Nota de investigación
Recepción: 01 Abril 2018
Aprobación: 01 Mayo 2018
DOI: 10.29312/remexca.v9i3.1225
Resumen: Los requerimientos nutrimentales de las plantas son distintos en sus diferentes etapas fenológicas por lo que en el presente experimento se modificó la solución de Steiner para adaptarla a cada etapa de nochebuena (crecimiento radical, desarrollo vegetativo y pigmentación). Se utilizó el cultivar Prestige, el sustrato fue una mezcla de tierra de hoja, fibra de coco y tezontle rojo en proporción 60:20:20 (%, v/v) y contenedor de polietileno negro de 15.24 cm de diámetro. El experimento se llevó a cabo en la Facultad de Ciencias Agropecuarias de la Universidad Autónoma del Estado de Morelos, Cuernavaca, Morelos. Se evaluaron variables morfológicas de las plantas de nochebuena como respuesta a la concentración relativa entre NO3- y Ca2+ de la solución nutritiva. El suministro de nutrimentos de acuerdo con las etapas fenológicas de la nochebuena afecta el crecimiento, extracción y concentración de nutrimentos, pero depende del régimen nutrimental. El régimen con la concentración (meq L-1) NO3-:Ca2+ 10:7 en crecimiento radical, 10:9 en desarrollo vegetativo y 12:9 en la etapa de pigmentación indujeron que las plantas de nochebuena presentaran mayor extracción de N, P, K, Ca y Mg, se incrementara la concentración de K y las características morfológicas y la producción de materia seca fueran sobresalientes.
Palabras clave: conductividad eléctrica, fenología, nutrimentos, solución nutritiva.
Abstract: The nutrient requirements of the plants are different in their different phenological stages, so in the present experiment the Steiner solution was modified to adapt it to each stage of poinsettia (root growth, vegetative development and pigmentation). The Prestige cultivar was used the substrate was a mixture of leaf soil, coconut fiber and red tezontle in proportion 60:20:20 (%, v/v) and black polyethylene container of 15.24 cm in diameter. The experiment was carried out in the Faculty of Agricultural Sciences of the Autonomous University of the State of Morelos, Cuernavaca, Morelos. Morphological variables of the poinsettia plants were evaluated in response to the relative concentration between NO3- and Ca2+ of the nutrient solution. The supply of nutrients according to the phenological stages of poinsettia affects the growth, extraction and concentration of nutrients, but depends on the nutritional regime. The regimen with the concentration (in meq L-1) NO3-:Ca2+ 10:7 in radical growth, 10:9 in vegetative development and 12:9 in the pigmentation stage induced the poinsettias to present greater extraction of N, P, K, Ca and Mg, will increase the concentration of K and the morphological characteristics and the production of dry matter were outstanding.
Keywords: electrical conductivity, nutrients, nutritive solution, phenology.
Los estudios detallados del crecimiento de las plantas permiten cuantificar diferentes aspectos como la duración del ciclo, definición de las etapas de desarrollo y distribución de los fotoasimilados entre órganos. Los análisis del crecimiento son básicos para comprender mejor los procesos fisiológicos que determinan la producción vegetal, y así fundamentar racionalmente las prácticas de manejo del cultivo como la nutrición, riego, podas, estrategias de protección, entre otras (Azofeifa y Moreira, 2004).
Los iones de la solución nutritiva (SN) establecen relaciones mutuas que son importantes considerar para cubrir las necesidades nutricionales de cada etapa de desarrollo del cultivo (Gómez y Montoya, 2001). Por tal motivo, varias investigaciones están dirigidas a la aplicación fraccionada de los nutrimentos (Klocke et al., 1999) de acuerdo con los requerimientos del cultivo (Andraski et al., 2000) con la finalidad de reducir el riesgo de contaminación y obtener rendimientos competitivos.
