Ciencias Sociales Aplicadas
Study of financial efficiency in companies certified with the BASC label using Data Envelopment Analysis: Case applied in Cali - Colombia *
Estudio de la eficiencia financiera en compañías certificadas con el sello BASC usando Análisis Envolvente de Datos: Caso aplicado en Cali - Colombia
Estudo da eficiência financeira em empresas certificadas com o selo BASC usando Data Envelopment Analysis: Caso aplicado em Cali - Colombia
Study of financial efficiency in companies certified with the BASC label using Data Envelopment Analysis: Case applied in Cali - Colombia *
Entramado, vol. 14, no. 1, pp. 78-87, 2018
Universidad Libre de Cali
Received: 27 September 2017
Accepted: 01 December 2017
ABSTRACT:
The present research is about the analysis financial efficiency of Colombian companies based on the city of Cali certified by the BASC label, for this purpose we used the linear programming technique called Data Envelopment Analysis (DEA), applying the CCR-O routine aimed to outputs. As input variables, it was worked with: Subtotal of inventory Total Current Assets, Plant and Equipment property and Suppliers, and as output variable, Operating Income. The quality of this work is based on the use of primary information collected by the Superintendence of Corporations in 2014. As results we find that average efficiency of 42 companies under study was 33.95%, besides only five companies reached highest efficiency levels. JEL CLASSIFICATION L69
KEYWORDS: Efficiency, logistic processes, CCR model.
RESUMEN:
La presente investigación desarrolla un análisis de eficiencia de empresas colombianas localizadas en la ciudad de Cali, certificadas en el sello BASC. Para este propósito se utilizó la técnica de programación lineal llamada Análisis Envolvente de Datos (DEA), aplicando la metodología CCR-O enfocada a las salidas. Como variables de entradas, se trabajó con: Sub-inventario total, Activos totales actuales, plantas propiedades, equipos y proveedores. Como variable de salida se utilizó el ingreso operativo. La calidad de este trabajo está dada por el uso de información primaria recolectada por la Superintendencia de Sociedades en 2014. Como resultados se encontró que la eficiencia promedio de las 42 empresas en estudio fue del 33.95%, además solo cinco empresas alcanzaron altos niveles de eficiencia. CÓDIGOS JEL L69
PALABRAS CLAVE: Eficiencia, procesos logísticos, modelo CCR-O.
RESUMO:
Esta pesquisa desenvolve uma análise de eficiência de empresas colombianas localizadas na cidade de Cali, certificadas no selo BASC. Para tanto, utilizou-se a técnica de programação linear denominada Data Envelopment Analysis (DEA), aplicando a metodologia CCR-O focada nas saídas. Como variáveis de entrada, trabalhamos com: Sub-estoque total, Ativo total atual, propriedades da planta, equipamentos e fornecedores. Como variável de saída, foi utilizado o lucro operacional. A qualidade deste trabalho é dada pelo uso de informações primárias coletadas pela Superintendência de Empresas em 2014. Como resultado, verificou-se que a eficiência média das 42 empresas pesquisadas foi de 33,95%, e apenas cinco empresas atingiram altos níveis de eficiência. CLASSIFICAÇÕES JEL L69
PALAVRAS-CHAVE: Eficiência, processos logísticos, modelo CCR-O.
Introduction
At international level, standards have been established to ensure the safe trade. One of these models for the standardization of secure logistics processes is BASC (Business Anti Smugling Coalition,), in this sense it is important to be able to analyze how this process of standardization contributes to improving internal operations, and the efficiency of this type of organizations that have taken these good standardized practices.
Which is why, in this research the answers to the following questions will be given:
What type of items and variables should be used to calculate the efficiency of Cali- Colombia firms that have assumed the BASC model?, what is the level of efficiency that the companies purpose of this study have reached?, can be established some sort of positive causation between the companies that were certified in BASC and the improvement of their level of efficiency?, what are the projections required to make inefficient companies reach their optimal efficiency?
Initially in this research, the concepts associated with the DEA Basic Model (Model CCR - O) and the evaluation of the efficiency of logistics processes through the Data Envelopment Analysis (DEA) are showed. For this study, the companies certified in BASC that submitted their financial statements in the Superintendency of Corporations of Colombia in 2014 were taken.
Then the variables and items used in this study are presented; subsequently the correlation of variables of inputs and outputs required for the calculation of the efficiency is analyzed. After this, it is presented the results of the financial efficiency analysis of the BASC certified companies in the city of Cali - Colombia with the efficiency scores calculated by the CCR - O model; subsequently, the efficient firms that can act as peer evaluators for the inefficient firms and the required projection for the output variable to achieve efficiency are determined.
1. Literature review
1.1. Growth of the economy
The current growth of the economy, the opening of markets and the trend of the same level, make a series of challenges for organizations which demands a greater effort to remain productive and thus achieve greater competitiveness in the market.
