Artículos
Caracterización forrajera de ecotipos de zacate buffel en condiciones de temporal en Debre Zeit, Etiopía
Forage characterization of ecotypes of buffel grass under temporary conditions in Debre Zeit, Ethiopia
Caracterización forrajera de ecotipos de zacate buffel en condiciones de temporal en Debre Zeit, Etiopía
Revista mexicana de ciencias agrícolas, vol. 8, núm. 1, 2017
Instituto Nacional de Investigaciones Forestales, Agrícolas y Pecuarias
Recepción: Enero 2017
Aprobación: Febrero 2017
Resumen: Se evaluó la variabilidad del potencial de producción y calidad del forraje de 126 ecotipos de zacate buffel [Pennisetum ciliare (L.) Link], de temporal en Debre Zeit, Etiopía. La precipitación media anual es de 850 mm. La unidad experimental fue un surco de 5 m de longitud con 0.4 m entre plantas. Las variables evaluadas fueron: producción de forraje (PF), altura de planta (AP), largo y ancho de hoja (LH y AH), número de tallos (NT), proteína cruda (PC), fibra detergente neutro y acida (FDN y FDA) y digestibilidad in vivo de la materia orgánica (DIVMO). Se realizó análisis de correlación, componentes principales, análisis de agrupamiento, análisis discriminante y análisis multivariado de la varianza (Manova). Los valores máximos y mínimos fueron: PF de 1 302.37 a 7 442.7 kg MS ha-1, AP de 47.7 a 104.48 cm, LH y AH de 12.1 a 33.5 cm y 0.45 a 2.06 cm, respectivamente. El NT fluctuó desde 30 hasta 125, FDN y FDA de 65.3 a 73.79% y 31.8 a 44.5%, respectivamente y DIVMO de 67.9 a 80.67%. Se presentó una correlación lineal directa entre PC y DIV (rxy= 0.75; p< 0.0001). Los tres primeros componentes explicaron más de 76% de la variación total descrita por las nueve variables. Se encontró que ocho ecotipos y una variedad fueron los que presentaron mayor potencial de producción y calidad de forraje para condiciones de temporal.
Palabras clave: calidad forrajera, diversidad, fenotipo, pasto forrajero.
Abstract: The variability in forage yield and quality of 126 buffel grass ecotypes [Pennisetum ciliare (L.) Link] was evaluated under temporal conditions in Debre Zeit, Ethiopia. The average annual rainfall is 850 mm. The experimental unit was a 5 m long furrow with 0.4 m between plants. The variables evaluated were: forage production (PF), plant height (AP), leaf length and width (LH and AH), number of stalks (NT), crude protein (PC), acid and neutral detergent fiber (FDN y FDA) and in vivo digestibility of organic matter (DIVMO). The correlation analysis, main components, cluster analysis, discriminant analysis and multivariate analysis of variance (Manova) were performed. The maximum and minimum values that were observed were: FP of 1 302.37 to 7 442.7 kg MS ha-1, AP of 47.7 to 104.48 cm, LH and AH of 12.1 to 33.5 cm and 0.45 to 2.06 cm, respectively. The NT fluctuated from 30 to 125, FDN and FDA from 65.3 to 73.79% and 31.8 to 44.5%, respectively, and DIVMO from 67.9 to 80.67%. A direct linear correlation between PC and DIV was presented (rxy=0.75; p< 0.0001). The first three components explained more than 76% of the total variation described by the nine variables. It was found that eight ecotypes and one variety were those that presented greater production potential and forage quality for temporal conditions.
Keywords: diversity, forage grass, forage quality, phenotype.
