Ciencias Sociales Aplicadas
Recepción: 30 Marzo 2017
Aprobación: 10 Mayo 2017
DOI: https://doi.org/10.18041/entramado.2017v13n2.26227
Resumen: El clutter es una señal interferente causada por la reflexión de la emisión del radar sobre la superficie que rodea al blanco. Tradicionalmente, se han utilizado las distribuciones K, Weibull, Log-Normal, Rayleigh y Pareto para representar el comportamiento del clutter sin embargo, varios estudios han señalado la aplicación de otras alternativas novedosas que pudieran ser más adecuadas que las distribuciones tradicionales. Este artículo presenta la modelación de tres alternativas novedosas, las distribuciones Log-Weibull, Pearson (Lévy) y Lomax, en un conjunto de funciones informáticas de MATLAB. El código implementado permite un acceso fácil a la manipulación de las funciones de densidad y distribución, a la generación de variables aleatorias, al cálculo de los momentos y a la estimación de los parámetros de las distribuciones abordadas. La implementación está concebida para brindar a la comunidad de radares herramientas de simulación de la respuesta de los detectores de radar ante un amplio rango de condiciones de operación, lo cual permite la creación de nuevos mecanismos de procesamiento. Asimismo, se viabiliza el estudio del eco electromagnético que se obtiene de las superficies terrestres y marinas, con posibles aplicaciones medioambientales. El código creado formará parte de la librería MATE-CFAR 2 que incluirá varias distribuciones de clutter y detectores de radar.
Palabras clave: Clutter de radar: distribución Log-Weibull, distribución Pearson, distribución Lomax, distribución Lévy.
Abstract: The clutter is a distortion signal caused by the reflection of the radar emission on the surface surrounding the target. Traditionally, the K, Weibull, Log-Normal, Rayleigh and Pareto distributions have been used for representing the clutter behavior; however several studies have pointed out the application of other innovative alternatives that may be best suited than the traditional distributions. This paper presents the modeling of three innovative alternatives: the Log-Weibull, the Pearson (Lévy) and the Lomax distributions, in a set of MATLAB functions. The implemented code provides an easy access to the handling of density and accumulative distribution functions, to the generation of random variables, to the computation of moments and to the estimation of the parameters of the addressed distributions. The implementation is conceived for providing the radar community with a tool for simulating the response of radar detectors against a wide range of operating conditions, which allows the creation of new processing mechanisms. Likewise, the investigation contributes to the study of the electromagnetic echo received form the ground and sea surfaces, with possible environmental applications. The created code will be assembled into the MATE-CFAR 2 library that will include several clutter distributions and radar detectors.
Keywords: Radar clutter Log-Weibull Distribution, Pearson Distribution, Lomax Distribution, Lévy distribution.
Resumo: A clutter é uma comunicação de sinal pela reflexão da emisão do radar sobre a superfície que rodea ao branco. Tradicionalmente, utilizou as distribuições K, Weibull, Log-Normal, Rayleigh e Pareto para representar o comportamento da confusão; Sin embargo, vários estudos têm designado o uso de outras alternativas novedosas que contribuem para a garantia de reparações tradicionais. Este artigo apresenta a modelagem de três alternativas novedosas, as distribuições Log-Weibull, Pearson (Lévy) e Lomax, em conjunto de funções informáticas de MATLAB. O código implementado permite um acesso fácil à manipulação das funções de densidade e distribuição, uma geração de aleatorias de variáveis, uma avaliação dos momentos e uma estimativa dos parâmetros das distribuições abordadas. A implementação está projetada para brindar a comunidade de radares ferramentas de simulação de resposta de detectores de radar ante um amplio alcance de condições de operação, por favor permita a criação de novos mecanismos de processamento. Além disso, é possível viabilizar o estudo do eletro-eletromagnético eletrico que se ocupa das superfícies terrestres e marítimas, com possíveis aplicações meioambientales. O código criado formará parte da libração MATE-CFAR 2 que inclui várias distribuições de clutter e detectores de radar.
Palavras-chave: Clutter de radar distribuição Log-Weibull distribuição Pearson, distribuição Lomax, distribuição Lévy.
Introducción
Uno de los principales problemas que enfrentan los radares modernos es la discriminación de la señal de clutter causada por el rebote de la emisión sobre la superficie que rodea al blanco. El clutteres una señal aleatoria que adquiere ocasionalmente magnitudes elevadas (spikes) que pueden confundirse con blancos (Ward, Tough, & Watts, 2013).
El procesamiento de este tipo de señal de distorsión se hace con detectores del tipo CFAR (Constant False Alarm Rate, Razón de Falsas Alarmas Constante) de ventana deslizante, que procesan la amplitud recibida. Entre ellos, el más conocido es el CA-CFAR (CellAveraging-CFAR, CFAR de Promediación de Celdas) que funciona decidiendo sobre la presencia de un blanco mediante la comparación con la magnitud de las celdas vecinas (Machado Fernández & Sánchez Rams, 2016).
Para poder establecer un umbral de detección apropiado, los detectores o procesadores CFAR necesitan generalmente del conocimiento a priori de la estadística del clutter o fondo. La aproximación tradicional a este problema consiste en asumir que el fondo sigue una distribución estadística, cuyos parámetros deben ser estimados.
Las distribuciones K (Meng, Feng, Xue, & He, 2013), Weibull (Ishii, Sayama, & Mizutani, 2011), Log-Normal (Sayama & Ishii, 2013), Rayleigh (Ishii et al., 2011) y Pareto (Weinberg, 2014) son las más utilizadas en la modelación o representación del clutter (Machado Fernández, 2017). Existen numerosos desarrollos de soluciones basadas en estas distribuciones que han enriquecido la teoría de la detección y contribuido a la mejoría de las arquitecturas de procesamiento (Sayama & Ishii, 2013; Schoenecker, Willett, & Bar Shalom, 2016; Weinberg, 2013).
