dimensions, and sub-periods. Despite this convergence, important differences persist, giving rise to multiple clusters of countries.
This paper contributes to the convergence literature in three aspects. First, it examines for the first time the existence of convergence in relation to the affordability dimension. Typically, other analyzes focus on access and quality aspects. Second, this is the first paper that focuses on a developing region. This facilitates comparisons when considering a pool of countries that are more similar to each other in terms of their productive, demographic, and geographic structure. Previous literature has focused on exploring this topic at a global level or with developed countries. Third, it is the first analysis on the existence of convergence in the energy poverty indicators individually considered. Salman et al. (2022) addressed the topic of the convergence of energy poverty but did not take into account the indicators one by one.
This paper is structured as follows: After this brief introduction, the following section provides a conceptual review of energy poverty and the indicators used for its measurement; next, the sources of information and the empirical methodologies used are described, to then give rise to the results obtained; finally, conclusions and a final discussion of the paper are presented.
Energy poverty and its measurement: background
There are numerous precedents addressing the issue of energy poverty, mostly concentrated on its definition (Boemi & Papadopoulos, 2019; Caruana & Méndez, 2019; Castaño-Rosa et al., 2019; Day et al., 2016; González-Eguino, 2015). Since there is a wide range of definitions, energy poverty (like many social phenomena) can be conceptualized and measured by basing on a plurality of indicators and criteria.
Energy is considered to be a key resource for the economic and social organization of a country; it constitutes a means to satisfy basic needs and, therefore, implies a social good (Bouille, 2004). According to the General Assembly of the United Nations (2012), energy can be characterized as the common thread between economic growth, social equity, and environmental sustainability, which is why it occupies a fundamental role in the agendas of government policies. Due to this role, it can be argued that timely access to energy is a necessary condition to achieve economic and social development.
In the social sciences, the definition of poverty is not unequivocal and is usually understood in at least four different specific senses: 1) materially, a population is poor because it lacks something it needs; 2) another sense has to do with an economic situation considering income; 3) furthermore, as a social aspect, poverty is related to the concept of social class; 4) finally, as a moral judgment, the material conditions of the poor are morally unacceptable (Spicker, 2009, as cited in Ibáñez Martín, 2018). However, the real disagreement is around the measurement of the phenomenon, initially focused on income (unidimensional). Later, a multidimensional approach was developed (Conconi & Brun, 2015; Ibáñez Martín, 2018).
The concept of energy poverty cannot depart from the conceptions described above. Initially, it was associated with fuel poverty, under which a household is energy poor if it cannot afford the fuel necessary to maintain heat or the temperature that provides thermal comfort to its members (Lewis, 1982, as cited in García Ochoa, 2014). Another definition of fuel poverty, proposed by Boardman (1991), considers poor a household that spends more than 10% of its income on having adequate heating (García Ochoa, 2014). This interpretation was followed by those that emphasize the lack of access to energy, specifically modern and non-polluting energy such as electricity, liquefied gas, and biogas (PNUD, 2018). Consequently, energy poverty is related to the use of traditional fuels such as garbage, dung, organic waste, coal, wood, and kerosene.
Some authors argue that energy and fuel poverty are interchangeable concepts and represent households deprived of heating, cooling, hot water, electricity, and other essential needs (Castaño-Rosa et al., 2019). On the contrary, others consider them clearly separable concepts, since energy poverty addresses basic issues of energy access, while fuel poverty focuses on affordability aspects (Li et al., 2014). In addition, fuel poverty is usually observed in relatively rich countries with cold climates, while energy poverty is present in all kinds of climates and mainly in poor countries. For this reason, these concepts can only be integrated when it comes to households living in cold climates with difficulties in accessing electricity, modern cooking, and heating at an appropriate cost (Li et al., 2014).
From these one-dimensional conceptions, broader definitions emerge, such as the one proposed by the European Observatory on Energy Poverty ([Energy Poverty Advisory Hub], 2023). According to this project, energy-poor households are those that experience inadequate levels of energy services, due to a combination of high energy expenditure, low income, inefficient buildings and appliances, and specific household energy needs. In this line, the most complex definitions incorporate elements such as subjectivity and the temporality of satisfaction (PNUD, 2018).
Day et al. (2016) defined energy poverty as the difficulty (or impossibility) of developing capacities due, directly or indirectly, to insufficient access to affordable, reliable, and safe energy services. These interpretation highlights that energy is necessary to develop various capacities and recognizes the central role of energy services, without specifying which one, being broad enough to adapt to different situations.
García Ochoa (2014) proposed another definition that incorporates the temporal dimension of the satisfaction of needs. According to this author, a home is energy poor when its members do not meet their absolute energy needs, related to satisfiers and economic goods that are considered essential, in a given place and time, based on social and cultural conventions.
