Economía
La tasa natural de desempleo en Colombia 2001-2018: evolución y estimaciones *
The natural rate of unemployment in Colombia 2001-2018: evolution and estimates
A taxa natural de desemprego na Colômbia 2001-2018: evolução e estimativas
La tasa natural de desempleo en Colombia 2001-2018: evolución y estimaciones *
Entramado, vol. 16, núm. 1, pp. 76-93, 2020
Universidad Libre de Cali
Recepción: 24 Septiembre 2019
Aprobación: 20 Diciembre 2019
RESUMEN:
El objetivo de este trabajo es realizar la estimación de la tasa natural de desempleo para Colombia y contrastar los resultados con las estimaciones que se han realizado previamente. Para lograr este propósito se estima la curva de Phillips ampliada por expectativas, con datos trimestrales para el período 200I-20I8, utilizando el método de mínimos cuadrados ordinarios y el método generalizado de los momentos. Los resultados evidencian la no existencia de una curva de Philips en Colombia para el período de estudio y permiten calcular una tasa natural de desempleo del 6,23%. CLASIFICACIÓN JEL J21, J64, E24
PALABRAS CLAVE: Desempleo, inflación, mercado laboral, curva de Phillips, tasa natural de desempleo.
ABSTRACT:
The purpose of this work is to estimate the natural rate of unemployment for Colombia and compare the results with the estimates that have been previously made. An Expectations-Augmented Phillips Curve is estimated, with quarterly data for the period 200I-20I8, using the method of Ordinary Least Squares and the Generalized Method of Moments. The results show that there is no Philips curve in Colombia for the period analyzed, and a natural rate of unemployment of 6.23%. JEL CLASSIFICATION J21, J64, E24
KEYWORDS: Unemployment, inflation, labor market, Phillips curve, natural rate of unemployment.
RESUMO:
O objetivo deste trabalho é estimar a taxa natural de desemprego para a Colômbia e comparar os resultados com as estimativas que foram feitas anteriormente. Para alcançar este propósito, a curva de Phillips é estimada por expectativa, com dados trimestrais para o período 200I-20I8, usando o método dos mínimos quadrados ordinários e o método generalizado dos momentos. Os resultados mostram que não há curva de Phillips na Colômbia para o período em estudo e permitem o cálculo de uma taxa natural de desemprego de 6,23%. CLASSIFICAÇÃO JEL J21, J64, E24
PALAVRAS-CHAVE: Desemprego, inflação, mercado de trabalho, curva de Phillips, taxa natural de desemprego.
1. Introducción
Comparando la dinámica de la tasa de desempleo en Colombia con algunos países de América Latina y observando el comportamiento de los dos principales agregados del mercado laboral colombiano, ocupados y desocupados, se pueden evidenciar dos fenómenos que caracterizan este mercado en nuestro país: 1) los altos y persistentes niveles de desempleo, y 2) la insuficiencia en la generación de nuevos puestos de trabajo.
En la Figura 1 se presenta la comparación de las tasas de desempleo de América Latina y sus principales cinco economías (Argentina, Brasil, Chile, Colombia y México) en el período 2001-2018, Colombia registró la tasa promedio de desempleo (11.1%) más alta de todas estas economías, superando el promedio de América Latina por más de 3.6 puntos porcentuales y a Argentina, que es la segunda economía con más altos niveles de desempleo (10.1% promedio) entre las cinco incluidas, con cerca de un punto porcentual.

De acuerdo con la OIT (2013) esta primera característica del mercado de trabajo colombiano se explica por los problemas estructurales, al señalar que "esta persistencia de un nivel de desempleo alto indica la existencia de factores estructurales que impiden el buen funcionamiento de los mecanismos del mercado laboral" (p. 7). Entre estos factores estructurales se pueden incluir un mayor crecimiento de la oferta laboral frente a la demanda y una formación para el trabajo que no satisface las necesidades de los demandantes de mano de obra, en el caso de este último, no existe compatibilidad entre las competencias desarrolladas por la mano de obra y los requerimientos del mercado de trabajo, generando un desequilibrio que impide la ubicación laboral de los oferentes de trabajo, e incide, por tanto, en los altos niveles de desempleo del país y se refleja en más altos índices de insatisfacción con el trabajo (subempleo).
