Artículo
Recepción: 01 Febrero 2018
Aprobación: 01 Marzo 2018
DOI: 10.29312/remexca.v9i3.1215
Resumen: El objetivo de la presente investigación fue evaluar el control químico de trips Frankliniella occidentalis Pergande (Thysanoptera: Thripidae) con la aplicación de cuatro productos a la semilla (thiodicarb, acephato, bifentrina + imidacloprid y thiametoxan + lambda cyalotrina) con dos dosis; una de acuerdo a la dosificación de la casa comercial y la otra al 50% menor, en la variedad Roque 1. Se usó un diseño de bloques al azar con cuatro repeticiones, 10 tratamientos y dos testigos, un hibrido (Ares®-Unisem) y uno blanco. El muestreo de la densidad de trips se realizó mediante un aspirador manual y trampas azules, los muestreos se realizaron desde la emergencia de las plantas y durante ocho semanas, efectuando dos muestreos por semana. Los resultados muestran que el tratamiento con thiametoxan + lambda cyalotrina presentó la densidad de trips más baja con un valor de 1.53 trips por planta, mientras que el testigo absoluto fue el que presentó el valor más alto con 2.14.
Palabras clave: Zea mays L., Frankliniella occidentalis, Pergande, Thysanoptera: Thripidae.
Abstract: The objective of the present investigation was to evaluate the chemical control of trips Frankliniella occidentalis Pergande (Thysanoptera:Thripidae) with the application of four seed products (thiodicarb, acephato, bifenthrin + imidacloprid and thiametoxan + lambda cyalotrina) with two doses; one according to the dosage of the commercial house and the other 50% smaller, in the variety Roque 1. A randomized block design with four repetitions, 10 treatments and two controls, a hybrid (Ares®-Unisem) was used and a white one. The sampling of the density of trips was carried out by means of a manual aspirator and blue traps, the samplings were made from the emergence of the plants and during eight weeks, carrying out two samplings per week. The results show that the treatment with thiamethoxane + lambda cyalotrine presented the lowest density of trips with a value of 1.53 trips per plant, while the absolute control was the one with the highest value with 2.14.
Keywords: Zea mays L., Frankliniella occidentalis, Pergande, Thysanoptera: Thripidae.
Introducción
El maíz (Zea mays L.) se cultiva prácticamente en todo México, en diversas condiciones climáticas y de suelo y su variedad es tal que el país ha sido considerado centro de origen y diversidad de este cultivo (Kato et al., 2009). En el estado de Guanajuato, el ciclo primavera-verano es el de mayor superficie de siembra y las condiciones ambientales se caracterizan por períodos largos de sequía y altas temperaturas, lo que hacen del trips (Frankliniela occidentalis) la plaga de mayor importancia en el cultivo de maíz (Castresona et al., 2008).
El trips de la flor, es una de las plagas más importantes agrícolas en el mundo (Zhao, 2013) e inician su daño durante los primeros 20 a 25 días desde que la planta emerge, en algunos casos el daño puede ser tan severo que la planta puede presentar el síntoma de falta de humedad (CESAVEG, 2008). Esta plaga se alimenta, oviposita y transmite virus en las plantas, lo que ocasiona alteraciones en el tejido vegetal como cicatrices además de otras imperfecciones (Kay y Herron, 2010). Si no hay control, el ataque, continúa hasta que la planta termina de crecer, pero el daño verdadero lo ocasiona en los primeros días de emergencia (Castresona et al., 2008).
El uso de insecticidas ha sido la principal estrategia utilizada para controlar de F. occidentalis (Bielza et al., 2007), presentando dificultades en su control debido a su comportamiento, ya que las ninfas se encuentran refugiadas en el follaje, las pupas en el suelo, y el adulto tiene una gran movilidad (Lopes et al., 2003; Helyer y Brobyn, 2008). La alta presión a insecticidas ha llevado al desarrollo de la resistencia a los principales grupos de insecticidas (Zhang et al., 2008). Desde a mediados de la década de 1980 la resistencia en poblaciones de F. occidentalis ha sido tema investigación después de su establecimiento y propagación en invernaderos y producción al aire libre (Lewis, 1998; Bielza et al., 2007).