As mentioned above, energy poverty cannot be defined solely as the lack of access to energy, since other factors, such as the quantity and quality of energy also matter. At the same time, the latter aspects in relation to the equipment that a home has, as well as its access, are relevant, since energy services are those that determine well-being. In addition, socioeconomic, geographic, building, and cultural factors -among others- affect the aforesaid attributes. Considering these aspects, Ibáñez Martín et al. defined energy poverty as
the lack of satisfaction of essential energy services for human life, induced by a lack of access, quantity and quality not only of energy but also of equipment, which is caused by various factors, such as socioeconomic (insufficient level of income, education, etc.), geographic (disconnection to the network), buildings (type of construction, insulation in openings, etc.), and cultural (preferences for certain energy sources), which ultimately affects the level of well-being of household members. (Ibáñez Martín et al., 2019, p. 7).
Along the same lines, Amigo et al. (2018) define energy poverty as a multidimensional phenomenon (that transcends the economic dimension), situated (spatially and temporally), relative (the relevance of the variables depends on the observed territory) and emergent (it is a relevant and current challenge), and recognize the complexity of its definition.
As far as measurement is concerned, leaving aside the unidimensionality, indicators that try to capture the complexity of energy poverty have been developed. In this line, García Ochoa (2014) developed a method called satisfaction of Absolute Energy Needs (NAE, as per its initials in Spanish), which includes energy services for cooking and refrigerating food, heating water for personal hygiene, adequate lighting, and entertainment activities. This methodology uses economic assets as a measurement instrument to determine if a household is in energy poverty, taking into account in this deprivation if it does not have the economic assets to satisfy the NAE. Another approach is the Multidimensional Energy Poverty Index (MEPI) method, introduced by Nussbaumer et al. (2011). The MEPI proposes to capture, both in quantity and quality, the access to the energy services considered and offers a greater analysis of the elements that configure the energy demand. Consequently, dimensions are defined, in particular energy services for cooking, lighting, food preservation, entertainment, education, and telecommunications. Then, the methodology assigns dichotomous variables for each dimension that inquire about the possession of the necessary equipment and access to electricity and safe energy sources for cooking. Finally, it establishes a weighting for each variable and performs the mathematical calculation to determine the incidence-number of households in energy poverty-and intensity-how energy poor they are- (Nussbaumer et al., 2011).
One of the pillars of energy sustainability is energy security, which exceeds security of supply. This aspect is closely related to energy poverty because energy insecurity is a source of situations of energy vulnerability and, in extreme cases, lack of access to energy. Additionally, energy security is associated with the actions of a given State aimed at guaranteeing the supply of energy in an environmentally and economically sustainable manner. Therefore, the absence of energy security can generate problems in the affordability of energy, another central dimension in determining energy poverty situations. Thus, the link between poverty and energy security is indisputable (Vega & Povis, 2021).
On the other hand, a concept closely linked to energy poverty is energy justice. This has taken on even greater relevance within the framework of the current energy transition, promoted by concern to mitigate the effects of climate change. Energy transitions are evaluated from the point of view of equity, giving rise to the concept of Just Energy Transition (JET). A transition can be characterized as fair when it ensures environmental sustainability, while generating decent employment and working on social inclusion and poverty eradication. In this sense, an energy transition that incorporates renewable sources cannot be considered fair if it does not include the satisfaction of the needs of the poor population (Zabaloy et al., 2023).
From the Energy Poverty Network, in the definition and measurement of PE a division is made between fundamental needs and basic energy needs. The fundamental ones are linked to the directing effects on the health of the population under study, while the second are linked to the basic needs defined to achieve a basic level of well-being, depending on the sociocultural, economic, and geographical characteristics of the territories (Amigo et al., 2018). The consequences of energy poverty on the life of the population, in different spheres, has been widely studied and an excellent summary can be found in Calvo et al. (2021).
At the regional level, in Latin America, the study of energy poverty has taken on great relevance and there are various articles that have addressed the issue. Much of the efforts to advance the understanding of its definition, scope and measurement can be found in the working documents of the Energy Poverty Network and, also, the Latin American Energy Inclusion Network in conjunction with CEPAL (Amigo et al., 2018; Billi et al., 2018; Calvo et al., 2021; Red de Pobreza Energética, 2019).
As mentioned above, the application of these multidimensional perspectives has increased in recent years. This growth is associated with the generation of primary information (with costly surveys), the evolution of permanent surveys in developed economies, and the focus of a national survey on energy issues (as in the case of the permanent survey of household expenditure in Argentina in 2018). In summary, energy poverty is a complex phenomenon crossed by various aspects. Its study and measurement cannot be independent of the particularities of each population and territory. Additionally, because energy poverty coexists and interacts with other multidimensional deprivations and becomes another factor of social exclusion, it must be evaluated considering its intrinsic multidimensionality.
