Artículos
Efecto de las prácticas de agricultura de conservación en algunas propiedades químicas de los Vertisoles
Effect of conservation agriculture practices on some chemical properties of Vertisols
Efecto de las prácticas de agricultura de conservación en algunas propiedades químicas de los Vertisoles
Revista mexicana de ciencias agrícolas, vol. 8, núm. 4, 2017
Instituto Nacional de Investigaciones Forestales, Agrícolas y Pecuarias
Recepción: 15 Enero 2017
Aprobación: 15 Marzo 2017
Resumen: El Bajío es una importante zona agrícola de México y entre sus suelos, los Vérticos tienen mayor potencial para la agricultura, pero el deterioro físico-químico ocasionado por las prácticas de agricultura intensiva ha repercutido en su fertilidad y la rentabilidad para la producción de granos. Las prácticas de agricultura de conservación (PAC) son una opción viable para revertir esta problemática. El objetivo de este estudio fue evaluar el pH, materia orgánica (MOS), tasa de acumulación de carbono orgánico (COS) y P-extratable Olsen en cinco Vertisoles: cuatro de Michoacán y uno de Guanajuato, con cuatro a ocho ciclos de cultivo continuos con PAC. Se evaluaron cinco prácticas agronómicas: (1) rotación gramínea-gramínea, todos los residuos de cosecha y uso de aguas negras; (2) rotación gramínea-leguminosas-gramínea, todos los residuos de cosecha y uso de aguas negras; (3) igual que 2, pero con agua de presa; (4) rotación gramínea-gramínea, 30% de residuos de cosecha y uso de agua de presa; y (5) rotación gramínea-gramínea, todos los residuos de cosecha y uso de agua de pozo. El pH fue alcalino antes de la implementación de las PAC, y disminuyó a ligeramente alcalino en función del tiempo de cultivo, principalmente en el estrato de 0-5 cm. La MOS aumentó entre 1.5 y 2%, después de ocho ciclos continuos con PAC. La tasa de acumulación de COS varió entre 1.5 y 7 t ha-1 año-1. La acumulación de P-Olsen mostró una baja correlación respecto al contenido de MOS (r= 0.44). La mayor concentración de P-Olsen se encontró en el estrato de 0-5 cm (hasta 47 ppm). Las PAC mejoraron las características químicas de los Vertisoles evaluados en este estudio.
Palabras clave: Agricultura de conservación, carbono orgánico del suelo.
Abstract : El Bajío is an important agricultural area of México and among its soils, the Vérticos have greater potential for agriculture, but the physical-chemical deterioration caused by intensive farming practices has had an impact on its fertility and profitability for grains production. Conservation agriculture practices (CAPs) are a viable option to reverse this problem. The objective of this paper was to evaluate pH, organic matter (MOS), organic carbon accumulation rate (COS), and P-extractable Olsen in five Vertisols: four from Michoacán and one from Guanajuato, with four to eight cycles of continuous cultivation with CAP. Five agronomic practices were evaluated: (1) grass-grass rotation, all crop residues and sewage use; (2) rotating grass-legume-grass, all crop residues and sewage use; (3) same as 2, but with dam water; (4) grass-grass rotation, 30% crop residues and use of dam water; and (5) grass-grass rotation, all crop residues and well water use. The pH was alkaline before the CAP implementation, and decreased to slightly alkaline as a function of the culture time, mainly in the stratum of 0-5 cm. The MOS increased between 1.5 and 2%, after eight continuous CAP cycles. The COS accumulation rate varied between 1.5 and 7 t ha-1 year-1. The accumulation of P-Olsen showed a low correlation with the MOS content (r= 0.44). The highest concentration of P-Olsen was found in the 0-5 cm stratum (up to 47 ppm). CAPs improved the chemical characteristics of the Vertisols evaluated in this study.
Keywords: Conservation agriculture, soil organic carbon.
Introducción
La fertilidad del suelo y la acumulación de reservas orgánicas están determinadas por la interacción compleja de factores climáticos, edáficos, biológicos y de manejo agronómico (Lal, 2004). El suelo es un cuerpo natural con una amplia heterogeneidad vertical, lateral y a través del tiempo (Post et al., 2001), por lo que hay dificultades para delimitar sus estándares de calidad; su estudio requiere evaluar variables que permitan medir su estatus y evolución. El contenido de C orgánico en el suelo (COS) es un indicador de calidad e influye en las propiedades físicas, químicas y biológicas. Este parámetro es factible de monitorear en los ecosistemas terrestres para evaluar su condición y definir su potencial productivo en una escala de tiempo determinada (Karlen et al., 1997; Bautista-Cruz, 2004).