Los primeros informes de resistencia se asociaron con toxafeno aplicado al algodón (Race, 1961; Bielza et al., 2007). Mientras que varios estudios han comprobado que poblaciones de F. occidentalis en diferentes partes del mundo, han desarrollado resistencia a insecticidas como diazinon, methomyl, cypermethrina, permethrina, fenvalerato, e imidacloprid (Guangyu et al., 1995; Kontsedalov et al., 1998; Bustillo, 2009) desde esa época, ha habido casos de falta de eficacia en insecticidas de los principales productos químicos (Herron y James, 2007); lo que demuestra que el combate químico debe ser conducido cuidadosamente (Rodríguez et al., 2003).
Desde este punto de vista es interesante el estudio de la eficacia de nuevas materias activas y la forma o periodo de aplicación para el control de esta plaga. Una alternativa es el tratamiento de semillas que es la aplicación de técnicas y agentes biológicos, físicos y químicos, que proveen a la semilla y a la planta protección frente al ataque de insectos y enfermedades en etapas tempranas del cultivo (ISF, 2007). Los tratamientos de semillas se pueden utilizar como herramientas primarias en un exitoso plan de Manejo Integrado de Plagas para agricultura sustentable, debido a que la plaga es controlada con menores cantidades de ingrediente activo por hectárea y no son liberadas a la atmósfera (FAO, 2012). Por lo anterior el objetivo de esta investigación fue evaluar la efectividad biológica de diferentes insecticidas aplicados a la semilla de maíz para el control de trips (Frankliniella occidentalis).
Materiales y métodos
La investigación se realizó en el ciclo agrícola primavera-verano 2013 en el campo experimental de Instituto Tecnológico de Roque, (ITR), ubicado en Celaya Gto., a 20° 31’ 49” latitud norte y 100° 48’ 16.8” longitud oeste, a una altura de 1 713 msnm (Fundación Guanajuato Produce, 2014). Se utilizaron cuatro productos químicos para el tratamiento a la semilla; thiametoxan + lambda cyalotrina, bifentrina + imidacloprid, thiodicarb y acephato, de los cuales se aplicaron dos dosis; dosis comercial (DC) y al 50% de la dosis comercial (-50% DC) aplicados a la semilla de la variedad Roque I, un testigo comercial, el híbrido Ares (Unisem®) tratada con fipronil y un testigo absoluto (Cuadro 1). Se utilizó un diseño experimental de bloques completos al azar con cuatro repeticiones y 10 tratamientos. Cada unidad experimental estuvo constituida por tres surcos de 5 m de largo y 75 cm de separación para un área total de 2 500 m2.

La aplicación de los de los productos químicos a la semilla se realizó de forma manual, utilizando un contenedor de plástico con una capacidad de 4 L. La semilla fue colocada en el interior del recipiente a la que se le agrego el ingrediente activo más agua para humectar la semilla y se impregnara el producto, se agitó durante un periodo de 10, posteriormente la semilla fue colocada en charolas de plástico para eliminar el exceso de humedad.
Para el manejo agronómico del cultivo se realizó un barbecho a una profundidad de 30 cm, posteriormente se dieron dos pasos de rastra y se surco. La siembra se realizó en seco y de forma manual. Se aplicó un riego después de la siembra y un riego de auxilio cuando la planta presentó la etapa VT. Solo se realizó una escarda de forma mecánica en la etapa V3. Al momento de siembra se fertilizo a dosis de 240-40-00, donde se utilizó como fuente de urea y fosfato de amonio. Para el control de malezas se aplicó el herbicida selectivo Sanson® (Nicosulfuron: 2-(4,6-dimetoxipirimidin-2-licarbomoilsulfamoil)-N, N-dimetilnicotinamida) a dosis de 1 L ha-1. Finalmente se aplicó el herbicida secante Paraquat® para hoja angosta y 2-4-D® para hoja ancha cuando el cultivo se encontraba en madurez fisiológica.