La nochebuena tiene alta demanda de nitrógeno (N) y potasio (K) (Martínez, 1995; Ayala-Arreola et al., 2008), así como una exigencia inusualmente elevada de calcio (Ca), magnesio (Mg) y molibdeno (Dole y Wilkins, 2005; Ayala-Arreola et al., 2008). El exceso de N induce follaje exuberante y suculento, mientras que la deficiencia provoca tallos débiles. Vázquez y Salome (2004) recomiendan realizar aplicaciones complementarias de Ca a través del riego o el follaje entre la segunda y la tercera etapa con el propósito de obtener tallos más resistentes al desgaje (evitar tallos frágiles) y brácteas de mayor calidad.
Con el fundamento de que las plantas tienen requerimiento distinto de nutrimentos en sus diferentes etapas fenológicas, el presente estudio tuvo como objetivo determinar la respuesta morfológica y de extracción nutrimental de la nochebuena a la modificación de la SN en sus tres etapas fenológicas.
El experimento se llevó a cabo en un invernadero con cubierta plástica de la Facultad de Ciencias Agropecuarias de la Universidad Autónoma del Estado de Morelos, campus Chamilpa (18º 58’ 52.87” latitud norte y 99º 13’ 57.92” longitud oeste, 1875 mnsm) en Cuernavaca, Morelos, con temperatura mínima y máxima promedio de 13.7 y 34.7 °C respectivamente, humedad relativa entre 55% y 73%. La radiación fotosintéticamente activa diurna fue en promedio de 203 μmol m-2 s-1. Se utilizaron esquejes de nochebuena cultivar Prestige trasplantados el 06 de julio en contenedores de polietileno negro de 15.24 cm de diámetro, en un sustrato elaborado con tierra de hoja cernida, fibra de coco y tezontle rojo (granulometría entre 0.1 a 0.5 cm de diámetro) en proporción de 60:20:20 (%, v/v). El riego se realizó con SN de conductividad eléctrica (CE) de 2 dS m-1 y pH 5.5.
Los tratamientos se generaron por la combinación de las concentraciones de NO3- y Ca2+ de la solución nutritiva en función de la etapa fenológica de la nochebuena (Cuadro 1), obtenidas por Torres-Olivar et al. (2015). La modificación entre NO3-: Ca2+ se realizó con base en la solución nutritiva universal (Steiner, 1984), manteniendo constante la concentración total de aniones y de cationes en 20 meq L-1 cada uno, así como las relaciones mutuas entre SO42-: H2PO4- de 7 y K+: Mg2+ de 1.75. La concentración relativa de los iones involucrados se mantuvo dentro de los límites de una solución verdadera porque es conocido que la interacción entre los mismos influye en la absorción, la distribución o función de algún otro nutrimento en la planta, con lo cual se reduce la probabilidad de inducir deficiencias o toxicidades (Schwarz, 1995; Villegas et al., 2005).

Los tratamientos testigos fueron dos: 1) solución nutritiva universal (Steiner, 1984; con 12 de NO3- y 9 de Ca2+, en meq L-1) suministrada en las tres etapas fenológicas; y 2) la recomendada por Martínez (2011) que consiste en aplicar la solución nutritiva universal (Steiner, 1984) en 80% (NO3-, 9.6; Ca2+, 7.2, en meq L-1) de la concentración original en crecimiento radical, al 120% (NO3-, 14.4; Ca2+, 10.8, en meq L-1) en desarrollo vegetativo y a 80% (NO3-, 9.6; Ca2+, 7.2, en meq L-1) en la etapa de pigmentación (Cuadro 1).
El crecimiento radical se consideró a partir del trasplante hasta la poda de las plantas, la cual se realizó cuando la raíz fue visible en la periferia del cepellón. El desarrollo vegetativo, desde la poda hasta la aparición de las brácteas de transición, y la pigmentación abarcó desde la aparición de las brácteas de transición hasta la presencia de polen.