En la Figura 2 se presenta el número de personas ocupadas y desocupadas por trimestre en el período 2001-2018, esta información permite evidenciar que durante todo el período se han generado nuevos puestos de trabajo, con algunas excepciones como los años 2002 y 2006, donde se perdieron cerca de 589 mil y 1.1 millones de puestos de trabajo, respectivamente, pero en total, en el período 2001-2018, se crearon más de 7 millones de nuevos puestos de trabajo, lo que implicó una tasa de crecimiento promedio anual de 2.15%, es decir, cada año se crearon cerca de 400 mil nuevos puestos de trabajo, que si se mira en forma aislada puede ser considerado como un excelente crecimiento de la generación de empleo. Sin embargo, cuando se mira el número de desempleados, el optimismo que se generó con el número de ocupados se puede perder, si bien el número de desempleados en forma general se redujo al pasar de más de 2.9 millones a cerca de 2.6 millones, lo que representó una reducción promedio anual cercana al 0.55%, es decir, que cada año el número de desempleados se redujo en promedio solo en cerca de 20 mil personas, con el agravante de que a partir del año 2015 nuevamente se viene incrementado el número de personas desocupadas. En síntesis, si cada año en promedio se crearon 400 mil nuevos puestos de trabajo y el grupo de desempleados solo se redujo en 20 mil, quiere decir que cada año se incorporaron cerca de 380 mil nuevas persona al mercado de trabajo, lo que hace que la dinámica de crecimiento del empleo sea insuficiente para absorber toda la oferta de trabajo que se genera en nuestro país y condena a muchos de los aspirantes a un trabajo a esperar grandes períodos de tiempo o a nunca encontrar el empleo que buscan.

Según la CEPAL y OIT (2015), en un contexto en el cual se incrementa el empleo, pero los niveles de desempleo no se reducen e incluso en algunas coyunturas crece más rápido que el empleo, es un reflejo de las dificultades estructurales del mercado de trabajo, que no está en capacidad de absorber la cantidad de mano de obra que se incorpora a este mercado. En este contexto revisar el comportamiento de la tasa natural de desempleo (TND) para la economía colombiana toma una gran relevancia, dado que este indicador permite identificar el comportamiento de la tasa de desempleo estructural o de largo plazo.
En la literatura sobre la tasa natural de desempleo en Colombia, se evidencia que está ha presentado históricamente altos niveles comparados con otros países de América Latina. Siguiendo a Guataquí (2000), quien hace un recuento de diferentes estudios donde se estima la tasa natural de desempleo, a finales de la década de 1990 esta oscilaba entre el 6.1% y el 12%, mientras que para el para el período 1990-2007, según las estimaciones de Fedesarrollo (2013), esta se ubicó en 10,7%, nivel al que se asemeja la tasa nacional de desempleo.
La TND ha sido objeto de análisis de numerosos trabajos, entre los que se pueden destacar: Ball y Mankiw (2002), Triana-Machado (2015), Henao y Rojas (1998), Nuñez y Bernal (1998), Clavijo (1994), Farné, Vivas y Yepes (1995), De Oliveira, Savino y Boldrine (2016), Palma y Ferreira (2016), Heimberger, Kapeller y Schütz (2017), entre otros; sin embargo, su origen se remonta a Milton Friedman (1968, p. 8) quien la define como:
La tasa natural de desempleo, que en otras palabras, es el nivel que eventualmente resultaría del sistema Walsariano de ecuaciones de equilibrio general, siempre y cuando en él estén insertos los rasgos estructurales que caracterizan a los mercados laborales y de bienes, incluyendo sus imperfecciones, las variabilidades estocásticas de la demandas y ofertas, el costo de reunir datos de vacantes laborales, los costos de movilidad, y así sucesivamente.