Sin embargo, varios artículos han propuesto distribuciones novedosas que, a pesar de la evidencia que las respalda, han recibido relativamente poca atención por parte de la comunidad de radares. Entre ellas figuran las distribuciones Log-Weibull, Pearson (también conocida como Lévy) y Lo-max.
La Log-Weibull compite directamente con la Log-Normal para la representación de clutter muy spiky (con máximos muy elevados) que se observa para muy bajo ángulo rasante y polarización HH fundamentalmente. La distribución de Pearson es un modelo sencillo uniparamétrico que contiende con la distribución Rayleigh en la modelación de clutter de baja resolución. Por último, la distribución Lomax se utiliza para clutterobservado desde aeronaves donde el ángulo rasante de la medición es medio o alto, y rivaliza con el modelo Pareto.
De acuerdo a la literatura existente en la actualidad, no hay suficiente evidencia comparativa que permita decidir sobre la superioridad de las distribuciones novedosas Log-Weibu-ll, Pearson y Lomax sobre sus contrapartes. La mayoría de las comparaciones establecidas no incluyen a estas distribuciones en los análisis. Uno de los principales problemas en este sentido es la no existencia de implementaciones informáticas de los modelos novedosos. Más específicamente, la herramienta matemática MATLAB 2016, muy utilizada en estudios de clutter, no cuenta con funciones informáticas para el trabajo con estas distribuciones.
Por tanto, el autor del presente artículo se trazó como objetivo la creación de un conjunto de funciones informáticas en MATLAB para la modelación de las distribuciones Log-Weibull, Pearson y Lomax. El código que fue finalmente implementado brinda un acceso fácil a la manipulación de las funciones de densidad y distribución, a la generación de variables aleatorias, al cálculo de los momentos y a la estimación de los parámetros de las distribuciones tratadas. Adicionalmente, se elaboraron algoritmos complementarios que permitieron la validación del código mediante la comparación con gráficas dadas por terceros y mediante la interacción del propio conjunto de funciones diseñadas.
El artículo se desarrolla como sigue. La sección 1, denominada "Materiales y Métodos", introduce las definiciones matemáticas de las distribuciones abordadas y describe las funciones informáticas que fueron creadas para la simulación del comportamiento del clutter. La sección 2, bajo el nombre de "Resultados y Discusión", muestra el correcto funcionamiento del código en forma de gráficos que caracterizan a los modelos tratados, validándose conjuntamente la implementación. La próxima sección, "Valoración del Estudio", aborda las posibilidades que brinda la investigación realizada. Por último, en "Conclusiones e Investigaciones Futuras", se resumen las principales contribuciones del artículo, señalándose también las posibles continuaciones del mismo.
1. Materiales y Métodos
La presente sección está concebida para ofrecer al lector los fundamentos de la investigación. Las primeras tres sub-secciones abordan las distribuciones Log-Weibull, Pearson y Lomax en ese orden; mientras que la cuarta presenta las funciones informáticas que fueron desarrolladas para cada una de ellas.
1.1. Distribución Log-Weibull
La distribución Log-Weibull fue aplicada a la modelación de clutter marino muy spiky por primera vez en (Sekine et al., 1980), donde demostró su superioridad con respecto al modelo Log-Normal que es utilizado frecuentemente para ángulos rasantes muy bajos, polarización HH y alta resolución. La distribución Log-Weibull ha sido utilizada con éxito para realizar ajustes de datos de clutterterrestre (Shuji Sayama & S. Ishii, 2011; Sayama & Sekine, 2001) y marino (S. Sayama & S. Ishii, 2011; Sekine et al., 1980), así como para celdas que contienen fuertes reflexiones de blancos (Ishii i et al., 2011).
El éxito de la distribución Log-Weibull está en el hecho de que su función de densidad de probabilidad se posiciona entre la Weibull y la Log-Normal. La Log-Normal suele producir estimaciones superiores a las reales sobre todo en la región de la cola, mientras que la Weibull tiende a cometer errores por defecto. En cambio, la distribución Log-Weibull tiene una cola larga y flexible en su forma (Sayama & Ishii, 2013).
A pesar de su éxito aparente, el modelo Log-Weibull ha recibido poca atención por parte de la comunidad de radares sin que hayan sido ofrecidos argumentos sólidos en su contra. La totalidad de las publicaciones que aplican Log-Weibull en radar pertenecen a un grupo reducido de científicos asiáticos que defienden el uso de la distribución.
Además del modelo concebido para radares, existe otra distribución también conocida como Log-Weibull, Gumbel o de valor extremo (extreme value). Esta distribución surge de aplicar el logaritmo a una variable distribuida Weibull, mientras que la Log-Weibull utilizada en radares aparece cuando se le aplica una exponencial a una variable Weibull, de manera similar a la Log-Normal que surge de aplicar una exponencial a una variable distribuida Normal. Desafortunadamente, la variante Log-Weibull aplicada en radares está mucho menos difundida que la Gumbel. En efecto, la mayoría de las veces que se utiliza la denominación Log-Weibull en la literatura abierta se hace referencia a la variante de valor extremo (Prabhakar Murthy, Xie, & Jiang, 2004; Rinne, 2009).
El autor considera que los problemas anteriormente planteados, junto al hecho de que prácticamente ningún documento recoge la definición matemática completa de la distribución Log-Weibull de radares, han frenado los estudios concernientes a la distribución. Adicionalmente, no se encontró ninguna herramienta de software que proporcione un acceso fácil a la simulación de la distribución Log-Weibull.
La expresión de la PDF (Probability Density Function, Función de Densidad de Probabilidad) Log-Weibull es (Ishii et al., 2011):

