Artículos
Received: 03 October 2023
Accepted: 14 May 2024
DOI: https://doi.org/10.34096/ics.i50.13510
Resumen: Se analiza la productividad de los autores que publicaron artículos en la revista Contratexto, desde 1985 hasta 2022, se busca identificar a los autores más productivos y aquellos que constituyen el núcleo de autores productores. Para ello, se construyó una base de datos bibliográfica dedicada a la revista en el gestor de referencias Endnote X9; posteriormente, los datos fueron exportados a Excel y trabajados con los paquetes nls2 y proto del Proyecto R. La productividad de los autores fue medida con la Ley de Lotka mediante el modelo del poder inverso generalizado, en el análisis de los datos se consideraron las tres formas de conteo: directo, completo y fraccionado. Para medir el ajuste de los datos observados a la distribución de Lotka para cada una de las formas de conteo se usaron la prueba chi-cuadrado y Kolmogorov-Smirnov. Se encontró que el modelo del poder inverso generalizado para las tres formas de conteo se ajusta a la distribución de Lotka. Se encontró también una alta concentración de autores con un solo artículo publicado en la revista en sus 38 años de existencia, los autores más productivos en el periodo de estudio en su mayoría están vinculados a la universidad que edita la revista.
Palabras clave: Bibliometría, Ley de Lotka, Revistas académicas, Comunicación social, Perú.
Abstract: The productivity of the authors who published articles in the journal Contratexto, from 1985 to 2022, was analyzed to identify the most productive authors and those who constitute the core of producing authors. For this purpose, a bibliographic database dedicated to the journal was built in the Endnote X9 reference manager; subsequently, the data were exported to Excel and processed in Project R. The productivity of the authors was measured with Lotka's Law using the generalized inverse power model; the three forms of counting were considered in the analysis of the data: direct, complete, and fractional. The chi-square test and Kolmogorov-Smirnov test were used to measure the fit of the observed data to the Lotka distribution for each of the counting methods. The generalized inverse power model for the three counting forms was found to fit Lotka's distribution. A high concentration of authors with only one article published in the journal in its 38 years of existence was also found; the most productive authors in the studied period are mostly linked to the university that publishes the journal.
Keywords: Bibliometrics, Lotka's Law, Academic journals, Social communication, Peru.
Introducción
No existe ciencia sin literatura publicada. Utilizando métodos cuantitativos la bibliometría permite analizar la producción científica y académica mediante la cual se puede conocer la distribución de los autores de un área del saber, una temática y/o revista según su productividad y contribución. La autoría de la investigación es la base bibliográfica que proporciona una medida objetiva de las personas que realizan investigaciones en una especialidad y por eso la autoría de una investigación publicada se atribuye a alguien que ha realizado contribuciones sustantivas al desarrollo del conocimiento en una especialidad, pues a largo plazo estas contribuciones tienen implicaciones académicas, sociales y económicas en el invisible sistema de recompensas académicas operando en los diferentes sectores sociales. El análisis de la productividad científica de los autores se refiere al conteo y análisis de los documentos publicados por los científicos.
En cualquier campo científico la producción de la literatura académica está fuertemente sesgada y es asimétrica en el sentido de que la mayor proporción de la producción de documentos se concentra en un pequeño número de individuos altamente productivos. Para medir esta asimetría, Alfred Lotka en 1926 propuso el modelo del cuadrado inverso que establecía que más o menos el 60% de lo que publican y producen los científicos corresponde a la producción de los pequeños productores de documentos, es decir, aquellos que producen apenas un documento en un periodo determinado. Sin embargo, quien inició estas exploraciones no fue precisamente Alfred Lotka sino Arnold Dresden (1922), quien estudió la producción de artículos en la revista American Mathematical Society, Sección de Chicago, en un periodo de 25 años (1897-1922), encontrando que aproximadamente la mitad de los autores (50%) publicaron un artículo y que un grupo de 10 autores aportaban alrededor del 30% del total de artículos publicados en esa revista. Para explicar esta asimetría, Dresden utilizó el modelo lognormal, pero su modelo no ganó notoriedad y fue oscurecido por la propuesta de Lotka de 1926, tanto que hasta ahora existen muy pocas exploraciones usando la distribución lognormal.
Lotka (1926) no probó el ajuste estadístico de sus datos y dio por sentado que en su modelo el valor de n es igual a 2; por eso, el nombre del modelo de “cuadrado inverso”. Después de muchos experimentos usando la prueba chi-cuadrado, que es un procedimiento estadístico utilizado para determinar si existe una diferencia significativa entre los valores observados y los valores esperados de los datos, el modelo del “cuadrado inverso” de Lotka fue reemplazado por un modelo más adecuado llamado “poder inverso generalizado” (Pao, 1982, 1985). Para estimar el valor de n se recomienda el uso del método de los mínimos cuadrados, pero Nicholls (1989) recomienda el uso de la máxima probabilidad. Entonces, desde la década de los 80 en las aplicaciones de la ley de Lotka, el valor del exponente n dejaba de ser igual a 2, es decir, podría ser 1, 2, 3, 4, 5, …, n dependiendo de los datos observados. No obstante, en diversas investigaciones se continúa utilizando el modelo del cuadro inverso a pesar de que ha sido desestimado, y no respaldan sus datos con ninguna prueba estadística tipo chi-cuadrado o Kolmogorov-Smirnov. La ley de Lotka en su versión descartada sigue siendo usada y citada con gran profusión a pesar de que existen muchos otros modelos más adecuados que producen mejores resultados.