En los suelos agrícolas del Bajío las continuas prácticas de labranza (barbecho, rastreo y surcado) implica una constante remoción del suelo y una alteración de sus propiedades físicas, químicas y biológicas (Ongley, 1997), aunado al retiro o quema de los esquilmos agrícolas y la falta de incorporación de abonos orgánicos, han ocasionado un severo deterioro de la fertilidad de los suelos (Grageda-Cabrera et al., 2004). Como consecuencia a lo anterior, los agricultores emplean dosis excesivas de fertilizantes químicos para tratar de aumentar la producción agrícola, lo que impacta directamente en los costos de producción y la contaminación ambiental.
Los Vertisoles constituyen 8.6% del total de los suelos en México (Cruz et al., 2007) y en el Bajío abarcan aproximadamente 500 000 hectáreas, con un potencial alto para la producción de granos y hortalizas cuando hay disponibilidad de agua para riego (Grageda, 1999); sin embargo, la agricultura intensiva y las inadecuadas prácticas agrícolas han ocasionado un severo deteriorado de los suelos, lo que impacta en la ecología y en la rentabilidad para la producción agrícola. Las prácticas de agricultura de conservación (PAC) se fundamentada en la mínima remoción del suelo, la continua adición de los residuos de cosecha en su superficie y la diversificación de cultivos, lo cual constituye una opción viable para revertir la problemática antes mencionada. Lo anterior favorece a mediano plazo la acumulación de COS y la actividad biológica, lo que incide directamente en la calidad del suelo (Gregorich y Carter, 1997). El objetivo del presente trabajo fue evaluar la evolución de las propiedades químicas en Vertisoles del Bajío sometidos a varios ciclos continuos con PAC y estudiar la tendencia de acumulación de las reservas orgánicas.
Materiales y métodos
Sitios de estudio
El estudio se realizó en la Cuenca de Cuitzeo, ubicada entre los 19° 59’ y 19° 30’ latitud norte y 101° 00’ y 101° 30’ longitud oeste. Tiene una superficie aproximada de 1 050 km2, y ocupa un área importante del Distrito de Riego Morelia-Queréndaro (Figura 1). La altitud es superior a 2 000 msnm. En este sitio se evaluaron cuatro Vertisoles. Otro suelo se evaluó en el INIFAP, Campo Experimental Bajío en Celaya, Guanajuato, ubicado a los 20º 3’ latitud norte y 100º 0ʼ longitud oeste, a una altitud de 1 754 m. El clima (García, 1984) es BS1hw(w)(e)g con temperatura media anual de 20.6 °C y precipitación media anual de 597 mm.

Los suelos
La clasificación textural de los suelos, excepto uno, correspondió a arcillosa (Cuadro 1), que es propia de los Vertisoles (Cuadro 2). Estos suelos se caracterizaron por ser obscuros y profundos (>1 m) y poseer arcillas expandibles del tipo esmécticas (USDA, 1999).


Manejo agronómico
Los suelos se cultivaron durante cuatro a ocho ciclos de cultivo continuos (dos a cuatro años) con prácticas de agricultura de conservación (PAC) con la adición de 30 a 100% de los residuos de cosecha en la superficie del suelo. El historial agronómico se presenta en el Cuadro 2. En el valle Morelia-Queréndaro los agricultores regularmente siembran, durante otoño-invierno, trigo en camas de 1.6 m de ancho, entre las cuales remarcan el surco para facilitar la conducción del agua de riego; y en primavera-verano siembran maíz, a doble hilera, sobre las mismas camas. Al final de cada ciclo de cultivo, después de cosechar el grano, los residuos de cosecha se trituran y esparcen en forma de mantillo lo más homogéneamente posible sobre la superficie del suelo.
Los suelos localizados en Indaparapeo y Álvaro Obregón, son regados continuamente con aguas negras provenientes de la ciudad de Morelia, mientras que los suelos de Queréndaro se riegan con agua de la presa. En todos los suelos se adicionó el total de los residuos de cosecha en la superficie, excepto en el suelo denominado Queréndaro II, donde aproximadamente tres cuartas partes se empacan para su venta. La cantidad de residuos de cosecha que se adicionaron en este suelo, después de cada ciclo de cultivo, fue variable (Cuadro 2).