In the logic of the growth of the companies, these need efforts to increase their market share, financial efforts in human resources and efforts in fixed assets that may affect the level of efficiency of the companies and assist with compliance of organizational objectives. In this regard, it is necessary an effort not alien to the growth of the company, which from a broad point of view should cover the efforts mentioned above and in this way improve the logistics processes. Free trade treaties create a series of challenges in which in addition to the improvement of quality and price, the quality of the acquisition processes from the raw materials up to the delivery of the products and/or services must be improved.
As previously mentioned, it is necessary the implementation of a management system to ensure the safety of the processes that integrate the supply chain; and for this reason standards for secure commerce are implemented, as it is the BASC certification (Business Anti Smugling Coalition), which seeks answers to the issue of control management and safety of the trade. According to, processes in the international trade require formality and timely responsiveness, guarantees on the transactions and assurance of the supply chain, which is precisely achieved with the BASC certification.
1.2. DEA CCR - O
For the measurement of how effective the BASC model is, in this research work is defined a structure of input and output variables, with which it was measured the efficiency of the DEA CCR-OR model in this group of companies that assumed that standard in the city of Cali - Colombia.
The data envelopment analysis (DEA) is a tool that allows the measurement of efficiency in the public or private organizations through a linear programming model. Charper, Cooper and Rhodes originally proposed this tool of analysis of efficiency in 1978. It is important to note that this tool proposes models for the evaluation of efficiency, one model oriented to entries (CCR - I) and another aimed at the outputs (CCR - O), the latter one seeks to maximize the outputs from the resources available. Maximize the efficiency seeks a fractional programming solution which has multiple solutions, in this sense, it is necessary the implementation of a linear programming model, and this is achieved by leaving the numerator constant (assuming a value of 1) and maximizing the numerator; this is called CCR oriented to the outputs or commonly called CCR - O.
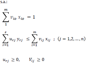
1.3. DEA Basic Model (Model CCR - O)
This model is expressed mathematically as it follows, if Yo = (ylo, y2o, y3o.....yso) and Xo = (xlo, x2o, x3..... xmo), represent the inputs and the outputs of the DMUo respectively, the measure of efficiency of the unit being evaluated can be obtained with the optimal solution of the following model:

Being uro y vro the group of DMU more favorable, the previous model can be converted to:


Where n is the number of DMU, m is the number of input variables and s is the number of output variables.
1.4. Evaluation of the efficiency of logistics processes using Data Envelopment Analysis (DEA, CCR - O)
The DEA tool is one of the most used in the evaluation of performance of public and private organizations (Nijkamp, Suzuki 2009). Within the logistics processes, its use is necessary to assess the efficiency, productivity, and observe the units that can be improved as a measure of competitiveness. The use of the technique has many applications within the logistics processes, for example, evaluation of the efficiency with a focus on the suppliers (Azadeh, Alem 2010; Çelebi, Bayraktar 2008; Farzipoor Saen 2009; Jong Joo, Min 2006; Kontis, Vrysagotis 2011; Min, Joo 2009; Mohammady Garfamy 2006; Narasimhan, Talluri, Mendez [no date]) in the evaluation of manufacturing (Shorouyehzad, Lotfi, Aryanezhad, Dabestani 2011), in the evaluation of reverse logistics (Haas, Murphy, Lancioni 2003; Tonanont, Yimsiri, KJ Rogers PhD 2009; Tonanont, Yimsiri, Jitpitaklert, Rogers 2008).
The data envelopment analysis (DEA) is a parametric tool that allows the evaluation of efficiency; it is important to note that the Data Envelopment Analysis looks for the obtaining of an efficient frontier, which is estimated by maximizing the outputs with a certain level of income; and the estimate of the inefficiency, which depends on the orientation and is calculated in the same way as the efficient frontier (Morollón, Morán, Cuervo 2005)
2. Methodology
For this study of efficiency, 42 companies certified in BASC Cali-Colombia were taken into account, and the information associated with the financial items, collected in the Superintendency of corporations of Colombia in 2014. Table 1 shows the companies that were considered for this investigation. For which there was special care in the choice of the input and output variables. It was worked with an approach to outputs, and the performance of these was analyzed.