Introducción
En la ganadería extensiva la diversidad de recursos forrajeros representa la principal fuente de alimentación para el ganado. Mantener y conservar la biodiversidad es importante, ya que su pérdida generaría problemas en la alimentación, tanto animal como humana (Heywood, 2008). Además, se ha estimado que el Continente Africano será más susceptible a los efectos del cambio climático y en especial, se tendrán impactos significativos en poblaciones de especies nativas (Hoffman y Vogel, 2008). Una especie perenne importante en los pastizales de África es el pasto buffel [Pennisetum ciliare (L.) Link]. En este país existe gran variabilidad genética y es considerado como centro de origen de varias especies de este género (Gutiérrez-Ozuna et al., 2009; Burson et al., 2012).
El zacate buffel es un pasto de crecimiento C4 y es una de las mejores gramíneas forrajeras del subtrópico de África. Es ampliamente utilizada en regiones áridas, semiáridas y desérticas del mundo (Dixon y Coates, 2010; Carvalho de Silva et al., 2011; Marshall et al., 2012). Se caracteriza por tener buena producción de forraje (Gómez de la Fuente et al., 2007), evita la erosión del suelo (Bhattarai et al., 2008) y es tolerante a sequías (Quiroga et al., 2013).
El zacate buffel crece bien en terrenos planos con lomeríos suaves y suelos profundos con buen drenaje. Se adapta a un amplio rango de tipo de suelos, con un pH desde neutro hasta ligeramente alcalino (Marshall et al., 2012); sin embargo, existen variedades o ecotipos con alta tolerancia a suelos alcalinos (Griffa et al., 2010). La temperatura óptima para el desarrollo es de 35 °C con un rango de 20 a 45 °C; sin embargo, se ha reportado que llega a tolerar los 50 °C (De la Barrera y Castellanos, 2007). Se considera un pasto con baja tolerancia a las heladas pero las plantas llegan a morir a temperaturas igual o menor a -2 °C (Ludlow, 1980). Se establece bien en regiones donde la precipitación mantiene un rango de150 hasta 700 mm (Ward et al., 2006).
Jorge et al. (2008), al caracterizar en Etiopía descriptores agro-morfológicos de 68 ecotipos de zacate buffel, sugirieron evaluar la diversidad de esta especie en condiciones de temporal e identificar ecotipos con buen potencial forrajero para su uso pecuario. Además, en Etiopía existe un banco de germoplasma que pertenece al ILRI (International Livestock Research Institute) que dispone de 126 ecotipos de zacate buffel. Por lo anterior, se planteó la presente investigación, cuyo objetivo fue evaluar la variabilidad en el potencial de producción y calidad del forraje de 126 ecotipos de pasto buffel, en condiciones de temporal en Debre Zeit, Etiopía.
Materiales y métodos
La presente investigación se realizó en la Estación Experimental Debre Zeit del International Livestock Research Institute (ILRI) en Etiopía, África. El sitio se localiza a 56 km al suroeste de la capital de Addis Abeba en las coordenadas 8° 44’ latitud norte y 30º 58’ E. La altitud es de 1 850 msnm. La precipitación media anual es de 850 mm con mayor presencia de junio a septiembre pero en el año 2014 solo se registró 86.6% (499 mm) de lo esperado (Figura 1). El tipo de suelo es vertizol con un pH de 7. En un banco de germoplasma ex situ localizado en la Estación Experimental Zwai del ILRI, se seleccionaron 126 ecotipos y variedades de pasto buffel. De cada planta se seleccionaron clones de una pulgada de diámetro y se trasplantaron el 25 de junio de 2014, bajo un diseño experimental de bloques completos al azar. Se utilizaron tres repeticiones en surcos de 0.75 m de ancho por 5 m de largo, con base en la metodología recomendada por Morales (2009).

En plantas espaciadas a 0.4 m y con un total 12 plantas por surco, se utilizaron las ocho centrales para medición de descriptores. El primer corte se dio a los dos meses después del trasplante para homogeneizar parcelas y se mantuvieron en condiciones de temporal. Se aplicaron 200 kg de nitrógeno y 60 kg de fósforo ha-1. La semilla utilizada procedía de Botswana, DR Congo, Etiopia, Kenia, Mauritania, Namibia, Nigeria, Somalia, Sudáfrica, Tanzania, Uganda, Zimbabue. Además, se incluyeron las variedades American, Biloela, Boorara, Gayndah, Karasberg, Nunbank, Towoomba, Kongwa, Palsana y Viva (Cuadro 1).