Otro aspecto que no suele ser considerado es el relacionado con la forma de conteo, el cual debe realizarse para medir la productividad de los autores: el conteo directo, cuando solamente el autor principal (el autor nombrado en primer lugar) es acreditado con la contribución de los artículos y los autores secundarios (colaboradores) son ignorados; el conteo completo, cada autor (principal y/o secundario) es acreditado con una contribución completa. Como esta forma de conteo genera una inflación del número de documentos producidos por los autores, se prefiere hablar de “número de firmas” pero no es posible desprenderse de la inflación de los documentos firmados por los autores; y el conteo fraccionado o ajustado, en donde cada autor (principal y/o secundario) es acreditado con una fracción o proporción de la contribución total de artículos; por ejemplo, si un único artículo fue publicado por 5 autores colaboradores, cada uno es acreditado con 1/5 de la contribución. Muchas investigaciones publicadas no informan acerca de la forma de conteo realizado sobre las autorías analizadas -como se observará en el Marco teórico y antecedentes-, lo que genera incertidumbre respecto a la credibilidad de sus resultados.
Por otro lado, se tienen las revistas académicas a través de las cuales se canalizan los resultados de las investigaciones realizadas en una determinada especialidad. La razón de ser de una revista científica es resaltar el contenido de las investigaciones elaboradas por la comunidad académica, impulsando el avance de las áreas del conocimiento; muchos autores reiteran la importancia de las revistas científicas como vehículo de difusión y socialización de los estudios científicos. Se destaca así que la publicación de la producción científica a través de revistas académicas es la forma más utilizada por los investigadores para difundir los hallazgos y resultados de sus investigaciones; por lo tanto, los artículos publicados por estas revistas pueden ser escudriñadas y analizadas en términos de la productividad de los autores que publican en esas revistas.
Este es el caso de la revista Contratexto, revista académica especializada en el campo de la Comunicación, fundada y respaldada desde 1985 por la Facultad de Comunicación de la Universidad de Lima (Perú). Publicación de acceso abierto, indexada desde 2021 en las bases de datos Scopus y SciELO, mantiene una periodicidad semestral y se encuentra disponible tanto en formato digital como impreso (Contratexto, s.f.; Mateus y Gálvez, 2022). Lleva 38 años siendo publicada y a través de ella se han diseminado 416 artículos hasta diciembre de 2022.
El objetivo de este artículo es mostrar la aplicación del modelo de poder inverso generalizado para analizar la productividad de los autores, utilizando como estudio de caso la revista Contratexto; especificando los métodos de conteo (directo, completo y fraccionado) y las pruebas estadísticas de chi-cuadrado y Kolmogorov-Smirnov que certifican la bondad del ajuste del modelo. Por ello, se pretende responder las siguientes preguntas que orientan este trabajo:
¿El modelo del “poder inverso generalizado” se ajusta a la productividad de los autores de artículos en la revista Contratexto?
¿Las pruebas estadísticas de chi-cuadrado y Kolmogorov Smirnov corroboran el ajuste del modelo del poder inverso generalizado a las formas de conteo para este caso de estudio?
¿Es posible identificar un núcleo de autores altamente productivos? ¿Quiénes son estos autores?
Para lograr el objetivo propuesto, este artículo está organizado en seis partes. En la primera se presenta una introducción al asunto, se detalla el problema y se formulan las preguntas de investigación. En la segunda parte, se ofrece el referencial teórico sobre los estudios de productividad de los autores y la ley de Lotka, se revisa exhaustivamente la literatura publicada y se explora los modelos propuestos para medir la productividad de los autores. Luego, en la tercera parte se describe la metodología empleada y la aplicación de la ley de Lotka indicando el método de la recolección de los datos y la medición de estos. En la cuarta y quinta parte, se exponen los resultados y se presentan las conclusiones y discusiones de los resultados obtenidos. Finalmente, se presenta la bibliografía revisada para la elaboración de esta investigación.
Marco teórico y antecedentes
La ley de Lotka es una distribución producto de un proceso dinámico en la producción de documentos publicados en cualquier campo académico. Hay dos teorías que dan una explicación de este proceso dinámico:
a) La teoría del efecto Mateo: derivado de la cita bíblica según el Evangelio de Mateo que dice “Porque a cualquiera que tiene, se le dará y tendrá más; pero al que no tiene, aun lo que tiene le será quitado” (Biblia Reina-Valera, 2009, Mateo 13:12). El concepto del “efecto Mateo” en el contexto de la producción científica fue introducida por Merton (1968) afirmando que un autor con experiencia acreditada verá más favorecidas sus publicaciones que un joven sin experiencia o un recién llegado al campo de la producción académica. El efecto Mateo se manifiesta como un reforzamiento en la estratificación académica que surge de la tendencia de que el éxito pasado de un científico afecta positivamente su éxito futuro. Por ejemplo, si solo uno de dos jóvenes académicos talentosos recibe un premio, el académico ganador del premio tendrá una carrera más exitosa. Esto sucede porque el ganador disfruta de ventajas de recursos y estatus sobre el no ganador. Estas ventajas hacen que las diferencias en el éxito futuro crezcan aún más, poniendo en marcha un proceso llamado “ventaja acumulativa de distinción creciente”. Esto da lugar también a lo que se conoce como el fenómeno de que el suceso-genera-suceso como sinónimo del éxito.