En el Campo Experimental Bajío el trigo se siembra en otoño-invierno sobre surcos de 0.76 cm de ancho, a doble hilera, mientras que el maíz se siembra en primavera-verano en los mismos surcos en hilera simple. Se utilizó agua de pozo para la irrigación y se dejaron todos los residuos de cosecha en la superficie del suelo en forma de mantillo.
Muestreo y procesamiento de las muestras de suelo
En cada suelo evaluado se efectuaron cuatro muestreos, desde que se implementaron las prácticas de agricultura de conservación (PAC). En el valle Morelia-Queréndaro éstos se efectuaron a 0, 960, 1 200 y 1 440 días de la implementación de las PAC; y en el Campo Experimental Bajío a los 0, 180, 360 y 540 días. Las muestras estuvieron constituidas por 22 sub muestras cada una, y fueron recolectadas al azar dentro de cada parcela. Se utilizó una barrena de acero inoxidable y se consideraron tres profundidades: 0-5, 5-15 y 15-30 cm. Las muestras fueron secadas a la sombra y a temperatura ambiente, molidas con un mazo de madera, se tamizaron en malla de 2 mm de diámetro y fueron perfectamente homogeneizadas. Para la determinación analítica de la materia orgánica (MOS) se preparó una sub-muestra de 100 g y se molió y tamizó en malla número 30.
La determinación se hizo mediante el método de Walkley y Black, descrito por Jackson (1976). Para la determinación analítica del C total se utilizó una sub muestras de suelo 10 g, la cual se molió y tamizó en malla número 100. El C total se midió mediante un determinador automático de carbono marca Shimadzu, modelo TOC-5050a.
En este equipo se midió el C inorgánico. El COS se calculó restando el C inorgánico al C total. El pH del suelo se midió en agua relación 1:2. El P-extractable se avaluó mediante el método de Olsen, descrito por Jackson (1976). Los resultados se relacionaron con el tiempo de cultivo, para evaluar el comportamiento y tendencia de acumulación de las reservas orgánicas por efecto de las prácticas de agricultura de conservación.
Resultados y discusión
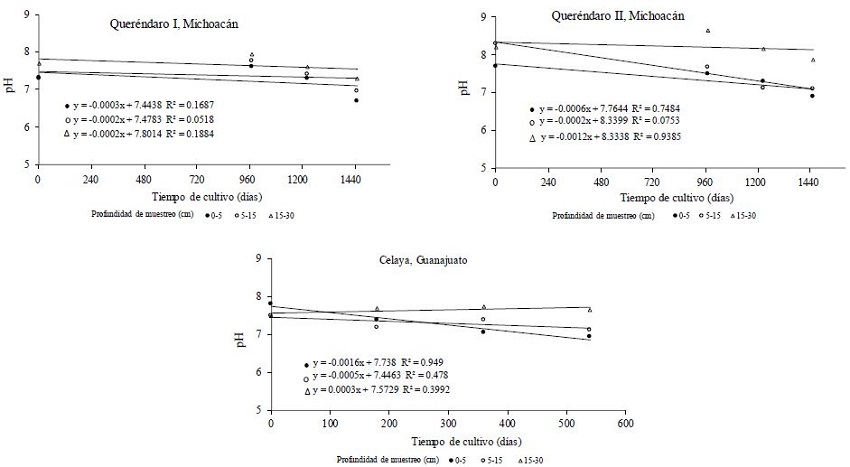
El pH en los Vertisoles evaluados fue de alcalino a fuertemente alcalino antes de la implementación de las prácticas de agricultura de conservación (PAC) (Figura 2). El pH disminuyó en función del tiempo de cultivo, hasta cerca de una unidad en el estrato de 0-5 cm de profundidad. En los estratos de 5-15 y 15-30 cm la disminución del pH fue más tenue. En el primer estrato del suelo la actividad biológica fue más intensa, por estar en contacto directo con la capa orgánica de los residuos de cosecha. Según Galeana-Cruz et al. (1998) la adición de materia orgánica (MOS) en la superficie del suelo, como parte de las PAC, es el componente con mayor influencia en el abatimiento del pH. La mineralización de la MOS implica necesariamente una actividad más intensa de los microorganismos del suelo, y durante el proceso de humificación se producen ácidos orgánicos que reaccionan con la fracción mineral del suelo.