Sobre su significado no existe consenso, algunos autores la definen como la tasa media de desempleo (Blanchard y Fisher (1989), citado en Guataqui (2000), la tasa de desempleo friccional (Lilien (1982), la tasa de desempleo compuesta por el desempleo estructural y friccional (Aysun, Bouvet y Hofler, 2014), entre otras; sin embargo, se puede decir que todas estas definiciones hacen referencia a la tasa de desempleo correspondiente al equilibrio en el mercado laboral e influenciada por factores estructurales.
Guataqui (2000) realiza un análisis de la TND en Colombia, en este estudio el autor señala la importancia de definir y examinar los fundamentos teóricos de la TND, así también como las formas de estimarla, al respecto Guataquí (2000, p. 5) sugiere que:
La polémica sobre la Tasa Natural de Desempleo se ha mantenido a lo largo de toda la existencia del concepto, hasta el punto de que hoy, 30 años después, no suele hablarse de la TND, sino sobre la hipótesis de la TND. Sin embargo, cabe anotar que la mayor parte de la polémica no ha estado enfocada a la definición teórica, sino al escaso sustento de evidencia empírica.
Al definir la TND, surgen otras cuestiones a saber: por un lado la forma en la que debe estimarse al ser una variable inobservable, y por otro lado la interpretación que se le puede dar y su diferencia con la NAIRU (Non Accelarating Inflation Rate of Unemployment, por sus siglas en inglés). Sobre la primera cuestión, los métodos más conocidos para estimar la TND son la estimación de la Curva de Phillips mediante Mínimos Cuadrados Ordinarios; métodos de series de tiempo (promedios móviles y ponderados); y el uso de filtros entre los cuales de destacan el filtro de Hodrick y Prescott, el filtro de Kalman y ecuaciones de salarios y precios (Mínimos cuadrados en dos etapas). Para el caso de la segunda cuestión, no existe un acuerdo entre la definición de la NAIRU y su diferencia con la TND, por ahora solo se dirá que muchos estudiosos del tema afirman que la NAIRU es considerada una tasa de desempleo consistente con una tasa de inflación estable a lo largo de los próximos doce meses, es decir, que se trata de una tasa de corto o mediano plazo (Arango y Posada, 2006; Stiglitz, 1997), mientras que la TND se asocia con el largo plazo. Para algunos autores, los dos términos se usan indistintamente.
Triana-Machado (2015) tratan la TND y la NAIRU como sinónimos; mientras que autores como, Jacob y Wong (2018) plantean que la NAIRU y la TND son sinónimos en el largo plazo; no obstante, en el corto plazo hay diferencias entre los dos conceptos. La tasa naturales esencialmente un concepto de estado estacionario: es el nivel de desempleo que refleja la estructura del mercado laboral (su composición demográfica, factores institucionales y contractuales, y tecnología). La NAIRU está afectada por los mismos factores estructurales; sin embargo, no es un estado estacionario (en cambio, representa el nivel de desempleo consistente con una inflación estable en el corto a mediano plazo). La NAIRU tiene en cuenta la influencia de los cambios estructurales y otros choques en la economía, y cómo interactúan con las fricciones en los mercados laborales y de productos. A largo plazo, la NAIRU converge a la tasa natural de desempleo una vez que los efectos de los choques que afectaron a la economía se desvanecen.
Algunos estudios relacionados con las estimaciones de la TND son los de Clavijo (1994), donde el autor utiliza una Curva de Phillips para estimar la TND durante 19751989 en Colombia y obtiene una TND de 8,2%; el trabajo de Núñez y Bernal (1998) quienes realizan un análisis de la TND, el desempleo cíclico y estructural y la duración del desempleo durante el período 1976-1997, los autores hallan una TND de 11,5% utilizando la estimación de una curva de Phillips ampliada por expectativas; el estudio de Triana-Machado (2015) calculan la TND para Colombia durante el período 2003-2010, mediante la estimación de una curva de Phillips ampliada por expectativas y obtienen una TND de 8,7%.