Sources of information
In this paper, we combined two sources of information that allowed us to assess the three critical dimensions in terms of gaps in energy services: access, quality, and affordability (“IDEAL 2022”, 2022). First, most of the outcomes of interest come from the World Development Indicators (World Bank, 2023). This source of information covers the period 1971-2021. It is worth noticing that some indicators have missing values for particular countries and years: per capita energy use (in kg of oil equivalent), access to clean fuels and technologies for cooking (in % of population), primary energy intensity (megajoules per dollar of GDP per capita), fossil fuel consumption (in % of total final energy consumption), renewable energy consumption (in % of total final energy consumption), access to electricity (in % of population), per capita electricity consumption (in KWh), and time required to get electricity (in days). This last indicator refers to the average delay (in days) to obtain a residential electricity connection in each country.
Second, from the data reported by the International Monetary Fund [IMF] (Parry et al., 2022), records of fossil fuel and electricity subsidies by country and year were obtained; from this database, which covers the 2015-2025 period (data after 2022 are estimates), it is possible to know the magnitude of the subsidies disaggregated by source (oil, natural gas, and electricity). These indicators are used to assess the affordability dimension.
Table 1 presents descriptive statistics of the variables of interest for the year 2021. A wide variability can be observed in the indicators of per capita energy use (with 20-fold differences between the minimum and maximum of the series), per capita electricity consumption, time required to get electricity, and per capita oil subsidies. This reflects, a priori, the existence of a great disparity between countries of the region. All the indicators in Table 1 are frequently used in the literature (Salman et al., 2022).

The indicators in Table 1 cover the main dimensions in terms of energy service gaps (Access, Quality and Affordability). Although they allow us to draw conclusions about its evolution and the disparities present in the region, it is important to highlight its limitations. First, for some countries and specific indicators there are missing values. This limits comparability and reduces the sample size in our estimates. Second, certain indicators of interest are not available. For example, ideally, to assess the affordability of energy services, we would want to have microdata of income and expenditure on electricity and other services for each household. This, however, is not currently available.
Methodology
Convergence analysis, the main objective of this work, is to analyze the evolution of disparities in terms of energy poverty indicators between countries in the region. If this evolution shows a reduction in disparities over time, we can affirm that a convergence process exists; but in case these disparities increase, there is a divergence process. The convergence analysis is mathematically detailed below.
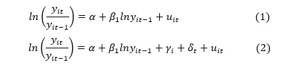
In order to analyze the existence of convergence in terms of energy poverty, Equation 1 was estimated. This equation indicates an unconditional β-convergence. This refers to the fact that the variables by which the convergence analysis is conditioned are not considered (e.g., surface, population, climate, etc.). Equation 2 moves in this direction and contemplates a conditional β-convergence analysis. Here, country
and year
fixed effects are included.

Where
is the outcome of interest y in country i and year t.
is the error term of the model. The coefficient of interest is
and is expected to be negative in the event of a convergence process: this would reflect the fact that the countries that started in t-1 with a low y-value achieved a larger increase between t-1 and t (relative to those that started in t-1 with higher y-values). In other words, a
<0 would indicate a reduction in energy poverty disparities between countries of the region.
The unconditional convergence analysis (Equation 1) is stricter than the conditional one (Equation 2). The latter case assesses whether there is a reduction in the disparities between countries, conditional on a set of relevant variables. In this paper, we conditioned the convergence analysis by including geographical
and time
fixed effects. This allowed us to control for unobservable heterogeneity that differs across countries but not over time (e.g., surface) and for heterogeneity that varies over time but not across countries (e.g., international energy prices).
In the case of observing this process, it is interesting to know its speed; that is, the proportion of the gap with respect to the steady state of the outcome of interest that is eliminated each year. For this, Equation 3 was used (Blasko & Yusran, 2017):

where β is the coefficient of interest estimated according to Equation 1 or 2. T refers to the number of years considered for each outcome.
In Equations 1 to 3, each outcome of interest is taken into account separately. This allowed a detailed analysis of each one rather than simply summarizing the information contained in several of them into a single new indicator. In this regard, previous literature has already highlighted the existence of the three critical dimensions in the evaluation of energy service gaps: access, quality, and affordability (“IDEAL 2022”, 2022). In this paper, the outcomes of interest were grouped according to this classification. This classification is widely supported by the poverty and energy security literature (Dubois et al., 2023; Nathwani & Kammen, 2019; Pachauri, 2011; Sankhyayan & Dasgupta, 2019; Zabaloy et al., 2022).
In addition to estimating these equations for the full sample, we proceeded with multiple disaggregations. First, we disaggregated by sub-region within Latin America and the Caribbean (Central and South America). Second, this was done between the pre- (up to 2015) and post-PA (2015 onwards) stages. This disaggregation attempted to detect changes in the convergence result based on the environmental commitments made by the countries of the region in the context of the PA and the SDGs (also agreed in 2015). Third, we performed the same process by country’s per capita income (high, upper-middle, lower-middle, low). A convergence result may not be observed in the full sample, but it is possible when considering subgroups of nations with similar incomes.