Las variables de crecimiento evaluadas incluyeron altura de planta medida desde el cuello hasta el ápice del brote más alto, el diámetro de planta se determinó con un vernier digital, el área foliar y de brácteas (LI-3100C, LI-COR, Inc. Lincoln, Nebraska, E. U.) y el peso de materia seca total, el cual fue registrado después de secar los tejidos en una estufa con circulación forzada de aire a una temperatura de 70 °C durante 72 h. Para determinar la extracción de nutrimentos y relacionarlo con la etapa fenológica, al término del experimento se realizó el muestreo destructivo de las plantas de cuatro tratamientos seleccionados (SM/SM/SM, SM/SM/ST, 80/120/80 y Steiner).
Se determinó la concentración de N total por el método micro-Kjeldahl (Chapman y Pratt, 1973; Brearen y Mulvaney, 1982) y la de K con un Flamómetro Corning 400 (Alcántar y Sandoval, 1999). El fósforo (P), Ca y Mg se determinaron por espectrometría de emisión de plasma acoplado inductivamente (ICP-AES VARIAN, modelo Liberty). A los datos obtenidos se les realizó el análisis de varianza en SAS 8.1 (SAS Institute, Cary, North Carolina, EU) en un diseño experimental de bloques completos al azar con cuatro repeticiones; cada repetición fue un contenedor con una planta. Las variables con diferencia significativa se sometieron a la prueba de comparación múltiple de medias de Duncan (p≤ 0.05).
La modificación de la SN en cada una de las etapas fenológicas afectó de forma diferente el crecimiento de la planta de nochebuena. El suministro de nutrimentos mediante el régimen SM/SM/ST favoreció significativamente la altura, el diámetro de la planta, área foliar y materia seca (Cuadro 2). El régimen ST/ST/SM indujo plantas con mayor área foliar que con cualquier otro manejo de la nutrición. En el régimen SM/SM/ST se mantiene la concentración de NO3- en 10 meq L-1 en las etapas de crecimiento radical y desarrollo vegetativo, mientras que se incrementa a 12 meq L-1 durante la pigmentación de la nochebuena. En el mismo régimen, la concentración de Ca2+ fue de 7 meq L-1 en la etapa de crecimiento radical, en tanto que se incrementó a 9 meq L-1 en el desarrollo vegetación y pigmentación.

Caso contrario sucedió con el régimen ST/ST/SM. En las etapas de crecimiento radical y desarrollo vegetativo el NO3- se mantuvo en 12 meq L-1 y se redujo a 10 meq L-1 durante la pigmentación, mientras el Ca2+ se mantuvo constante en 9 meq L-1 durante todo el ciclo de la planta. Algunos autores mencionan que en las etapas iniciales se recomiendan concentraciones de 17.87 a 21.43 meq L-1 de N (Berghage et al., 1987; Ecke et al., 2004), las cuales al parecer son excesivas, ya que se ha reportado que 7.14 meq L-1 de N es suficiente para mantener condiciones adecuadas de crecimiento (Whipker y Hammer, 1997). En este experimento, con 10 meq L-1 de NO3- durante las etapas de crecimiento radical y desarrollo vegetativo fue adecuado para obtener plantas de nochebuena con características morfológicas sobresalientes, pero este ion se debe incrementar a 12 meq L-1 durante la pigmentación.
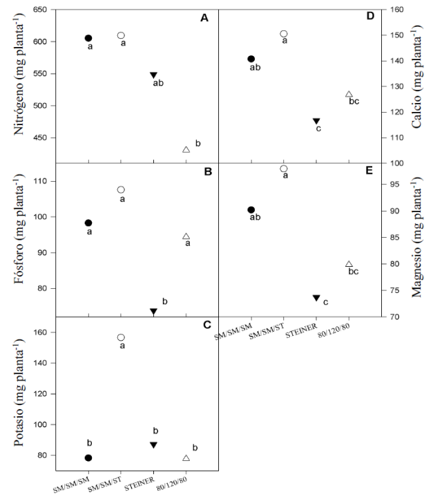
El análisis de la extracción nutrimental indica que los regímenes SM/SM/SM y SM/SM/ST provocaron que las plantas presentaran demanda estadísticamente similar en N (Figura 1A), independientemente del incremento de la concentración de NO3- (meq L-1) en la etapa de pigmentación (SM/SM/SM: 10.0/10.0/10.0; SM/SM/ST: 10.0/10.0/12.0); sin embargo, las plantas nutridas con el régimen SM/SM/ST presentaron las mejores características morfológicas (Cuadro 2).