| Social Reason | (I) Subtotal Inventories | (I) Total Current Assets | (I) Properties Plant And Equipment | (I) Suppliers | Operating Revenues (Annex 1) |
|---|---|---|---|---|---|
| Comestibles Aldor S.A. | 15735248 | 59829143 | 41939120 | 11850003 | 144126848 |
| Ocupar Temporales S.A . | 0 | 7747440 | 1430622 | 0 | 82560111 |
| Coral Visión Ltda Sociedad de Intermediación Aduanera | 0 | 2044341 | 1318353 | 0 | 3051359 |
| Sociedad de Intermediación Aduanera S.A. | 150 | 2647620 | 34254 | 48741 | 1718922 |
| Adhesivos Internacionales S.A.S. | 3134704 | 8894265 | 679159 | 930013 | 11729859 |
| Agraf Industrial S.A. | 1176103 | 5434996 | 4131348 | 1604733 | 18923849 |
| Acción del Cauca S.A. | 0 | 1922135 | 11894 | 10353 | 8837435 |
| Globalog S. A . | 5957 | 6744931 | 351766 | 291832 | 14738411 |
| Cristar S.A.S. | 20157597 | 55367914 | 22124669 | 9538784 | 137649408 |
| Grupo Empresarial Apparel Solutions Ltda. | 0 | 841464 | 47914 | 218862 | 9272880 |
| Colombina del Cauca S.A. | 15652690 | 19606379 | 73092614 | 30438228 | 201035291 |
| Compañía Internacional de Alimentos S A.S. | 6795480 | 15557945 | 27273920 | 21994199 | 85027721 |
| Genfar S.A. | 35784211 | 126132875 | 19352200 | 24934928 | 218536987 |
| Centro de Mecanizados del Cauca S.A. | 16513209 | 20657011 | 9616235 | 4573507 | 24479846 |
| El Dorado Air Cargo S. A. S. | 0 | 2137374 | 63328 | 215611 | 1196616 |
| Bridgestone Firestone Colombiana S.A.S. | 15463446 | 68971111 | 298494 | 13683810 | 111008747 |
| Ups Scs Colombia Ltda. | 0 | 12705721 | 835319 | 7639635 | 64009165 |
| Carvajal S.A. | 20932689 | 261383285 | 40006818 | 18435183 | 96679792 |
| Laboratorios Baxter S.A. | 47606227 | 377710341 | 96518604 | 65142887 | 547374636 |
| Cartón de Colombia S.A. | 88488051 | 324882231 | 207791189 | 76291274 | 744890873 |
| Colgate Palmolive Compañía | 74137276 | 262135200 | 129876446 | 66562102 | 297597049 |
| Cadbury Adams Colombia S.A. | 26474647 | 136894534 | 64762107 | 45548440 | 299497308 |
| Transportes Centro Valle Ltda. | 266065 | 4118866 | 3652921 | 449430 | 13272315 |
| Transportes Rodríguez - Gonzalo | 0 | 3093086 | 438191 | 0 | 4207245 |
| Industrias del Maiz S.A. Corn Products Andina | 60751990 | 181578693 | 131520887 | 69345592 | 514873966 |
| Eternit Pacífico S.A. | 6655875 | 31276766 | 8663135 | 4476552 | 55991207 |
| Colombina S.A. | 85070792 | 223013032 | 188298976 | 100756237 | 680199335 |
| Laboratorios Recamier Ltda. | 14381724 | 63178247 | 8634996 | 14151229 | 93873979 |
| Plásticos Especiales S.A. | 23827540 | 52920803 | 24940992 | 12017258 | 83682925 |
| Industria de Aluminio India Ltda. | 2194308 | 7181389 | 7314909 | 548434 | 11764797 |
| Acción S.A. | 0 | 50983172 | 5059449 | 577489 | 353981531 |
| Agecolda S. A. | 0 | 261005 | 1571691 | 38199 | 696598 |
| Empresa Andina de Herramientas S. A. S. | 5180509 | 19147114 | 3160241 | 3006869 | 37666715 |
| Protécnica Ingeniería S.A. | 5859945 | 16632620 | 5131548 | 5062520 | 28577498 |
| Productos Yupi Limitada | 6423558 | 36847430 | 3890446 | 12893016 | 149427490 |
| Vallecilla B Vallecilla M & Cia S.C.A. Carval de Colombia | 17675742 | 57182386 | 19310832 | 12631017 | 77840169 |
| Carvajal Internacional S. A. | 0 | 355560627 | 0 | 104 | 95392210 |
| Ingenio del Cauca S. A. | 31065259 | 174262708 | 293212697 | 23972807 | 615026427 |
| Ingenio Providencia S.A. | 19918212 | 70094014 | 261713216 | 20442431 | 454716865 |
| Harinera del Valle S.A. | 50603928 | 314483704 | 57155350 | 14750735 | 361445218 |
| Ingenio Pichichi S.A. | 12031159 | 46547728 | 51224738 | 16507605 | 182952698 |
| Riopaila Industrial S.A. | 47706264 | 244755640 | 226582396 | 41303315 | 676090232 |
2.1. Variables considered in the study
Below, the variables considered in the study and their description are shown, this was established by the Superintendency of corporations.
2.1.1. Input Variables
Subtotal of inventories: The inventory is associated with the goods and other objects belonging to a natural person, a community.
Total Current assets: current assets are considered cash and all those other accounts which is expected to be converted, in turn, in cash, or that have been consumed during the normal cycle of operations.