El muestreo de trips se realizó desde la emergencia, mediante el uso de un aspirador manual y trampas azules. Para esto se tomaron cuatro plantas al azar por cada unidad experimental. El muestreo consistió en hacer un barrido a toda planta con el aspirador desde el cuello, haz y envés de las hojas y el cogollo. Los muestreos se realizaron cada 4 días durante 8 semanas. Todos los insectos recolectados se depositaron en frascos de plástico transparente de 200 mL con agua, identificándolos con los datos de tratamiento y fecha de colecta para su posterior identificación, la cual se realizó mediante claves taxonómicas de Mound y Marullo (1996).
Para los muestreos con trampas azules se colocaron dos trampas de 40 x 60 cm por cada unidad experimental, las cuales se colocaron dentro de una bolsa de plástico trasparente que se impregnó con pegamento (Spaider®) y se ubicaron al azar. Los conteos de los trips en cada trampa se realizaron dos veces por semana durante ocho semanas; los cuales se realizaron en el campo. Después de los conteos, las bolsas de plástico fueron retiradas y se colocaron nuevas.
Para todos los datos registrados se realizó un análisis de varianza (Anova) usando el procedimiento proc Anova del paquete estadístico SAS system para Windows ver. 9.0 (2002). La comparación múltiple de las medias se realizó mediante la prueba de Tukey (p≤ 0.05).
Resultados y discusión
En el Cuadro 2 se presenta el Anova para la densidad de F. occidentalis en el que se observa efecto significativo (p≤ 0.01) para tratamiento, semana de muestreo y la interacción tratamiento por semana. El coeficiente de variación fue menor de 22% y un coeficiente de determinación R2 de 0.823 que indica que hay 82% de validez en los resultados.

En el Cuadro 3 y 4 se presenta los cuadrados medios para los muestreos realizados en ocho semanas, donde se observa un efecto altamente significativo (p≤ 0.01) de los tratamientos evaluados en las semanas 1, 2 y 8 en función a la incidencia de trips por planta, mientras que en las semanas 3, 4, 5, 6 y 7 no se observó el efecto del tratamiento.


A continuación, se muestran los resultados obtenidos en las semanas 1, 2 y 8 que fue donde el experimento mostro diferencias entre los tratamientos. Para la semana 1 el tratamiento con fipronil y acephato a -50% DC fueron los que presentaron mayor densidad con 3.09 y 2.82 trips por planta. En tanto que, el tratamiento con thiametoxan + lambda cyalotrina a DC presentó la menor densidad con 1.64 trips por planta (Cuadro 5). Estos valores son similares a los reportados por Arias y Adrian (2012) en el cultivo de soya quienes utilizaron thiametoxan + lambda cyalotrina a una dosis de 200 mL ha-1, el cual presentó una densidad de 1.6 trips por planta a los 11 días posteriores a la emergencia.

Por otro lado, en relación a los tratamientos que presentaron una mayor incidencia, nuestros resultados son superiores a los reportados por Beltrán et al. (2004) en el control de Frankliniella schultzei en el cultivo de algodón utilizando thiametoxan en una dosis de 200 g de ia. en 100 kg de semillas, donde se presentó una densidad de 0.2 trips por planta a los 15 días después de la emergencia. Para el Fipronil los resultados son inferiores a los reportados por Bustillo (2009) en el cultivo de esparrago, el cual presento una densidad de 11.4 trips por planta a los 11 días después de la emergencia. En este sentido podemos mencionar que los mejores resultados con el producto thiametoxan + lamda cialotrina se deben a que el thiametoxan se adhiere y penetra rápidamente a la semilla lo cual permite estabilidad y biodisponibilidad del ingrediente activo (Valarezo y Loor, 2013).
En la semana 2 los valores más altos de densidad de trips fue para los tratamientos testigo y thiametoxan + lambda cyalotrina a -50% DC con valores de 3.4 y 3.32 respectivamente. Mientras que el valor más bajo fue observado en el tratamiento thiodicarb a DC con 1.85 trips por planta, existiendo una reducción en la población del 54.63% entre los tratamientos con mayor y menor densidad (Cuadro 6). En relación al producto thiodicarb, nuestros valores son superiores a los reportados por Beltrán et al. (2004) para el control de Frankliniella schultzei en algodón, donde observaron una densidad de trips de 0.87 por planta los 20 días de la emergencia. Al respecto Valarezo y Loor (2013) mencionan que el thiodicarb es un insecticida de acción rápida y residual para el tratamiento de la semilla, protegiéndola desde la siembra hasta los primeros días después de su germinación.