El suministro de 12 meq L-1 de NO3- durante las tres etapas fenológicas de la nochebuena (tratamiento ST, es decir, ST/ST/ST: 12/12/12), indujo incremento significativo de la concentración de este elemento (Cuadro 3); sin embargo, su extracción disminuyó (Figura 1) al igual que el crecimiento de las plantas (Cuadro 2). Esto sugiere un consumo de lujo; es decir, la nochebuena absorbió N en cantidad superior a lo requerido para el crecimiento óptimo.

En este sentido, Torres-Olivar et al. (2015) reportaron mayor producción de biomasa aérea y radical en plantas de nochebuena nutridas con 10 meq L-1 en las etapas de crecimiento radical y vegetativo, comparado con las plantas nutridas con 12 y 14 meq L-1 de NO3-. De acuerdo con Steiner (1984), las plantas responden a las relaciones mutuas entre aniones (NO3- + H2PO4- + SO42-), cationes (K+ + Ca2+ + Mg2+), concentración iónica total y pH de la solución nutritiva. Cuando se mantiene constante la tercera y cuarta característica físico-química, se puede modificar la concentración relativa de algún anión con respecto al total de aniones, o de algún catión en relación con el total de cationes.
En estas condiciones, el efecto observado en las plantas se puede atribuir a la modificación del anión o catión, siempre y cuando se mantengan constantes las relaciones mutuas entre los otros dos iones. En esta investigación se mantuvieron constantes las relaciones entre SO42-:H2PO4- de 7 y K+:Mg2+ de 1.75, lo cual el efecto de las soluciones nutritivas en el crecimiento de las plantas se le puede atribuir a la concentración relativa entre NO3- y Ca2+; sin embargo, se debe considerar el régimen nutrimental durante el desarrollo de la nochebuena porque se observó mejor efecto en las características morfológicas y producción de materia seca del suministro SM/SM/ST en comparación con ST (ST/ST/ST).
La extracción de P fue mayor en las plantas nutridas con soluciones modificadas en sus etapas fenológicas (Figura 1, B). Es posible que este fenómeno se deba a la diferente cantidad de P suministrado durante su desarrollo, de acuerdo con el régimen nutrimental. Concentración de H2PO4- (meq L-1) en SM/SM/SM: 1.25/1.25/1.25; SM/SM/ST: 1.25/1.25/1.00; ST/ST/ST: 1.0/1.0/1.0; 80/120/80: 0.8/1.2/0.8. Sin embargo, con el régimen 80/120/80, las plantas presentaron la mayor concentración de P (Cuadro 3), lo cual puede ser atribuido a un efecto de concentración como consecuencia de la menor producción de biomasa.
La extracción de K (Figura 1, C) y su concentración (Cuadro 3) fue superior en las plantas nutridas con el régimen SM/SM/ST. La concentración de este ion (meq L-1) en cada uno de los regímenes fueron los siguientes. SM/SM/ST, 8.27/7.00/7.00; SM/SM/ST, 8.27/7.00/7.00, ST/ST/ST, 7.00/7.00/7.00; 80/120/80, 5.60/8.40/5.6. Se ha demostrado que el K+ es un nutrimento absorbido en mayor cantidad por nochebuena (Oliveira et al., 2004; Torres-Olivar et al., 2015); sin embargo, los datos del presente experimento indican que depende de concentración relativa con respecto al NO3- y H2PO4- en la etapa de pigmentación.