Property, plant and equipment: The property, plant and equipment are tangible assets owned by a company for its use in the production or supply of goods and services, productive purposes, administrative or for leasing to third parties and are expected to be used for more than one economic period.
Suppliers: a supplier can be a person or a company that provides stock to other companies, which will be transformed to later sell or directly purchased for sale.
2.1.2. Output Variables
Operating Income: Are all the income assets or reduction of liabilities in the studied period, which is manifested in the increase of the capital, other than to the contributions of the partners.
For the calculation and analysis of the results the software DEA Solver PRO was used, with which in an specific framework the input and output variables, previously established for each company or DMU, were analyzed, with that it was able to calcute the efficiencies for the population under study. Table 1 shows the values (magnitude) of the input and output variables for each of the companies considered in the study.
3. Results
3.1. Implementation of DEA to BASC certified companies in Cali
The results of this research article make reference to: 1) the efficiency scores of the certified companies with BASC in the city of Cali, 2) the study of the correlation between the variables in the rese arch, 3) the classification of the different organizations by types of efficiency, 4) as well as to the projection of improvement of the output, i.e. operating revenues, with the aim of improving the relationship of input/output with the purpose of making an inefficient firm, efficient. To finally analyze the relationship between the organizational efficiency of the sector and the standardization with the standard for secure commerce BASC in the city of Cali.
Initially the correlation between the variables of the study is presented, used to analyze the technical or administrative efficiency. As seen in Table 2. The data shows a high positive correlation between the input and output variables, allowing to analyze the causality between the items.
| Social Reason | (I) Subtotal Inventories | (I) Total Current Assets | (I) Properties Plant And Equipment | (I) Suppliers | Operating Revenues (Annex 1) |
|---|---|---|---|---|---|
| Subtotal Inventories | 1 | ||||
| Total Current Assets | 0,75 | 1 | |||
| Properties Plant And Equipment | 0,70 | 0,55 | 1 | ||
| Suppliers | 0,92 | 0,67 | 0,68 | 1 | |
| Operating Revenues | 0,83 | 0,71 | 0,88 | 0,82 | 1 |
It can be seen that there is a high correlation of SUBTOTAL OF INVENTORY with suppliers (0.92), with OPERATING REVENUES (0.83); PROPERTY PLANT AND EQUIPMENT with OPERATING REVENUES (0.88) and SUPPLIERS with OPERATING REVENUES (0.82), on the other hand, the input variable with less correlation with output variables is PROPERTY PLANT AND EQUIPMENT. What evidence the relevance and correspondence between the selected variables.
It is important to emphasize that there is a high correlation between the internal variables of the organizations with the generation of operational income. This is consistent with the fact that the processes of standardization BASC, have as intentionality, the generation of efficiency and operational effectiveness, which requires a series of domestic conditions and availability of current assets, property plant and equipment; and resources available for the improvement of the logistical processes of organizations where it's deployed.
After evaluating the efficiency of the 42 companies certified with BASC in Cali, the CCR-O efficiency scores for each organization were obtained, as shown in Table 3. It is important to remember that a DMU is efficient if the score of efficiency is equal to 1 and has no gaps (the clearance in all the variables is equal to 0), in this case of study all the DMU's whose score of efficiency is one (1) did not show gaps in its variables, therefore to determine if a company is efficient, it is enough to observe that the efficiency score is equal to one (1). It was found that 5 of 42 companies are efficient, this leads to see that 11% of the total number of companies assessed are efficient.
