Metodología lúdica para la enseñanza de la programación dinámica determinista en un contexto universitario
Methodology of hands on activities for the teaching of the deterministic dynamic programming in a university context
Metodologia de ensino lúdico para a programação dinâmica determinista em um contexto universitário
Metodología lúdica para la enseñanza de la programación dinámica determinista en un contexto universitario
Entramado, vol. 12, núm. 1, pp. 236-249, 2016
Universidad Libre
Recepción: 26 Agosto 2015
Aprobación: 11 Noviembre 2015
Resumen: En este artículo se presentan los resultados de un proceso investigativo desarrollado por el Grupo en la Enseñanza de la Investigación de Operaciones (GEIO), perteneciente a la Facultad de Ingeniería Industrial de la Universidad Tecnológica de Pereira – Colombia, en donde la lúdica es planteada como metodología de enseñanza para generar micromundos que permitieran a estudiantes del ámbito universitario interiorizar conceptos matemáticos difíciles de comprender por métodos reduccionistas. La investigación documentada se desarrolló con un grupo de alumnos de la Facultad de Ingeniería Industrial, con los cuales se trabajó el concepto de programación dinámica determinista, enfocada al balanceo de línea empleando una lúdica de un proceso productivo textil. La aplicación práctica fue evaluada mediante el proceso de validación de expertos y permitió concluir que la metodología lúdica propuesta por GEIO es clara, pertinente, viable, coherente y constituye una herramienta para representar sistemas reales, donde los estudiantes pueden asociar fácilmente conceptos teóricos a situaciones prácticas, llegando a generar aprendizaje significativo gracias a la interacción del participante con el contexto simulado.
Palabras clave: Lúdica, metodología de enseñanza, aprendizaje significativo, educación de ingeniería, investigación de operaciones.
Abstract: In this article the results of a research process developed by the Group in the Teaching of Operations Research (GEIO) belonging to the Faculty of Engineering of the Technological University of Pereira - Colombia are presented, where the hands on activities are raised as teaching methodology to generate micro-worlds that would allow university students to internalize mathematical concepts that are difficult to understand by reductionist methods. The documented investigation was developed with a group of students from the Faculty of Industrial Engineering, with they was worked the concept of deterministic dynamic programming focused on balancing line using hands on activity of a textile production process. The above evidence was evaluated with the validation process by experts, and it allowed to conclude the hands on activity methodology proposed by GEIO is clear, relevant, viable, coherent and is a tool to represent real systems where students can easily associate theoretical concepts to practical situations, reaching generate learning significant thanks to the interaction of the participant with the simulated context.
Keywords: Ludic, teaching methodology, meaningful learning, education, engineering, operations research.
Resumo: Este artigo apresenta os resultados de um processo de pesquisa desenvolvido pelo Grupo sobre o Ensino de Pesquisa Operacional (GEIO), pertencente à Faculdade de Engenharia da Universidade Tecnológica de Pereira são apresentados - Colômbia, onde a diversão é levantada como metodologia de ensino para gerar microworlds que permitiriam que os estudantes das universidades internalizar difícil de entender conceitos matemáticos métodos reducionistas. pesquisa documentada foi realizada com um grupo de estudantes da Faculdade de Engenharia Industrial, com a qual o conceito de programação dinâmica determinista trabalhou, focado no equilíbrio utilizando uma linha lúdica de um processo de produção têxtil. A aplicação prática foi avaliada pelo perito processo de validação e permitiram concluir que a metodologia lúdica proposto por GEIO é clara, relevante e viável, coerente e é uma ferramenta para representar sistemas reais, onde os alunos podem facilmente associar conceitos teóricos a situações práticas , chegando a gerar aprendizagem significativa por meio da interação dos participantes com o contexto simulado.
Palavras-chave: Lúdico, metodologia de ensino, aprendizagem, educação, engenharia, pesquisa operacional significativa.
Introducción
El desarrollo humano ha estado ligado, desde los orígenes de la especie, a la aplicabilidad de los saberes adquiridos y potenciados con el día a día. Por tal motivo, el hecho de transmitir oportunamente los conocimientos de generación en generación ha sido de vital importancia para la subsistencia tanto de las sociedades como de los individuos y se ha convertido en razón de estudio para diferentes teóricos a través de los años.
Por esta razón, diversos investigadores desde las ciencias exactas y sociales han contribuido a la formación de procesos de enseñanza – aprendizaje eficaz; algunos de estos aportes han tenido como eje transversal el empleo de juego como instrumento que facilita la aprehensión de contenido académico. Es por ello que la enseñanza por medio de la lúdica surge como una propuesta para contribuir al fortalecimiento de las capacidades de los estudiantes al interior del salón de clase y además representa una herramienta que permite vivenciar, por medio de un espacio predispuesto, las condiciones reales de una situación específica.
De esta rama de investigación, surge el Grupo en la Enseñanza de la Investigación de Operaciones (GEIO), perteneciente a la Facultad de Ingeniería Industrial de la Universidad Tecnológica de Pereira – Colombia, que busca el diseño de herramientas lúdicas con una metodología donde confluyen conceptos de aprendizaje significativo y experiencial, en la que el estudiante es el creador de su propio conocimiento, al interactuar con el objeto de estudio en micromundos donde la interiorización de conceptos complejos es el resultado de la concordancia que se logra entre las estructuras mentales con que llega el estudiante y las que forma al actuar en las simulaciones lúdicas planteadas.
La metodología propuesta por GEIO ha sido validada a través de las retroalimentaciones que por más de quince años han dado estudiantes y profesores de ingeniería que han empleado las herramientas lúdicas en los salones de clase; no obstante, se hace necesario comprobar su efectividad, utilizando parámetros científicos reconocidos, de allí nace la investigación encaminada a evaluar la metodología propuesta por GEIO como una herramienta clara, pertinente, viable, coherente y eficaz para alcanzar un aprendizaje significativo.
Para ejecutar este proyecto, se identificó la fundamentación teórica de la metodología propuesta, luego, se elaboró un experimento lúdico de una temática considerada compleja para el nivel de estudiantes de pregrado de ingeniería. Así, se ejecutó la actividad diseñada y se puso la misma a evaluación a través del método de criterio de expertos. Se capturaron datos e información que se analizó para determinar si la metodología lúdica presentada por el grupo GEIO es la adecuada en la exposición y análisis de conceptos pertenecientes al área de ingeniería. En este orden, el presente artículo muestra los resultados obtenidos al ejecutar este proyecto de investigación.
En el siguiente apartado se presenta la sustentación teórica de la metodología lúdica propuesta.
1. Marco teórico
Johan Huizinga (1950) en su obra Homo Ludens expresa que “La cultura se desarrolla en las formas y con el ánimo de un juego”, por ello el progreso cultural tiene un componente lúdico y el juego evoluciona en concierto con los demás elementos culturales, gracias a este enfoque se obtiene una visión más amplia del surgimiento de lo lúdico en la vida humana, desde la prehistoria hasta hoy en día.
La danza es la expresión lúdica más antigua que se conoce, apareció cuando el hombre comenzó a prestar atención a los sonidos repetidos de la naturaleza y le agregó valor simbólico, esta es una forma activa de juego y pasión que se gesta en una combinación de imágenes y termina en una creación que tiene su fin en sí misma (Ramón & Guerrero, 2004). En el transcurso del tiempo, la danza ritual se tornó más compleja, haciendo que fuera imprescindible la aparición de especialistas (el hechicero) que interpretaban los distintos movimientos heredados del pasado a través de un oscuro ritual danzado. El esfuerzo colectivo de la humanidad primitiva para lograr sus fines guerreros o de protección ante lo desconocido, tuvo en la danza un auxiliar eficaz. Las ceremonias propiciatorias que se realizaban antes de la caza, solían acompañarse de danzas, en las que el hechicero ejecutaba su función disfrazado con la piel del animal que se intentaba cazar (Hernández, 2004).