Otros trabajos en el ámbito internacional como los de Palma y Ferreira (2016), Da Silva Filho (2007), De Oliveira et al. (2016), Gómez y Guerrero (2008), Rocha (2003) se han elaborado para Brasil, Chile, Venezuela y México, utilizando iguales métodos, salvo por el trabajo de Gómez y Guerrero (2008) donde se calcula la TND para México mediante la Ley de Okun. Trabajos como los de Heimberger et al. (2017), Mohebi y Komijani (2018), Gerlach, Lydon, y Stuart (2015), Elkayam y Eilek (2016)Kajuth (2010), investigaciones más recientes, se han elaborado para Europa, Estados Unidos, Japón y China, Irlanda, Israel y Alemania, respectivamente.
Bajo este contexto, la importancia de la TND en Colombia marcó punto de partida en la década de 1990, con la divulgación de numerosas investigaciones dirigidas a explicar el fenómeno y sugerir estimaciones y mediciones del mismo. No es casualidad que la mayor parte de los estudios se hayan realizado durante este período y pocos en la década del 2000 y posteriores, pues la década de 1990 estuvo marcada por una coyuntura económica donde se resalta la alta tasa de desempleo que alcanzó niveles de más del 20%. Como se ha mencionado previamente, la literatura en Colombia sobre el tema es extensa; no obstante, se han realizado críticas a estos estudios debido a la inexistencia de un consenso en el concepto y los métodos para las estimaciones.
Bajo estas consideraciones, el objetivo de este trabajo es calcular la TND para Colombia durante el período 2001-2018 y comparar los resultados de este estudio con los resultados de los estudios que lo preceden. Para lograr este objetivo se recurre la revisión de los estudios anteriores y para la estimación se emplean datos trimestrales de desempleo provenientes del DANE para el período mencionado.
El trabajo se estructura de la siguiente forma: la primera sección es esta introducción, la segunda sección presenta la revisión de literatura, la tercera sección expone las metodologías más empleadas para calcular la TND, la cuarta se presentan los hechos estilizados, la quinta la metodología y los resultados, y finalmente, en la sexta sección se presentan las conclusiones y recomendaciones.
2. Revisión de literatura
El concepto de TND ha sido objeto de amplios debates a lo largo de su construcción. Sin embargo, no se ha logrado generar un consenso sobre su significado y dada esta característica ambigua, el concepto ha sido objeto de diferentes interpretaciones y críticas en la literatura.
Según señala Guataquí (2000) el concepto, partiendo de la interpretación de Milton Friedman (1968), se ha asimilado como la tasa media de desempleo, el nivel de desempleo existente en pleno empleo, tasa de desempleo eficiente, la tasa de desempleo más baja que se ha registrado o tasa de desempleo friccional, entre otras definiciones.
Tal como el concepto, los métodos para la estimación de la TND no son estándares, no existe un consenso sobre la forma en la que se debe calcular al ser una variable no observable y con múltiples determinantes.
Diversos son los estudios que se han elaborado sobre la TND en los ámbitos nacional e internacional, a continuación, se examinarán algunas aplicaciones realizadas en Colombia y algunos estudios realizados en otros países.
2.1. Algunos estudios para Colombia
Triana-Machado (2015) calculó la TND de Colombia para el período 2003-2010, a través de la estimación, por Mínimos Cuadrados Ordinarios (MCO), de la Curva de Phillips Ampliada con Expectativas. Usando datos trimestrales de inflación, desempleo y TGP, estos últimos dos indicadores los obtuvo de la encuesta de hogares del DANE. El modelo estimado incluyó como regresoras la tasa de variación del desempleo y de la inflación con determinados rezagos, y la Tasa Global de Participación en términos logarítmicos, como variable dependiente se usó el cambio en la inflación. Como resultado se obtuvo una TND de 8,7% y los autores concluyeron que para lograr reducir el desempleo por debajo de este porcentaje sin acelerar la inflación era necesario la creación de políticas estructurales dirigidas al sector educativo y la cualificación de la fuerza laboral.