Fourth, a clustering of analogous countries was provided according to their evolution in terms of energy poverty indicators. For this purpose, a K-means clustering algorithm was used. This methodology allows grouping observations based on certain characteristics (Pardo & Del Campo, 2007). The type of analysis is agglomerative: starting from individual cases, a grouping process is carried out until reaching the formation of relatively homogeneous groups. The technique used, following the guidelines of González Fernández et al. (2009), consists in grouping cases based on the distances between them with respect to a set of variables. It begins by analysing the most distant cases and then, case by case, assigning them to the closest center. When the number of groups is not determined, the methodology updates the number of centers in relation to the dissimilarities found between the observations. Once all the observations have been assigned to one of the groups, an iterative process is started to calculate the centroids of those groups.
In this way, the steps followed by the K-means algorithm to find the groups based on the data are detailed below (Sinaga & Yang, 2020):
These stopping criteria can be as follows:
Cluster assignments do not change, or a defined tolerance threshold is reached.
A maximum number of iterations is reached.
To calculate the centroids and iterative assignment, based on Yuan and Yang (2019), we used the Euclidean distance squared in this clustering analysis, specified by Equation 4:

where m is the number of dimensions to be analyzed. When applying the Euclidean distance, the aim of the algorithm was to choose the centroids that minimize the sum of squared errors (SSE):

where k is the number of clusters and μ(j) is the centroid of cluster j.
Results
Table 2 shows the results obtained by estimating Equations 1 to 2 for the full sample of countries of the region. Three important conclusions can be drawn. First, the estimated coefficients report a broadly robust result: Latin American and Caribbean countries have experienced a process of β-convergence, conditional and unconditional, in energy poverty indicators in recent decades. Second, the β coefficients estimated with Equation 2 (conditional convergence) are larger in absolute value. This indicates that, when conditioning for country- or year-specific factors, the differences tend to narrow more rapidly. Third, the speed of convergence varies widely across indicators, being 0.78% for per capita energy use -each year 0.78% of the average steady-state discrepancy is removed- and 59% for per capita natural gas subsidies. In cases of conditional convergence, these speeds increase significantly. This indicates that, while the region is converging towards a shared path, that rates may vary across dimensions and indicators.

Next, Table 3 presents a breakdown by sub-region. For simplicity, only the estimates from Equation 1 (unconditional convergence) are shown, which are more stringent than those arising from Equation 2 (conditional convergence). The results suggest that the two sub-regions are quite similar in terms of convergence in energy poverty indicators: when convergence is verified in one of them, it is evidenced in the other as well. However, there are two exceptions: per capita energy use (only verified for South America) and time required to get electricity (only identified for Central America and Mexico). More generally, convergence occurs between countries not only in Latin America and the Caribbean (Table 2), but also in the same sub-region (Table 3).

Table 4 presents the unconditional convergence results obtained by disaggregating by sub-periods: pre-PA and SDGs (until 2014) and post-PA and SDGs. From here, it is possible to observe an interesting fact: while most of the indicators of the access dimension suggest a higher speed of convergence in the post-PA and SDGs sub-period, the opposite is true when examining the quality dimension. In the case of the time required to get electricity, there is not even a hint of convergence after 2015. The affordability dimension cannot be examined because the database developed by the IMF starts in 2015.

So far, we have evidenced that, on average, the region is converging in terms of energy poverty indicators. That is, these countries have reduced the disparities between them. Thus, it is worth asking whether there are subgroups of nations that are more similar to each other in relation to other countries (i.e., that have shown a similar evolution in terms of energy poverty indicators). Therefore, below we present the results obtained from a K-means cluster analysis.
From Table 5 it is possible to identify four clusters of countries. Cluster 1 consists of Central American countries plus Paraguay. This group is characterized by reduced energy intensity (higher efficiency) together with a greater penetration of renewable energies in their consumption matrix. Cluster 2 comprises Central American countries and presents a low electricity service quality (long time required to get electricity) and the lowest oil and electricity subsidies (high cost). Cluster 3 includes small Caribbean islands and is identified with high energy intensity (low efficiency), low renewable energy penetration, and high oil and electricity subsidies. Finally, Cluster 4, composed of South American countries, evidences the highest natural gas subsidies (low cost) and a long time required to get electricity (low quality).
The above results are reasonable. First, they show that South American countries are more similar to each other than to the other nations. The same is true for the continental countries of Central America in relation to the island ones. Second, it is observed that countries with high energy intensity (low efficiency) are also those with low renewable energy penetration; this is consistent with the higher efficiency of renewable sources relative to fossil fuels. Third, the biggest consumers of natural gas -the large South American countries- are the ones that most subsidize this fossil source. Overall, this indicates that differences between regions and countries persist within Latin America and the Caribbean. That is, although the discrepancies have narrowed over time (i.e., a process of convergence has taken place), substantial differences still exist. If the territory is considered as a socially constructed space and, therefore, is influenced by economic, political, and cultural aspects, the results obtained here show the incidence of energy poverty on the territory. Thus, the existence of groups of countries with various deprivations seems to form a territoriality that exceeds the political limits of the region.