| No. | DMU | Score | 1/Score | No. | DMU | Score | 1/Score |
|---|---|---|---|---|---|---|---|
| 1 | Comestibles Aldor S.A. | 0,22 | 4,53 | 22 | Cadbury Adams Colombia S.A. | 0,20 | 5,04 |
| 2 | Ocupar Temporales S.A. | 1 | 1 | 23 | Transportes Centro Valle Ltda. | 0,30 | 3,35 |
| 3 | Coral Vision Ltda. Sociedad de Intermediación Aduanera | 0,14 | 7,13 | 24 | Transportes Rodríguez - Gonzalo | 0,17 | 6,06 |
| 4 | Sociedad de Intermediación Aduanera S.A. | 0,12 | 7,8 | 25 | Industrias del Maíz S.A. Corn Products Andina | 0,26 | 3,89 |
| 5 | Adhesivos Internacionales S.A.S. | 0,14 | 6,7 | 26 | Eternit Pacífico S.A. | 0,16 | 6,06 |
| 6 | Agraf Industrial S.A. | 0,31 | 3,16 | 27 | Colombina S.A. | 0,29 | 3,49 |
| 7 | Acción del Cauca S.A. | 1 | 1 | 28 | Laboratorios Recamier Ltda. | 0,14 | 7,38 |
| 8 | Globalog S. A. | 0,31 | 3,14 | 29 | Plásticos Especiales S.A. | 0,14 | 6,94 |
| 9 | Cristar S.A.S. | 0,22 | 4,38 | 30 | Industria de Aluminio India Ltda. | 0,15 | 6,57 |
| 10 | Grupo Empresarial Apparel Solutions Ltda. | 1 | 1 | 31 | Acción S.A. | 1 | 1 |
| 11 | Colombiana del Cauca S.A. | 0,93 | 1,07 | 32 | Agecolda S. A. | 0,25 | 4,07 |
| 12 | Compañía Internacional de Alimentos S. A.S. | 0,49 | 2,02 | 33 | Empresa Andina de Herramientas S. A. S | 0,18 | 5,53 |
| 13 | Genfar S.A. | 0,15 | 6,31 | 34 | Protécnica Ingeniería S.A. | 0,16 | 6,41 |
| 14 | Centro de Mecanizados del Cauca S.A. | 0,1 | 9,25 | 35 | Productos Yupi Limitada | 0,37 | 2,72 |
| 15 | El Dorado Air Cargo S. A. S. | 0,07 | 12,78 | 36 | Vallecilla B Vallecilla M & Cía. S.C.A. Carval De Colombia | 0,12 | 8,06 |
| 16 | Bridgestone Firestone Colombiana S.A.S. | 0,48 | 2,05 | 37 | Carvajal Internacional S. A. | 1 | 1 |
| 17 | Ups Scs Colombia Ltda. | 0,49 | 2,02 | 38 | Ingenio del Cauca S A | 0,33 | 3,02 |
| 18 | Carvajal S.A. | 3,00E-02 | 29,08 | 39 | Ingenio Providencia S.A. | 0,59 | 1,70 |
| 19 | Laboratorios Baxter S.A. | 0,13 | 7,52 | 40 | Harinera del Valle S.A. | 0,11 | 9,33 |
| 20 | Cartón de Colombia S.A. | 0,21 | 4,65 | 41 | Ingenio Pichichi S.A. | 0,36 | 2,80 |
| 21 | Colgate Palmolive Compañía | 0,1 | 9,70 | 42 | Riopaila Industrial S.A. | 0,26 | 3,86 |
To the results of efficiency of the model used there was a classification in efficient enterprises (efficiency = 1 and zero slack), companies with high efficiency (1 > efficiency =0.80), companies with average efficiency (0.80 > efficiency =0.70) and companies with low efficiency (efficiency <0.70).
According to this classification Table 4 was built.

For each inefficient Company, DEA suggests the combination of inputs and outputs that are necessary to achieve efficiency (projections of the inefficient DMU on the efficient frontier), in the case of the output variables, for an efficient DMU, the magnitude of these should improve (increase). The magnitude of the increase in the magnitude of each output variable for each company is presented in Table 5.
| No. | DMU | Score | Increase In Operating Revenues |
|---|---|---|---|
| 1 | Comestibles Aldor S.A. | 0,22 | 654126542 |
| 3 | Coral Visión Ltda. Sociedad de Intermediación Aduanera | 0,14 | 21785393 |
| 4 | Sociedad de Intermediación Aduanera S.A. | 0,13 | 13421919 |
| 5 | Adhesivos Internacionales S.A.S. | 0,15 | 78603562 |
| 6 | Agraf Industrial S.A. | 0,32 | 59893312 |
| 8 | Globalog S.A. | 0,32 | 46393477 |
| 9 | Cristar S.A.S. | 0,23 | 603355680 |
| 11 | Colombina del Cauca S.A. | 0,93 | 216061055 |
| 12 | Compañía Internacional de Alimentos S.A.S. | 0,50 | 171447569 |
| 13 | Genfar S.A. | 0,16 | 1378975007 |
| 14 | Centro de Mecanizados del Cauca S.A. | 0,11 | 226521870 |
| 15 | El Dorado Air Cargo S. A. S. | 0,08 | 15298622 |
| 16 | Bridgestone Firestone Colombiana S.A.S. | 0,49 | 227348114 |
| 17 | Ups Scs Colombia Ltda. | 0,50 | 129225103 |
| 18 | Carvajal S.A. | 0,03 | 2811178790 |
| 19 | Laboratorios Baxter S.A. | 0,13 | 4116087338 |
| 20 | Cartón de Colombia S.A. | 0,22 | 3462087225 |
| 21 | Colgate Palmolive Compañía | 0,10 | 2886451510 |
| 22 | Cadbury Adams Colombia S.A. | 0,20 | 1508569097 |
| 23 | Transportes Centro Valle Ltda. | 0,30 | 44520541 |
| 24 | Transportes Rodríguez - Gonzalo | 0,17 | 25481239 |
| 25 | Industrias del Maíz S.A. Corn Products Andina | 0,26 | 2000985700 |
| 26 | Eternit Pacífico S.A. | 0,16 | 339555124 |
| 27 | Colombina S.A. | 0,29 | 2376524462 |
| 28 | Laboratorios Recamier Ltda. | 0,14 | 693032147 |
| 29 | Plásticos Especiales S.A. | 0,14 | 580741997 |
| 30 | Industria de Aluminio India Ltda. | 0,15 | 77294489 |
| 32 | Agecolda S.A. | 0,25 | 2834769 |
| 33 | Empresa Andina de Herramientas S.A.S | 0,18 | 208242285 |
| 34 | Protécnica Ingeniería S.A. | 0,16 | 183290419 |
| 35 | Productos Yupi Limitada | 0,37 | 406056345 |
| 36 | Vallecilla B Vallecilla M & Cia S.C.A. Carval De Colombia | 0,12 | 627013051 |
| 38 | Ingenio del Cauca S. A . | 0,33 | 1857019676 |
| 39 | Ingenio Providencia S.A. | 0,59 | 772431596 |
| 40 | Harinera del Valle S.A. | 0,11 | 3371890866 |
| 41 | Ingenio Pichichi S.A. | 0,36 | 512953015 |
| 42 | Riopaila Industrial S.A. | 0,26 | 2608223207 |
It was considered only the outputs variables taking into account that the CCR - O model was used, and this model determines which outputs would be the ideal to optimize the efficiency of the DMU.