b) Teoría de la ventaja acumulativa: esta teoría sostiene que una vez que un individuo consigue una pequeña ventaja sobre el resto de la población ésta tenderá a acumularse a lo largo del tiempo, mejorando así la situación del individuo, contribuyendo además a agudizar la desigual distribución de la productividad entre los individuos (Price, 1976). En este contexto, la carrera de un investigador se interpreta como una sucesión de acontecimientos que otorgan cada vez más reputación y ventaja a determinados investigadores. Esta ventaja se resume bien mediante expresiones como “los ricos cada vez son más ricos”. La productividad científica en cualquier campo del conocimiento muestra una distribución muy desigual en número de artículos entre los investigadores y esta situación se explica parcialmente por las diferencias individuales en habilidades, pero existen otras causas que agudizan la desigualdad. Según la teoría de la ventaja acumulativa, se debe esperar divergencias dado que los individuos con mayor riqueza son también los que poseen mayor capital económico y cultural, mayores conexiones sociales y políticas, lo que les facilita aprovechar las oportunidades para asegurar el crecimiento académico con mayor facilidad.
En la literatura publicada se encuentran pocos trabajos aplicando la ley de Lotka a revistas específicas del campo de las ciencias de la comunicación y algunos de ellos muestran ciertas inconsistencias. Vanz y Matheus (2000?) realizaron un análisis de citas de 100 tesis aprobadas entre 1998 y 2000 en tres diferentes programas de posgrado en Comunicación en el sur de Brasil, de las tesis recolectaron 7,648 citas y utilizando el programa Lotka, encontraron que las citas siguen una distribución de la ley de potencia (R2=0.9853) que se ajusta a la ley de Lotka. Probaron el ajuste de los datos observados con la prueba Kolgomorov- Smirnov, pero no informan cuál fue la forma de conteo de las citas, lo que torna inciertos sus hallazgos.
Nascimento (2008) analiza los autores de dos revistas científicas brasileñas del área de comunicación social, para aplicación de la ley de Lotka utiliza el software Lotkaproj con el tipo de conteo completo en cuyos resultados se aprecia que sí ajusta a la ley de Lotka; si bien indican que los datos fueron validados por la prueba de chi-cuadrado para el ajuste de los datos estimados en las figuras se muestra los resultados de la prueba Kolgomorov-Smirnov y, por otro lado, no indican el R2 obtenido.
Estrada-Cuzcano y Alhuay-Quispe (2020) analizaron la productividad de los autores que publicaron en la Revista de Comunicación editada por la Universidad de Piura en Perú utilizando la versión tradicional ya descartada de la ley de Lotka, si bien no fue mencionado, se puede deducir que han utilizado el conteo completo porque mencionan el número de firmas. Los autores concluyen que no se cumple la ley de Lotka porque los resultados de la aplicación del modelo del “cuadrado inverso” así lo prueban; sin embargo, se evidencia que no es correcta dicha afirmación, ya que, en principio, aplicaron un modelo ya rebatido. Utilizando el dataset proporcionado por los autores, se probó el modelo de poder inverso generalizado empleando el conteo completo, obteniéndose un R2 de 0.999. Además, en la prueba de Kolgomorov-Smirnov, se obtuvó una desviación máxima de 0.039 y un valor crítico de 0.098 a un nivel de significancia de 0.05. Estos resultados confirman un ajuste adecuado a la ley de Lotka.
Al analizar la productividad de los autores en cinco revistas de comunicación, Méndez-Rátiva y Gregorio-Chaviano (2014) afirman que los datos se ajustan al modelo de Lotka. Sin embargo, el coeficiente R2 reportado es bastante bajo, con un valor de 0.6588, lo cual no proporciona suficiente evidencia para respaldar dicha afirmación. Además, los autores no realizaron ninguna prueba estadística de validación, como la prueba de Kolmogorov-Smirnov o chi-cuadrado, para determinar si el ajuste observado es estadísticamente significativo a un nivel de confianza. Por lo tanto, sus resultados son inconsistentes; igualmente, no explican por qué intentaron medir esta productividad también con un modelo logarítmico. Una replicación de sus datos hechos por los autores de este artículo, utilizando el modelo del poder inverso generalizado produjo un R2 igual a 0.9999758 y la prueba estadística chi-cuadrado dio 5.261194 y con valor crítico igual a 15.09 a un nivel de significancia igual a 0.01.
En otros estudios que analizan la productividad de autores en revistas de otras áreas temáticas encontramos a Ribeiro (2021) quien estudia diversos aspectos de la revista Advances in Scientific and Applied Accounting (ASAA) desde 2008 hasta 2017. Busca medir los indicadores de autoría, redes de coautorías (unimodal y bimodal), producción académica y temas abordados utilizando el software UCINET 6, NetDraw 2 para Windows y Microsoft Excel 2007. Encontró 335 autores, 16 de los cuales publicaron de cuatro a siete artículos, 13 publicaron tres artículos, 30 dos artículos y 276 autores un solo artículo, concluyendo que estos resultados están en línea con la ley de Lotka. Sin embargo, no informa acerca del modelo utilizado ni la forma de conteo empleada en la recolección de los datos, como tampoco las ecuaciones pertinentes para la estimación de los datos, por lo que pone en duda la validez de los resultados obtenidos. Tunga (2021) estudia el patrón de citación de la revista Economica, New Series para determinar la aplicación de la ley de Lotka y la productividad de los autores en la literatura económica. El estudio cubre 8347 artículos de esta revista desde 2007 hasta 2016; usa el modelo del poder inverso generalizado recomendado por Pao (1986) y la prueba estadística Kolmogorov-Smirnov para confirmar el ajuste de la ley de Lotka a las citas de esta revista. No reporta la forma de conteo utilizado, pero encontró que la desviación máxima es mayor que el valor crítico de la prueba Kolmogórov-Smirnov; por lo tanto, concluye que el modelo de Lotka no se ajusta a las citas analizadas de esta revista.