Para evaluar las variables se realizaron dos cortes: el primero a los 45 d después del corte de homogeneización (7 octubre de 2014) y el otro a los 45 días después del primer corte (11 de noviembre de 2014). Las variables fueron: producción de forraje (PF), altura de planta (AP), largo de hoja (LH), ancho de hoja (AH) y número de tallos (NT). Para la producción de forraje se cortó la parcela útil a 10 cm del suelo, se pesó y se tomaron 300 g de muestra. Éstas fueron colocadas en una estufa de aire forzado durante 72 h a 60 °C para su secado y así determinar el porcentaje de materia seca.
Con el peso del forraje verde y el contenido de materia seca se determinó PF. La AP se midió desde el nivel del suelo hasta la punta de la inflorescencia en tres plantas de la parcela útil de cada repetición.
Para LH y AH se seleccionó la segunda o tercera hoja debajo de la hoja bandera y para LH la medición fue desde la lígula hasta la punta de la hoja. Para AH se midió la parte central de la hoja de las tres plantas por repetición donde se determinaron las alturas. Tres días después del corte se seleccionaron tres macollos de la parcela y se contó el NT cosechados. Las muestras de forraje se molieron en el Laboratorio de Nutrición del ILRI y se almacenaron en bolsas de papel. Para el análisis bromatológico se utilizó el NIRS® (Near Infrared Reflectance Spectroscopy; Park et al., 1998) y las variables obtenidas fueron proteína cruda (PC), fibra detergente neutro y acida (FDN Y FDA) y digestibilidad in vivo de la materia orgánica (DIVMO).
Para observar relaciones entre variables se estimó el coeficiente de correlación de Pearson y se usó el procedimiento CORR del paquete SAS® (SAS, 2006). Además, se realizó un análisis de componentes principales utilizando el procedimiento PRINCOMP (SAS, 2006) y un análisis de conglomerados jerárquico, usando el procedimiento CLUSTER (SAS, 2006). El método de agrupamiento fue Ward y se eligieron los grupos con base en el PSt2 (pseudo estadístico t2). También, para determinar las variables con mayor poder discriminante se utilizó el procedimiento STEPDISC (SAS, 2006) y mediante el procedimiento DISCRIM (SAS, 2006) se analizó una función discriminante para determinar la probabilidad de que un ecotipo perteneciera a su grupo. Por último, se realizó un análisis multivariado de la varianza (MANOVA) para observar si existieron diferencia (p< 0.05) entre grupos, la referencia fue el estadístico Lambda de Wilks.
Resultados y discusión
Los 126 ecotipos de zacate buffel presentaron amplia diversidad en descriptores agronómicos, morfológicos y nutricionales. Los rangos de producción de forraje fluctuaron desde 1 302.37 hasta 7442.7 kg MS ha-1 y fue la variable que presentó mayor desviación estándar con 1 288.45 kg MS ha-1. La segunda variable fue NT con un rango desde 30 hasta 125, con una desviación estándar de 21 tallos. Los rangos obtenidos en AH anduvieron desde 0.45 hasta 2.06 cm y su desviación estándar fue de 0.18 cm. También, la proteína cruda mostró un rango desde 12.7 hasta 17.6% con una desviación estándar de 0.94% (Cuadro 2).

Estos rendimientos de forraje son congruentes con los reportados en distintas regiones agrológicas de México, donde las investigaciones realizadas reportan rendimientos de 1.2 hasta 11.4 t ha-1 (Mariano et al., 2011; Peña del Río et al., 2011; Terrazas y Chávez, 2011). Pengelly et al. (1992) estudiaron 322 ecotipos de zacate buffel y obtuvieron alturas de planta que fluctuaron de 44 hasta 116 cm, que fueron similares a los resultados logrados en esta investigación.