The company Grupo Empresarial Apparel Solutions LTDA. was used 30 times as a reference parameter for assessing other organizations. Followed by the companies Ocupar Temporales S.A. with 26, Acción del Cauca S.A. with 6, Carvajal Internacional S.A. with 2 and Acción S. A. with 1 organization as pair evaluators, for other companies under research.
4. Conclusion
In this research work, the efficiency of the certified companies with BASC in Cali, Colombia were assessed. For this it was discussed how efficient organizations are when it is considered as entries the total inventory, current assets, property plant and equipment and the resources of suppliers and how this is reflected in the operating revenues of the organizations under study The foregoing, using the model that assumes constant returns to scale (CRS) with a focus on outputs (CCR - O), proving efficient 5 of the 42 companies surveyed in the study.
It was able to analyze that in spite of the fact that there is a group of companies that presented an optimal efficiency, there is also a group of inefficient companies that require improving its internal processes in order to be able increase its operating revenues. The following values are the projections generated by the model of DEA CCR-O used to achieve the efficiency of the inefficient organizations: Comestibles Aldor S.A. (654.126.541), Coral Visión Ltda. Sociedad de Intermediación Aduanera (21.785.393), Sociedad de Intermediación Aduanera S.A. (13.421.918), Adhesivos Internacionales S.A.S. (78.603.561), Agraf Industrial S.A. (59.893.311), Globalog S.A. (46.393.476), Cristar S.A.S. (603.355.679), Compañia Internacional de Alimentos SAS. (171.447.568), Genfar S.A. (138.975.006), Centro de Mecanizados del Cauca S.A. (226.521.869), El Dorado Air Cargo S.A.S. (15.298.622), Bridgestone Firestone Colombiana S.A.S. (227.348.113), Ups Scs Colombia Ltda. (129.225.103), Carvajal S.A. (2.811.178.790), Laboratorios Baxter S.A. (4.116.087.337), Cartón de Colombia S.A. (3.462.087.225), Colgate Palmolive Compañía (2.886.451.510), Cadbury Adams Colombia S.A. (I.508.569.096), Transportes Centro Valle Ltda (44.520.540), Transportes Rodríguez - Gonzalo (25.481.238), Industrias del Maíz S.A. Corn Products Andina (2.000.985.699), Eternit Pacifico S.A. (339.555.124), Colombina S.A. (2.376.524.461), Laboratorios Recamier Ltda. (693.032.147), Plásticos. Especiales S.A. (580.741.996), Industria de Aluminio India Ltda. (77.294.488), Agecolda S.A. (2.834.768), Empresa Andina de Herramientas S.A.S. (208.242.285), Protécnica Ingeniería S.A. (183.290.419), Productos Yupi Limitada (406.056.345), Vallecilla B Vallecilla M & Cia S.C.A. Carval De Colombia (627.0I3.050), Ingenio del Cauca S.A. (1.857.0I9.675), Ingenio Providencia S.A. (772.431.596), Harinera del Valle S.A. (3.371.890.866), Ingenio Pichichí S.A. (512.953.015), Riopaila Industrial S.A. (2.608.223.207). From the research work carried out it can also be concluded that the average of the BASC certified organizations in Cali - Colombia was 33.95 %. From the 42 companies under investigation only five presented an optimal efficiency. It can be inferred that in spite of the fact that some companies certified in BASC of the city of Cali presented a financial efficiency of 1, it is not significant for the whole sector. Also, with the input and output variables analyzed through the DEA model, it can be concluded that the BASC certification does not generate a causality for the improvement of the efficiency for companies subject to this research by the foregoing there is an invitation to the researchers to continue analyzing the efficiency of the BASC certified companies, selecting and evaluating other variables of input and output that can be used to analyze the correlation and causality of the standardization processes used with the operational and financial efficiency, in order to facilitate the decision making process to achieve productivity and competitiveness of the organizations of the sector that implement this type of international standards.