Recopilando artículos indexados por la base de datos EBSCO relativos a la revista International Journal of Cooperative Information Systems (IJCIS),Mohanty, Sahoo y Dash (2018) analizaron la productividad de los autores, la distribución geográfica, el patrón de citas, la distribución de artículos por instituciones y disciplinas, las instituciones productivas, así como los índices de productividad, actividad, colaboración nacional e internacional. También exploraron la aplicabilidad de la ley del cuadrado inverso de Lotka y la ley de Zipf. Con relación a la ley de Lotka utilizaron el modelo del poder inverso generalizado, pero no reportan la forma de conteo de los autores productores. La bondad de ajuste fue realizada con la prueba Kolmogorov-Smirnov que a un nivel de significancia de 0.001 determinó que la fórmula generalizada de Lotka se ajusta a la literatura publicada por la revista IJCIS. El patrón de autorías de artículos publicados en la revista Journal of Documentation entre 2003 y 2015 fue analizado por Kumar (2017). La productividad de los autores muestra que, de los 2106 autores únicos, 1348 (64,01 %) produjeron un artículo, 342 (16,24 %) produjeron dos artículos y así sucesivamente. Para la aplicación de la Ley de Lotka utilizó el modelo del poder inverso generalizado propuesto por Pao (1985) con la forma de conteo directo. La bondad de ajuste de Kolmogorov-Smrinov que se utiliza para comparar las funciones que describen las distribuciones observadas y teóricas de las publicaciones con un nivel de significancia del 10% revelaron que la ley de Lotka era aplicable al conjunto de publicaciones de esta revista.
Das (2015) estudió diversos aspectos de la autoría y la colaboración de los documentos publicados en el Journal of Informetric desde 2007 a 2013. Aplicó a sus datos ambos modelos, cuadrado inverso y poder inverso generalizado, encontrando que el modelo del cuadrado inverso no se ajustaba a los datos observados, pero el modelo poder inverso generalizado con n = 2.19 se ajustaba muy bien a la distribución de Lotka en los documentos publicados en esta revista. Para este último modelo, usó la ecuación propuesta por Bookstein (1976). Es relevante destacar en este contexto que cuanto mayor es el valor de n , mayor es la brecha entre la productividad de los autores individuales que contribuyen con el número de artículos cada uno; prácticamente, un valor más alto de n implica que la proporción de autores altamente productivos es decreciente. Lamentablemente Das (2015) no informa el tipo de conteo utilizado para la recolección de los datos ni la prueba estadística utilizada para validar el ajuste de sus datos.
Carvalho, Fontes y Araújo (2012) analizaron la producción de artículos de Oikos: Revista Brasileira de Economía Doméstica en el periodo 2002 a 2011. Para recolectar los datos utilizaron el método de conteo directo, observando que casi el 76% de los autores que tuvieron su investigación aprobada en la revista publicaron un solo artículo en el período analizado. Aplicaron la ley de Lotka por el método del poder inverso generalizado y usaron la prueba chi-cuadrado para verificar el ajuste de la distribución de las frecuencias observadas. Los resultados mostraron que la ley de Lotka se ajusta adecuadamente a la distribución de los autores que publicaron en esta revista.
El nivel de productividad de los investigadores en la literatura financiera brasileña aplicando la ley de Lotka por conteo directo y completo fue estudiado por Cândido et al., (2018). El corpus del estudio estuvo compuesto por 873 artículos digitalizados y publicados en 24 revistas nacionales entre 2005 y 2014. Las pruebas de adecuación de la distribución de la frecuencia empírica a la propuesta de la ley de Lotka, utilizando el método de conteo directo, confirmó la hipótesis de homogeneidad de la distribución, lo que permite afirmar que la distribución de la producción científica de los autores de la literatura de Finanzas se ajusta a la ley de Lotka. Sin embargo, “los resultados utilizando el método de conteo completo, apuntan al rechazo de la hipótesis de homogeneidad de las distribuciones, llevándonos a afirmar que la distribución de la producción científica de los autores de la literatura de Finanzas no se ajusta a la Ley de Lotka” (p. 11). Además, la pendiente expresada por el parámetro n = -2.25 indica que la productividad de los autores de Finanzas también fue inferior a la encontrada por Lotka (1926); sin embargo, superior a la encontrada por el conteo directo, indicando un efecto favorable de producción en colaboración. Cabe anotar que en este documento hay una interpretación errada de la desviación máxima ya que esta es menor que el valor crítico, por lo tanto, la ley de Lotka describe adecuadamente el comportamiento de esta literatura.
Metodología
En esta investigación se utiliza el modelo del poder inverso generalizado y se usa la prueba chi-cuadrado y la de Kolgomorov-Smirnov para medir el ajuste estadístico. Se empleó el gestor de bibliografías Endnote 9.0 para construir una base de datos bibliográfica dedicada a la revista Contratexto; por lo cual, cada una de las referencias de los artículos publicados por esta revista desde 1985 hasta diciembre de 2022 fueron copiados, cargados y organizados en este gestor. Posteriormente, en la base de datos bibliográfica creada se normalizaron las entradas de los nombres de los autores, pues muchas veces estos son registrados en un artículo con un solo apellido y en otro, con dos apellidos.