La extracción de Ca2+ y Mg2+ se estimuló por el régimen SM/SM/ST (Figura 1, D y E), aun cuando la respectiva concentración fue estadísticamente inferior a la presentada por las plantas nutridas con el régimen 80/120/80 (Cuadro 3) y similar a los regímenes SM/SM/SM y ST/ST/ST (Cuadro 3). La concentración de Ca2+(meq L-1) de acuerdo con el régimen nutrimental fue la siguiente. SM/SM/SM: 7.00/9.00/9.00; SM/SM/ST: 7/9.00/9.00; ST/ST/ST: 9.00/9.00/9.00; 80/120/80: 7.2/10.8/7.2 y para Mg2+ (meq L-1), SM/SM/SM: 4.73/4.00/4.00; SM/SM/ST: 4.73/4.00/4.00; ST/ST/ST: 4.00/4.00/4.00; 80/120/80: 3.2/4.8/3.2. La mayor concentración de Ca y Mg en el testigo (80-120-80) es posible que se deba a un efecto de concentración por la menor producción de materia seca.
Lo anterior coincide con lo reportado por Reyes-Santamaría et al. (2000) quienes indican que un aumento en el área foliar se correlaciona positivamente con la producción de materia seca; tal fenómeno está relacionado con la función del Ca en la regulación el crecimiento y desarrollo de las células (Tuteja y Mahajan, 2007; Valdéz-Aguilar et al., 2015) y del Mg al ser constituyente de la molécula de clorofila (Mengel y Kirkby, 1987), pigmento involucrado en el proceso responsable de la generación de materia seca, la fotosíntesis.
Conclusiones
El suministro de nutrimentos de acuerdo con las etapas fenológicas de la nochebuena afecta el crecimiento, extracción y concentración de nutrimentos, pero depende del régimen nutrimental. El régimen con la concentración (meq L-1) NO3-:Ca2+ 10:7 en crecimiento radical, 10:9 en desarrollo vegetativo y 12:9 en la etapa de pigmentación indujeron que las plantas de nochebuena presentaran mayor extracción de N, P, K, Ca y Mg, se incrementara la concentración de K, y las características morfológicas y la producción de materia seca fueran sobresalientes.
Literatura citada
Alcántar, G. G. y Sandoval, V. M. 1999. Manual de análisis químico de tejido vegetal. Publicación especial 10. Sociedad Mexicana de la Ciencia del Suelo. AC. Chapingo, México. 156 p.
Andraski T. W.; Bundy, L. G. and Brye, K. R. 2000. Crop management and corn nitrogen rate effects on nitrate leaching. J. Environ. Qual. 29(4):1095-1103.
Ayala-Arreola, J.; Castillo-González, A. M.; Valdez-Aguilar, L. A.; Colinas-León, M. T.; Pineda-Pineda, J. and Avitia-García, E. 2008. Effect of calcium, boron and molybdenum on plant growth and bract pigmentation in poinsettia. Rev. Fitotec. Mex. 31(2):165-172.
Azofeifa, A. y Moreira, M. A. 2004. Análisis de crecimiento del chile jalapeño (Capsicum annuum L. cv. Hot) en Alajuela, Costa Rica. Agron. Costarricense. 28(1):57-67.
Berghage, R. D.; Heins, R. D.; Carlson, W. H. and Biernbaum, J. 1987. Poinsettia production. Michigan State Coop. Ext. Serv. Bul. E-1381. 9 p.
Brearen, L. M. and Mulvaney, S. C. 1982. Nitrogen-total. In: Page, A. L.; Miller, R. H. and Keeney, D. R.(Eds.) Methods of soil analysis. Part 2. Chemical and microbiological properties (Agronomy 9). 2nd (Ed.). American Society of Agronomy, Soil Science Society of America. Madison, WI. 595-634 pp.
Chapman, H. D. y Pratt, F. P. 1973. Manual de análisis para suelos, aguas y plantas. Ed. Trillas, México. 195 p.
Dole, J. M. and Wilkins, H. F. 2005. Floriculture. Principles and species. 2nd (Ed.). Pearson Prentice Hall. New Jersey, USA. 1023 p.