El hombre del Paleolítico empieza a crear, a través del juego, una serie de manifestaciones culturales cada vez más complejas. De este modo, el juego se convierte en una faceta muy importante no sólo por lo que conlleva de beneficio psíquico y físico para el ser humano sino también por los cambios que, poco a poco, va generando en la sociedad. Casi todas las manifestaciones lúdicas de este periodo histórico eran parte integral de algún ritual religioso. Por su lado, la actividad física se relacionaba más con cuestiones de supervivencia, dada la necesidad de mantenerse en forma para cazar, o para huir de las fieras. Se podría decir que el hombre primitivo jugaba por un sentimiento mágico-religioso, pero que realizaba actividad física por necesidad (Monroy & Sáez, 2007).
En el periodo Neolítico, aproximadamente 4.000 años A.C, surgen actividades lúdicas más desarrolladas, por ejemplo, en Babilonia aparece un juego parecido al actual boxeo, poco después, en Egipto, se comenzaron a practicar actividades de nueve bolos y la civilización cretense desarrolló pasatiempos (Winkler & Schweikhardt, 2005).
En el año 1.000 A.C, comenzaron a destacarse los juegos de pelota con un alto grado de especialización de los Mayas, Aztecas, Etruscos e Indios (con reglas y terrenos de juego diferentes en cada caso) y algunos juegos de raqueta posteriores en América del Norte (Sáez & Monroy, 2010). Durante este periodo, las actividades lúdicas eran una preparación importante para la guerra, era una parodia de esta, de su brutalidad, intensidad y dolor (Hernández, 2004).
Desde la perspectiva de la filosofía griega, surgieron expresiones que otorgaban al juego valor como elemento de adiestramiento de la personalidad. Para Platón, la sociedad ateniense debía atenuar su corrupción con una educación en valores centrada en el juego, porque este era percibido como un elemento disciplinado, enfocado a la formación en valores de interés para el orden de la sociedad. Así mismo, Platón inaugura la teorización de la relación entre juego y formación, luego recuperada por la didáctica en sus más variadas formas. En esta línea, donde el juego es entendido como elemento de entrenamiento intelectual de diversas características, se enmarcan los aportes que se referencian en el ámbito de las ciencias de la educación (Enriz, 2011). En Grecia, el juego tenía una serie de funciones que buscaban contribuir al desarrollo físico, ayudar en sí mismo a la educación estética y moral de los ciudadanos, desarrollar el espíritu creador y fomentar el espíritu competitivo (González, 2012).
Pensadores clásicos como Aristóteles ya daban una gran relevancia al aprendizaje por medio de la lúdica, y animaban a los padres para que dieran a sus hijos juguetes que ayudaran a formar sus mentes para actividades futuras como adultos (Editorial, 2009).
En Roma el juego era un mecanismo para liberar la mente, al ser entendido como una recompensa o medio de descanso psicológico tras el cansancio generado por las labores diarias, fue así como surgió el impresionante desarrollo de los circos, no igualado por ninguna otra cultura a lo largo de la historia (Hernández, 2004). De este modo, en una cultura que en principio estaba más orientada al trabajo que al ocio, el elemento lúdico adquirió su máximo esplendor, tanto en el simple juego como en el deporte más profesionalizado. Las actividades recreativas caracterizaron la vida cotidiana de los ciudadanos, llegándose a desarrollar durante la mitad de los días del año en ciertas épocas del Imperio (Peña, 2015).
En la Edad Media, el juego tenía escasa reglamentación y una estructura sencilla que utilizaba pocos objetivos; la mayor parte tenían lugar al aire libre, rudimentarios, lentos y sin pasión por el resultado. La educación era impartida por hombres de avanzada edad que consideraban que el contenido básico de la enseñanza era la lectura y la escritura, es decir, los recursos instrumentales para acceder a otros conocimientos (Menchén, 1999). Durante el Renacimiento, los juegos populares y tradicionales adquirieron fuerza y justificaron las posiciones sociales de las personas que los practicaban o contemplaban (Hernández, 2004); igualmente, se pasa de un modelo clásico donde “la letra con sangre entra”, a un método más práctico que buscaba enseñar a través del juego. (Menchén, 1999).
En los siglos XVII y XVIII surge el pensamiento pedagógico moderno, que concibe el juego educativo como un elemento que facilita el aprendizaje, se impone con fuerza el instrumento formativo; es así como comienza la búsqueda de un sistema educativo útil y agradable, en un contexto donde la educación era impartida por la iglesia (Morfi & Minetti, 2012). Así mismo, se buscan modelos de enseñanza que revisen los contenidos transmisibles y el cómo transmitirlos (Menchén, 1999).
Las primeras teorías psicológicas sobre el juego surgen en el siglo XIX, una de ellas fue expuesta por Édouard Claperède, psicólogo y pedagogo suizo, al afirmar que la escuela era indispensable para el niño, pues constituía un medio alegre en el cual se trabajaba con entusiasmo, además, postuló que el juego era un ejercicio preparatorio para la vida y tenía como objeto el libre desarrollo de los instintos heredados, resultando como un agente natural educativo (Paredes, 2002). En esta época surgen pensadores como Manuel Bartolomé Cossío que proponen métodos donde el niño aprende jugando para dejar a un lado la memoria como único instrumento de la enseñanza (Menchén, 1999).
Jean Piaget, científico suizo de principio del siglo XX, expuso una teoría enfocada en la epistemología genética del conocimiento (Rosas & Sebastián, 2008). Desde este postulado, Piaget afirmó que las estructuras de conocimientos, es decir, la arquitectura sobre la que se forman los sistemas mentales sufren procesos de adaptación constantes; pues al encontrarse en interacción con el ambiente, las operaciones cognitivas deben transmutar para responder al contexto, sin perder la esencia de la estructura, por lo cual, los niveles superiores de ilustración se cimientan en combinaciones cognitivas anteriores y sus unidades de trabajo son índices previos (Lourenço, 2014).
Para Piaget, la adaptación es consecuencia de dos procesos: asimilación y acomodación. El primero permite al individuo afrontar una nueva situación usando el conocimiento de sus experiencias pasadas; sin embargo, si la persona enfrenta ambientes previamente no codificados se plantea un conflicto cognitivo que es la puerta para la acomodación, por la cual las estructuras mentales se modifican progresivamente para incorporar los resultados del nuevo escenario (Aguilar & Pérez y Pérez, 2015). A partir de este procedimiento, Piaget planteó un modelo de individuo que es guiado por el imperativo categórico y participa del proceso educativo porque busca un pensamiento científico y juicio moral a partir de principio dialécticos del aprendizaje.
La teoría constructivista piagetiana es uno de los cimientos del concepto de metodología lúdica, porque en esta última se comprende la dimensión del desarrollo de los individuos (Mejía, 2011); además, los juegos serios no limitan que el hombre idee nuevas perspectivas y lidere el desarrollo de las mismas para formar soluciones viables que se puedan trasladar a un contexto real (Díaz, 2006).