La problemática de la degradación química de los suelos en el Bajío es ocasionada, en parte, por la acumulación de sales provenientes del uso excesivo de fertilizantes químicos y de las aguas de riego con altas concentraciones de sodio. Castellanos et al. (2000) mencionaron que el contenido de sodio en los suelos de Guanajuato ha aumentado en los últimos años, por el alto contenido de carbonatos de sodio que contienen las aguas de riego. Las aguas negras que se utilizan en Michoacán es probable que contengan aún mayores niveles de sodio. Por tanto, la adición e incorporación continua de MOS es una alternativa viable para reducir la alcalinidad en suelos.
Materia orgánica
La acumulación de MOS en los Vertisoles, después de cuatro a ocho ciclos de cultivo continuos con la adición de los residuos de cosecha en la superficie del suelo y la mínima remoción del mismo, fue significativa (p≤ 0.05).
El incremento fue lineal en función del tiempo de cultivo y de la cantidad esquilmos agrícolas. Sin embargo, cuando los productores rompen el sistema de labranza de conservación por la necesidad de nivelar su terreno de cultivo, las reservas de MOS desciende drásticamente en un sólo ciclo de cultivo. Este fue el caso del suelo Queréndaro II donde el agricultor, después de cuatro ciclos continuos con las PAC, efectuó todas las prácticas de labranza para nivelar su parcela. Se observó que después de dos años con las PAC la MOS aumentó hasta cerca de 5% en el estrato de 0-5 cm de profundidad, pero al romper con el sistema de cultivo la MOS disminuyó drásticamente hasta poco más de 3% (Figura 3).


En este suelo se adicionó durante 4 ciclos de cultivo continuos, alrededor de 38 t ha-1. Los residuos de cosecha existentes en la superficie del suelo hasta ese momento se incorporaron al suelo con el barbecho, posteriormente se reanudó con las PAC; sin embargo, debido a la alteración del suelo la tasa de acumulación de la MOS fue alterada y disminuyó.
La incorporación de residuos de cosecha en el suelo mediante el barbecho implica voltear la capa arable y exponer en la superficie el estrato inferior, que tiene menor contenido de MOS respecto al estrato superior. Este último al quedar enterrado y en contacto directo con los microorganismos del suelo, aumenta la tasa de mineralización de la MOS y las reservas orgánicas disminuyen. La pulverización de los agregados del suelo por rastreo, nivelación y surcado, favorecen la oxidación del COS (Elliot, 1986; Oades, 1988).
En suelos regados con aguas negras, en Álvaro Obregón e Indaparapeo, después de ocho ciclos de cultivo con las PAC, la MOS aumentó alrededor de 2%, en el estrato 0-5 cm de profundidad, respecto al contenido de MOS antes de implementar las PAC (Figura 2). Este nivel de acumulación alto se explica por un ingreso continuo de residuos orgánicos con el agua de riego. Para lograr este aumento de MOS, después de casi cuatro años de cultivo, ingresaron al suelo alrededor de 50 t ha-1 de residuos de cosecha. En la profundidad de 5-15 cm la acumulación de la MOS fue 0.5% menor, respecto a la profundidad anterior.
En el estrato de 15-30 cm la acumulación de MOS no mostró cambió con respecto a la cantidad materia orgánica encontrada antes iniciar con las PAC. Fue evidente que la acumulación de MOS fue menor a medida que aumentó la profundidad, porque el contacto con los residuos de cosecha con los estratos más profundo es más distante. Para que ocurra un aumento de MOS a mayor profundidad se requiere mayor tiempo de cultivo, para que los procesos propios de lixiviación, intemperización, mineralización y humificación, entre otros, incidan en los horizontes más profundos.
En el suelo Queréndaro I el porcentaje de MOS aumentó ligeramente en los primeros 5 cm de profundidad, respecto al contenido que tenía antes de implementar las PAC. En este suelo se incorporaron alrededor de 30% de los residuos de cosecha después de cada ciclo de cultivo, que equivalió a aproximadamente 28 t ha-1 (Cuadro 2). Lo anterior, se explica porque la velocidad de mineralización de la MOS es ligeramente menor que la tasa de acumulación. Es decir, se requiere un mayor ingreso de residuos de cosecha para aumentar significativamente el contenido MOS en este suelo (Reycosky et al., 1995).