Para la aplicación de la Ley de Lotka, de esta base de datos se exportaron todos los autores de los documentos y se contabilizaron el número de veces que aparecían como autores participantes en la publicación de los artículos. Para el análisis de los datos se consideraron las tres formas de conteo: directo, completo y fraccionado. Los datos producidos por cada una de estas formas de conteo se organizaron en una hoja de cálculo de Excel, para el caso del conteo fraccionado se utilizó el programa BibExcel; posteriormente, se utilizaron los paquetes nls2 (Non-Linear Regression with Brute Force), que estima por los mínimos cuadrados los parámetros de un modelo no lineal (Grothendieck, 2022) y proto (Prototype Object-Based Programming), para facilitar la programación orientada a objetos (Grothendieck, Kates y Petzoldt, 2016) del Proyecto R.
Se usó el modelo del poder inverso generalizado con la siguiente ecuación:

donde,
yx es la probabilidad de que un autor haga x contribuciones sobre un asunto
C y n son los dos parámetros que deben ser estimados de los datos observados.
Para medir el ajuste de los datos observados a la distribución de Lotka para cada una de estas formas de conteo se usaron la prueba chi-cuadrada y la prueba Kolgomov-Smirnov a un nivel de significancia de 0.05.
Resultados
Se contabilizaron 416 artículos publicados por la Revista Contratexto hasta diciembre de 2022. La Tabla 1 muestra la cantidad de autores identificados según la forma de conteo empleado. Por ejemplo, cuando se considera el conteo directo se observaron un total de 343 autores, 305 (88.9%) de los cuales contribuyeron con un solo artículo, 22 autores que contribuyeron con 2 artículos, 9 autores con 3 artículos y así sucesivamente. Para el caso del conteo completo se contabilizaron 461 autores (firmas), pero con esta forma de conteo se observaron 406 (88.1%) autores con una sola firma por artículo, 34 con 2, 13 con 3 y así sucesivamente. Cuando se adopta el conteo fraccionado se observan un total de 461 autores, 417 (90.5%) de ellos aportando una colaboración, 26 con 2, 11 con 3 y así sucesivamente.

Para mostrar como la forma de conteo adoptada infla el número de artículos observados se muestra la Tabla 2. Dependiendo de la forma de conteo que se adopte varían el número total de artículos. Cuando se adopta la forma de “conteo directo”, esta es la única forma de conteo que proporciona un número de artículos (contribuciones) correctamente observadas, en este caso se observaron 416 artículos. En las otras formas de conteo, si bien el número de autores es el correcto, se distorsiona el número total de artículos observados. Para la forma de conteo completo se observaron 562 artículos, 146 por encima de los 416 artículos publicados en la revista Contratexto. Por ejemplo, se muestra 406 artículos publicados por un único autor; 68 artículos publicados por 2 autores, 39 por 3 autores y así sucesivamente. Para el caso del conteo fraccionado se observaron 545 artículos, 129 artículos por encima de los 416 artículos observados en la revista. Es así como se observaron 417 artículos escritos por un solo autor, 52 por 2 autores, 33 por 3 autores y así sucesivamente. Por eso, en el caso de la forma de “conteo completo”, se habla de “firmas” y en el caso del conteo fraccionado se habla de “participaciones”.
Se debe alertar que cuando no se comunica la manera de conteo utilizado no se conocerá las distorsiones introducidas por el propio modelo. Probablemente, esta fue la razón por la que el propio Lotka en 1926 optó por contar solamente a los autores principales, es decir, el conteo directo. Para insistir nuevamente, en las aplicaciones de la ley de Lotka se recomienda informar acerca de la forma de conteo utilizado y probar el ajuste de los datos con la prueba estadística chi-cuadrado y/o Kolgomorov-Smirnov. No informando estos dos aspectos del tratamiento de los datos los resultados obtenidos en la aplicación de la ley de Lotka serán dudosos y desprovistos de credibilidad.

La Tabla 3 muestra los estimados de los parámetros C y n según la forma de conteo utilizado para los datos de la revista Contratexto. Cuando se adopta la forma de conteo directo, el valor de C es igual a 304.954, con n igual a 3.697, produciendo un error estándar residual de 1.808 con 6 grados de libertad a un nivel de significancia del 0.000001 y produce un R2 igual a 0.99975. Esto indica que el modelo del poder inverso generalizado se ajusta muy bien a los datos de los autores productores de artículos publicados en esta revista.

Cuando se adopta la forma de conteo completo, el valor de C es igual a 405.952, con el valor de n igual a 3.515, produciendo un error estándar residual de 2.529 con 6 grados de libertad a un nivel de significancia del 0.001 y produce un R2 igual a 0.99972. Esto indica que el modelo del poder inverso generalizado también se ajusta muy bien a los datos de los autores productores de artículos publicados en Contratexto utilizando esta forma de conteo.
Por otro lado, cuando se adopta la forma de conteo fraccionado, el valor de C es igual a 416.949 con el valor de n igual a 3.99, produciendo un error estándar residual de 2.840 con 6 grados de libertad a un nivel de significancia del 0.001 y produce un R2 igual a 0.9998. Esto indica nuevamente que el modelo del poder inverso generalizado también se ajusta perfectamente a los datos de los autores productores de artículos publicados en la revista Contratexto utilizando el conteo fraccionado.