Para la semana ocho, en el Cuadro 7 se puede observar que el tratamiento thiodicarb a DC fue el que presento la mayor densidad de trips por planta (1.71) y los tratamientos bifentrina + imidacloprid a -50% DC, bifentrina + imidacloprid y acephato a DC expresaron menor densidad de trips (1, 1.1, 1.1 y 1.18, respectivamente), existiendo una diferencia de 41.84% de incidencia de trips entre los tratamientos que reportaron los valores más altos y más bajos en la semana ocho de evaluación.

Estos resultados se contraponen a los reportados por Machaca (2012) en el control de trips (Thrips tabaci L.) en el cultivo de cebolla utilizando imidacloprid a una dosis de 50 mL por L en el cual se observó un promedio de 2.88 de Thrips tabaci por planta a los 63 días posteriores de la aplicación. Mientras que, Larral y Ripa (2007) reportaron una presencia de cero Heliotrips haemorrhoidalis a 60 días posteriores a la aplicación en plantas de aguacate (Persea amaricana Mill) utilizando imidacloprid a una dosis de 90 mL hL-1.
Por otro lado, en el Cuadro 8 se observa el comportamiento de las medias en la densidad de trips a las ocho semanas de muestreo; en donde el tratamiento thiametoxan + lambda cyalotrina a DC fue el que reporto la menor densidad de trips por planta con 1.53, seguido del tratamiento thiodicarb de dosis alta con valor de 1.62, mientras que el testigo fue el que presentó el valor más alto con 2.14, seguido por thiodicarb a -50% DC con 1.97 trips por planta. Se puede observar una diferencia de 28.31% entre el valor más alto y el más bajo.

Estos resultados difieren a los reportados por Larral y Ripa (2007) en un estudio realizado sobre el control químico de Heliotrips haemorrhoidalis en el cultivo de aguacate (Persea amaricana Mill) utilizando thiametoxan a una dosis de 20 g hL-1 quienes reportaron una presencia nula de H. haemorrhoidalis a los 60 días posteriores a la aplicación.
La efectividad de thiametoxan +lamda cialotrina en el estudio podemos mencionar que es un insecticida eficaz para controlar esta plaga (Shan et al., 2012), y es considerado un nicotinoide de segunda generación (Maienfisch et al., 2001; Naun et al., 2003), que actúan sobre el sistema nervioso central, específicamente sobre el receptor de acetilcolina nicotínico (Domínguez, 2014). Los neonicotinoides son ampliamente utilizados en el tratamiento de semillas (Proietto et al., 2013), ya que su distribución en la semilla y en la planta es lentamente metabolizada y queda disponible por un largo periodo de tiempo cercano a los 30 días (Clavijo, 2008).
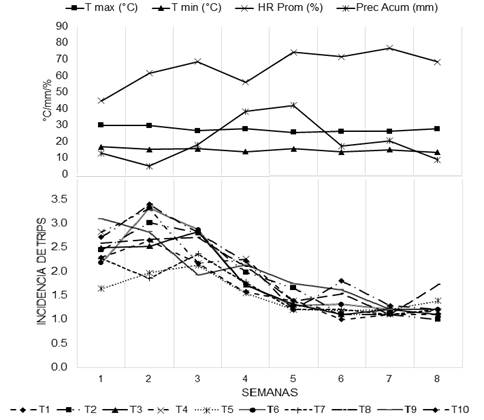
En la Figura 1 se observan los resultados reportados para la densidad de trips por semana, la semana 2 se observa que presentó mayor número de trips, con un promedio de 2.75 trips por planta, seguida de la semana 1 y 3 con valores de 2.45 y 2.47 respectivamente. Mientras que la semana 7 fue la que presentó la menor densidad con 1.16 trips por planta, existiendo una diferencia de 57.78% entre la semana 2 y la semana 7. Estos resultados concuerdan a los reportados por Díaz (1994) donde menciona que el ataque más severo de trips (F. occidentalis) es principalmente durante los 15 a 25 días después de haber emergido la planta.