The results reported here are consistent with previous evidence. Salman et al. (2022) analyzed the existence of convergence for a global panel of countries, for the period 2002-2018, in terms of 13 energy poverty indicators. The authors identified this phenomenon even though developing countries lag substantially further behind than developed ones. This process of convergence seems to deepen after 2008. Similar results were also obtained by Berk et al. (2020) when examining a panel of EU countries in terms of renewable energy penetration between 1990-2014. Other studies published consistent findings (Akram et al., 2020; Alatas et al., 2021; Cassetta et al., 2022; Liu & Lee, 2020; Romero-Avila & Omay, 2022). Thus, the results of this paper complement the previous literature by providing specific evidence for a developing region-Latin America-and for a longer and more recent time period.
Conclusions
Throughout this paper, we have examined the evolution of energy poverty indicators in a developing region: Latin America and the Caribbean. The results showed that a process of (conditional and unconditional) convergence took place over the last decades: disparities in terms of energy poverty indicators of three dimensions (access, quality, and affordability) have been reduced between countries. However, differences persist. Indeed, the K-means clustering algorithm optimally identified four clusters of countries.
In general terms, the findings of the work are consistent with previous evidence (Akram et al., 2020; Alatas et al., 2021; Liu & Lee, 2020; Salman et al., 2022): the convergence analysis shows robust evidence of a reduction in disparities over time. However, unlike other papers, here we have focused on a developing region (rather than developed countries). This is relevant because it shows that even in low-income contexts disparities have been reduced. In addition, in this paper we provide evidence for the affordability dimension. Typically, this dimension has been relegated in other works. Affordability is especially critical to user satisfaction. Therefore, this work was able to complement and deepen the existing literature on the topic of convergence in indicators of energy poverty.
The above results allow us to outline valuable policy recommendations. First, given the figures in Table 4, it is critical to reduce the disparities in terms of quality of energy services between the countries of the region. This could be achieved by decreasing the time required to get an electricity connection in the large South American economies (Argentina, Bolivia, etc.). Second, according to Table 5, it is clear that countries with a greater penetration of renewable energies also have higher energy efficiency (lower energy intensity). Therefore, it is advisable to encourage the adoption of renewables in those countries that still have a low penetration-generally small island states in the Caribbean. Third, based on the high environmental costs of fossil fuels, it does not seem wise to continue to heavily subsidizing them. Hence, the large economies of South America should reduce their natural gas subsidies and those of Central America, their oil subsidies.
The existence of four groups of countries highlights the complexity of the phenomenon of energy poverty. Thus, the factors that determine the energy deprivations of a population are not homogeneous among the countries; then, policies that tend to address this problem should not be the same. In this sense, clearly identifying the most important determinants in the generation of deprivations translates into relevant information to combat energy poverty. Additionally, it is possible to recognize that the implementation of policies -in order to alleviate energy poverty- has economic and opportunity costs. The endowment of natural resources becomes a very strong operational restriction when it comes to introducing policies for the energy transition and compliance with the energy trilemma. In this sense, energy poverty can be seen as a factor that affects the territory and plays a relevant role when evaluating the grouping of countries within the region under analysis.
Furthermore, despite the evidence of a convergence process between the countries of Latin America and the Caribbean with regard to energy deprivation, this paper highlights the multiplicity of aspects that are included in this concept. Its measurement and evaluation, and the policies that try to alleviate it cannot be applied in the form of a recipe, without analyzing the reality of each economy and without contemplating multiple dimensions. In this sense, one of the possible policy recommendations that promote the fulfilment of development objectives is the deep and meticulous study of this phenomenon to formulate policies. Achieving energy sustainability, and therefore the elimination of energy inequity, is a central issue for countries in order to follow the path of sustainable development.
The findings of this work must be examined considering its limitations. As mentioned in the Sources of Information section, the databases we worked with have two major limitations: there are missing values in certain indicators and countries, and there is no information on all the relevant indicators. As detailed before, improving the availability of data on energy poverty in the region should be a top priority for national and subnational governments.
In the future, it will be of utmost relevance to improve the availability of data in terms of the quality of energy services. This especially includes two indicators frequently used in the literature: frequency and duration of service interruptions. Additional information on tariffs paid by users would also be beneficial. On this matter, incorporating issues related to energy prices allows a better assessment of the ability to pay for energy services and approaches the idea of hidden energy poverty (Barrella et al., 2022). This would provide a more comprehensive evaluation of the evolution of the energy poverty indicators and of the existence of a convergence process.