Con respecto a largo y ancho de hoja, los resultados coinciden con los reportados en un estudio, donde se evaluaron la diversidad de 68 ecotipos de zacate buffel (Jorge et al., 2008) y obtuvieron longitudes de hojas de 1.5 hasta 30 cm y ancho de hoja de 3 hasta 8 mm.
Al analizar las características nutricionales de estos ecotipos de zacate buffel durante el crecimiento, se obtuvieron resultados distintos a otros trabajos de investigación, ya que para PC los rangos que reportan fluctuaron de 6 a 9%, DIVMO de 55 a 60%, FDN desde 73.7 hasta 76% y FDA desde 46.05 hasta 47% (Jacobs et al., 2004; Carvalho de Silva et al., 2011). Estos bajos valores nutricionales se deben tal vez a que la dosis de fertilización utilizada fue menor. Sin embargo, estos resultados representan una oportunidad para su inclusión en programa de mejoramiento genético.
Al realizar el análisis de correlación (Cuadro 3) se observaron relaciones significativas (p< 0.05) entre las variables. La producción de forraje (PF) se asoció positivamente con altura de planta (AP; rxy= 0.66) y largo de hoja (LH; rxy= 0.62). Además, altura de planta se asoció positivamente con LH (rxy= 0.58). También, el coeficiente de correlación entre proteína cruda y DIVMO presentó una relación positiva alta (rxy= 0.75). Sin embargo, la PC se relacionó negativamente con FDA (rxy= -0.596) y para FDN esta relacionó resultó positiva con FDA (rxy= 0.62). De acurdo a lo anterior, Jorge et al., 2008 reportaron una asociación positiva entre AP y LH en zacate buffel.

Con respecto a las características nutritivas, Jacobs et al. (2004) reportaron que en incrementos de PC la digestibilidad in vivo aumenta y se observa una disminución en FDN. Estos resultados son congruentes con los obtenidos en ésta investigación, ya que muestran que ecotipos con mayor altura de planta y longitud de hoja, producen más forraje. Sin embargo, los materiales con mayor porcentaje de proteína cruda, contienen menos FDA y por tanto son más digestibles.
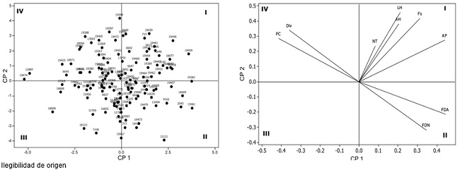
El análisis de componentes principales (ACP) mostró que los primeros tres explicaron 76% de la variación agronómica, morfológica y nutricional observada en 126 ecotipos de zacate buffel. Al obtener el coeficiente de correlación (r) las variables que se asociaron al CP1 de manera positiva fueron: altura de planta, proteína cruda y digestibilidad in vivo de la materia orgánica, mientras que fibra detergente neutro y acida se asociaron de forma negativa. En el CP2 se relacionaron variables como forraje seco y largo y ancho de hoja, sin embargo, el CP3 agrupó solo al número de tallos (Cuadro 4).

Las variables agrupadas por CP1 relacionan el valor nutritivo de los ecotipos de buffel. Por lo tanto, este componente refleja un alto índice de calidad nutritiva en estos materiales. El CP2 incluye variables relacionadas con producción de biomasa, por lo tanto, este componente refleja un índice de potencial de forraje en estos ecotipos. Este comportamiento que mostró los componentes principales, es similar a trabajos realizados por M’Seddi et al. (2002) y Griffa et al. (2012) en poblaciones de zacate buffel. Además, Morales et al. (2009) al evaluar la diversidad de 173 ecotipos de Bouteloua gracilis reportan que las variables de mayor contribución en la explicación de la variación morfológica fueron rendimiento de forraje, densidad de tallos y altura de forraje.