En el suelo evaluado en Celaya, con sólo cuatro ciclos de cultivo con las PAC, hubo una tendencia en la acumulación de la MOS aproximadamente lineal, alcanzando un contenido mayor de 3%; es decir, 1.2% más con respecto al año cero. Para la profundad de 5-15 cm este aumento fue 0.7%. Se estimó que la cantidad de residuos de cosecha que se adicionaron al suelo fue de cerca de 46 t ha-1 (Cuadro 2). En el estrato de 15-30 cm de profundidad el contenido de MOS no aumentó (Figura 3).
Carbono orgánico
La evolución en la acumulación de reservas de COS en los Vertisoles evaluados presentó un aumento significativo, especialmente en el estrato de 0-5 cm de profundidad, para los suelos de Indaparapeo, Álvaro Obregón y Celaya. Este aumento varió de 0.5 a 2%, lo cual dependió del tiempo de cultivo con las PAC y la cantidad de residuos de cosecha adicionados al suelo (Figura 3). El comportamiento en la dinámica de acumulación del COS fue similar a lo expuesto para MOS, lo cual se explica por la estrecha relación (R2< 0.7) entre ambos parámetros. La MOS del suelo contiene 58% de C (Jackson, 1976) y su velocidad de mineralización depende de la cantidad de lignina, grado de desmenuzamiento, distribución en el suelo, manejo agronómico y de las condiciones edafoclimáticas (Curtin et al., 2000).
En el segundo estrato, de 5 a 15 cm de profundidad, la acumulación del COS fue más discreta y en algunos casos no fue evidente, mientras que en la profundidad de 15-30 cm en la mayoría de los casos no fue evidente. Esto se debe a que no hay un contacto directo con los residuos de cosecha, como se ha explicado anteriormente.
La tasa de acumulación de COS en el Vertisol de Indaparapeo, Michoacán, fue la más alta de los suelos que se evaluaron en el valle Morelia-Queréndaro. Ingresó en promedio 7 t ha-1 año-1 en los primeros 30 cm de profundidad (Figura 4), Mientras los Vertisoles de Álvaro Obregón y Queréndaro II se acumularon 1.5 y 2.5 t ha-1 año-1 de este elemento, respectivamente. Pero en el suelo de Queréndaro I prácticamente no hubo acumulación de carbono al adicionar sólo 30% de los residuos de cosecha. En el suelo de Celaya, donde se acumularon mayores cantidades de esquilmos agrícolas, la tasa de acumulación de COS fue la más alta, con 9.3 t ha-1 año-1.

La acumulación de COS en el suelo ocurre cuando los ingresos (residuos orgánicos) son mayores que las pérdidas (erosión, mineralización, lixiviación) (Lal, 2004).
Báez-Pérez et al. (2009) concluyeron que la tasa de emisión de CO2 (TEC) del suelo está en función de la humedad retenida y del contenido de COS. Por ello, los suelos sometidos a labranza de conservación tienen mayor contenido de MOS que es potencialmente mineralizable, comparados con los suelos donde se practica labranza tradicional. Lo anterior implica una mayor emisión de CO2 a medida que aumenta el contenido de MOS, como ha sido reportado en otro estudio en estos mismos suelos Vertisoles (Báez-Pérez et al., 2011).
En los sistemas con labranza tradicional, en los suelos Vertisoles del valle Morelia-Queréndaro, la cantidad de residuos de cosecha incorporada al suelo varía de 1 a 2 t ha-1, y su humedad volumétrica en los primeros 30 cm de profundidad durante primavera-verano puede variar desde 12% en época seca, hasta 42% en época húmeda, con una emisión de CO2 de 0.2 a 1.2 g m-2 h-1, respectivamente. En los sistemas con PAC la humedad volumétrica fluctúa de 20% a 52% y las emisiones de CO2, en el mismo sentido, de 0.4 a 2.6 g m-2 h-1. Lo anterior evidencia, que aun cuando existe un ingreso constante de MOS en los sistemas de cultivo con PAC, la TEC también es mayor, por lo cual la acumulación de COS también puede ser limitada. Lograr que la tasa de acumulación de COS sea mayor que la tasa de pérdida del mismo requiere estrategias adicionales además de la incorporación de residuos orgánicos. El empleo de cultivos de amplia cobertura vegetal y la rotación de cultivos podrían constituir alternativas adicionales para disminuir las pérdidas de COS por efecto de la mineralización y erosión.