En la Figura 2, se presenta el comportamiento de la densidad de trips en relación a las condiciones climáticas durante el periodo de muestreo, en donde se puede observar que en las semanas 1, 2 y 8 se presentaron los valores más altos de temperatura máxima con 29.97, 29.69 y 27.83 °C respectivamente, además en esta semana se presentó la mayor densidad de trips por planta (2.45, 2.75 y 1.23). Al respecto Ascencio (2000), señala que temperaturas altas y ausencia de lluvias (Valenzuela-García et al., 2010), favorecen el incremento en la densidad poblacional de trips, por lo que se considera que la temperatura y precipitación son dos factores abióticos que interactúan sobre el desarrollo de las poblaciones del trips, ya que existe una correlación altamente positiva entre la temperatura del aire, la temperatura del suelo, y la humedad relativa del aire con la densidad de la población de los trips (Driutti, 2000). Por otro lado, las temperaturas mínimas se reportaron en las semanas 1, 2, 3 y 5 con 16.7, 15.2, 15.6 y 15.5 °C respectivamente. Y la precipitación acumulada presentó los valores más altos para las semanas 3, 4, 5, 6 y 7 con 18, 38.4, 42, 17.2 y 20.4 mm. Estas condiciones favorecieron a la menor densidad de trips con 2.47, 1.9, 1.42, 1.29 y 1.16 respectivamente, debido que las lluvias son un factor importante para el control de trips ya que limpia las hojas ocasionando que los trips caigan al suelo (Valle et al., 2003), lo cual hizo que el muestreo en estas semanas no presentara diferencias significativas entre tratamientos en la densidad de trips, ya que junto con la temperatura y las horas de luz interactúa negativamente en el desarrollo poblacional de trips (Drutti, 2000).

De acuerdo a los datos mostrados en la Figura 2, en la semana dos se presentaron las condiciones climáticas con valores de una temperatura máxima y mínima (29.69 y 15.21 °C), una humedad relativa de 61.66% y una precipitación acumulada de 5 mm, lo cual permitió que en esta semana se presentara la mayor incidencia de trips en las plantas de maíz, estas condiciones afectaron las poblaciones de insectos, ocurriendo una disminución de la tasa reproductiva. En este sentido se ha establecido que la temperatura es la principal condición ambiental que interactúa en el desarrollo poblacional de trips (Driutti, 2004).
Conclusiones
La menor densidad de F. occidentalis en el cultivo de maíz se presentó con el tratamiento Thiametoxan + lambda cyalotrina en dosis comercial (0.943 mL L-1) aplicado a la semilla, con una media de 1.53 de trips por planta, superando en 28.62% al testigo absoluto. A los 15 días posteriores a la germinación de maíz se presentó la mayor densidad de trips por planta con 2.7552. El tratamiento químico a la semilla de maíz reduce la densidad de F. occidentalis durante los 45 días posteriores a la germinación. Cuando las temperaturas son altas y la precipitación es baja ayuda que las poblaciones de trips aumenten en la planta, por otro lado, si la precipitación es alta tiene un efecto positivo sobre el control de F. occidentalis, ya que esta la lava de la planta.
Literatura citada
Arias, N. y Adrián, M. 2012. Control de trips en el cultivo de soja. INTA EEA Concepción del Uruguay. División tratamiento de semillas. GLEBA SA.
Asencio, B. G. 2000. Fluctuación poblacional, daño e identificación de trips del aguacate cv. Hass en Michoacán, México. Tesis de Maestría en Ciencias.
Bayer Crop Sciencie. 2007. Semevin 350 FS. http://www.bayercropsciencie.com.ec./productdesc.aspx?prodid=11 .
Beltrán, R.; Helman, S. y Peterlin, O. 2004. Control de Caliothrips phaseoli Hood y Frankliniella schultzei Trybon y Aphis gossypii Glover con insecticidas sistémicos aplicados a las semillas de algodón. INTA, Argentina.