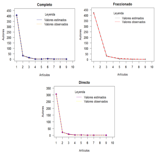
Para facilitar la comparación de los datos observados y estimados en la Tabla 4 se muestra en paralelo los valores de los autores observados y estimados según el tipo de conteo empleado. En las tres formas de conteo la mayor diferencia entre ambos valores observados y esperados se produce en el momento tres de la distribución. Sin embargo, esta discrepancia no afecta ni la prueba chi-cuadrada ni la prueba Kolmogorov-Smirnov. Esto puede ser observado en los trazados de las figuras correspondientes a las tres formas de conteo.

En la Figura 1 se puede observar cómo los valores observados de los 3 tipos de conteo (completo, directo y fraccionado) corren ajustados a los valores estimados. El trazado de los valores confirma el ajuste del modelo del poder inverso generalizado a la distribución de autores productores de artículos en la revista Contratexto de 1985 a 2022.

La Tabla 5 muestra los valores estimados de la prueba chi-cuadrado para cada una de las formas de conteo aplicado a los datos de los autores en la revista Contratexto. Para la forma de conteo directo el X2 estimado es menor que el valor crítico (VC) a un nivel de significancia de 0.01 y aún de 0.005 con 2 grados de libertad, lo cual confirma el ajuste del modelo del poder inverso generalizado a los datos estimados de la revista.

La Tabla 6 muestra los valores estimados de la prueba Kolgomorov-Smirnov para cada una de las formas de conteo aplicado a los datos de los autores en la revista Contratexto. Para la forma de conteo directo la desviación máxima (Dmax) estimada es menor que el valor crítico (VC) a un nivel de significancia de 0.005 con 6 grados de libertad, reafirmando el ajuste del modelo del poder inverso generalizado a los datos estimados de la revista.

Por lo tanto, se encontró que cuando se usa el modelo del poder inverso generalizado para la aplicación de la ley de Lotka, por el método de la máxima probabilidad esta se ajusta y predice adecuadamente los valores estimados para las tres formas de conteo de los autores: directo, completo y fraccionado. Estos ajustes son validados por ambas pruebas chi-cuadrado y Kolgomorov-Smirnov usadas en el análisis de la productividad de los autores en la revista Contratexto.
La Tabla 7 presenta a los autores con mayor número de publicaciones, así como a la institución a las que están ligados. El grupo de los autores que han producidos más artículos en el periodo de estudio de la revista Contratexto, ya sea en colaboración o no, pertenecen al género masculino y se encuentran en su gran mayoría vinculados a la Universidad de Lima. Si bien inicialmente la mayoría de los autores de la revista pertenecen a dicha casa de estudios, esta situación ha cambiado, pues como se indica en los cinco últimos años (2017-2022) el 78% de los artículos producidos por autores de este centro de estudios publican en revistas no editadas en dicha institución (Chaparro y Cuellar-Ascencio, 2022). Desde el 2015, la revista ha ajustado los criterios de las convocatorias con el propósito de fomentar la diversidad de perspectivas, como resultado ahora se presenta más del 70% de contribuciones de autores externos a la institución editora, provenientes de 20 países distintos y representando a más de 100 instituciones diversas (Mateus y Gálvez, 2022). Se observa que dos de los autores son reconocidos por su vinculación con la semiótica (Óscar Quezada-Macchiavello y Desiderio Blanco) y también a temas relacionados al cine, como el caso de Ricardo Bedoya y Emilio Bustamante.

Conclusión y discusión
Para el caso de este estudio, en los 38 años de existencia de la revista Contratexto, utilizando el modelo del poder inverso generalizado para la aplicación de la ley de Lotka, se comprobó que este se ajusta a la productividad de los autores y predice adecuadamente los valores estimados para las tres formas de conteo de los autores: directo, completo y fraccionado. Estos ajustes fueron validados por ambas pruebas estadísticas chi-cuadrado y Kolgomorov-Smirnov.
Los resultados muestran una alta concentración de autores con un solo artículo, lo cual podría deberse a que la revista intenta abrir espacios a los investigadores novatos y por eso existe un alto número de autores con apenas un solo artículo publicado; en este sentido, en los últimos años la revista adecuó su política editorial “para promover la pluralidad de voces en la investigación se aplicaron algunas medidas para superar la repetición de investigadores y países de los que provenían los manuscritos” (Mateus y Gálvez, 2022: 11).
Por otro lado, podría indicar que los autores poco productivos exploran el campo y luego lo abandonan o migran a la exploración de temáticas diferentes a las temáticas cubiertas por la revista Contratexto. Este proceso es explicado por Reiter, Steiner y Werner (1999) con la hipótesis de la concentración y el equilibrio. En los primeros años, las revistas exitosas perciben una alta concentración de autores con muchos artículos que va disminuyendo continuamente, llegando finalmente a un equilibrio. Las revistas con escaso impacto no disminuyen su concentración de autores con muchas publicaciones en la misma proporción y por eso cesan en su publicación y desaparecen. Este no es el caso de Contratexto, que ha logrado disminuir esa alta concentración en los últimos años debido a los cambios de las políticas editoriales en sus esfuerzos por lograr indexarse en base de datos como Scopus o Web of Science.