Fosforo extractable
El contenido de P-extractable (P) en los suelos evaluados mostró una baja correlación respecto al contenido de MOS del suelo (R2= 0.2). El aporte continuo de los residuos de cosecha en la superficie del suelo necesariamente contribuye con reservas importantes de P; sin embargo, la constante aplicación de fertilizantes fosfatados, que los agricultores aplican ciclo con ciclo a los cultivos, ha proporcionado un amplio reservorio disponible de este elemento en el corto plazo para satisfacer el requerimiento de los cultivos de cereales.
No se observó ninguna tendencia en la acumulación de este elemento que se relacione con el tiempo de cultivo por efecto las PAC. Debido a que el P es un elemento con poca movilidad en el suelo y que las formas asimilables por las plantas (H2PO4- y HPO4=) son estables en un medio con pH ligeramente ácido (Castellanos, 2000), se podría inferir que hay una alta disponibilidad de este elemento en el suelo. Sin embargo, los valores de pH alcalino que presentan la mayoría de los suelos en esta evaluación podría influir en la solubilidad de este elemento, y por tanto en la disponibilidad para la nutrición de las plantas.
La mayor concentración de P-extractable en los Vertisoles evaluados se encontró en el estrato de 0-5 cm de profundidad, con excepción del suelo de Indaparapeo (Cuadro 3), donde los estratos de 5-15 y 15-30 cm de profundidad fueron más ricos en este elemento, 42 y 65 ppm, respectivamente, lo cual es extremadamente alto.

Lo anterior se explica por el uso continuo de aguas negras provenientes de la ciudad de Morelia, con fines de riego, como se explicó anteriormente. La concentración de P-extractable en los suelos de Michoacán puede clasificarse de alta a muy alta, lo cual sugiere que no sería necesario aplicar fertilizantes fosfatados en varios ciclos de cultivo. Según Castellanos (2000), el requerimiento de P-extractable para un potencial de rendimiento en maíz de 10 t ha-1 para la región Bajío es de 90 a 100 kg ha-1 .
La reserva disponible de este elemento en los suelos de Michoacán se estimó que fue de 169 a 680 kg ha-1, lo cual puede satisfacer las necesidades nutrimentales de dos a seis ciclos consecutivos de gramíneas (Cuadro 3). Lo anterior puede constituir un ahorro importante en el costo del fertilizante químico. Sin embargo, el pH alcalino que presenta en algunos suelos podría influir en esta disponibilidad.
El suelo de Celaya, Guanajuato, con sólo dos años con las PAC, presentó los valores de P-extractable más bajos, de 17 a 26 ppm, respecto a los demás suelos; sin embargo, su contenido se clasifica de medio a moderadamente alto. Las reservas de P-extractable en este suelo se estimaron en más de 200 kg ha-1.
Conclusiones
Las prácticas de agricultura de conservación en los suelos evaluados aumentaron en las reservas orgánicas y disminuyeron el pH, mayormente en el estrato de 0-5 cm de profundidad, lo cual contribuyó con el mejoramiento de la fertilidad. Hubo un aumento significativo en la acumulación de materia orgánica y carbono orgánico, principalmente en el estrato de 0-5 cm de profundidad, 1 a 2% y 0.5 a 1.5% respectivamente. A medida que aumentó la profundidad de suelo la acumulación de MOS disminuyó. El contenido de P-extractable en los suelos fue alto para los tres estratos, entre 20 y 47 ppm; sin embargo, no se relacionó con el contenido de MOS. La continua aplicación de este elemento por medio de fertilizantes químicos ha proporcionado un reservorio importante en el suelo.
Agradecimientos
A la COFUPRO Unidad Operativa Michoacán, por el financiamiento otorgado para la realización de esta investigación.
Literatura citada
Báez, P. A.; Etchevers, J. D.; Haulon, M.; Werner, G.; Flores, G. e Hidalgo, C. 2009. Pérdida de carbono por erosión hídrica y emisiones de CO2 en tepetates habilitados para la agricultua. In: Gallardo, J. F.; Campo, J. and Conti, M. E. (Eds). Emisiones de gases con efecto invernadero en ecosistemas iberoamericanos. Salamanca, España. 25-48 pp.