References
Akram, V., Rath, B., & Sahoo, P. (2020). Stochastic conditional convergence in per capita energy consumption in India. Economic Analysis and Policy, 65, 224-260. https://doi.org/10.1016/j.eap.2020.01.006
Alatas, S., Karakaya, E., & Sarı, E. (2021). The potential of material productivity alongside energy productivity in climate mitigation: evidence from convergence tests in the EU28. Resources, Conservation and Recycling, 167. https://doi.org/10.1016/j.resconrec.2020.105322
Alvaredo, F. & Gasparini, L. (2015). Recent trends in inequality and poverty in developing countries. In A. B. Atkinson & F. Bourguignon (Eds.), Handbook of Income Distribution (v. 2, pp. 697-805). Elsevier. https://doi.org/10.1016/B978-0-444-59428-0.00010-2
Amarante, V., Galván, M., & Mancero, X. (2016). Desigualdad en América Latina: una medición global. Revista de la CEPAL, (118), 28-47.
Amigo, C., Araya, P., Billi, M., Calvo, R., Oyarzún, T., & Urquiza, A. (2018). Políticas públicas y pobreza energética en Chile: ¿ una relación fragmentada? RedPE. https://pobrezaenergetica.cl/wp-content/uploads/2023/01/DT1.Politicas-publicas-y-pobreza-energetica-en-Chile.pdf
Barrella, R., Romero, J. C., Linares, J. I., Arenas, E., Asín, M., & Centeno, E. (2022). The dark side of energy poverty: Who is underconsuming in Spain and why? Energy Research & Social Science, 86. https://doi.org/10.1016/j.erss.2021.102428
Berk, I., Kasman, A., & Kılınç, D. (2020). Towards a common renewable future: the System-GMM approach to assess the convergence in renewable energy consumption of EU countries. Energy Economics, 87. https://doi.org/10.1016/j.eneco.2018.02.013
Billi, M., Amigo, C., Calvo, R., & Gómez, A. U. (2018). Economía de la pobreza energética ¿por qué y cómo garantizar un acceso universal y equitativo a la energía? Economía y Política, 5(2), 35-65.
Blasko, M., & Yusran, H. (2017). Verifying of beta convergence for South East countries of Asia. Journal of Indonesian Applied Economics, 7(1), 59-70. https://doi.org/10.21776/ub.jiae.2017.007.01.4
Boardman, B. (1991). Fuel poverty: from cold homes to affordable warmth. Pinter Pub Limited.
Boemi, S. N. & Papadopoulos, A. M. (2019). Energy poverty and energy efficiency improvements: a longitudinal approach of the Hellenic households. Energy and Buildings, 197, 242-250. https://doi.org/10.1016/j.enbuild.2019.05.027
Boltvinik, J. (2013). Douglas Besharov and Kenneth Couch (eds.) (2012), Counting the Poor: New Thinking about European Poverty Measures and Lessons for the United States [review] . Journal of Social Policy, 42(4), 852-855. https://doi.org/10.1017/S0047279413000433
Bouille, D. (2004). Manual de economía de la energía. IDEE/FB.
Caliński, T. & Harabasz, J. (1974). A dendrite method for cluster analysis. Communications in Statistics, 3(1), 1-27. https://doi.org/10.1080/03610927408827101
Calvo, R., Álamos, N., Billi, M., Urquiza, A., & Contreras Lisperguer, R. (2021). Desarrollo de indicadores de pobreza energética en América Latina y el Caribe. CEPAL.
Caruana, M. E. C. & Méndez, F. M. (2019). La pobreza energética desde una perspectiva de género en hogares urbanos de Argentina. SaberEs, 11(2), 133-151. https://doi.org/10.35305/s.v11i2.186
Cassetta, E., Nava, C., & Zoia, M. (2022). A three-step procedure to investigate the convergence of electricity and natural gas prices in the European Union. Energy Economics, 105. https://doi.org/10.1016/j.eneco.2021.105697
Castaño-Rosa, R., Solís-Guzmán, J., Rubio-Bellido, C., & Marrero, M. (2019). Towards a multiple-indicator approach to energy poverty in the European Union: A review. Energy and Buildings, 193, 36-48. https://doi.org/10.1016/j.enbuild.2019.03.039
Cecchini, S., Villatoro, P., & Mancero, X. (2021). El impacto de las transferencias monetarias no contributivas sobre la pobreza en América Latina. Revista de la CEPAL, (134), 8-32.