Otra propuesta teórica que surge en la línea del cognitivismo es la de Liev S. Vigotsky, filósofo y psicólogo ruso que generó su mayor aporte entre 1920 y 1940. Se puede considerar que uno de los rasgos que suscito divergencia entre Piaget y Vigotsky, fue el marco social que vivió el segundo e influyó en su deseo de construir una nueva psicología, cuya novedad radicara en una aplicación sistemática del método marxista a la definición e investigación de los fenómenos y procesos psicológicos (Rosas & Sebastián, 2008). En consecuencia, Vigotsky presenta una teoría en la que el conocimiento se desarrolla en la medida como el individuo participa de varias formas de la interacción social, usando herramientas y signos que son, también, sociales en su propia naturaleza (Lourenço, 2012).
Su propuesta parte de la clasificación de los procesos psicológicos en elementales y superiores (o instrumentales); los primeros son controlados automáticamente por el entorno, mientras los segundos son regulados por el individuo, es decir, por la creación y utilización de estímulos artificiales que se transforman en los impulsores de la conducta (Fani & Ghaemi, 2011). Así mismo, describe que los procesos instrumentales son resultado de la participación de los seres humanos en contextos de relaciones directas, pues todas las funciones elevadas se originan de la interacción social (Lourenço, 2012).
Al estar el individuo atado a sus funciones psicológicas, subsecuentemente es afectado por su contexto social; de esta forma, Vigotsky expone que el desarrollo cognitivo depende de la zona de desarrollo próximo, a diferencia de sus antecesores que evaluaban el progreso al determinar el límite superior de desarrollo del alumno y preocuparse por encontrar pruebas del aprendizaje ya alcanzado (Jones, 2009). En este orden, el autor define la zona de desarrollo próximo (ZDP) como un nuevo concepto de enseñanza y aprendizaje que describe la distancia entre el nivel actual de desarrollo y el nivel de desarrollo potencial; el primero es definido por la independencia que se tenga para resolver problemas, mientras el segundo, plantea la resolución de problemas bajo la guía y/o colaboración de un par capacitado (Fani & Ghaemi, 2011).
Por lo anterior, el número de habilidades que pueden ser desarrolladas con ayuda de un facilitador es mayor a las alcanzadas por el esfuerzo individual del estudiante (Niaz, 2015). Una de las herramientas que conforman la teoría del constructivismo social es la lúdica, por medio de esta, se fomenta el desarrollo psico-social, la conformación de la personalidad, se evidencian valores y se adquieren saberes, porque permite al estudiante recrear sistemas reales donde primero, de manera individual, replantea estructuras cognitivas para luego, interactuar con pares de igual o mayor capacitación, con los cuales generar soluciones para llevarse a otros ámbitos.
De las posiciones teóricas presentadas surge una tercera, liderada por David Ausubel y Joseph Novak cuyo postulado propone que el conocimiento existe por las personas y comunidad que lo definen, por lo tanto, está en constante transformación al ser apropiado por cada generación en respuesta a la necesidad de soluciones a nuevos problemas (Guzmán, 2014).
Por un lado, Ausubel establece que el desarrollo cognitivo se da por un proceso en el que la nueva información se relaciona de forma no estética con estructuras de conocimientos previas, es decir, el aprendizaje surge de la interacción de antiguos y nuevos conocimientos (Antonio Moreira, 2012), sumado a esto, se vuelve significativo cuando el alumno, constructor de su conocimiento, les da un sentido propio a las estructuras conceptuales que posee (Fátima, Maria, Duarte, & Castro, 2015).
Para Ausubel, existen dos condiciones que propician el aprendizaje significativo: intencionalidad por parte del alumno, pues él aprende con significado lo que desea y herramientas de estudio potencialmente significativas, es decir, se deben reconocer las estructuras cognitivas del alumno para emplear los instrumentos propicios a estas (Moreira, 2012). A esta perspectiva constructivista, Novak la consideraba carente del objeto humano, pues pensaba que una teoría de la educación debía exponer cómo los seres humanos pueden mejorar la forma en que actúan, de acuerdo con lo que piensan y sienten (Guzmán, 2014). Por esto, expone que un evento educativo debe involucrar al aprendiz, profesor, conocimiento, contexto y evaluación para relacionar la experiencia afectiva con el desarrollo constructivista; así, crear un puente entre el conocimiento, actitudes y sentimientos que permitan el aprendizaje significativo (Moreira, 2012).
Desde la visión clásica y humanista del aprendizaje significativo, Mejía (2011) presenta a la lúdica como “un proceso debidamente orientado, que permite al participante activar los sentidos para adquirir nuevos modelos mentales… representar sistemas reales donde se pueden asociar fácilmente los conceptos teóricos a situaciones prácticas, facilitando la creación de aprendizaje significativo”.
De esta forma, la lúdica permite a los participantes: generar y replantear estructuras cognitivas a través de la interacción con otros, en un entorno que representa las condiciones de un sistema real de interés, por lo cual, facilita la aprehensión de conocimiento para cada uno de los asistentes. Sin embargo, esta definición no toma en cuenta el lado práctico– experiencial que ofrece el juego serio.
Por lo anterior, se completa la sustentación teórica de la metodología lúdica con los postulados de David Kolb y Roger Fry sobre el Aprendizaje Experiencial. Sus estudios se centraron en la exploración de procesos asociados a dar sentido a las experiencias concretas, de esta forma, plantean que la producción de conocimiento se da a través de la transformación de las experiencias por parte del estudiante (Bohórquez & Pinzón, 2014).
Respecto al campo de la educación y la experiencia se puede mencionar que los eventos educativos parten de la incertidumbre, la interpretación del pasado y la construcción del presente para formar un futuro diverso socialmente; así mismo, las metodologías a emplear deben permitir al participante estar en contacto con los conocimientos. Todo lo anterior, por medio de escenarios cultural y socialmente ricos que permitan el goce del aprendizaje (Galeano Upegui, 2006).
De tal forma, el evento educativo solo es completo con el compromiso del estudiante, en oposición a una actitud pasiva comúnmente asociada a la dirección del maestro, no obstante, la posición del alumno solo se consigue por un trabajo previo del docente que se interesa por conocer las estructuras cognitivas del aprendiz, con el fin de emplear las herramientas educativas adecuadas (Konak, Clark, & Nasereddin, 2014). La teoría del aprendizaje experiencial se resume en el ciclo de aprendizaje de Kolb (Kolb, 1984) por el cual se describen los cuatro estados del aprendiz en un evento educativo; primero el estudiante debe estar abierto a nuevas experiencias, luego, reflexionar estas situaciones bajo otros enfoques con el fin de crear nuevos conceptos y teorías lógicas que puedan ser empleados en diversos problemas (Bohórquez & Pinzón, 2014).
En la búsqueda de un aprendizaje integral se retoman postulados del pensamiento sistémico, enfoque más amplio que toma en cuenta factores no originarios de la unidad en sí (Hoffenson & Söderberg, 2015); esta ha sido considerada una disciplina que busca analizar, sintetizar y entender las interconexiones, interacciones e interdependencias de una serie de componentes diseñados para un objetivo común (Senge, Kleiner, Roberts, Ross, & Smith, 2004). El pensamiento sistémico es construido según la idea de que un sistema, como lo es un evento educativo, está formado por más que la suma de sus componentes, por ende, debe ser analizado holísticamente (Behl & Ferreira, 2014).