La Figura 2 muestra la distribución de los ecotipos de buffel en los dos primeros componentes principales. Se observa que en el cuadrante I están posicionados ecotipos con mayor producción de forraje y con bajo contenido de PC. Los ecotipos presentes en el cuadrante II se caracterizan por ser materiales con producción forrajera y digestibilidad baja. Los ecotipos ubicados en el cuadrante III se caracterizan por tener la menor densidad de tallos y mayor contenido de proteína cruda. Finalmente, en el cuadrante IV se localizaron los ecotipos que contienen los valores más altos de PC y DIVMO.

Con el agrupamiento jerárquico mediante el método de ligamiento Ward, integró cinco grandes grupos (Figura 3). En el Cuadro 5, MANOVA ratificó lo anterior mediante el estadístico de Lambda de Wilks’ que mostró diferencia estadística multivariada entre grupos (p< 0.0001).


El grupo I integró 28 materiales de los cuales 22 son ecotipos y el resto de las variedades American, Gayndah, Karasberg, Kongwa, Towoomba y Viva. Estos materiales se caracterizaron por tener rendimientos de forraje medio-bajo, ya que la media en producción de forraje fue 3 126 kg MS ha-1, con una desviación estándar de 196 kg. El promedio de altura de planta en este grupo fue de 69.76 cm, con un largo y ancho de hoja de 21.31 y 0.81 cm, respectivamente. El número de tallos promedio fue de 79. La proteína cruda en promedio fue de 14.8%. Para la fibra detergente neutro y acida los promedios fueron de 68.7 y 39.1%, respectivamente. Finalmente, la digestibilidad in vivo mantuvo un promedio de 72.8% en el grupo.
El grupo II estuvo formado por 37 ecotipos de los cuales solo la variedad Palsana estuvo presente. Este grupo se caracterizó por tener la producción de forraje más baja, ya que el rendimiento medio fue 2 176 kg MS ha-1. Además, este grupo presentó el menor número de tallos, 55 por macollo. Sin embargo, fue el grupo con el contenido de proteína cruda (15%) más alto. La altura de planta promedió 63.2 cm, con un largo y ancho de hoja de 19.04 y 0.75 cm, respectivamente. En fibra detergente neutro y acida los valores en promedio fueron de 68.9 y 39.2%, respectivamente. Por último, la digestibilidad in vivo fue 73.3%.
El grupo III integró 32 ecotipos que presentaron valores medios de producción de forraje (3 881 kg MS ha-1). El promedio en altura de planta fue de 75.16 cm, con un largo y ancho de hoja de 22.59 y 0.89 cm, respectivamente. En densidad de tallos por macollo se registraron 77 por planta. El contenido promedio de proteína cruda fue de 14.93%. En fibra detergente neutro y acida se obtuvieron valores de 68.9 y 39.5%, respectivamente. Finalmente, en la digestibilidad in vivo se registró un valor medio de 73.96%.
El grupo IV estuvo formado por 20 ecotipos, caracterizados por tener un rendimiento medio-alto, con una media de producción de forraje de 5 048 kg MS ha-1. Este grupo obtuvo valores relativamente altos (79.15, 26.13 y 0.95 cm) en AP, LH y AH, respectivamente. La densidad de tallos en este grupo mantuvo un promedio de 76. El contenido medio de proteína cruda fue de 14.49%. La fibra detergente neutro y acida se mantuvieron valores medios de 68.7 y 39.1%, respectivamente. Finalmente, la digestibilidad in vivo obtuvo un promedio de 72.8%. En este grupo se ubicaron 17 ecotipos y las variedades Boorara, Molopo y Nunbank.