Una posible explicación dinámica de este proceso es que inicialmente, un grupo de autores líderes organizan la base primigenia de la revista y por eso predominan con sus publicaciones: esta es la hipótesis de concentración (Price, 1963). Con el transcurso del tiempo, la revista se establece y se oficializa, lo cual es señalizado por el envío de otros científicos que someten a publicación cada vez más artículos; finalmente, se alcanza un punto de equilibrio que indica la madurez de la revista: esta es la hipótesis del equilibrio (Price, 1963). Este fenómeno se observa en el caso de la revista Contratexto, ya que, al identificar el núcleo de autores altamente productivos, se aprecia que están vinculados a la casa de estudios editora de la revista; sin embargo, esto cambia en los últimos años como se ha señalado anteriormente.
Por otra parte, que la mayoría de los autores prefieren trabajar de forma individual y aislada, no sería extraño ya que los investigadores de las ciencias sociales y las humanidades en general suelen preferir el trabajo individual frente al colaborativo (McCreery y Pao, 1984). Sin embargo, las prácticas de publicación de los investigadores sobre comunicación se han modificado, pasando de la dominante autoría individual a la colaborativa (Martínez-Nicolás y Carrasco-Campos, 2018). En el caso de Contratexto su política editorial se orientó en la última década a lograr su internacionalización (Mateus y Gálvez, 2022).
Se identificó a los autores más productivos en el periodo de estudio de la revista Contratexto, siendo todos del género masculino; la gran mayoría de estos autores se encuentran vinculados a la Universidad de Lima, institución que edita la revista. Estos hallazgos coinciden con los resultados de Nascimento (2008), quien muestra una predominancia de autores de género masculino; así como, la afiliación de los autores más productivos vinculados a la casa editora.
Existen otros modelos como la binomial negativa, Poisson lognormal, Gauss Poisson inversa generalizada que producen buenos ajustes en su aplicación a la productividad de los autores pero que han sido muy pocas veces exploradas. Sugerimos que las exploraciones también deberían ser hechas con estos modelos. Consideramos que esta investigación puede guiar a otros investigadores a realizar un trabajo más riguroso en el análisis de la literatura publicada en cualquier campo académico, informando las formas de conteo empleado y las pruebas estadísticas utilizadas para validar el ajuste del modelo.
Referencias bibliográficas
Biblia Reina-Valera. 2009. Mateo 13:12. Salt Lake City, Utah: La Iglesia de Jesucristo de los Santos de los Últimos Días.
Bookstein, Abraham. 1976. The bibliometric distribution. En Library Quarterly. Vol. 46, no. 4, 416-423.
Cândido, Ricardo Batista, FábioGallo Garcia, Anderson LuisSaber Campos yElmoTambosi Filho . 2018. Lei de Lotka: um olhar sobre a produtividade dos autores na literatura brasileira de finanças. En Encontros Bibli: revista eletrônica de biblioteconomia e ciência da informação. Vol. 23, no. 53, 1-15. https://doi.org/10.5007/1518-2924.2018v23n53p1
Carvalho, Angelita Alves, MárciaBarroso Fontes y Elisson AlbertoTavares Araújo . 2012. Análise de conteúdo e bibliométrica dos artigos publicados na revista Oikos nos últimos 10 anos. En Oikos: Família e Sociedade em Debate. Vol. 23, no. 2, 3-29. <https://periodicos.ufv.br/oikos/article/view/3632> [Consulta: 21 marzo 2023].
Chaparro, Hernán y DennisCuellar-Ascencio. 2022. Investigación académica de la comunicación: un balance de la investigación en comunicación en la Universidad de Lima (2016-2021). En Contratexto. Vol. 3, 125-156. <https://doi.org/10.26439/contratexto2022.n037.5703>
Contratexto. Revista de la Facultad de Comunicación. s.f. Sobre la revista. <https://revistas.ulima.edu.pe/index.php/contratexto/about> [Consulta: 21 marzo 2023].
Das, Prabir Kumar. 2015. Authorship Pattern and Research Collaboration of Journal of Informetrics. En International Journal of Information Dissemination and Technology. Vol. 5, no. 1, 53-62. <http://eprints.rclis.org/31973/> [Consulta: 21 marzo 2023].
Dresden, Arnold. 1922. A report on the scientific work of the Chicago section, 1897-1922. En Bulletin of the American Mathematical Society. Vol. 28, no. 6, 303-307.
Estrada-Cuzcano, Alonso y Joel Alhuay-Quispe . 2020. Aproximación bibliométrica a la Revista de Comunicación (Perú), 2002-2019. En Revista de Comunicación. Vol. 19, no. 2, 111-124. <https://doi.org/10.26441/RC19.2-2020-A6>
Grothendieck, Gabor, LouisKates y ThomasPetzoldt. 2016. proto: Prototype Object-Based Programming. R package version 1.0.0. <https://CRAN.R-project.org/package=proto> [Consulta: 21 marzo 2023].
Grothendieck, Gabor. 2022. nls2: Non-Linear Regression with Brute Force. R package version 0.3-3. <https://CRAN.R-project.org/package=nls2> [Consulta: 21 marzo 2023].
Kumar, P. K. Suresh. 2017. Author productivity and the application of Lotka’s law in LIS publications. En Annals of Library and Information Studies (ALIS). Vol. 64, no. 4, 234-241. <https://core.ac.uk/download/pdf/229208203.pdf> [Consulta: 21 marzo 2023].