Henao y Rojas (1998) estiman la TND para siete principales ciudades colombianas en el período comprendido entre 1982 y 1996. Para alcanzar el objetivo propuesto hicieron uso de tres métodos: series de tiempo, modelos de formación de salarios y precios y, finalmente, la estimación de una curva de Phillips Ampliada por Expectativas. Los resultados muestran que para el período analizado se obtuvo una TND que esta entre 10,4% y 10,6%. Se hallaron diferencias entre las TND por ciudades, correspondiendo la menor tasa a la ciudad de Bogotá con 9% y la mayor tasa a Medellín con 13,3%. A raíz de los resultados los autores sugieren que para lograr reducir el desempleo a largo plazo se deben remover deficiencias estructurales del sistema educativo colombiano (cobertura, calidad y pertinencia), lograr una mayor eficiencia de los sistemas de información de intermediación laboral y alcanzar una mayor flexibilidad del mercado laboral, finalmente reflexionan sobre la relevancia de tener en cuenta las relaciones microeconómicas y macro-económicas para lograr la reducción simultánea de inflación y desempleo.
Por otra parte, el estudio de Nuñez y Bernal (1998) realiza un análisis de la tasa natural de desempleo, el desempleo cíclico y estructural y la duración del desempleo durante el período 1976-1997. Para la estimación de la TND los autores utilizan una curva de Phillips sencilla y posteriormente aplican el filtro Hodrick y Prescott con el ánimo se suavizar la serie obtenida. Con la estimación de la curva de Phillips se obtiene una TND de 11,5% correspondiendo un 6,5% a factores de tipo estructural y 5% a desempleo friccional. Finalmente, se sugieren políticas encaminadas a reducir el desempleo a corto y largo plazo. En el largo plazo se proponen medidas que fortalezcan la formación de capital humano, la creación de bolsas de empleo y el fomento del trabajo temporal y parcial en los grupos más vulnerables, mientras que en el corto plazo la facilidad de acceso a crédito y la inversión pública en sectores intensivos en mano de obra se consideran como políticas apropiadas para disminuir el desempleo.
La investigación de Clavijo (1994), utiliza una Curva de Phillips que incluye como variables desempleo, precios y productividad laboral, de la curva de Phillips se despeja un valor que expresa la diferencia entre la tasa de desempleo de mercado y la TND. Los resultados obtenidos, aplicando el método de Minimos Cuadrados Ordinarios, revelan que para el período 1975-1989 la TND es de 8,2%. Cabe advertir que el trabajo de Clavijo (1994) ha sido objeto de críticas por cuanto se hallan problemas de autocorrelación serial en la estimación de los parámetros (Guataqui, 2000).
En el estudio de Tamayo (2008) se calcula la TND para Colombia durante el período 1984-2006. El autor hace uso del modelo de negociación salarial propuesto por Blanchard (1991) y el filtro de Kalman para estimar un sistema de ecuaciones para la TND y otras variables como los precios y los salarios. De los cálculos hallados se obtiene que la TND experimentó un decrecimiento durante el período 1984-1994 y aumentó desde entonces hasta comienzos del año 2000, para el período analizado la TND se encontraba en los rangos 7,3% y 12,4%. Finalmente, el trabajo hace un aporte significativo al identificar que variables son determinantes en la TND, resaltando la participación joven en el mercado laboral (características demográficas del mercado laboral colombiano) y los costos laborales no salariales; el papel que juega el salario mínimo en la determinación de la tasa resultó ser poco significativo.
Arango y Posada (2006) por su parte, utilizan el enfoque de cointegración de Johansen para estimar el componente permanente de la tasa de desempleo en Colombia durante 1984-2004. Como resultado se obtuvo un componente estimado de largo plazo de 13,9%. En el estudio de Fuentes (2008), se estimó una Curva de Phillips Ampliada por Expectativas con shocks de oferta, donde se incluye el índice de producción industrial como proxy de los últimos; mediante una regresión por MCO y aplicando el filtro de Kalman, el autor estima que la tasa natural de desempleo promedio en el período es de 11,19%.
Un último trabajo para el caso colombiano es del de Farné et al. (1995). Usando series trimestrales del período 19741994, los autores estiman una Curva de Phillips Ampliada por Expectativas y obtienen una TND en un rango de 6,2% y 7,2% para las cuatro principales ciudades del país.