Donde c es la amplitud reflejada, α es el parámetro de escala y β es el de forma.
La CDF (Cumulative Distribution Function, Función de Distribución Acumulativa ) Log-Weibull es la siguiente (Male-vergne, Pisarenko, & Sornette, 2005):

La generación de variables aleatorias Log-Weibull puede hacerse por el conocido método de inversión (Gentle, 2003):

Donde u es una variable distribuida uniformemente en el intervalo [0,1] y F-1(u) es el inverso de la función de distribución acumulativa evaluada en la magnitud de que es finalmente el valor de la muestra generada.
La distribución Log-Weibull coincide con la Weibull-Pareto cuando esta última hace su parámetro de valor mínimo igual a 1, según lo señalado por (Alzaatreh, Famoye, & Lee, 2013). Consecuentemente, los momentos algebraicos Log-Weibull pueden deducirse de aquellos de la distribución Weibull-Pareto (Alzaatreh et al., 2013):

Donde Γ(. ) es la función gamma y n es el orden del momento. La función gamma se define como (O'Connor, 2011):

Por último, la estimación de los parámetros puede ejecutarse por el método de máxima verosimilitud, que es el comúnmente aplicado en estudios de radares. Las fórmulas a aplicar son (Zhu & Sun, 2014):


Donde xi es la muestra número i de un total de N disponibles en un conjunto.
Es importante destacar que, producto de la reducida presencia de la distribución Log-Weibull en la literatura, se encontraron algunas imprecisiones en las expresiones dadas por distintos autores. El autor corrigió estas imprecisiones y comprobó que los cambios introducidos aseguraban la correcta estimación o representación de las variables y parámetros tratados. Consecuentemente, las expresiones dadas con anterioridad pertenecen a las variantes corregidas.
1.2. Distribución Pearson
El modelo Pearson, también conocido como Lévy, ha demostrado ser apropiado para modelar datos como señales impulsivas (Nikias & Shao, 1995) y retornos de sonares activos (Pierce, 1996), en adición al clutter marino (Kuruo-glu, 2003). La distribución Pearson es un caso especial de la distribución simétrica Alfa-Estable cuando el parámetro característico es α=l/2 . Si una variable sigue la distribución Pearson, su PDF es (Leung, Minett, Siu, & Lee, 2002):

Aquí, γ es el único parámetro de la distribución, y refleja el nivel medio de la potencia del clutter. Adviértase que el modelo Pearson es de un solo parámetro (γ), cuya influencia en la escala de la distribución puede ser cancelada por los métodos CFAR tradicionales. En efecto, se probó que varios procesadores clásicos de radar mantienen la propiedad CFAR bajo clutter homogéneo distribuido Pearson en (Pierce, 1997; Tsakalide, Trinci, & Nikias, 2000), y varias expresiones han sido obtenidas para la relación del modelo con varios detectores en (Hilal Abdenour & Faouzi, 2006). Además, en (Meziani Abednour & Soltani, 20l0) se analizó el desempeño en ambientes multi-blanco y con bordes de cambio en el nivel del clutter para fondos que siguen la distribución Pearson y múltiples tipos de CFAR; así como variantes CFAR con lógica difusa descentralizada. Otros estudios han utilizado este modelo para probar esquemas de detección gracias a su sencilla definición (Cai, Ma, Hao, & Yang, 2009; Cai, Ma, Yan, & Hao, 2010).
La distribución Lévy coincide con la Inversa Gamma cuando su parámetro de forma es α=l/2 y el de escala b = γ2/2, asumiendo que se utiliza la siguiente parametrización para la PDF del modelo Inverso Gamma:

La CDF de la distribución Pearson es (Tsakalide et al.,2000):

Donde Φ(. ) es la CDF de la distribución estándar Gaus-siana (O'Connor, 2011). Por su parte, erfc(. ) es la función de error complementaria (complementary error function), definida como (Walck, 2007):

La generación de las muestras Lévy se implementó mediante el método de inversión descrito en (Gentle, 2003). Se halló el inverso de la CDF Pearson y se evaluó en que es una variable uniforme distribuida en el intervalo [0,1] . Luego, la siguiente expresión permite generar realizaciones de una variable Pearson:

Donde erfc(.) es la función de error complementaria inversa definida como 1 - erfc(. )
El momento de orden n de la distribución Pearson se calcula según la expresión:

La cuál diverge para todas las n > 0, por lo que no existe una fórmula para la obtención a priori de los momentos Pearson a partir del conocimiento de los parámetros.
No se encontró ningún método de estimación de los parámetros Lévy en la literatura revisada. En consecuencia, el autor obtuvo expresiones de estimación por el método de MLE (Maximum Likelihood Estimate, Estimación por Máxima Verosimulitud) aplicando las pautas dadas en (Jae Myung, 2003) y los ejemplos ofrecidos en (Ginos, 2009) para otras distribuciones. A continuación se detalla el procedimiento.
Partiendo de la función de densidad de probabilidad Pearson:

Se busca la función de verosimilitud (likelihood function) denotada como L (γ;x) que interpreta a γ como la variable independiente y a x como un parámetro. Esto se hace porque se dispone de un conjunto de muestras Pearson xi=x1,x2... xN, donde i es el número de la muestra y N es el total disponible. La función de verosimilitud total es la multiplicación de las funciones de verosimilitud aplicadas para cada xi:

Generalmente se trabaja con la función logarítmica de verosimilitud (log-likelihood function) que ayuda a simplificar los cálculos que se hacen más adelante. La log-likelihood function (𝓛) resulta de hallar el logaritmo a la función de verosimilitud (L) por lo que transforma la productoria (Π) en una sumatoria (Σ).

Ahora se procede a derivar 𝓛 con respecto a g para buscar los extremos (máximos y mínimos) de ??. La función de verosimilitud comparte la misma localización de los máximos que la log-likelihood. También podía haberse trabajado con el logaritmo con base diez, pero en este caso la utilización del logaritmo natural es más ventajosa porque la función de densidad contiene un término exponencial.
La derivada de la log-likehoodfunction es:

Se iguala la derivada a cero para buscar los puntos extremos o críticos:



Esta última expresión es la estimación por MLE del parámetro de escala (γ) de la distribución Pearson. Para comprobar que el punto se trata de un máximo es necesario verificar que la segunda derivada es negativa en la vecindad de γ, lo cual siempre se cumple.
1.3. Distribución Lomax
El uso de la distribución Lomax para la modelación del clutterde radar fue sugerido recientemente en (Rosenberg & Bocquet, 2015; Weinberg, 2015) como reemplazo al modelo Pareto. Este último ha logrado muy buenos resultados en el ajuste del clutter de banda X y alto ángulo rasante (Farshchian & Posner, 2010; Weinberg, 2011a, 2011b) pero su parámetro de escala presenta inconvenientes para la detección. Precisamente, el modelo Lomax surge como alternativa fiable dado su alto grado de similitud con el Pareto. Propuesta por primera vez por Lomax en Lomax (l954) para modelar índices de fracasos de negocios (business data failure), la distribución es también conocida como la Pareto desplazada (shifted Pareto) ya que traslada el comportamiento Pareto al origen del eje de coordenadas.
Aunque de incipiente uso en temas de radares, la distribución Lomax ha demostrado gran versatilidad y capacidad de adaptación. Se ha utilizado en diversos campos como la modelación de la riqueza personal (Atkinson & Harrison, l978), las proyecciones sobre las dimensiones de las empresas (Corbellini, Crosato, Ganugi, & Mazzoli, 2007), el crecimiento de los archivos y servidores de computadoras (Holland, Golaup, & Aghvami), la durabilidad de los componentes (Hassan & Al-Ghamdi, 2009) y el análisis de curvas características de operación (Campbell & Ratnaparkhi, 1993). La distribución Lomax también es conocida como la Pareto Generalizada de Tipo II (o Pareto Tipo II), la Pareto Americana, la Johnson de tipo VI y la Pearson tipo VI.
En el marco de los estudios de radar, en (Weinberg, 2015) se utilizó la siguiente expresión para la CDF Lomax:

Donde µ, es el único parámetro de la distribución. En este artículo, sin embargo, se presenta la modelación matemática de la distribución Lomax en su versión bi-paramétrica. Las distribuciones bi-paramétricas son las más utilizadas en la modelación del cluttermarino (Machado Fernández, 20l7), y modelaciones previas han sido ejecutadas con anterioridad en MATLAB para varias alternativas de dos parámetros (Machado Fernández, 2017a; José Raúl Machado Fernández & Jesús Concepción Bacallao Vidal, 2016).
La CDF de la distribución bi-paramétrica Lomax es (Tahir, Cordeiro, Mansoor, & Zubair, 2015):

Donde α es el parámetro de forma y β es el de escala. Si se hace β =1 y α = µ, la expresión se reduce a la variante uniparamétrica dada en (20). Por su parte, la PDF del modelo tiene la forma (Gupta, Garg, & Gupta):

Los momentos algebraicos son los siguientes (Al-Noor & Saad Alwan, 2015), donde Γ(. ) es la función gamma:

La generación de las muestras de la distribución Lomax se puede hacer a través del método de inversión (Al-Noor & Saad Alwan, 2015):

La estimación de los parámetros Lomax se implementó utilizando el tradicional Método de los Momentos (MoM, Method of Moments) que también ha sido aplicado en la modelación previa de las distribuciones Weibull, Log-Normal y K (Machado Fernández, 2017a; José Raúl Machado Fernández & Jesús Concepción Bacallao Vidal, 2016). Otros métodos alternativos de estimación son descritos en (Shakeel, Rehmat, & Ahsan ul Haq, 2017).
Los dos primeros momentos algebraicos Lomax pueden calcularse según (26) y (27). A partir de estas expresiones, se obtiene la estimación por MoM dada en (28) y (29).




Donde A=E[x2]/E2[x], y
son las estimaciones de los parámetros (α, β) de la distribución Lomax.
1.4. Funciones Implementadas
La Tabla 1 muestra las funciones que fueron implementadas en MATLAB para la modelación de la distribución Log-Wei-bull, junto a una breve descripción de cada una. Como puede apreciarse, las funciones comienzan todas con el prefijo lw_ que indica se corresponden a la distribución Log-Wei-bull. Funciones semejantes fueron implementadas para la Pearson y la Lomax aplicando los prefijos pea_ y lom_ respectivamente.

Para la confección de las funciones lw_sur, pea_sury lom_ sur se utilizó la definición de función de supervivencia (S) dada en (30). Asimismo para la transformación de los momentos algebraicos en los centrados, y viceversa, se aplicaron las fórmulas (31) y (32) (Walck, 1991):



Donde µn son los momentos algebraicos de orden n y µn los momentos centrados de orden n.
2. Resultados y Discusión
La modelación de las distribuciones Log-Weibull, Pearson y Lomax partió de la simulación de las curvas de PDF que fueron comparadas con similares dadas por otros autores. Este primer paso de verificación fue seguido por sucesivas interacciones entre las funciones implementadas que garantizaban la correcta correspondencia entre los diferentes componentes de la modelación.
Específicamente, las curvas de la PDF Log-Weibull fueron comparadas exitosamente con las dadas en (Alzaatreh et al., 2013) y las de la PDF Lomax con las de (Baker, 2014). Por su parte, la PDF Pearson fue relacionada con las publicaciones de (McLaughlin, 2014; Roth, 2013) donde se trataba la distribución Inversa Gamma que coincide con la Pearson cuando para α=1/2; b = γ2/2.
Un ejemplo de curvas de la PDF se muestra en la Figura 1 (a y b) donde se ilustra la influencia de la modificación de los parámetros de la Log-weibull sobre los trazos. Obtenidos con la función lw_pdf los resultados reflejan la importante modificación que ocurre cuando se varía el parámetro de forma (b), en contraste con la variación del parámetro α (a) que solo modifica la escala de las muestras.

Otra manera habitual de representar distribuciones estadísticas es mediante el uso de la CDF que indica la probabilidad de que una variable tome un valor igual o menor al tabulado en el eje de la abscisas. La Figura 2 (a y b) presenta ejemplos de la CDF Lomax donde se varía el parámetro de forma (α) a la izquierda y el de escala (β) a la derecha. Las gráficas fueron elaboradas con la función lom_cdf.

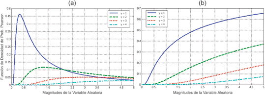
La distribución Pearson, a diferencia de la Log-Weibull y la Lomax, es uni-paramétrica, lo que permite resumir su comportamiento en la Figura 3 (a y b). Obsérvese como para g=1 el área ocupada por la PDF (a) por debajo de la magnitud 5 es significativa. Esto hace que el trazo de la CDF (b) tienda rápidamente a 1. En cambio, a medida que se aumenta se eleva tanto la media como la varianza de las muestras, lo que se traduce en curvas de PDF más alargadas, cuyas representaciones de CDF tardan más en tender a 1.