Posteriormente, a inicios de los años noventa, el científico Peter M. Senge elaboró sus estudios con base en los “micromundos” (Senge et al., 2004). Para el autor, desde el ámbito educativo se emplea un enfoque de micromundos pues plantea modelos dinámicos de simulación con una amigable interfaz de juego para el usuario y/o participante (Stouten, Heene, Gellynck, & Polet, 2012), es decir, se fomenta la creación de entornos con variables controlables donde el estudiante puede experimentar las diferentes interrelaciones de los elementos del sistema. Senge et al., (2004) señalan: “Los seres humanos aprenden mejor mediante experienestucias directas. Aprendemos a caminar, a andar en bicicleta, a conducir un automóvil y a tocar el piano por ensayo y error: actuamos, observamos las consecuencias de nuestra acción y nos adaptamos. Pero sólo “aprendemos haciendo” cuando la retroalimentación de nuestros actos es rápida e inequívoca”.
Por lo expuesto en el presente aparte, se sustenta teóricamente que la metodología lúdica es la herramienta adecuada para trasmitir conocimientos, porque ubica al estudiante en el centro de la discusión, en este orden, plantea que la persona trae enseñanza de experiencias previas sumado a un paquete cultural y disposición natural; por lo anterior, el individuo es agente principal en la búsqueda de conocimiento y el maestro solo apoya este proceso.
Para complementar esta sustentación teórica se observa que diversas investigaciones han sido encaminadas a estudiar el empleo de herramientas pedagógicas, creadas a partir de la metodología lúdica, como instrumentos eficaces para desarrollar exitosos procesos de enseñanza – aprendizaje. Existen casos documentados sobre el uso de instrumentos lúdicos, en relación con la educación universitaria para el área de ingeniería.
Entre estos instrumentos educativos se encuentra el juego de cartas Problems and Programmers diseñado por profesores de la Universidad de California, para ilustrar el proceso de ingeniería de software a estudiantes de pregrado de Ingeniería de Sistemas; de esta forma, plantearon la elaboración de un juego práctico, divertido y adecuado para reconocer los conceptos de interés; como método de validación aplicaron la actividad a 28 estudiantes de segundo semestre escogidos aleatoriamente, después, hicieron que estos completaran un cuestionario para indagar sobre sus pensamientos y sentimientos durante el desarrollo de la actividad y sus opiniones sobre la efectividad pedagógica del juego, a partir de este experimento, concluyeron que el juego de cartas cumplía las metas esperadas (Baker, Navarro, & Van Der Hoek, 2005). Igualmente, entre las herramientas lúdicas se hallan la adaptación de cuentos infantiles para la enseñanza de conceptos relacionados con el pensamiento sistémico (Booth Sweeney, 2001), la ilustración de técnicas sistémicas para analizar el efecto del cambio climático (Booth Sweeney, Meadows, & Mehers, 2011) y la instrucción de temáticas económicas como la inflación y el comportamientos de las tasas de interés (Foltz, Reed, & Day, 2002).
Del mismo modo, existen talleres educativos lúdicos que buscan explorar temáticas específicas; como caso particular se tiene The Balance Scorecard Aproche, herramienta creada para fomentar el pensamiento crítico en estudiantes de ingeniería a través del estudio de cuadros de mando integral, como método de validación los investigadores emplearon la entrevista de algunos participantes de la actividad y concluyeron que el taller aportaba a formar nuevos modelos de comportamiento (Boscia & McAfee, 2008). También hay talleres lúdicos encaminados a generar habilidades administrativas y financieras como Business Games, actividad diseñada para estudiantes de ingeniería mecánica, la eficacia de este taller fue evaluada con una serie de exámenes y previas que buscaban revisar la taxonomía del conocimiento adquirido por los participantes; la investigación arrojó que la actividad lúdica facilitaba cambios comportamentales y clarificaba conceptos financieros (Ben-Zvi & Carton, 2008).
Estos talleres educativos, realizados bajo la metodología lúdica, son herramientas flexibles, de allí que puedan ser empleados para la enseñanza de diferentes temáticas, por ejemplo, el taller Lúdico para la construcción de motos eléctricas, elaborado por profesores de la Universidad de Córdoba, es empleado para explicar las características del método de producción tradicional y el método de producción TOC; este instrumento lúdico fue validado al comparar los resultados de evaluaciones de los conocimientos previos y posteriores que tenían los estudiantes de primer semestre del pregrado de ingeniería industrial, que fueron parte del grupo de control. Los resultados evidenciaron un incremento del rendimiento académico y que el escenario lúdico brindaba versatilidad al proceso educativo (Marín-González, Montes-de la-Barrera, Hernández-Riaño, & López-Pereira, 2010).
Igualmente se observa que en estos talleres educativos pueden confluir elementos tecnológicos que enriquecen el proceso de formación. Algunos de estos son:
GEIO, grupo de investigación perteneciente a la Facultad de Ingeniería Industrial de la Universidad Tecnológica de Pereira, ha tomado como sustento teórico las corrientes educativas desarrolladas a partir del siglo XX por Piaget, Vigotsky, Ausubel, Kolb y Senge, para crear su propia metodología de enseñanza en la educación universitaria, basada en el aprendizaje significativo por medio del desarrollo de micromundos en el salón de clases, entendiendo las actividades lúdicas como espacios donde se fomenta la interacción simulada con el mundo real, es decir, se ve al juego como algo serio, donde subyacen decisiones, políticas y estrategias que permiten la comprensión holística del sistema representado; además ve a la lúdica como una forma simplificada de representar un entorno real, donde los participantes pueden experimentar diferentes posturas sin temer grandes consecuencias, lo cual da paso a la reflexión y constitución de disposiciones partiendo de experiencias previas.
Sumado a esto, la metodología de GEIO también se apoya en los postulados de Russel & Weaver (2011) en los cuales se afirma que el estudiante no mejora el aprendizaje del proceso con laboratorios tradicionales donde se siguen órdenes de manuales y se verifican resultados experimentales, sino a través de espacios que enfaticen en las actividades experienciales. En este marco las lúdicas son una adecuada herramienta pues permiten el aprendizaje significativo por medio de actividades prácticas.
A continuación se presenta la metodología de trabajo del grupo de investigación GEIO y una de las aplicaciones prácticas diseñadas por este, para la enseñanza de programación dinámica determinista, enfocada al balanceo de línea con una lúdica que representa un proceso productivo textil.
2. Metodología
En esta sección se hace una breve descripción de la metodología planteada desde GEIO, igualmente, se expone una de las lúdicas diseñadas por el grupo de investigación para explicar el concepto de programación dinámica determinista en el problema de balanceo de línea simple en un grupo de estudiantes de la Facultad de Ingeniería Industrial de la Universidad Tecnológica de Pereira, así mismo, se describe el empleo de la técnica de validación a través del criterio de expertos para evaluar la herramienta lúdica del grupo GEIO como instrumento apropiado para la exploración de conceptos de ingeniería.
Actualmente, el grupo GEIO busca suplir la necesidad de implementar nuevas formas de enseñanza en aulas de clase de varias universidades del país, basándose en la metodología lúdica que permite al estudiante vivir el conocimiento por medio de la simulación de ambientes reales y lograr que este involucre capacidades como raciocinio, percepción, emoción, memoria, imaginación y voluntad, construyendo así su propio conocimiento.
Para lograr aprehensión de conocimiento mediante la metodología lúdica basada en la experiencia, GEIO propone una serie de etapas que deben realizarse con base en el Ciclo del Aprendizaje Experiencial propuesto por Kolb, así mismo, emplea la Rueda de Aprendizaje de Peter Senge; de este modo, argumenta la importancia del aprendizaje significativo desarrollado según las premisas de Piaget y Vigotsky. (Ver Figura 1).