El grupo V incluyó nueve ecotipos de los cuales y la variedad Biloela. Este grupo se caracterizó por tener los materiales más altos en producción de forraje, ya que el rendimiento medio fue de 6 374 kg MS ha-1. Este grupo presentó el tamaño de planta más alto (84.5 cm), la mayor longitud de hoja (28.21 cm) y ancho de hoja (0.97 cm). También, presentó la mayor densidad de tallos (92) por macollo. El contenido promedio de proteína cruda fue de 14.84% y el porcentaje más alto (74.2%) de digestibilidad in vivo (Cuadro 5). Los resultados del grupo I concuerdan con los reportados por Pengelly et al. (1992) al caracterizar 322 ecotipos de buffel, donde se integró las variedades American y Gayndah. Los descriptores que presentaron características similares fueron altura de planta y número de rizomas. Además, Cook et al. (2005) mencionaron que las variedades American y Gayndah se caracterizan por presentar buena respuesta al pastoreo y soportar alta carga animal. Por tanto, los ecotipos que integraron el grupo I y II podrían representar una alternativa para su consideración en programas de resiembras en pastizales. Griffa et al. (2012) al evaluar la relación entre rendimiento de semilla y características morfológicas de variedades y ecotipos de buffel, agruparon a Boorara, Molopo y Biloela, las cuales se caracterizaron por tener un peso intermedio de espiga, mientras que las variedades Toowomba y American presentaron el peso más bajo de espigas.
Los resultados anteriores son congruentes con el comportamiento de algunas variedades integradas por el grupo I y IV. Por lo tanto, las variedades y ecotipos del grupo IV se pueden considerar como materiales de doble propósito (producción de semilla y forraje). Además, Hacker et al. (1995) evaluaron producción de forraje en diferentes variedades y ecotipos de buffel y los resultados que obtuvieron coinciden con los obtenidos en este trabajo, ya que las variedades American y Gayndah estuvieron ubicadas en el grupo de bajo rendimiento de forraje. También, este autor reportó que la variedad Molopo superó a Biloela; sin embargo, se mantienen en los grupos de mayor producción de forraje.
Los ecotipos y variedades ubicados en los grupos IV y V se pueden recomendar para producción de forraje de corte o henificado. Sin embargo, sería importante continuar su evaluación por lo menos dos años más, para validar la estabilidad de su comportamientio productivo. Por lo anterior, es necesario realizar trabajos sobre rendimiento y calidad de semilla para complementar y disponer de una colecta elite de zacate buffel.
Se observó que las variables con mayor poder discriminante de zacate buffel (p< 0.0001) fueron producción de forraje, altura de planta y densidad de tallos (Cuadro 6). Esta técnica es apropiada en especies forrajeras, ya que identifica y separa a los grupos de acuerdo a los descriptores identificados (Ubi et al., 2003). Jorge et al. (2008) al evaluar 22 descriptores morfológicos en 68 ecotipos de zacate buffel, no lograron identificar variables con poder discriminante. Las variables con poder discriminante en ecotipos de Chloris gayana fueron rendimiento de forraje y porcentaje de hoja en planta (Ponsens et al., 2010).

Conclusiones
Se identificaron a los ecotipos 18077, 19366, 19389, 19394, 19397, 19439, 19448, 19459, con procedencias de Botswana, RD Congo, Tanzania, Tanzania, Tanzania, Kenia, Sudáfrica y la variedad Biloela como los de mayor potencial de producción y calidad del forraje para condiciones de temporal. Existe una gran diversidad de características agronómicas, morfológicas y nutricionales en la colección de ecotipos conservados en el Banco de Germoplasma del ILRI en Etiopía, África. Esta riqueza genética de zacate buffel representa una oportunidad para incluirla en programas de mejoramiento genético.
Literatura citada
Bhattarai, S. P.; Fox, J. J. and Gyasi, A. Y. 2008. Enhancing buffel grass seed germination by acid treatment for rapid vegetation establishment on railway batters. J. A. Env. 72:255-262.