Cuando se generan muestras de una distribución, la representación de las magnitudes obtenidas en una serie de tiempo no permite identificar claramente el modelo que originó las realizaciones. Para descubrir la distribución a la cuál pertenecen un grupo de muestras se construyen histogramas, como los de la Figura 4 que fueron creados con la función lw gen hist. El lector podrá notar como el aumento de la cantidad de muestras hace que el gráfico tienda cada vez más a la forma teórica esperada de la distribución Log-Weibull.

La Figura 5 revela la convergencia de los histogramas (PDF empírica) a la curva teórica esperada (PDF teórica) para la distribución Pearson. Esta gráfica es una de las más importantes pues relaciona la generación de muestras con el modelo esperado y demuestra que la implementación fue realizada correctamente. Las PDF empírica de las tres distribuciones tratadas osciló alrededor de los trazos teóricos, lo cual fue comprobado con la función pea_gen_compare y similares.

La pertenencia de las muestras generadas a cada una de las distribuciones fue verificada además aplicando pruebas de bondad de ajuste. La ejecución de las conocidas pruebas Chi-Cuadrado (Chi-Squared) y Kolmogorov-Smirnov (K-S) para las distribuciones Pearson y Lomax se muestra en la Figura 6. Como puede apreciarse, la hipótesis de pertenencia se rechaza con baja frecuencia ya que las pruebas producen valores p > 0,05. Esto indica que la generación fue ejecutada correctamente.

El cálculo de la media y la varianza Lomax y de la asimetría y la curtosis Log-Weibull se ofrece en la Figura 7. Las estimaciones realizadas sobre 100 conjuntos de muestras oscilan alrededor del valor teórico esperado. Los errores obtenidos son reducidos y se distribuyen igualmente entre errores por defecto y por exceso, lo cual es un comportamiento adecuado para un estimador.

La estimación de los parámetros de forma de 100 conjuntos de muestras de las distribuciones Lomax y Log-weibull se ilustra en la figura 8. En este caso, la estimación Lomax exhibe errores mayores que la Log-Weibull, aun cuando se utiliza una mayor cantidad de muestras. El comportamiento tiene explicación en la utilización del método de los momentos para Lomax, el cual brinda un resulta muy rápido pero con baja precisión. En efecto, el algoritmo de máxima verosimilitud aplicado para Log-Weibull es más costoso computacionalmente pero alcanza mejores resultados. En la práctica se establece un compromiso entre velocidad y precisión según la aplicación tratada. Generalmente, en ambientes de radares se requiere de una alta velocidad que no retrase la operación global del detector.

Por último, tras ejecutar pruebas con 100 conjuntos de 1000 muestras cada uno, la variación de la estimación del parámetro Pearson se ilustra en la Figura 9. Dada la simplicidad matemática de la distribución, el estimador de los parámetros por máxima verosimilitud toma una forma sencilla que produce resultados tanto rápidos como precisos.