En este orden, GEIO expone que sus metodologías lúdicas se llevan a cabo en varias etapas. Durante la primera, se realiza la actividad práctica, generadora de experiencias, de acuerdo con los objetivos del proceso de enseñanza – aprendizaje. Seguidamente, se ejecuta la retroalimentación donde se discuten y resumen las principales experiencias y puntos de vista de los participantes, finalmente se reflexiona en grupo sobre lo sucedido. Se recomienda guiar el proceso de retroalimentación con los siete pasos propuestos por Booth Sweeney, Meadows, & Mehers (2011) que se muestran en la Tabla 1 (ver página 243).

Un tercer escenario es la planeación de la experimentación donde el individuo, acompañado de sus pares, expone modificaciones a la lúdica para mejorar el desempeño y lograr objetivos comunes de beneficios; en este período se hace el puente entre el conocimiento y las experiencias pasadas. Por último, se elige cuál de las reformas analizadas previamente se puede implementar a la lúdica, para hacer nuevamente la actividad con los cambios oportunos.
El ciclo planteado por GEIO está mediado por dos ejes fundamentales: El placer que genera el juego y la interacción con otros, pues al crear ambientes de aprendizaje agradables que incluyan la necesidad de relacionarse con alguien, se estimulan ejercicios de competencias del ser, el hacer y el saber, enriqueciendo la construcción de conceptos.
GEIO imparte esta metodología desde el salón de clase y los materiales que se utilizan para llevar a cabo las lúdicas son simples, lo que demuestra que no es necesario contar con gran tecnología ni recursos para formar un laboratorio de aprendizaje a nivel universitario.
Fábrica de camisas es una lúdica creada por integrantes del grupo GEIO (Ramírez, 2007). Se plantea una fábrica textilera cuyo único producto es Camisa Manga Larga con Bolsillo.
Se requiere como mínimo catorce (14) personas para la ejecución de la lúdica. Inicialmente diez (10) de ellos toman funciones de operarios en cada una de las estaciones de trabajo, dos (2) entregan el producto en proceso a los respectivos puestos, uno (1) es supervisor de producción, es decir, diligencia el tablero de producción y otro será el gerente de planta. El producto para ser terminado debe pasar por diez tareas, las primeras cinco referentes a actividades de corte, otras cuatro de costura y una última donde se coloca un sticker sobre el bolsillo y se dibujan los botones, simulando la sección de acabados. El producto terminado se muestra en la Figuran 2.

La distribución de planta propuesta para la actividad se muestra en la Figura 3. La precedencia de las tareas se expone en la Figura 4 (pág. 244)


Durante la práctica, se explica a cada participante su función y se plantea el objetivo de la actividad, el cual consiste en fabricar una camisa en 18,61 segundos y con una eficiencia del 76%, siendo estos datos históricos tomados por el grupo GEIO.
En un inicio se corre la lúdica sin ninguna modificación, posteriormente se pregunta a los participantes si desean hacer cambios referentes a la distribución en las estaciones de trabajo, conociendo el tiempo de cada operación (Ver Tabla, pág. 244). Después, se realizan los cambios sugeridos manteniendo siempre el tiempo de ciclo de 18,61 segundos y buscando la eficiencia mencionada.

Operaciones con tiempo de fabricación
Los autoresFinalmente se expone el empleo de la Programación Dinámica Determinista1 en los Problemas de Balance Simple en Línea de Ensamble2, se señala el modelo para Fábrica de Camisas, la metodología de solución por el algoritmo COMSOAL3 a mano y el empleo del Software QM for Windows4.
El grupo sobre el cual se desarrolló el ejercicio estaba conformado por quince (15) estudiantes de quinto a décimo semestre de Ingeniería Industrial, pertenecientes a la Universidad Tecnológica de Pereira.
Para comprobar que la herramienta lúdica empleada es la adecuada para la exposición y análisis de la programación dinámica determinista en el problema simple de balanceo de línea de ensamble, se utilizó la validación a través del criterio de expertos, que son aquellas técnicas establecidas para informar decisiones, previsiones o predicciones basadas en un tratamiento formal de las sentencias de expertos, es decir, personas con amplios conocimientos sobre el tema de interés, entorno de estudio y metodología a evaluar (Flandoli, Giorgi, Aspinall, & Neri, 2011).
La validación a través del criterio de expertos representa el resumen de las opiniones de peritos sobre un tema donde existe incertidumbre debido a los datos insuficientes, ya sea por restricciones físicas, escasez de recursos u otro tipo de impedimento (Peng, Zan, & Yi, 2011). Los modelos clásicos, pertenecientes a esta técnica, exponen un paso empírico: basado en las respuestas dadas por los expertos en un test con conocidas respuestas, diferentes pesos son computados y atribuidos individualmente a cada evaluador, entonces, estos pesos son usados para normalizar las opiniones de los expertos sobre cuestiones de interés específico que no pueden ser determinadas por datos o medición directa (Eggstaff, Mazzuchi, & Sarkani, 2014).
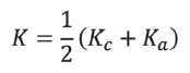
En la presente investigación se empleó la metodología clásica propuesta por el Comité Estatal para la Ciencia y la Técnica; sin embargo, se siguieron postulados de Campistrous & Rizo (2006), en donde la competencia de los expertos se determina a través del coeficiente K, que representa el promedio ponderado de la medida de nivel de conocimientos sobre el tema investigado (Kc) y las fuentes de argumentación del perito (Ka) (Cruz & Martínez, 2012).
Respecto al número de expertos necesarios, se siguieron las recomendaciones de estudios realizados por Rand Corporation, donde se señalan adecuados un mínimo de siete (7) peritos teniendo en cuenta que el error disminuye notablemente por cada experto añadido (Suarez, 2012).
Los especialistas consultados para esta investigación poseían ciertas características, previamente establecidas, respecto a conocimientos sobre temas de programación dinámica y la metodología lúdica. Igualmente tenían en promedio diez años de experiencia profesional en el área de investigación de operaciones y administración del desarrollo humano, además de seis años en docencia y/o investigación en los temas de interés.
A partir de la encuesta, aplicada al grupo de expertos, se encontró en el coeficiente de auto -evaluación (Kc) que el 85,71% de los encuestados señalaron en la escala creciente de uno a diez, las casillas ocho, nueve y diez; los restantes marcaron las opciones cinco, seis y siete. Por lo anterior, se mostró que seis de los siete expertos tenían autoevaluación alta, mientras que uno de ellos presentaba una clasificación media en relación con su conocimiento sobre la temática de estudio.
Para conocer el coeficiente de argumentación (Ka) sobre el cual se sustenta el grado de conocimiento previamente señalado, los especialistas respondieron un cuestionario referente al nivel de influencia que tenía el análisis teórico realizado individualmente, las experiencias obtenidas, conocimiento de estudios de investigación liderados por autores nacionales e internacionales y el dominio del estado del problema en diversos contextos. De las respuestas obtenidas, se infirió que el 57,14% de los encuestados presentaban una argumentación alta, mientras que el restante tenía un nivel medio.
En este orden, se calculó el coeficiente de competencia (K) de cada experto a partir de la expresión 1, que representa un promedio entre el valor de autoevaluación (Kc) y el coeficiente de argumentación (Ka).