Burson, B. L.; Actkinson, J. M.; Hussey, M. A. and Jessup, R. W. 2012. Ploidy determination of buffel grass accessions in the USDA national plant germplasm system collection by flow cytometry. Sou. Afr. J. Bot. 79:91-95.
Carvalho, de S. T.; Loiola, E. R.; Oliveira, M. C. H.; Mauro, S. E.; Soares, de S. D. and Pereira, A. 2011. Morphological and chemical composition of buffel grass at different heights of cutting and waste. Rev. Tróp. Cienc. Agr. Biol. 5:30-39.
Cook, B. G.; Pengelly, B. C.; Brown, S. D.; Donnelly, J. L.; Eagles, D. A.; Franco, M. A.; Hanson, J.; Mullen, B. F.; Partridge, I. J.; Peters, M. and Schultze, K. R. 2005. Tropical forages: an interactive selection tool. [CD-ROM], CSIRO, DPI and F(Qld), CIAT and ILRI, Brisbane, Australia.
De la Barrera, E. and Castellanos, A. E. 2007. High temperature effects on gas exchange for the invasive buffel grass (Pennisetum ciliare [L] Link). W. Biol. M. 7:128-131.
Dixon, R. M. and Coates, D. B. 2010. Diet quality estimated with faecal near infrared reflectance spectroscopy and response to N supplementation by cattle grazing buffel grass pasture. Anim. F. Sci. Tec. 58:115-125.
Goméz, de la F. E.; Díaz, S. H.; Saldivar, F. A.; Briones, E. F.; Vargas, T. V. and Grant, W. E. 2007. Patrón de crecimiento de pasto buffel (Pennisetum ciliare (L.) Link) en Tamaulipas, México. Rev. Tec. Pec. Méx. 45:1-17.
Griffa, S.; Ribbota, A.; López, C. E.; Tomassino, E.; Carloni, E.; Luna, C. and Grunberg, A. 2010. Evaluation seedling biomass and its components as selection criteria for improving salt tolerance buffel grass genotypes. J. Bri. Gras. Soc. 65:358-361.
Griffa, S.; Quiroga, M.; Ribotta, A.; López, C. E.; Carloni, E.; Tommasino, E.; Luna, C. and Grunberg, K. 2012. Relationship between seed yield and its component characters in Cenchrus spp. Elec. J. Plant. Sci. 3:701-706.
Gutierrez, O. R.; Eguiarte, L. E. and Molina, F. 2009. Genotypic diversity among pasture and roadside population of the invasive buffel grass (Pennisetum ciliare L. Link) in north western Mexico. J. Ari. Env. 73:26-32.
Hacker, J. B.; Williams, R. J. and Coote, J. N. 1995. Productivity in late winter and spring of four cultivars and 21 accessions of Cenchrus ciliaris and Digitaria eriantha cv. Premier. Trop. Grass. 29:28-33.
Heywood, V. H. 2008. Challenges of in situ conservation of crop wild relatives. Turk. J. Bot. 32: 421-432.
Hoffman, T. and Vogel, C. 2008. Climate change on African Rangelands. Rang. 30(3):12-17.
Jacobs, S. S., W. A. van Nieker and R. J. Coertze. 2004. Qualitative evaluation of Cenchrus ciliaris cv. Molopo and Gayndah as foggage. Sou. Afr. J. Anim. Sci. 34:65- 68.
Jorge, M. A. B.; Van de Wouw, M.; Hanson, J. and Mohammed, J. 2008. Characterization of a collection of buffel grass (Cenchrus ciliaris). Trop. Grass. 42:27-39.
Ludlow, M. M. 1980. Stress physiology of tropical pasture plants. Trop. Grass. 14:136-145.
Mariano, F. C.; Garza, R. D. C.; Flores, J. T.; Zárate, P. F. e Ibarra, M. A. H. 2011. Evaluación de materiales alternativos al buffel común en San Fernando, Tamaulipas, México. In: memorias del segundo congreso internacional de manejo de pastizales y XXI reunión internacional sobre producción de carne y leche en climas cálidos. Chihuahua, Chihuahua, México. 44 p.