References
1. AL-FARAJ, Taqi N. Vendor selection by means of data envelopment analysis. in: Bus. Rev. Cambridge. 2006.Vol. 6, no. 1, p. 70-77.
2. ANDREJIC, Milan; BOJOVIC, Nebojsa and KILIBARDA, Milorad. Benchmarking distribution centres using Principal Component Analysis and Data Envelopment Analysis: A case study of Serbia. In: Expert Systems with Applications. August 2013. Vol. 40, no. 10, p. 3926-3933. DOI 10.1016/j.eswa.2012.12.085.
3. AZADEH, A. and ALEM, S. M. A Flexible Deterministic, Stochastic and Fuzzy Data Envelopment Analysis Approach for Supply Chain Risk and Vendor Selection Problem: Simulation Analysis. In: Expert Syst. Appl. December 2010. Vol. 37, no. 12, p. 7438-7448. DOI 10.1016/j.eswa.2010.04.022.
4. CAILLAUX, Márcio Arzua; SANT'ANNA, Annibal Parracho;MEZA, Lidia Angulo and MELLO, João Carlos Correia Baptista Soares de. Container logistics in Mercosur: Choice of a transhipment port using the ordinal Copeland method, data envelopment analysis and probabilistic composition. In: Maritime Economics & Logistics. December 2011. Vol. 13, no. 4, p. 355-370. DOI 10.1057/mel.2011.20.
5. ÇELEBI, Dilay and BAYRAKTAR, Demet. An Integrated Neural Network and Data Envelopment Analysis for Supplier Evaluation Under Incomplete Information. In: Expert Syst. Appl. November 2008.Vol. 35, no. 4, p. 1698-1710. DOI 10.1016/j.eswa.2007.08.107.
6. CULLINANE, Kevin and WANG, Teng-Fei. Chapter 23 Data Envelopment Analysis (DEA) and Improving Container Port Efficiency. In: Research in Transportation Economics. 2006. Vol. 17, no. 1, p. 517-566. DOI: 10.1016/S0739-8859(06)17023-7.
7. FARZIPOOR SAEN, Reza. A decision model for ranking suppliers in the presence of cardinal and ordinal data, weight restrictions, and nondiscretionary factors. In: Annals of Operations Research. 1 November 2009. Vol. 172, no. 1, p. 177-192. DOI 10.1007/s10479-009-0556-x.
8. HA, Hun-Koo, YOSHIDA Yuichiro and ZHANG, Anming. Comparative analysis of efficiency for major Northeast Asia airports. In: Transportation Journal. 2010. P. 9-23. DOI 10.2307/40904911.
9. HAAS, David A, MURPHY, Frederic H and LANCIONI, Richard A. Managing reverse logistics channels with data envelopment analysis. In: Transportation Journal. 2003. P. 59-69.
10. ICHINOSE, Daisuke, YAMAMOTO, Masashi and YOSHIDA, Yuichiro. Productive efficiency of public and private solid waste logistics and its implications for waste management policy. In: IATSS Research. 2013. Vol. 36, no. 2, p. 98-105. DOI 10.1016/j.iatssr.2013.01.002.
11. JANVIER-JAMES, Assey Mbang and DIDIER, Evameye. A Benchmarking Framework for Supply Chain Collaboration: A Data Envelopment Analysis (DEA) application. In: International Journal of Business Administration. 2011. Vol. 2, no. 3, p. 19. DOI 10.5430/ijba.v2n3p19.
12. JONG JOO, Seong and MIN, Hokey. Benchmarking the operational efficiency of third party logistics providers using data envelopment analysis. In: Supply Chain Management: An International Journal. 1 May 2006. Vol. 11, no. 3, p. 259-265. DOI 10.1108/13598540610662167.
13. KOÇAK, Habip. Efficiency examination of Turkish airport with DEA approach. In: International Business Research. 2011 .Vol. 4, no. 2, p. 204. http://dx.doi.org/10.5539/ibr.v4n2p204.
14. KONTIS, Alexios-Patapios and VRYSAGOTIS, Vassilios. Supplier selection problem: A literature review of Multi-criteria approaches based on DEA. In: Advances in management and Applied Economics. 2011. Vol. 1, no. 2, p. 207.
15. LIN, L. C. and HONG, C. H. Operational performance evaluation of international major airports: An application of data envelopment analysis. In: Journal of Air Transport Management. November 2006. Vol. 12, no. 6, p. 342-351. DOI 10.1016/j.jairtraman.2006.08.002.