Los valores calculados se evaluaron en relación con la tabla patrón, presentada por Campistrous & Rizo (2006); de este modo, se consideró que el grado de competencia del 57,14% de los especialistas es alto y del restante es medio. En la Tabla 3 puede verse un resumen de los datos analizados.

Por lo anterior, se seleccionaron los siete expertos para que efectuar la evaluación de la aplicación lúdica como herramienta metodológica en la enseñanza de la programación dinámica determinista, en el problema de balanceo de línea simple.
Después de seleccionar a los peritos se les aplicó una encuesta que evaluaba la propuesta lúdica bajo los indicadores de claridad descriptiva, correspondencia objetiva, pertinencia, viabilidad y coherencia. En la Tabla 4 puede verse una breve descripción de cada indicador evaluado.

Además, dichos indicadores podían ser clasificados bajo cinco categorías, a saber: muy adecuado, bastante adecuado, adecuado, poco adecuado, no adecuado.
3. Resultados
Una vez desarrollada la actividad con el grupo de participantes y evaluadores seleccionados, se compiló la información de la encuesta anteriormente nombrada y se obtuvieron los resultados mostrados en la Tabla 5, pág. 246.

Esta información fue procesada para determinar los intervalos estadísticos de cada categoría, a partir del cálculo de la inversa de la curva normal basada en los datos suministrados por los peritos a través de la evaluación de la actividad.
Una vez obtenidos los valores de la curva normal para los datos, se hallaron las sumatorias de las filas pertenecientes al número de indicadores estudiados, al igual que la sumatoria de las columnas referentes a las categorías planteadas. El promedio de la sumatoria de las columnas permitió obtener los puntos de corte para cada categoría creada. (Ver Tabla 6).

Con los datos previamente encontrados, se determinó un valor N (ver expresión 2).

El promedio de la sumatoria de las filas, restado con el valor N posibilita obtener los datos que asignan cada indicador a un determinado intervalo acotado por alguno de los puntos de corte hallados.
La anterior información permite interpretar que los expertos dieron a los cinco indicadores una evaluación de “Muy adecuado”, al estar los valores de cada “N – Promedio” por debajo de 0,77515 que es el límite superior para la categoría mencionada.
Igualmente, los especialistas expresaron que la metodología lúdica fue adecuada para el proceso de aprendizaje y que la actividad brinda herramientas experienciales para comprender el tema.
Por otro lado, los participantes comentaron que la lúdica permitió comprender con mayor facilidad una temática matemática que hubiera sido compleja de entender bajo el formato de una clase magistral clásica. Del mismo modo, expusieron que al poder comprobar sus propias ideas de mejora frente a la problemática, identificaban la importancia de conocer algoritmos y modelos con los cuales interpretar una realidad de manera eficiente.
A partir del análisis de los datos arrojados al evaluar el experimento lúdico expuesto mediante el criterio de expertos, se puede afirmar que la metodología propuesta por GEIO es una herramienta clara, pertinente, viable, coherente y eficaz para alcanzar el aprendizaje significativo en contexto de educación de ingeniería, pues se tomó como caso de estudio el proceso de enseñanza – aprendizaje referente a la exposición y análisis de la programación dinámica determinista en el problema simple de balanceo de línea de ensamble.
4. Conclusiones
El enfoque que presenta este artículo permite identificar que la metodología lúdica propuesta por el grupo de investigación GEIO está fundamentada en teorías educativas constructivistas desde una dirección individual, social y humanista, así mismo, retoma postulados que conllevan un aprendizaje experiencial a partir de una perspectiva sistémica.
Igualmente, mediante la evaluación de una lúdica, que representa un proceso productivo textil por criterio de expertos, se comprobó que la metodología propuesta por GEIO es clara, pertinente, viable, coherente y constituye una herramienta para representar sistemas reales que permiten al sujeto que aprende, exteriorizar, participar, cooperar, actuar, expresar, verbalizar, separarse, transformar, potenciar, reformar su actuación en contexto, de forma individual o grupal, pero siempre, reflexionando sobre su vivencia; de esta forma, apoya los procesos de enseñanza al promover el aprendizaje significativo. En el caso de estudio, se evidenció que la metodología del grupo GEIO brinda instrumentos que facilitan la comprensión de conceptos de ingeniería como la programación dinámica determinista para el problema de balanceo de línea simple.
No obstante, la investigación expuesta presenta como limitantes que solo se empleó una técnica de evaluación para conocer la efectividad de la metodología lúdica propuesta en los procesos de enseñanza – aprendizaje; por esto se recomienda que las futuras indagaciones se enfoquen en la validación de la propuesta pedagógica de GEIO a través de diferentes técnicas como las que presentan Calderón & Ruiz (2015); lo anterior permitiría que otros tipos de diseños de investigación sean explorados, lo que robustecería los procesos de indagación de esta rama del saber.
Así mismo, el presente artículo muestra los resultados alcanzados al examinar cinco características específicas, sin embargo, el proceso de validación de la metodología propuesta puede verse enriquecido si se inspeccionan otros parámetros como diseño de la actividad, satisfacción del usuario, practicidad, motivación y actuación del estudiante, resultados de aprendizaje, impacto social, entre otros que son tratados por otras investigaciones del ámbito nacional e internacional expuestas en el apartado del marco teórico. Por último, el grupo GEIO buscará en futuros proyectos desarrollar herramientas lúdicas donde las nuevas tecnologías de la información sean empleadas para afianzar los procesos de enseñanza – aprendizaje del área de ingeniería universitaria.
Referencias bibliográficas
1. AGUILAR, Wendy, & PÉREZ Y PÉREZ, Rafael. Dev E-R: A computational model of early cognitive development as a creative process. En: Cognitive Systems Research. Marzo, 2015. vol 33, p.17–41. doi:10.1016/j.cogsys.2014.09.002
2. ANTONIO MOREIRA, Marco Antonio. La Teoría del Aprendizaje Significativo Crítico: un referente para organizar la enseñanza contemporánea. En: Revista Iberoamericana de Educación Matemática. Septiembre, 2012. vol 31, p. 9–20.
3. BAKER, Alex, NAVARRO, Emily Oh, & VAN DER HOEK, André. An experimental card game for teaching software engineering processes. En: Journal of Systems and Software. Marzo, 2005. vol 75, no.1-2, p. 3–16. doi:10.1016/j.jss.2004.02.033
4. BAUTISTA, Joaquín, & PEREIRA, Jordi. A dynamic programming based heuristic for the assembly line balancing problem. En: European Journal of Operational Research. Mayo, 2009. vol 194, no. 3, p. 787–794. doi:10.1016/j.ejor.2008.01.016
5. BECKER, Christian, & SCHOLL, Armin.. A survey on problems and methods in generalized assembly line balancing. En: European Journal of Operational Research.Fenrero, 2006. vol 168, no. 3, p. 694–715. doi:10.1016/j.ejor.2004.07.023
6. BEHL, Divya Vohra, & FERREIRA, Susan. Systems Thinking: An Analysis of Key Factors and Relationships. En: Procedia Computer Science. Noviembre, 2014. vol 36, p. 104–109. doi:10.1016/j.procs.2014.09.045
7. BEN-ZVI, Tal, & CARTON, Thomas. C. Applying Bloom’s Revised Taxonomy in Business Games. En:Developments in Business Simulation and Experiential Learning.Enero, 2008. vol 35, p. 265-272.