Báez, P. A.; Huerta, M. E.; Velázquez, G. J. y Bautista, C. M. A. 2011. Acumulación y flujo de carbono en Vertisoles cultivados en labranza de conservación. In: estado actual del conocimiento del ciclo del carbono y sus interacciones en México. Paz, F. y Cuevas R. M. (Eds.). Síntesis a 2011 del programa mexicano del carbono. Instituto Nacional de Ecología. México. D. F. 204-2011 pp.
Bautista, C. A.; Etchevers, B. J. D.; del Castillo, R. F. y Gutiérrez, C. C. 2004. La calidad del suelo y sus indicadores. Ecosistemas. 13:90-97.
Castellanos, J. Z. 2000. Manual de interpretación de análisis de suelos y aguas. INTAGRI. Segunda edición. Celaya, Guanajuato. 187 p.
Castellanos, J. Z.; Hurtado, G. B.; Villalobos, R. S.; Badillo, T. V.; Vargas, T. P. y Enríquez, R. S. A. 2000. La calidad de agua subterránea para Guanajuato. Reporte técnico del proyecto 47/99 de la Fundación Produce Guanajuato A.C. Celaya, Guanajuato. 6 p.
Curtin, D.; Wang, H.; Selles, F. B.; McConkey, G. and Campbell, C. A. 2000. Tillage effects on carbon in continuous wheat and fallow - weat rotations. Soil Sci. Soc. Am. J. 64:2080-2086.
Elliot, E. T. 1986. Aggregates structure and carbon, nitrogen, and phosphorus in native and cultivated. Soil Sci. Soc. Am. J. 50:627-633.
Galeana, C. M.; Trinidad, S. A.; García, C. N. E. y Flores, R. D. 1998. Labranza de conservación y fertilización en el rendimiento de maíz y su efecto en el suelo. Terra Latinoam. 17:325-335.
Grageda-Cabrera, O. A. 1999. La fertilización nitrogenada en el Bajío guanajuatense como fuente potencial de contaminantes ambientales. Tesis de doctorado en Biotecnología y Bioenergía. CINVESTAV-IPN. México, D. F. 145 p.
Grageda, C. O. A.; Medina, C. T.; Aguilar, A. J. L.; Hernández, M. M.; Solís, M. E.; Aguado, S. G. A. y Peña, C. J. J. 2004. Pérdidas de nitrógeno por emisión de N2 y N2O en diferentes sistemas de manejo y con tres fuentes nitrogenadas. Agrociencia. 38:625-633.
García, E. 1984. Modificaciones al sistema de clasificación climática de Köpen. Universidad Nacional Autónoma de México. México, 16-21 pp.
Gregorich, E. G. and Carter, M. R. 1997. Soil quality for crop production and ecosystem health. Develop. Soil Sci. 25:125-165.
INEGI. 2007. Conjunto de datos vectorial edafológico, escala 1: 250 000 Serie II (continuo nacional). México.
Jackson, M. L. 1976. Análisis químico de suelos. 3ra edición. Traducción al español por Martínez, J. B. Omega. Barcelona, España. 282-283 pp.
Karlen, D. L.; Mausbach, M. J.; Doran, J. W.; Cline, R. G.; Harris, R. F. and Schuman, G. E. 1997. Soil quality: a concept, definition, and framework for evaluation. Soil Sci. Soc. Am. J. 61:4-10.
Lal, R. 2004. Soil carbon sequestration impacts on global climate change and food security. Science. 304:1624-1627.
Oades, J. M. 1988. The retention of organic matter in soils. Biogeochemistry. 5:35-70.
Ongley, E. D. 1997. Lucha contra la contaminación agrícola de los recursos hídricos. Estudio de la FAO riego y drenaje núm. 55. 115 pp.
Post, W. M.; Izaurralde, R. C.; Mann, L. K. and Bliss, N. 2001. Monitoring and verifying of changes of organic carbon in soil. Climatic change. 51:73-99.
Reicosky, D. C.; Kemper, W. D.; Langdele, G. W.; Douglas Jr, C. L. and Rasmussen, P. E. 2000. Soil organic matter changes resulting from tillage and biomass production. J. soil and water conservation. 50:253-261.
USDA (United States Department of Agriculture). 1999. Soil taxonomy: a basic system of soil classification for making and interpreting soil surveys. Second edition. 783-784 pp.
Notas de autor
§Autor para correspondencia: baez.aurelio@inifap.gob.mx.