En la Tabla 1 se presenta una síntesis de los estudios realizados en Colombia para estimar la TND, las principales metodologías utilizadas, el período para el cual se aplicó el estudio y los resultados más relevantes. Como se puede observar, existen distintas aplicaciones en Colombia sobre la TND, y un punto transversal a los trabajos analizados es el uso de la Curva de Phillips Ampliada por Expectativas, en su especificación básica o bien incluyendo shocks de oferta. Entre los métodos y técnicas econométricas usadas se destacan MCO, el Filtro de Kalman y el filtro de Hodrick Prescott. A partir de la información contenida en esta Tabla, es posible establecer una línea de tiempo para analizar la evolución de las diferentes estimaciones realizadas.

La Figura 3 proporciona un panorama para explorar la dinámica de la TND desde el año 1976 hasta 2010. Se puede ver como la TND registró su punto mínimo en el período 1974-1994 con 6,2% y su máximo en el período 1984-2004 con 13,9%. En promedio, la tasa se mantuvo en 9,79% y experimentó una tendencia creciente hasta el período 19842004, a partir de allí se observa una tendencia decreciente hasta la última estimación realizada en el año 2010.

2.2. Evidencia internacional
Algunos trabajos en el ámbito internacional son el de Da Silva Filho (2007), Gómez y Guerrero (2008), Groenewold y Hagger (2003), Rodríguez (1995), Cuellar, Martín y Moral (2019), Jacob y Wong (2018), Grant (2002), Tüzemen (2019), Tüzemen (2019), Claar (2005), Apergis (2005) y Miller (1987).
El estudio de Da Silva Filho (2007) calcula la tasa natural de desempleo para Colombia, Chile, Brasil y Venezuela en el período 1986-1 2007-1. Para cada país los autores estiman una curva de Phillips y como resultados se tiene que para Colombia la TND hallada fue de 11,9%; para Chile entre 7,4% y 8,3%; para Brasil entre 7,4% y 8,5%, y para Venezuela entre 10% y 14%.
Por otra parte, resalta el trabajo de Gómez y Guerrero (2008) al utilizar un método poco explorado en la estimación de la TND. Con el uso de datos trimestrales del PIB, los autores aplican la Ley de Okun y técnicas de promedios móviles ponderados y simples para calcular el PIB potencial y la TND en el período 2000-2007 para México. Finalmente, la TND por promedios móviles simples se ubicó entre 1,26% y 5,23%, y por promedios móviles ponderados se ubicó en el rango de 1,30% y 5,28%. Entre las principales conclusiones se tiene que a largo plazo es necesario la aplicación de políticas estructurales que contribuyan a minimizar la dinámica de la TND. A corto plazo es necesario el uso de políticas monetarias y fiscales para controlar la TND y nivelarla con el promedio que se debe presentar en el lapso de un año.
Groenewold y Hagger (2003) estiman la tasa natural de desempleo para las regiones de Nueva Gales del Sur, Victoria, Queensland, Australia occidental, Sur de Australia y Tasmania en Australia, utilizando un VAR estructural. Para el estudio se utilizaron datos trimestrales desde 1979 hasta 2000 y los resultados arrojaron que la mayor tasa natural de desempleo se registra en el Estado de Tasmania, con un promedio en los últimos 10 años de 10,1%, en comparación con el 7,7% registrado en Nueva Gales del Sur, 8,8% para Queensland, 8,1% para Victoria, 7,5% para Australia occidental y 9,4% para el sur de Australia. Como conclusión final los autores anotan que debido a que la relación entre las tasas de desempleo natural y real varía ampliamente entre los estados, las medidas de política contra el desempleo deben diseñarse focalizando en cada una de las regiones, dada la divergencia entre sus tasas naturales y las características de los mercados laborales regionales.