8. BERTSEKAS, Dimitri P. Dynamic Programming and Optimal Control. 3rd ed. Nashua: Athena Scientific, 2005. 20 p. vol. 1. ISBN 1-886529-26-4.
9. BOHÓRQUEZ, Natalia, & PINZÓN, Sebastían. Equipo de investigación GEIO como prestador de servicios de capacitación en las necesidades de los empresarios del área metropolitana centro occidente– AMCO. Trabajo de joven investigador e innovador 2014. Pereira: Universidad Tecnológica de Pereira. Facultad de Ingeniería Industrial, 2014. 1–71 p .
10. BOOTH SWEENEY, Linda. When a butterfly sneezes. 4 ed. Estados Unidos de América: PEGASUS, 2001. 1-161 p. vol 1. ISBN 978-1883823528.
11. BOOTH SWEENEY, Linda, MEADOWS, Dennis, & MEHERS, Gillian. The Systems Thinking Playbook for Climate Change, a toolkit for interactive learning. 1er ed. Eschborn:Deutshe Gesellschaft fÜr Internationale Zusammenarbeit (GIZ) GmbH, 2010.1-152 p.vol 1. ISBN 978-1-60358-258-2.
12. BOSCIA, M. W., & MCAFEE, R. B. Using the Balance Scorecard Approach: A Group Exercise. En:Developments in Business Simulation and Experiential Learning. Enero, 2008. vol 35, p. 1-7.
13. CALDERÓN, Alejandro, & RUIZ, Mercedes. A systematic literatura review on serious games evaluation: An application to software Project management. En: Computers & Education. Septiembre, 2015. Vol 87, p. 396–422. doi:10.1016/j.compedu.2015.07.011
14. CAMPISTROUS, Pedro L., & RIZO, Cesar C. El criterio de expertos como método en la investigación educativa. Tesís de grado para el Doctorado Curricular. La Habana:Instituto Superior de Cultura Física Manuel Fajardo, 2006. 1-31 p.
15. COLLER, Brian D., & SCOTT, Michael J. Effectiveness of using a video game to teach a course in mechanical engineering.En: Computers & Education. Agosto, 2009. vol 53, no. 1, p. 900-912.
16. CRUZ, Miguel, & MARTÍNEZ, Mayelín Caridad. Perfeccionamiento de un instrumento para la selección de expertos en las investigaciones educativas. En: Revista Electrónica de Investigación Educativa. Julio, 2012. vol 14, no. 2, p. 167-179.
17. CRUZ-MARTÍN, Ana, FERNÁNDEZ-MADRIGAL, Juan Antonio, GALINDO, Cristian, GONZÁLEZ-JIMÉNEZ, Javier, STOCKMANS-DAOU, Corin, & BLANCO-CLARACO, Jose Luis (2012). A LEGO Mindstorms NXT approach for teaching at Data Acquisition, Control Systems Engineering and Real-Time Systems undergraduate courses. En: Computers and Education, vol 59, no. 3, p. 974–988. doi:10.1016/j.compedu.2012.03.026
18. DE COOMAN, Gert , & TROFFAES, Matthias C. M. Dynamic programming for deterministic discrete-time systems with uncertain gain. En: International Journal of Approximate Reasoning. Junio, 2005. vol 39, no. 2-3, p. 257–278. doi:10.1016/j.ijar.2004.10.004
19. DEPUY, Gregory W., & WHITEHOUSE, George E. Applying the COMSOAL computer heuristic to the constrained resource allocation problem. En: Computers and Industrial Engineering. Octubre, 2005. vol 38,no. 3, p. 413–422. doi:10.1016/S0360-8352(00)00053-X
20. DÍAZ, Héctor.La función lúdica del sujeto:Una interpretación teórica de a lúdica para transformar las prácticas pedagógicas. 1er ed. Bogotá: Cooperativa Editorial Magisterio, 2006. 30 p. vol 1. ISBN 9789582008789.
21. EDITORIAL. Historia y evolución del juego. En:Revista Vinculados. Junio, 2009. vol 20, no. 1, p. 32 – 36.
22. EGGSTAFF, Justine W., MAZZUCHI, Thomas A., & SARKANI, Shahram. (2014). The effect of the number of seed variables on the performance of Cooke´s classical model. En: Reliability Engineering and System Safety. Ebero, 2014. vol 121, p. 72–82. doi:10.1016/j.ress.2013.07.015
23. ENRIZ, Noelia. Antropología y juego: apuntes para la reflexión. En: Cuadernos de Antropología Social. Julio - Diciembre, 2011. vol 34, no. 1, p. 93 – 114.
24. FANI, Tayebeh, & GHAEMI, Farid. Implications of Vygotsky’s Zone of Proximal Development (ZPD) in Teacher Education: ZPTD and Self-scaffolding. En: Procedia - Social and Behavioral Sciences. Noviembre - Diciembre, 2011. vol 29, p. 1549–1554. doi:10.1016/j.sbspro. 2011.11.396
25. FÁTIMA, Lucia, MARIA, Nora, DUARTE, Diego. C., & CASTRO, Luis. Atraso de desenvolvimento neuropsicomotor : mapa conceptual. En: REVISTA PAULISTA . Enero, 2015. vol 33, no.1, p. 88–103. doi:10.1016/j.rpped.2014.04.009
26. FLANDOLI, Federic, GIORGI, Elena , ASPINALL, William P., & NERI, Auguste. Comparison of a new expert elicitation model with the Classical Model, equal weights and single experts, using a cross-validation technique. En: Reliability Engineering and System Safety. Octubre, 2011. vol 96, no.10, p.1292–1310. doi:10.1016/j.ress.2011.05.012
27. FOLTZ, Maryann, REED, Suellen, & DAY, Harlan R.Teaching Economics Using Children’s Literature. 1er ed. Estados Unidos de América:National Council on Economic Education, 2002. 1-154 p. vol 1. ISBN 978-1561836307.
28. GALEANO UPEGUI, Blanca Dora. Una ruta metodológica hacia procesos de transformación y liberación. En: Revista Fundación Universitaria Luis Amigó. Enero, 2006. vol 9, p. 19 – 27.
29. GONZÁLEZ, Virginia. Opiniones y creencias hacia el juego como metodología didáctica y potenciador de la creatividad de mestros y maestras ene ejercicio de la provincia de Segovia. Trabajo de grado para Máster en CCSS para la investigación en Educación. Segovia: Escuela Universitaria de Magisterio de Segovia, 2011 -2012. 1-126 p.
30. GUZMÁN, John Alexander. Pensamiento matemático mediante el aprendizaje significativo Mathematical thinking through meaningful learning. En: Revista del programa de matemáticas. Enero, 2014. vol 1, no. 2, p. 64 – 77.
31. HERNÁNDEZ, Manuel. Estudio antropológico del juego deportivo en España desde sus primero testimonios gráficos hasta la edad moderna. Tesís doctoral para Doctor en Ciencias de la Actividad Física y del Deporte. Madrid: Universidad Politécnica de Madrid. Departamento de ingeniería de organización, administración de empresas y estadística, 2004. 1-493 p.
32. HOFFENSON, Steven, & SÖDERBERG, Rikard. Systems Thinking in Tolerance and Quality-related Design Decision-making. En: Procedia CIRP. Agosto - Diciembre, 2015. vol 27, p. 59–64. doi:10.1016/j.procir. 2015.04.044
33. HUIZINGA, Johan. Homo Ludens: A Study of the Play-Element in Culture. 4 ed. Londres: Roy Publishers,1950. 24 p. vol 1. ISBN 0-8070-4681-7.