Lotka, Alfred. 1926. The frequency distribution of scientific productivity. En Journal of the Washington Academy of Sciences. Vol. 16, no. 12, 317-323. <https://www.jstor.org/stable/24529203> [Consulta: 21 marzo 2023].
Martínez-Nicolás, Manuel y ÁngelCarrasco-Campos. 2018. La transformación de una comunidad científica. Evolución del patrón de autoría de la investigación española sobre comunicación publicada en revistas especializadas (1990-2014). En Revista Latina de Comunicación Social. No. 73, 1368-1383. <https://doi.org/10.4185/RLCS-2018-1311>
Mateus, Julio-César y Claudia Gálvez. 2022. Evolución y desafíos metodológicos en la producción de una revista científica de Comunicación desde la experiencia de Contratexto. 18 p. Trabajo presentado al XVI Congresode laAsociación Latinoamericana de Investigadores de la Comunicación (ALAIC), realizado en Buenos Aires del 26 al 30 de septiembre de 2022. <https://www.researchgate.net/publication/364184549_Evolucion_y_desafios_metodologicos_en_la_produccion_de_una_revista_cientifica_de_Comunicacion_desde_la_experiencia_de_Contratexto> [Consulta: 21 marzo 2023].
McCreery, Laurie S.yMirandaLee Pao . 1984. Bibliometric analysis of ethnomusicology. En Challenges to an information society: proceedings of the 47th ASIS annual meeting, comp. Barbara Flood,Joanne WitiakandThomas Hogan. White Plains, New York: Knowledge Industry Publications, Inc. for American Society for Information Science. p. 212-216.
Méndez-Rátiva, Claudia Patricia y OrlandoGregorio-Chaviano . 2014. Aproximación a la comunicación desde la perspectiva teórica y bibliométrica. Un análisis en Web of Science 2008-2012. En Signo y Pensamiento. Vol. 33, no. 64, 114-135. <http://www.scielo.org.co/scielo.php?script=sci_arttextypid=S0120-48232014000100008#g2> [Consulta: 21 marzo 2023].
Merton, Robert K. 1968. The Matthew Effect in Science: The reward and communication systems of science are considered. En Science. Vol. 159, no. 3810, 56-63. <https://doi.org.10.1126/science.159.3810.56>
Mohanty, Basudev,JyotshnaSahoo y NrusinghKumar Dash. 2018. Bibliometric Indicators for Assessing the Quality of Scholarly Communications: A Case Study on International Journal of Cooperative Information Systems. En Library Philosophy and Practice (e-journal). No. 2158. <https://digitalcommons.unl.edu/libphilprac/2158/> [Consulta: 21 marzo 2023].
Nascimento, Bruna Silva do. 2008. A Questão da Autoria nas Revistas de Comunicação: características e tendências. Porto Alegre : UFRGS-RS,2008. 79 p. Tesinas de Curso de Grado.
Nicholls, Paul Travis. 1989. Bibliometric modeling processes and the empirical validity of Lotka's law. En Journal of the American Society for Information Science. Vol 40, no. 6, 379-385. <https://doi.org/10.1002/(SICI)1097-4571(198911)40:6<379::AID-ASI1>3.0.CO;2-Q>
Pao, Miranda Lee. 1982. Lotka's test. En Collection management. Vol. 4, no. 1-2, 111-124. <https://doi.org/10.1300/J105v04n01_08>
Pao, Miranda Lee. 1985. Lotka's law: a testing procedure. En Information processing y management. Vol. 21, no. 4, 305-320. <https://doi.org/10.1016/0306-4573(85)90055-X>
Pao, Miranda Lee. 1986. An empirical examination of Lotka's Law. EnJournal of the American Society for Information Science . Vol. 37, no. 1, 26-33. <https://doi.org/10.1002/asi.4630370105>
Price, Derek de Solla. 1963. Little science, big science. Nueva York: Columbia University Press.
Price, Derek de Solla. 1976. A general theory of bibliometric and other cumulative advantage processes. EnJournal of the American Society for Information Science. Vol. 27, no. 5, 292-306 <https://doi.org/10.1002/asi.4630270505>
Reiter, Ludwig,EgbertSteiner yUlrichWerner.1997.Ordnungsstrukturen im Wissenschaftsbetrieb. En Schiepek, G., Tschacher, W., eds. Selbstorganisation in Psychologie und Psychiatrie.Berlin:Vieweg+Teubner Verlag. (Wissenschaftstheorie Wissenschaft und Philosophie. Vol 43). <https://doi.org/10.1007/978-3-322-91596-2_16>
Ribeiro, Henrique César Melo. 2021. Dez anos de trajetória acadêmica da Revista Advances in Scientific and Applied Accounting à luz de sua produção científica. En Revista Ambiente Contábil.Vol.13,no.2,181-207. <https://doi.org/10.21680/2176-9036.2021v13n2ID22460>
Tunga,Santosh Kumar. 2021. Lotka’s Law and Author Productivity in the Economic Literature: A Citation Study. En Indian Journal of Information Sources and Services. Vol. 11, no.2, 1-8. <https://doi.org/10.51983/ijiss-2021.11.2.2998>
Vanz, Samile Andréa de SouzayRenato Fabiano Matheus. 2000. Analyzing gray literature from postgraduate programs in Social Communication in Brazil: network of influence and citation analysis. <https://www.academia.edu/282354/Analyzing_Gray_Literature_From_Postgraduate_Programs_In_Social_Communication_In_Brazil_Network_of_Influence_and_Citation_Analysis> [Consulta: 21 marzo 2023].