Bielza, P.; Quinto, V.; Contreras, J.; Torne, M.; Martín, A. and Espinosa, P. J. 2007. Resistance to spinosad in the western flower thrips, Frankliniella occidentalis (Pergande), in greenhouses of south-eastern Spain. Pest Manag. Sci. 63:682-687.
Bustillo, P. A. E. 2009. Evaluación de insecticidas químicos y biológicos para controlar Frankliniella occidentalis (Thysanoptera: Thripidae) en cultivos de espárragos. Rev. Colomb. Entomol. 35(1):12-17.
Catresana, J.; Gagliana, E.; Puhl, L.; Bado, S.; Vianna, L. y Castresana, M. 2008. Atracción del Trips Frankliniella occidentalis (Pergande) (Thysanoptera: Thripidae) con trampas de luz en un Cultivo de Gerbera jamesonii (G). IDESIA. 26(3).
Cesaveg, 2008. Comite estatal de sanidad vegetal Guanajuato. Manual de plagas y enfermedades del maíz. Campaña Manejo Fitosanitario del Maíz.
Clavijo, J. 2008. Tiamethoxam: Un Nuevo concepto en vigor y productividad. Ed. M. Manrique. Bogota. DC. Co. 196 p.
Driutti, A. 2004. Control biológico natural de trips, Thrips tabaco Lindeman 1888 (Thysanoptera: Thripidae) por surtidos depredadores en el cultivo de cebolla (Allium cepa L.) por el cultivo de bordaduras y/o entrelineas. Instituto Agronómico “Pedro M. Fuentes Godo”. UNNE. Las Heras 727, Chaco, Argentina.
Drutti, A. A. 2000. Control biológico natural de Trips, Thrips tabaci Lindeman 1888 (Thysanoptera: Thripidae) por sírfídos predadores en cultivo de cebolla (Allium cepa L.) por el cultivo de borduras y/o entrelineas. Universidad Nacional Del Nordeste. Comunicaciones Científicas y Tecnológicas 2000. Instituto Agrotécnico “Pedro M. Fuentes Godo” - UNNE.
FAO. 2012. (Food and Agriculture Organization). http://www.fao.org.
Fundación Guanajuato Produce. 2014 a. Fundación Guanajuato Produce http://www.fundacionguanajuato.com/CGI-BIN/Clima/index.php.
Guangyu, Z.; Wei, L.; Brown, J. M. and Knowles, C. O. 1995. Insecticide resistance in field and laboratory strains of western flower trips (Thysanoptera: Thripidae). J. Econ. Entomol. 88(5):1164-1170.
Helyer, N. L. and Brobyn, P. J. 2008. Chemical control of western flower thrips (Frankliniella occidentalis Pergande). Ann. Appl. Biol. 121(2):219-231.
Herron, G. A. and James, T. M., 2007. Insecticide resistance in Australian populations of western flower thrips, Frankliniella occidentalis Pergande (Thysanoptera: Thripidae). Gen. Appl. Ent. 36:1-5.
ISF. 2007. El tratamiento de semillas, una herramienta para la agricultura sostenible. Federación internacional de semillas. Federation internationale du commerce des semences. Chemin du reposir 7. CH-1260 NYON/Suiza.
Kato, Y. T. A.; Mapes, S. C.; Mera, O. L. M.; Serratos, H. J. A. y Bye B., R. 2009. Origen y diversificación del maíz: una revisión analítica. Universidad Nacional Autónoma de México (UNAM)-Comisión Nacional para el Conocimiento y Uso de la Biodiversidad (CONABIO). México, D. F. 116 p. https://www.biodiversidad.gob.mx/genes/pdf/origen_div_maiz.pdf.
Kay, I. R. and Herron, G. A. 2010. Evaluation of existing and new insecticides including spirotetramat and pyridalyl to control Frankliniella occidentalis (Pergande) (Thysanoptera: Thripidae) on peppers in Queensland. Australian J. Entomol. 49(2):175-181.