34. JONES, Peter. E. From “external speech” to “inner speech” in Vygotsky: A critical appraisal and fresh perspectives. En: Language and Communication. Abril, 2009. vol 29, no. 2, p. 166–181. doi:10.1016/j.langcom.2008.12.003
35. KOLB, David A. Experiential learning: experience as the source of learning and development Englewood Cliffs. 1 ed. Estados Unidos de América: Prentice Hall.1984,46 p. ISBN 0-13-295261-0.
36. KONAK, Abdullah, CLARK, Tricia K., & NASEREDDIN, Mahdi. Using Kolb’s Experiential Learning Cycle to improve student learning in virtual computer laboratories. En: Computers and Education. Marzo, 2014. vol 72, p. 11–22. doi:10.1016/j.compedu.2013.10.013
37. LOURENÇO, Orlando. Piaget and Vygotsky: Many resemblances, and a crucial difference. En:New Ideas in Psychology. Diciembre, 2012. Vol 30, no. 3, p. 281–295. doi:10.1016/j.newideapsych.2011.12.006
38. LOURENÇO, Orlando. Domain theory: A critical review. En: New Ideas in Psychology. Enero - Abril, 2014. vol 32, p. 1-17. doi:10.1016/j.newideapsych.2013.08.001
39. MARÍN-GONZÁLEZ, Yeraldin, MONTES-DE LA-BARRERA, José Orlando, HERNÁNDEZ-RIAÑO, Helman Enrique, & LÓPEZ-PEREIRA, Jorge Mario. (2010). Validación de la lúdica como herramienta metodológica complementaria en la enseñanza del método de producción tradicional y del método de producción de la teoría de restricciones (TOC) para el manejo de los entornos multitarea. En: Ingenieria Y Universidad. Enero - Junio, 2010. vol 14, no. 1, p. 97–115. doi:Ingenieria 14-1.indb
40. MEJÍA, Laura Angelica. Uso de la lúdica como complemento metodológico a la enseñanza de la ingeniería industrial (v etapa). Trabajo de joven investigador e innovador 2011. Pereira: Universidad Tecnológica de Pereira. Facultad de Ingeniería Industrial, 2011. 1-25 p.
41. MENCHÉN, Francisco. El tutor. Dimensión histórica, social y educativa. 1er ed. Madrid: Editorial CCS.1999, 1 - 152 p. ISBN 9788483162323.
42. MONROY, Antonio, & SÁEZ, Gerna. Historia del deporte de la prehistoria al renacimiento. 2 ed. Sevilla: Deportiva Wanceulen. 2007, 1- 186 p. ISBN 9788498232226.
43. MOREIRA, Marco Antonio. Aprendizagem Significativo, campos conceptuales y pedagogíade la utonomía: implicaciones para le enseñanza. En: Aprendizagem Significativa Em Revista. Enero - Junio, 2012. vol 2, no. 1, p. 44–65.
44. MORFI, María Luján, & MINETTI, María Victoria. Historia del juego. En:Learning Review Latinoamérica.Julio - Septiembre, 2012. vol 32, no. 1, p. 1 – 6.
45. NIAZ, Mansoor. Review of Matthews, M.R. - 2015 - Science Teaching: The Contribution of History and Philosophy of Science (20th Anniversary Revised and Expanded Edition). New York: Routledge1,2. En: Educación Química. Abril, 2015. vol 26, no. 2, p. 174–176. doi:10.1016/j.eq.2015.04.012
46. PAREDES, Jesús. El deporte como juego: un análisis cultural. Tesís doctoral para Doctor en Ciencias del Deporte. Alicante: Universidad de Alicante. Departamento de Humanidades Contemporáneas, 2002. 109-330 p.
47. PENG, Wang, ZAN, Ma, & YI, Tian. Application of expert judgment method in the aircraft wiring risk assessment. En: Procedia Engineering. Noviembre - Diciembre, 2011. vol 17, p. 440–445. doi:10.1016/j.proeng.2011.10.053
48. PEÑA, María Esperanza.Propuesta de un programa de actividades motoras para el desarrollo de las habilidades basicas en niós de 3 a 5 años del nivel inicial de la unidad educativa Santana.Trabajo de grado para obtención de título de Licenciada en Ciencias de la Educación, especialización Cultura Física. Cuenca: Universidad de Cuenca. Facultad de Filosofía, letras y ciencias de la educación. Carrera de cultura física, 2015. 1-119 p.
49. RAMIREZ, Bibiana. El Sistema Productivo del Job Shop en el Salón de Clase.Trabajo de grado para obtención de título de Ingeniera Industrial. Pereira: Universidad Tecnológica de Pereira. Facultad de Ingeniería Industrial, 2007. 1-39 p.
50. RAMÓN, Miguel, & GUERRERO, José Humberto. Proyecto pedagógico unadista.1er ed. Bogotá: Universidad Nacional Abierta y a Distancia. 2004, 50 p.
51. RODRIGUES, Claudia Susie C., & WERNER, Cláudia M. L. Making the comprehension of software architecture attractive. En: 2011 24th IEEE-CS Conference on Software Engineering Education and Training, CSEE and T 2011 - Proceedings. Mayo, 2011. p. 416–420). doi:10.1109/CSEET.2011.5876116
52. ROSAS, Ricardo, & SEBASTIÁN, Christian. Piaget, Vigotsky y Maturana. Constructivismo a tres voces. 1er ed. Buenos Aires: Aique Grupo Editor S.A. 2008, 1-120 p. ISBN 9789507017766.
53. RUSSEL, Cianán B., & WEAVER, Gabriela C. A comparative study of traditional, inquiry-based, and research-based laboratory curricula: impacts on understanding of the nature of science. En: Chemistry Education Research and Practice. Enero, 2011. vol 12, no. 1, p. 57 – 67. doi:http://dx.doi.org/10.1039/c1rp90008k
54. SÁEZ, Gerna, & MONROY, Antonio. Evolución del juego a lo largo de la historia. En: EFDEPORTES.com. Abril, 2010. vol 15, no. 1, p. 1-12.
55. SENGE, Peter M., KLEINER, Art, ROBERTS, Charlotte, ROSS, Richard B., & SMITH, Bryan J. La quinta disciplina en la práctica: estrategias y herramientas para construir la organización abierta al aprendizaje. 3er ed. New York: Granica S.A. 2004. 68 p. ISBN 978-950-421-4.
56. STOUTEN, Hendrik, HEENE, Aimé, GELLYNCK, Xavier, & POLET, Hans. (2012). Learning from playing with microworlds in policy making: An experimental evaluation in fisheries management. En: Computers in Human Behavior. Marzo, 2012. vol 28, no. 2, p.757–770. doi:10.1016/j.chb.2011.12.002
57. SUAREZ, Natalia. ¿Qué es el método DELPHI?. En: Rand Corporation. Página Web versión HTML. España:Escuela de Organización Industrial, 2012. [citado 20 de junio de 2015]. Disponible en Internet: http://www.eoi.es/blogs/nataliasuarez-bustamante/2012/02/11/%-C2%BFque-es-el-metodo-delphi/
58. WINKLER, Eike, & SCHWEIKHARDT, Josef. El conocimiento del hombre. Expedición por la antropología. 4 ed. Barcelona: Planeta. 2005. 67 p. ISBN 9788432047541.
Conflicto de intereses
Los autores declaran no tener ningún conflicto de intereses.
Notas