3. Valoración del Estudio
El presente artículo partió de una revisión bibliográfica importante que permitió recoger en un solo documento las definiciones matemáticas de tres distribuciones estadísticas, novedosas en la modelación del cluttermarino pero aún de limitada aplicación. La revisión corrigió ligeras imprecisiones producto de la efímera presencia de las distribuciones en los textos vinculados, obteniéndose también expresiones en casos donde no existía una referencia clara.
Las expresiones encontradas fueron incluidas en una pequeña librería creada en la herramienta matemática MAT-LAB, que a pesar de ser muy utilizada en desarrollos de radar y de contener un Toolbox dedicado exclusivamente a distribuciones estadísticas, no incluye a la Log-Weibull, la Pearson y la Lomax. El código creado también incluyó mecanismos adicionales encaminados a validar la implementación por comparación con resultados dados por otros autores y mediante la interacción de las propias funciones.
La modelación de las distribuciones Log-Weibull, Pearson y Lomax se une a esfuerzos anteriores que han abordado las distribuciones Rayleigh, Exponencial, Gamma, Log-Normal, Weibull, K y Pareto (Machado Fernández, 2016a, 2016b, 2017a; José Raúl Machado Fernández & Jesús Concepción Bacallao Vidal, 2016), con el objetivo común de crear la librería MATE-CFAR 2 que incluirá múltiples modelos y procesadores de radar, siendo una progresión del MATE-CFAR original presentado en (Machado Fernández & Bacallao Vidal, 2014). Conjuntamente, la nueva modelación permitirá crear nuevas alternativas de detección adaptadas a diferentes condiciones de la superficie marina, como los procesadores inteligentes que han sido desarrollados con anterioridad para las distribuciones Weibull, K y Pareto (Machado Fernández, 2015; José Raúl Machado Fernández & Jesús C. Bacallao Vidal, 20l6a, 20l6b, 20l6c; Machado Fernández, Bacallao Vidal, & Chávez Ferry, 20l5). Estos procesadores utilizan la modelación de las distribuciones en MATLAB como base para crear una solución adaptativa que estima los parámetros de forma y escala para elegir las variables óptimas de operación del detector CFAR. Además, se planea la traducción del código a otros lenguajes como Python para hacer la implementación aún más accesible.
El presente artículo también contribuye a mejorar los ajustes que se realizan sobre datos de clutter, ya que ahora se dispondrá de una mayor cantidad de distribuciones candidatas que permitirán arribar a conclusiones definitivas sobre el comportamiento electromagnético de los ecos de radar. Conjuntamente, la diferenciación entre distribuciones estadísticas puede utilizarse para identificar condiciones marinas anómalas de interés ecológico como son los bancos de peces (Fialkowski, Gauss, & Drumheller, 2004)ar>2013</ year></dates><publisher>Department of Electrical, los restos de embarcaciones (Abraham & Preston, 2010; Preston & Abraham, 2015) y los derrames de petróleo (Fingas, 2015; Qi & Zhao, 2015). Estas condiciones pueden manifestarse como cambios en la distribución preferencial del fondo.
4. Conclusiones e Investigaciones Futuras9
Fueron implementadas y validadas un total de 48 funciones informáticas para la modelación de las distribuciones Log-Weibull, Pearson y Lomax, de aplicación novedosa en la representación del clutter de radar. El trabajo realizado además de recoger en un solo documento definiciones poco abordadas en la literatura, alcanzó a suplir las deficiencias de la herramienta matemática MATLAB que no cuenta con soluciones para las distribuciones abordadas. Así, se obtuvo un producto informático valioso para la realización de estudios sobre el eco electromagnético obtenido de las superficies terrestres y marinas, con aplicaciones en la creación 12. de nuevos detectores de radar y en la esfera ecológica. Se prevé la futura traducción de las funciones implementadas l3. hacia otros lenguajes de programación como Python, y la inclusión de los resultados en la librería MATE-CFAR 2.
Referencias bibliográficas
1. ABRAHAM, Douglas A.; PRESTON, John R. Statistical Analysis of Monostatic and Bistatic Echoes from ShipWreck. In: IEEE Journal 18. of Oceanic Engineering. 2010. vol. 25, no. 1, p. 1-8 , doi: 10.1109/JOE.2014.2331533.
2. AL-NOOR, Nadia H.; ALWAN, Shahad Saad. Non-Bayes, Bayes and Empirical Bayes Estimators for the Shape Parameter of Lomax Distribution. In: Mathematical Theory and Modeling. 2015. vol. 5, no. 2, p. 17-28.
3. ALZAATREH, Ayman; FAMOYE, Felix; LEE, Carl (2013). Weibull-Pareto Distribution and Its Applications. In: Communication in Statistics- Theory and Methods. 2013. vol. 42, no. 9, p. 1673-1691. doi: 10.1080/03610926.2011.599002.
4. ATKINSON, Anthony B.; HARRISON, Allan J. Distribution of Personal 21. Wealth in Britain. Cambridge: Cambridge University Press, 1978.
5. BAKER, Rose D. Application of some new Heavy-tailed Survival Distributions. Technical Report arXiv:1412.0952. 2014. Centre for Ope- 22. rational Research and Applied Statistics, University of Salford, United Kingdom.
6. CAI, Long; MA, Xiaochuan; HAO, Chengpeng; YANG, Xiaoguang. Per-formace Analysis of Distributed Fuzzy CA-CFAR Detector in Pearson Distributed Clutter. In: Sixth International Conference on Fuzzy Systems and Knowledge Discovery. (14-16 Aug: Tiajin, China). 2009.
7. CAI, Long; MA, Xiaochuan;YAN, Xiaoguang; HAO, Cehngpeng (2010). Some Analysis of Fuzzy CAGO/SO CFAR Detector in Non-Gaussian Background. In: IEEE 2nd International Workshop on Intelligent Systems and Applications. (22-23 May: Huei University, China). 2010.
8. CAMPBELL, Gregory; RATNAPARKHI, Makarand V. An application of Lomax distributions in receiver operating characteristic (ROC) curve analysis. Communications in Statistics-Theory Methods. 1993. vol. 22, no. 6, p. 681-1697.