Ciaschi, M. (2021). Análisis distributivo utilizando información satelital. El caso de Argentina. Estudios Económicos, 38(77), 5-38. https://doi.org/10.52292/j.estudecon.2021.2116
Conconi, A. & Brun, C. (2015). Medición de la pobreza más allá del ingreso: El método AF. SaberEs, (7), 79-84. https://doi.org/10.35305/s.v0i7.116
______ (2007). Pobreza multidimensional relativa: Una aplicación a la Argentina. CEDLAS.
Dabús, C., Delbianco, F., & Zinni, M. B. (2014). No convergencia en América Latina. Estudios Económicos, 31(63), 57-80. https://doi.org/10.52292/j.estudecon.2014.743
Day, R., Walker, G., & Simcock, N. (2016). Conceptualising energy use and energy poverty using a capabilities framework. Energy Policy, 93, 255-264. https://doi.org/10.1016/j.enpol.2016.03.019
Delgado, R. G. M. (2020). Pobreza, desigualdad y vulnerabilidad en América Latina (2000-2020). Americanía: Revista de Estudios Latinoamericanos, (11), 56-90. https://doi.org/10.46661/americania.5200
Dubois, F., Zabaloy, M. F., & Ibañez Martin, M. M. (2023). Modeling energy consumption to measure energy poverty in households in Buenos Aires, Argentina. Regional Statistics, 3.
Energy Poverty Advisory Hub. (2023). Energy Poverty Advisory Hub (EPAH) Handbook 1: A guide to energy poverty diagnosis. Energy Poverty Advisory Hub, European Comission.
García Ochoa, R. (2014). Pobreza energética en América Latina. CEPAL.
Gasparini, L. (2019). La desigualdad en su laberinto: hechos y perspectivas sobre desigualdad de ingresos en América Latina. CEDLAS.
González, F. A. I., Reyes Pontet, M. D., Zabaloy, M. F., Ibáñez Martín, M. M., & London, S. (2021). Experimentos en ciencias sociales: Energías renovables y pobreza energética en el Sur de la provincia de Buenos Aires-Argentina. Visión de Futuro, 25(1). https://doi.org/10.36995/j.visiondefuturo.2021.25.02.005.es
González, F. A. I., & Santos, M. E. (2018). Las múltiples dimensiones de la pobreza: osadas en el contexto de la Argentina urbana. Visión de Futuro, 22(2).
González-Eguino, M. (2015). Energy poverty: An overview. Renewable and sustainable energy reviews, 47, 377-385. https://doi.org/10.1016/j.rser.2015.03.013
González Fernández, A., Donolo, D., & Rinaudo, C. (2009). Emociones académicas en universitarios: su relación con las metas de logro. Ansiedad y Estrés, 15(2-3), 263-277.
Guzowski, C. (2016). Los nuevos desafíos de las políticas públicas aplicadas al sistema energético ambiental argentino. In C. Guzowski, M. M. Ibáñez Martín, & M. Rojas (Coords.), Los desafíos de la política energética en Argentina. Panorama y propuestas (pp. 159-171). Dunken.
Ibáñez Martín, M. M. (2018). Exclusión social: los desafíos de su conceptualización y medición. Una propuesta desde un enfoque axiomático. Aplicación para Argentina. (Tesis Doctoral en Economía, Universidad Nacional del Sur). http://repositoriodigital.uns.edu.ar/handle/123456789/4475
Ibáñez Martín, M. M., Zabaloy, M. F., & Guzowski, C. (2019). Una primera exploración de la situación de pobreza energética en Argentina: ¿Es la pobreza energética un fenómeno independiente de las privaciones multidimensionales? Anales de la Reunión Anual de la Asociación Argentina de Economía Política.
IDEAL 2022: Energía, agua y salud para un mejor medio ambiente (2022). CAF. https://scioteca.caf.com/handle/123456789/1980
Isidro Luna, V. M. (2022). World inequality, Latin America catching up, and the asymmetries in power. The Japanese Political Economy, 48(1), 27-48. https://doi.org/10.1080/2329194X.2022.2056058
Kliksberg, B. (2005). América Latina: La región más desigual de todas. Revista de Ciencias Sociales, 11(3), 411-421.
Li, K., Lloyd, B., Liang, X. J., & Wei, Y. M. (2014). Energy poor or fuel poor: What are the differences? Energy Policy, 68, 476-481. https://doi.org/10.1016/j.enpol.2013.11.012
Liu, T. & Lee, C. (2020). Convergence of the world's energy use. Resource and Energy Economics, 62. https://doi.org/10.1016/j.reseneeco.2020.101199
Lustig, N. (2020). Desigualdad y descontento social en América Latina. Nueva Sociedad, 286, 53-61.
Maurizio, R. (2021). Empleo e informalidad en América Latina y el Caribe: una recuperación insuficiente y desigual. Organización Internacional del Trabajo.
Nathwani, J. & Kammen, D. M. (2019). Affordable energy for humanity: a global movement to support universal clean energy access. Proceedings of the IEEE, 107(9), 1780-1789. https://doi.org/10.1109/jproc.2019.2918758
Nussbaumer, P., Bazilian, M., Modi, V., & Yumkella, K. K. (2011). Measuring energy poverty: Focusing on what matters. Oxford Poverty & Human Development Initiative (OPHI).