Rodríguez (1995), por su parte, analiza la evolución de la tasas natural de desempleo en España y examina los factores estructurales que han condicionado su evolución durante el periodo comprendido entre 1968 y 1993. Para el propósito mencionado se estima un sistema simultáneo de ecuaciones de precios y salarios, una función para la tasa de desempleo y una función de producción, el sistema se estima por Mínimos Cuadrados en Tres Etapas no Lineales. A partir de las ecuaciones estimadas, la autora realiza el cálculo de la tasa natural de desempleo y sus determinantes (aspectos impositivos y seguridad social por parte de las empresas, salario mínimo, productividad laboral, prestaciones por desempleo, cambios demográficos, entre otros factores estructurales), encontrando que durante el período 1969-1977 la TND se ubicó en 3,77%, durante 1978-1985 alcanzó 13,39%, durante 1986-1990 se mantuvo en 18,21% y en el período 1991-1993 se redujo a 14,42%. Un aspecto a resaltar en el estudio es que se calcula la contribución de los factores estructurales en el incremento de la TND, donde se aprecia que el cambio estructural que se produjo con la apertura económica y las cotizaciones empresariales a seguridad social y los impuestos directos, son factores que contribuyeron fuertemente en el aumento de la TND en el país.
En el artículo de Cuellar et al. (2019), se analiza la tasa natural de desempleo y cíclico de la economía española por provincias. Para esto, se descompone la tasa de desempleo observada en sus componentes cíclico y natural, mediante el método de frontera de costo estocástica, para posteriormente indagar sobre la dependencia espacial de estos dos componentes entre las provincias. Partiendo de una ecuación de desempleo, se estima el componente natural de la tasa de desempleo para 50 provincias españolas durante el período 1984-2012. La ecuación de desempleo está en términos de componentes estructurales que incluye: un vector de variables asociadas a la composición industrial del trabajo, vector de variables demográficas, vector de variables para medir el stock de capital humano, y una variable dummy para capturar el efecto en el año 2001, como consecuencia del cambio de metodología en el sistema de estadísticas nacionales para medir la tasa de desempleo. Una vez estimada la ecuación de desempleo, se usan los coeficientes de las variables explicativas para calcular el valor de frontera, identificada por los autores como la Tasa Natural de Desempleo. Los resultados indican que, en promedio, durante todo el período de análisis la TND es de 13.29%, con fuertes disparidades regionales. Las mayores tasas se registraron en las provincias de Cádiz (27,35%), Córdoba (23,45%) y Sevilla (23,30%), mientras que las menores tasas se encontraron en Lleida (4,13%), Soria (5,73%) y Huesa (6,24%).
Jacob y Wong (2018) estiman la NAIRU y la TND para Nueva Zelanda durante el período 1993-2017, con datos trimestrales. Para calcular la NAIRU estiman una curva de Phillips reducida mediante máxima verosimilitud usando el filtro de Kalman y un modelo Neo-Keynesiano. Teniendo en cuenta que para los autores la TND es el valor en estado estacionario de la NAIRU, usan los datos de la estimación de esta, para calcular el componente asociado con la tasa natural. Como principal resultado, obtienen que la TND para la muestra completa es en promedio 5.65%.
Grant (2002) estima una TND variable en el tiempo para la economía estadounidense haciendo uso de la relación entre desempleo y producto, determinada por la Ley de Okun. Para la estimación, se hizo uso del filtro de Kalman, encontrando una TND creciente con un promedio de 5,78% durante el periodo 1961-1998. Como conclusión, el autor señala que la tendencia alcista de la TND refleja la creciente influencia de nuevos participantes en el mercado laboral, especialmente las mujeres, en la era de la posguerra. Otro factor importante son las prestaciones por desempleo, que reducen el costo de estar desempleado y aumenta los incentivos para que los trabajadores permanezcan en el desempleo.
En otra aplicación para Estados Unidos, Tüzemen (2019), estima la tasa natural de desempleo que explica con los cambios en la edad, el género y la composición de las habilidades de la fuerza laboral. Con la ayuda de microdatos tomados de la Current Population Survey, para el período 1994-2017, el autor encuentra que la tasa natural de desempleo ha disminuido en 0.5 puntos porcentuales desde 1994 y se ubicó en 4.5% a finales del año 2017. Finalmente, se realizan proyecciones de la TND, concluyendo que los cambios tecnológicos y demográficos podrían reducir la tasa a 4.4% a finales de 2022.