Ecke, Paul III.; James, E.; Faust, P. H. D.; Higgins, A. and Williams, J. 2004. The Ecke poinsetia manual. Edited by Rick Blanchette. 268 p.
Gómez, R. J. y Montoya M. 2001. Soluciones nutritivas en la producción de hortalizas, frutas y flores. Editorial Año Dos Mil. Distrito Federal, México. 20-29 pp.
Klocke, N. L.; Watts, D. G.; Schneekloth, J. P.; Davison, D. R.; Todd, R. W. and Parkhurst, A. M. 1999. Nitrate leaching in irrigated corn and soybean in a semiarid climate. Transactions of the ASAE. 42:(6):1621-1630.
Martínez, M. F. 1995. Manual práctico de nochebuena. Consultoría OASIS. Morelos, México. 87 p.
Martínez, T. J. 2011. Sustratos, reguladores de crecimiento y fertirriego en doce variedades de nochebuena (Euphorbia pulcherrima Willd. ex Klotzsch). Tesis de licenciatura. Universidad Autónoma del Estado de Morelos. 103 p.
Mengel, K. y Kirkby, E. 1987. Principios de nutrición vegetal. Trad. 4ª (Ed.) por Melgar, R. J. and Ruiz, M. Internacional Potash Institute. Basilea, Suiza. 692 p.
Reyes, S. M. I.; Villegas, M. A.; Colinas, L. M. T. y Calderón, Z. G. 2000. Peso específico, contenido de proteína y de clorofila, en hojas de naranjo y tangerino. Agrociencia. 34(1):49-55.
Schwarz, M. 1995. Soilless culture management. Advanced series in Agricultural Sciences 24. Springer-Verlag. Berlin, Germany. 197 P.
Steiner, A. A. 1984. The universal nutrient solution. In: proceedings of sixth international congress on soilless culture. International Society for Soilless Culture. Lunteren, The Netherlands. 633-649 pp.
Oliveira, R. H.; Rosolem, C. A. and Trigueiro, R. M. 2004. Importance of mass flow and diffusion on the potassium supply to cotton plants as affected by soil water and potassium. Rev. Bras. Cienc. Solo. 28(3):439-445.
Torres, O. V.; Villegas, T. O. G.; Valdez, A. L. A.; I. Alia, T.; López, M. V. y Trejo, T. L. I. 2015. Respuesta de la nochebuena (Euphorbia pulcherrima Willd. ex Klotzsch) a la relación nitrato:calcio en tres etapas fenológicas. Rev. Mex. Cienc. Agríc. Pub. Esp. Núm. 12:2345-2357.
Tuteja, N. and Mahajan, S. 2007. Calcium signaling network in plants. Inglaterra. Plant Signal Behav. 2(2):79-85.
Whipker, B. E. and Hammer, P. A. 1997. Nutrient uptake in poinsettia during different stages of physiological development. J. Am. Soc. Hortic. Sci. 122(4):565-573.
Valdez, A. L. A.; Hernández, P. A.; Alvarado, C. D. and Cruz, A. A. 2015. Design of a fertilization program for chrysanthemum based on extraction of macronutrients. Rev. Mex. Cienc. Agríc. Pub. Esp. Núm. 12:2263-2276.
Villegas, T. O. G.; Sánchez, G. P.; Baca, C. G. A.; Rodríguez, M. M. N.; Trejo C.; Sandoval, V M. y E. Cárdenas S. 2005. Crecimiento y estado nutrimental de plántulas de tomate en soluciones nutritivas con diferente concentración de calcio y potencial osmótico. Terra Latinoam. 23(1): 49-56.
Vásquez, G. L. M. y Salomé, E. C. 2004. Nochebuena (Euphorbia pulcherrima) Cuetlaxóchitl. Universidad Autónoma del Estado de México (UAEM). Ed. Cigome. Toluca, Estado de México. 72-73 pp.
Notas de autor
§Autor para correspondencia: voscar66@yahoo.com.mx.