9. CORBELLINI, Aldo; CROSATO, Lisa; GANUGI, Piero; MAZZOLI, Marco. Fitting Pareto II distributions on firm size: Statistical me-thod-ology and economic puzzles. In: International Conference on Applied Stochastic Models and Data Analysis. (29 May - 31 Jun: Chania, Crete) . 2007.
10. FARSHCHIAN, Masoud; POSNER, Fred L. (2010). The Pareto Distribution for Low Grazing Angle and High Resolution X-Band Sea Clutter. In: IEEE 2010 Radar Conference. (10-14 May: Washington DC, USA). 2010.
11. FIALKOWSKI, Joseph M.; GAUSS, Roger C.; DRUMHELLER, David M. Measurements and Modeling of Low-Frequency Near-Surface Scattering Statistics. In: IEEE Journal of Oceanic Engineering. 2004. vol. 29, no. 2, p. 197-214, doi: 10.1109/JOE.2004.828973.
12. FINGAS, Merv. Handbook of Oil Spill Science and Technology. Wiley: New York, 2015.
13. GENTLE, James E. Random number generation and Monte Carlo methods. 2nd edition, Springer: New York, 2003 p. 102-109.
14. GINOS, Brenda F. Parameter Estimation for the Lognormal Distribution. Master of Science, Brigham Young University, Utah, USA. 2009.
15. GUPTA, Jaya; GARG, Mridula; GUPTA, Mahesh. The Lomax-Gumbel Distribution. In: Palestine Journal of Mathematics. 2016, vol. 5, no. 1, p. 35-42.
16. HASSAN, Amal S.; AL-GHAMDI, Amani S. Optimum step stress accelerated life testing for Lomax distribution. In: Journal of Applied Sciences Research. 2009. vol. 5, no. 12, p. 2153-2164.
17. ABDENOUR, Meziani Hilal; FAOUZI, Soltani. Performance analysis of some CFAR detectors in homogeneous Pearson-distributed clutter. In: Signal Processing. 2006, vol. 86, no. 8, p. 2115-2122. doi: 10.1016/j.sigpro.2006.02.036.
18. HOLLAND, Oliver; GOLAUP, Assen; AGHVAMI, Hamid. Traffic Characteristics of Aggregated Module Downloads for Mobile Terminal Reconfiguration. In: IEE proceedings on Communications. 2006. vol. 153, no. 5, p. 683-690.
19. ISHII, Seishiro; SAYAMA, Syuji; MIZUTANI, Koichi. Effect of Changes in Sea-Surface State on Statistical Characteristics of Sea Clutter with X-band Radar. In: Wireless Engineering and Technology. 2011, vol. 2, no. 3, p. 175-183, doi: 10.4236/wet.2011.23025.
20. JAE MYUNG, In Jae. Tutorial on Maximum Likelihood Estimation. In: Journal of Mathematical Psychology. 2003, vol. 47, no. 1, p. 90-100, doi: 10.1016/S0022-2496(02)00028-7.
21. KURUOGLU, Ercan E. (2003). Analytical representation for positive alpha stable densities. In: IEEE International Conference in Acoustics, Speech and Signal processing. 2003.
22. LEUNG, Sai W.; MINETT, James W.; SIU, Yu M. A fuzzy approach to signal integration. In: IEEE Transactions on Aerospace and Electronic Systems. 2002. vol. 38, no. 1, p. 346-351. doi: 10.1109/7.993258.
23. LOMAX, K. S. Business failures: Another example of the analysis of 39. failure data. In: Journal of the American Statistical Association. 1954, vol. 49, no. 268, p. 847-852.
24. MACHADO FERNÁNDEZ, José R. Estimation of the Relation between Weibull Distributed Sea clutter and the CA-CFAR Scale Factor. 40. In: Journal of Tropical Engineering. 2015. vol. 25, no. 2, p. 19-28, doi: 10.15517/jte.v25i2.18209.
25. MACHADO FERNÁNDEZ, José R.; BACALLAO VIDAL, Jesús C. Modelación de la Distribución K en MATLAB para Aplicaciones de Radar. In: Revista de Ingeniería Electrónica, Automática y Comunicaciones ' (RIELAC). 2016. vol. 37, no. 2, p. 54-66.
26. MACHADO FERNÁNDEZ, José R. Modelación de la Distribución Gamma en MATLAB para Aplicaciones de Radar. In: Ciencias Holguín. 2016a. vo1. 22, no. 4, p. 1-17.
27. MACHADO FERNÁNDEZ, José R. Modelación de las Distribuciones 44 Rayleigh y Exponencial en MATLAB para Aplicaciones de Radar. In: ' Telem@tica. 2016b. vol. 15, no. 2, p. 1-15.
28. MACHADO FERNÁNDEZ, José R. Distribuciones Estadísticas para Modelar Clutter Marino: Una Revisión (aceptado para publicación). In: Revista de Ingeniería Electrónica, Automática y Comunicaciones (RIELAC). 2017.
29. MACHADO FERNÁNDEZ, José R. Modelación de las Distribuciones Weibull y Log-Normal para Aplicaciones de Radar (aceptado para publicación). In: Ciencias Holguín . 2017a.
30. MACHADO FERNÁNDEZ, José R.; BACALLAO VIDAL, Jesús C. MATE-CFAR: Ambiente de Pruebas para Detectores CFAR en MATLAB. Telem@tica. 2014. vol. 13, no. 3, p. 86-98. 48.
31. MACHADO FERNÁNDEZ, José R.; BACALLAO VIDAL, Jesús C. Improved Shape Parameter Estimation in K Clutter with Neural Net-works and Deep Learning. In: International Journal of Interactive Multimedia and Artificial Intelligence. 2016a. vol. 3, no. 7, p. 96-103. doi: 10.9781/ijimai.2016.3714 49.
32. MACHADO FERNÁNDEZ, José R.; BACALLAO VIDAL, Jesús C. Improved Shape Parameter Estimation in Pareto Distributed Clutter with Neural Networks. In: International Journal of Artificial Intelligence and Interactive Multimedia. 2016b. vol. 4, no. 8, p. 7-11. doi: 10.9781/ijimai.2016.421.
33. MACHADO FERNÁNDEZ, José R.; BACALLAO VIDAL, Jesús C. Optimal Selection of the CA-CFAR Adjustment Factor for K Power Sea 5l. Clutter with Statistical Variations. In: Ciencia e Ingeniería Neogranadina. 2016c. vol. 27, no. 1, p. 61-76. doi: 10.18359/rcin.1714.
34. MACHADO FERNÁNDEZ, José R.; BACALLAO VIDAL, Jesús C.; Chávez Ferry, Nelson . A Neural Network Approach to Weibull Distributed Sea Clutter Parameter's Estimation. In: Inteligencia Artificial. 2015. vol. 18, no. 56, p. 3-13. doi: 10.4114/ia.v18i56.1090.
35. MACHADO FERNÁNDEZ, José R.; SÁNCHEZ RAMS, Roberto C. Implementación de un Detector de Promediación de Clutter (CA-CFAR) usando VHDL. Telem@tica . 2016. vol. 15, no. 2, p. 52-61.
36. MALEVERGNE, Yannick; PISARENKO, Vladilen; SORNETTE, Didier. Empirical Distributions of Stock Returns: between the Stretched Exponential and the Power Law. In: Quantitative Finance. 2005. vol. 5, no. 4, p. 379-401.
37. MCLAUGHLIN, Michael P. Compendium of Common Probability Distributions, 2014. p. 47.