16. LOZANO, Sebastián and GUTIÉRREZ, Ester. Efficiency Analysis and Target Setting of Spanish Airports. In: Networks and Spatial Economics. March 2011. Vol. 11, no. 1, p. 139-157. DOI 10.1007/S11067-008-9096-1.
17. LU, Chung-Cheng and YU, Vincent F. Data envelopment analysis for evaluating the efficiency of genetic algorithms on solving the vehicle routing problem with soft time windows. In: Computers & Industrial Engineering. September 2012. Vol. 63, no. 2, p. 520-529. DOI 10.1016/j.cie.2012.04.005.
18. MIN, Hokey and JOO, Seong-Jong. Benchmarking third-party logistics providers using data envelopment analysis: an update. In: Benchmarking: an international journal. 2009. Vol. 16, no. 5, p. 572-587. https://doi.org/10.1108/14635770910987814.
19. MIRHEDAYATIAN, Seyed Mostafa, AZADI, Majid and SAEN, Reza Farzipoor. A novel network data envelopment analysis model for evaluating green supply chain management. In: International Journal of Production Economics. 2014. Vol. 147, p. 544-554. DOI http://dx.doi.org/10.1016/j.ijpe.2013.02.009.
20. MOHAMMADY GARFAMY, Reza. A data envelopment analysis approach based on total cost of ownership for supplier selection. In: Journal of Enterprise Information Management. November 2006. Vol.19, no. 6, p. 662-678. DOI 10.1108/17410390610708526.
21. MOROLLÓN, Fernando Rubiera; MORÁN, María del Pilar Quindós y CUERVO, María Rosalía Vicente. La eficiencia de las actividades de I+ D desde el punto de vista de las patentes registradas en los países de la Unión Europea. In: Estudios de economía aplicada. 2005.Vol. 23, no. 3, p. 607-620.
22. NARASIMHAN, Ram; TALLURI, Srinivas and MENDEZ, David. Supplier Evaluation and Rationalization via Data Envelopment Analysis: An Empirical Examination. In: Journal of Supply Chain Management. Vol. 37, no. 2, p. 28-37. DOI 10.1111/j.1745-493X.2001.tb00103.x.
23. NIJKAMP Peter and SUZUKI, Soushi. A Generalized Goals-achievement Model in Data Envelopment Analysis: an Application to Efficiency Improvement in Local Government Finance in Japan. In: Spatial Economic Analysis. September 2009. Vol. 4, no. 3, p. 249-274. DOI 10.1080/17421770903114687.
24. PENG WONG, Wai and YEW WONG, Kuan. Supply chain performance measurement system using DEA modeling. In: Industrial Management & Data Systems. 3 April 2007. Vol. 107, no. 3, p. 361-381. DOI 10.1108/02635570710734271.
25. SETH, Nitin; VRAT, Prem and DESHMUKH, S.g. A conceptual model for quality of service in the supply chain. In: International Journal of Physical Distribution & Logistics Management. August 2006. Vol. 36, no. 7, p. 547-575. DOI 10.1108/09600030610684971.
26. SHOROUYEHZAD, Hadi; LOTFI, Farhad Hoseinzadeh; ARYANEZHAD, Mirbahador and DABESTANI, Reza. Efficiency and Ranking Measurement of Vendors by Data Envelopment Analysis. In: International Business Research. February 2011. Vol. 4, no. 2, p. 137. DOI 10.5539/ibr.v4n2p137.
27. Sistema de Información y Reporte Empresarial - Superintendencia de Sociedades, [no date]. [online]. [Viewed 3 July 2016]. Available from:http://sirem.supersociedades.gov.co/Sirem2/index.jsp.
28. TONANONT, Ake; YIMSIRI, Sanya; JITPITAKLERT, Weerawat and ROGERS, KJ. Performance evaluation in reverse logistics with data envelopment analysis. In: IIE Annual Conference. Proceedings. Institute of Industrial and Systems Engineers (IISE). 2008. p. 764.
29. TONANONT, Ake; YIMSIRI, Sanya and KJ ROGERS PHD, PE, 2009. Reverse logistics optimization with data envelopment analysis. In: IIE Annual Conference. Proceedings. Institute of Industrial and Systems Engineers (IISE). 2009. p. 1268.
30. ZHOU, Gengui; MIN, Hokey; XU, Chao and CAO, Zhenyu. Evaluating the comparative efficiency of Chinese third-party logistics providers using data envelopment analysis. In: International Journal of Physical Distribution & Logistics Management. 16 May 2008. Vol. 38, no. 4, p.262-279. DOI 10.1108/09600030810875373.
31. ZIMMERMAN, Randal J.; BOWLIN, William F. and MAURER, Ruth A. Benchmarking the Efficiency of Government Warehouse Operations: A Data Envelopment Analysis Approach. In: The Journal of Cost Analysis & Management. January 2001. Vol. 3, no. 1, p. 19-40. DOI 10.1080/15411656.2001.10462410.
Notes