Pachauri, S. (2011). Reaching an international consensus on defining modern energy access. Current Opinion in Environmental Sustainability, 3(4), 235-240. https://doi.org/10.1016/j.cosust.2011.07.005
Pardo, E., & Del Campo, P. (2007). Combinación de métodos factoriales y de análisis de conglomerados en R: el paquete FactoClass. Revista Colombiana de Estadística, 30(2), 231-245.
Parry, I. W. H., Black, S., & Vernon, N. (2022). Still not getting energy prices right: A global and country update of fossil fuel subsidies. IMF. https://www.imf.org/en/Publications/WP/Issues/2021/09/23/Still-Not-Getting-Energy-Prices-Right-A-Global-and-Country-Update-of-Fossil-Fuel-Subsidies-466004
Paz, J. A. (2014). Pobreza multidimensional en la Argentina. Asimetrías regionales. IELDE, Facultad de Ciencias Económicas, Jurídicas y Sociales, UNSa.
Paz, J. A., & Arévalo, C. (2021). Pobreza en hogares con jefatura femenina en Argentina. Una comparación entre el norte grande y el resto del país. Visión de Futuro, 25(1). https://doi.org/10.36995/j.visiondefuturo.2021.25.02.001.es
PNUD. (2018). Pobreza energética: análisis de experiencias internacionales y aprendizajes para Chile. Author.
Ponce, M. G. (2018). Medición de pobreza multidimensional de la iniciativa en pobreza y desarrollo humano. Revista de Ciencias Sociales (Ve), 24(4), 98-113.
Ramos Carvajal, C., Alvargonzález Rodríguez, M., & Moreno Cuartas, B. (2019). Factores determinantes de la reducción de la desigualdad en la distribución de la renta en países de América Latina. Revista de la CEPAL, (126), 87-107.
Red de Pobreza Energética. (2019). Acceso equitativo a energía de calidad en Chile. Hacia un indicador territorializado y tridimensional de pobreza energética.
Rodríguez, M., González, M., & Zurita, E. (2020). El gasto público social y su incidencia en la pobreza de América Latina, periodo 2000-2017. Espacios, 41, 10-12.
Rojas, H. L., & Ríos, J. J. G. (2015). Medición de la pobreza multidimensional en América Latina a través de modelos estructurales. Cooperativismo & Desarrollo, 23(106).
Romero-Avila, D., & Omay, T. (2022). Convergence of per capita energy consumption around the world: new evidence from nonlinear panel unit root tests. Energy Economics, 111. https://doi.org/10.1016/j.eneco.2022.106062
Salman, M., Zha, D., & Wang, G. (2022). Assessment of energy poverty convergence: A global analysis. Energy, 255. https://doi.org/10.1016/j.energy.2022.124579
Sankhyayan, P. & Dasgupta, S. (2019). ‘Availability’and/or ‘affordability’: What matters in household energy access in India? Energy Policy, 131, 131-143. https://doi.org/10.1016/j.enpol.2019.04.019
Saraví, G. A. (2020). Acumulación de desventajas en América Latina: aportes y desafíos para el estudio de la desigualdad. Revista Latinoamericana de Población, 14(27), 228-256. https://doi.org/10.31406/relap2020.v14.i12.n27.7
Sinaga, K. P. & Yang, M. S. (2020). Unsupervised K-means clustering algorithm. IEEE Access, 8, 80716-80727. https://doi.org/10.1109/access.2020.2988796
United Nations. (2012). International year for sustainable energy for all: resolution adopted by the General Assembly. A/RES/65/151.
Vega, P. V. & Povis, L. S. (2021). Las limitaciones de la aplicación del concepto de pobreza energética en Perú. Derecho & Sociedad, (56), 1-31.
Villatoro, P. & Santos, M. E. (2019). ¿Quiénes son pobres? Análisis de su identificación en América Latina. Problemas del Desarrollo, 50(199), 3-29. https://doi.org/10.22201/iiec.20078951e.2019.199.68414
World Bank. (2023). DataBank: World development indicators database. https://databank.worldbank.org/source/world-development-indicators
World Energy Council. (2017). World Energy Trilemma Index 2017. https://www.worldenergy.org/assets/downloads/Energy-Trilemma-Index-2017-Report.pdf
Yuan, C. & Yang, H. (2019). Research on K-value selection method of K-means clustering algorithm. J, 2(2), 226-235. https://doi.org/10.3390/j2020016
Zabaloy, M. F., Ibáñez Martín, M. M., & Guzowski, C. (2023). La transición energética justa y la pobreza energética en Argentina: ¿qué rol juega el territorio? Revista Planeo, (47). https://doi.org/10.7764/plan.047.096
Zabaloy, M. F., Ibáñez Martín, M. M., & Martínez, C. (2022). Desigualdad energética y políticas públicas: un análisis inicial para Argentina. Asociación Argentina de Economía Política.
Annex