38. MENG, Xiandong; FENG, Ganzhong; XUE, Hua; HE, Zhiming. Wideband Radar Target Detection Theory in Coherent K Distributed Clutter. In: Research Journal of Applied Sciences, Engineering and Technology. 2013. vol. 5, no. 5, p. 1528-1532.
39. MEZIANI ABEDNOUR, Hilal; SOLTANI, Faouzi. Generalised Decentralised Fuzzy CA-CFAR Detector in Pearson Distributed Clutter. In: IEEE 10th International Conference onSignal Processing . 2010. p. 1915-1918.
40. NIKIAS, Chrysostomos L.; SHAO, Min (1995). Signal processing with alpha-stable distributions and applications. Wiley: New York , 1995.
41. O'CONNOR, Andrew N. Probability Distributions Used in Reliability Engineering. University of Maryland: USA, 2011. p. 34, 116.
42. PIERCE, Robert D. RCS characterisation using the alpha stable distribution. In: IEEE 1996 National Radar Conference. (13-16 May: Michigan, USA). 1996.
43. PIERCE, Robert D. Application of the positive alpha stable distribution. In: IEEE Signal Processing Workshop on Higher-Order Statis-tics, Alberta, Canada. (21-23 Jul: Alberta, Canada). 1997.
44. MURTHY, D. N. Prabhakar; XIE, Min; JIANG, Renyan. Weibull Models. Wiley: New York , 2004.
45. PRESTON, John R.; ABRAHAM, Douglas A. Statistical Analysis of Multistatic Echoes From a Shipwreck in the Malta Plateau. In: IEEE Journal of Oceanic Engineering . 2015. vol. 40, no. 3, p. 643-656. doi: 10.1109/JOE.2014.233I533.
46. QI, Cong-hui; ZHAO, Zhi-qin. Electromagnetic Scattering and Statistic Analysis of Clutter from Oil Contaminated Sea Surface. In: Radioengineering. 2015. vol. 24, no. 1, p. 87-92, doi: 10.13164/re.2015.0087.
47. RINNE, Horst. The Weibull Distribution A Handbook. CRC Press: London, 2009.
48. ROSENBERG, Luke; BOCQUET, Stephen. Application of the Pareto Plus Noise Distribution to Medium Grazing Angle Sea-Clutter. In: IEEE Journal of Selected Topics in Applied Earth Observations and Remote Sensing. 2015, vol. 8, no. 1, p. 255-261, doi: 10.1109/JSTARS.2014.2347957.
49. ROTH, Michael. On the Multivariate t Distribution. Technical Report LiTH-ISY-R-3059. 2013. Department of Electrical Engineering, Linkopings Universitet, Germany.
50. SAYAMA, Shuji; ISHII, Seishiro. Amplitude Statistics of Ground Clutter from Town and Hill Observed by S-band Radar. In: IEEJ Trans-actions Fundamentals and Materials. 2011. vol. 131, no. 11, p. 916-923, doi: 10.1541/ieejfms.131.916.
51. SAYAMA, Shuji; ISHII, Seishiro. Amplitude Statistics of Sea Clutter by MDL Principle. In: IEEJ Transactions Fundamentals and Materials. 2011. vol. 132, no. 10, p. 886-892, doi: 10.1541/ieejfms.132.886.
52. SAYAMA, Shuji; ISHII, Seishiro. Suppression of Log-Normal Distributed Weather Clutter Observed by an S-Band Radar. In: Wireless Engineering and Technology . 2013. vol. 4, no. 3, p. 125-133, doi: 10.4236/wet.2013.43019.
53. SAYAMA, S.; SEKINE, M. Weibull, Log-Weibull and K-Distributed Ground Clutter Modelling Analyzed by AIC. In: IEEE Transactions on Aerospace and Electronic Systems . 2001, vol. 37, no. 3, p. 1108-1113, doi: 10.1109/7.953262.
54. SCHOENECKER, Steven; WILLETT, Peter; BAR SHALOM, Yaakov. The Effect of K-Distributed Clutter on Trackability. In: IEEE Trans-actions onSignal Processing . 2016. vol. 64, no. 2, p. 475-484, doi: 10.1109/TSP.2015.2478745.
55. SEKINE, Matsuo; MUSHA, Toshimitsu. Log-Weibull Distributed Sea Clutter. In: IEE Proceedings. 1980. vol. 127, no. 3, p. 225-228, doi: 10.1049/ip-f-I:19800033.
56. SHAKEEL, Muhammad; REHMAT, Nazia; AHSAN UL HAQ, Muhammad. Comparison of the Robust Parameters Estimation Methods for the Two-Paramaters Lomax Distribution. In: Cogent Mathematics. 2017. vol 4, no. I, p. 1-11, doi: 10.1080/23311835.2017.1279397.
57. TAHIR, Muhammad H.; CORDEIRO, Gauss M.; MANSOOR, Abbasi; ZUBAIR, Muhammad. The Weibull-Lomax Distribution: Properties and Applications. In: Hacettepe Journal of Mathematics and Statistics. 2015. vol. 44, no. 2, p. 461-480. doi: 10.15672/HJMS.2014147465.
58. TSAKALIDE, Panagiotis.; TRINCI, F.; NIKIAS, Chrysostomos L. Performance assessment of CFAR processors in Pearson-distributed clutter. In: IEEE Transactions on Aerospace and Electronic Systems . 2000. vol. 36, no. 4, p. 1377-1386, doi: 10.1109/7.892685.
59. WALCK, Christian. On Moments and their Estimation. Internal Note SUF-PFY/9I-0I. Particle Physics Group, Deparment of Physics, University of Stockholm: Stockholm, Sweden, 1991.
60. WALCK, Christian. Hand-book on Statistical Distributions for Experimentalists. Particle Physics Group, University of Stockholm: Stockholm, Sweden, 2007. p. 53.
61. WARD, Keith; TOUGH, Robert; WATTS, Simon. Sea Clutter Scattering, the K Distribution and Radar Performance. 2nd edition, The Institution of Engineering and Technology: London, United Kingdom, 2013.
62. WEINBERG, Graham V. Assessing the Pareto Fit to High Resolution High Grazing Angle Sea Clutter. In: IET Electronics Letters. 2011a. vol. 47, no. I, p. 516-517.
63. WEINBERG, Graham V. An Investigation of the Pareto Distribution as a Model for High Grazing Angle Clutter. DSTO-TR-2525. 2011b. Electronic Warfare and Radar Division, Defence Science and Technology Organization: Edinburgh, South Australia.
64. WEINBERG, Graham V. Constant False Alarm Rate Detectors for Pareto Clutter Models. In: IET Radar, Sonar and navigation. 2013. vol. 7, no. 2, p. I53-I63, doi: 10.1049/iet-rsn.2011.0374.
65. WEINBERG, Graham V. Constant False Alarm Rate Detection in Pareto Distributed Clutter: Further Results and Optimality Issues. In: Contemporary Engineering Sciences. 2014. vol. 7, no. 6, p. 231-261, doi: dx.doi.org/10.12988/ces.2014.3737.
66. WEINBERG, Graham V. Formulation of a Generalised Switching CFAR with application to X-Band Maritime Surveillance Radar. In: Springer Plus. 2015. vol. 4, no. 574, p. 1-13.
67. ZHU, Difei; SUN, Jiaxiu (2014). Empirical Distributions of Stock Returns and Applications inValue at Risk. (Master of Science in Fi-nance), South China Normal University, China.
Notas
Declaración de intereses