Kontsedalov, S.; Weintraub, P. G.; Horowitz, A. R. and Ishaaya, I. 1998. Effects of insecticides on immature and adult western flower thrips (Thysanoptera: Thripidae) in Israel. J. Econ. Entomol. 91(5):1067-1071.
Larral, P. y Ripa, R. 2007. Evaluación de la efectividad de pesticidas para el control de Heliotrips haemorrhoidalis (Thysanptera: Thripidae) sobre el Palto (Persea americana Mill). Instituto de Investigaciones Agropecuarias, casilla 3 La Cruz.
Lewis T, 1998. Chemical control, in thrips as crop pests. (Ed.). Lewis, T. CAB International, New York, NY. 567-594 pp.
Lopes Da, S. A.; Da Silva, N. F.; Pires, L. L.; Ferreira, H. De J.; Caetano, B. V. e Peixoto, Dos S. L. 2003. Eficiência agronômica de inseticidas no controle do Thrips tabaci Lind., 1888 (Thysanoptera, Thripidae) na cultura do alho. Pesquisa Agropecuária Tropical. 33(1):39-42.
Manchaca, V. A. 2012. Comparación de efectividad de distintos insecticidas en el control de “trips” Thrips tabaci L., en el cultivo de cebolla (Allium cepa L.) cultivar sivan, en el proter- sama. Universidad Nacional Jorge Basadre. Facultad de Ciencias Agropecuarias Escuela Académico Profesional de Agronomía. Perú.
Mound, L. A. and Marullo, R. 1996. The thrips of central and south America: an introduction (Insecta; Thysanoptera). Memoirs on Entomol. Int. vol. 6. 487 p.
Nadal, A. y Wise, T. A. 2005. Los costos ambientales de la liberación agrícola: el comercio del maíz en México y Estados Unidos en el marco del NAFTA. Globalización y medio ambiente. Lecciones desde las Américas. RIDES-GDAE. Santiago de Chile. 49-92 pp.
Nauen, R. U.; Ebbinghaus, K.; Salgado, V. L. and Kaussmann, M. 2003. Thiamethoxam is a neonicotinoid precursor converted to clothianidin in insects and plants, Pestic. Biochem. Physiol. 76:55-69.
Proietto, M.; Scordino, M.; Sabatino, L.; Pantò, V.; Morabito, G.; Chiappara, E.; Traulo, P. and Gagliano, G. 2013. UHPLC/MS-MS analysis of six neonicotinoids in honey by modified QuEChERS: method development, validation, and uncertainty measurement. International J. Food Sci. 1:1-8.
Race, S. R. 1961. Early-season trips control on cotton in New Mexico. J. Econ. Entomol. 54:974-976.
Rodríguez, I; Duran, I; Morales, H. y Cardona, C. 2003. Líneas base, dosis diagnóstico y medición periódica de resistencia a imidacloprid, spinosad y carbosulfan en poblaciones de adultos de Trips palmi (Thysanoptera: Thripidae) en el Valle del Cauca, Colombia. Rev. Colomb. Entomol. 29(1):29-33.
SAS Institute Inc. 2002. Guide for personal computers. SAS Institute, Cary. NC. USA.
Shan, C.; Ma, S.; Wang, M. and Gao, G. 2012. Evaluation of insecticides against the western flower thrips, Frankliniella occidentals (Thysanoptera: Thripidae), in the laboratory, Fla. Entomol. 95:454-460.
Syngenta 2006. Powered by crusier inversión que si crece. Manual 17 p.
Valarezo, C. O. y Loor, A. L. 2013. Efecto del tratamiento insecticida a la semilla de maíz antes de la siembra.Revista la Técnica.26-33
Zhang, S.Y.; Kono, S.; Murai, T. and Miyata, T. 2008. Mechanisms of resistance to spinosad in the western flower thrips, Frankliniella occidentalis (Pergande) (Thysanoptera: Thripidae). Insect Sci 15:125-132.
Zhao, M.; Ho, H.; Wu, Y.; He, Y. and Li, M. 2014. Western flower thrips (Frankliniella occidentalis) transmits Maize chlorotic mottle virus. J. Phytopathol. 162(7-8):532-536.
Notas de autor
§Autor de correspondencia: jlanflo@hotmail.com.