Marshall, V. M.; Lewis, M. M. and Ostendorf, B. 2012. Buffel grass (Cenchrus ciliaris) as an invader and threat to biodiversity in arid environments: A review. J. A. Env.78:1-12.
Morales, N. C. R. 2009. Metodología para la recolecta y conservación de germoplasma de plantas forrajeras en la zonas áridas y semiáridas de México. Sitio Experimental Campana-Madera. INIFAP-SAGARPA. Chihuahua, Chihuahua, México. Folleto técnico. 21:1-21.
Morales, C.; Madrid, L.; Melgoza, A.; Martínez, M.; Arévalo, S.; Rascón, Q. y Jurado, P. 2009. Análisis morfológico de la diversidad de pasto navajita [Bouteloua gracilis (Willd. ex Kunth) Lag. ex Steud], en Chihuahua, México. Téc. Pecu. Méx. 47:245-256.
M´Seddi, K.; Visser, M.; Neffati, M.; Reheul, D. and Chaïeb, M. 2002. Seed and spike traits from remnant population of Cenchrus ciliaris L. in South Tunisia: high distinctiveness, no ecotypes. J. A. Env. 50:309-324.
Park, R. S.; Agnew, R. E.; Gordon, F. J. and Steen, R. W. J. 1998. The use of near infrared reflectance spectroscopy (NIRS) on undried samples of grass silage to predict chemical composition and digestibility parameters. Anim. F. Sci. Tech. 72:155-167.
Pengelly, B. C.; Hacker, J. B. and Eagles, D. A. 1992. The classification of a collection of buffel grass and species. Trop. Grass. 26:1-6.
Peña del Río, M. A.; Días, F. A.; De la Fuente, S. H.; Sánchez, S. A. y de la Torre, T. I. 2011. Efecto de la biofertilización en praderas de temporal de pasto buffel var. Milenio en Nuevo León, México. In: memorias del 2o congreso internacional de manejo de pastizales, y XXI reunión internacional sobre producción de carne y leche en climas cálidos. Chihuahua. México. 421 p.
Ponsens, J.; Hanson, J.; Schellberg, J. and Moeseler, B. M. 2010. Characterization of phenotypic diversity, yield and response to drought stress in a collection of Rhodes grass (Chloris gayana Kunth) accessions. Field Crops Res. 118:57-72.
Quiroga, M.; Grunber, K.; Ribotta, A.; Lopez, C. E.; Carloni, E.; Tommasino, E.; Luna, C. and Griffa, S. 2013. Obtaining sexual genotypes for breeding in buffel grass. Sou. Afr. J. Bot. 88:118-123.
SAS (Statistical Analysis System) . Institute Inc. 2006. SAS 91.3 User´s guide. Cary, North Carolina, Unites States of America. Visit: http://www.support.sas.com/bookstore or call 1-800-727-3228.
Terrazas, P. J. G. y Chávez, M. C. 2011. Rendimiento y calidad de semilla de materiales sobresalientes de zacate buffel en condiciones de temporal en la zona centro sur de Chihuahua. In: memorias del 2do congreso internacional de manejo de pastizales y XXI reunión internacional sobre producción de carne y leche en climas cálidos. Chihuahua, México. 65 p.
Ubi, B. E.; Kolliker, R.; Fujimori, M. and Komatsu, T. 2003. Genetic diversity in diploid cultivars of Rhodesgrass determined on the basis of amplified fragment length polimorphism markers. Crop. Sci. 43:1516-1522.
Ward, J. P.; Smith, S. E. and McClaran, M. P. 2006. Water requirements for emergence of buffel grass (Pennisetum ciliare). W. Sci. 54:720-725.
Notas de autor
§Autor de correspondencia: cnieto@uach.mx