Al igual que Grant (2002), Claar (2005) aplica el filtro de Kalman para estimar la tasa natural de desempleo en Estados Unidos durante el período 1947-2002. El autor parte de la claridad sobre el concepto de la TND, definida como la tasa de desempleo correspondiente al equilibrio en el mercado laboral. El modelo utiliza una descomposición de la tasa de desempleo en sus componentes cíclico y estructural y evalúa la serie de las TND halladas, para examinar su relación con las variables estructurales del mercado laboral. Los resultados indican una tasa natural de desempleo en el 2002 de 5,71%, inferior a la tasa real de desempleo que se mide en 5,8%, para una diferencia de 0.09%. La serie resultante sugiere que la tasa natural se encuentra en su nivel más bajo en i95i, cuando alcanza aproximadamente el 5.05%; el valor más alto estimado de la tasa natural se encuentra en 1982 y 1983 cuando se eleva a un valor de 5.88%. Finalmente, entre los factores determinantes más significativos de la tasa natural se encuentran las contribuciones de los empleadores a la seguridad social, y las prestaciones por desempleo.
Apergis (2005), estima la TND para Grecia en el período 1983-2000. Se plantea un modelo de inflación con ecuaciones de precios y salarios estimado mediante el método de Variable Instrumental, con datos trimestrales de precios (índice de precios al consumidor), PIB precios constantes de 1990, índice de empleo, índice de precios de bienes importados, oferta de dinero (Mi) y tasa de desempleo. Los resultados sugieren que la tasa natural pasó de 5% en 1983 a 7,2% en el año 2000. El autor señala la desaceleración de la productividad, el aumento de la proporción de trabajadoras con tasas de desempleo más altas y un mayor número de trabajadores extranjeros ilegales, como los factores que contribuyeron fuertemente al aumento de la TND.
Finalmente, en un ejercicio aplicado a la economía canadiense durante el período 1966-1983, Miller (1987), estima la TND para 5 regiones del país (Provincias Atlánticas, Quebec y Ontario, Provincias de Prairie y Columbia Británica). El autor especifica una ecuación de desempleo en función de las desviaciones porcentuales en la producción regional en torno a su valor tendencial, el logaritmo natural del ratio de reposición neta, el logaritmo natural de las tasas combinadas de participación en la fuerza laboral para trabajadores jóvenes y mujeres y el logaritmo natural del salario mínimo relativo. Para calcular la TND el autor hace cero la variable asociada al ciclo de la producción regional, y mantiene los demás coeficientes para hallar los valores ajustados que corresponden a la tasa natural de desempleo. Dado que se presentan problemas de simultaneidad en el modelo, la estimación se realiza mediante el método de Zellner. Los resultados revelan que gran parte del incremento de la tasa de desempleo real está asociada a su componente estructural y no a deficiencias en la demanda agregada (componente cíclico). En general se encontró que la TND ha aumentado en las regiones y que, en promedio, durante el período i982-i983, la tasa natural de desempleo representó alrededor del 68 por ciento de la tasa real de desempleo en las Provincias Atlánticas, el 79% en Quebec y Ontario, el 75% en las Provincias de Prairie y el 73% en la Columbia Británica.
Como se ha podido observar en esta sección, tanto en el ámbito nacional como internacional el tema de la TND ha sido abordado ampliamente. La revisión da cuenta de la divergencia existente en torno al método de estimación más apropiado para su cálculo y a las reflexiones provenientes de una noción de TND donde no existe un consenso como tal.
3. Metodologías para el cálculo de la tasa natural de desempleo
Como se evidenció en la sección anterior, dentro de las metodologías más aplicadas para calcular la TND en Colombia y en el ámbito internacional se encuentran la curva de Phillips ampliada por expectativas con chocks de oferta, las técnicas de series de tiempo (Filtro de Hodrick y Prescott), el modelo de salarios y precios, la estimación de la ley de Okun y el filtro de Kalman. A continuación, se exponen algunas de estas metodologías.
3.1. Curva de Phillips ampliada por expectativas con perturbaciones de oferta
A partir del trabajo de Phillips (1958), quien realizó un ejercicio que incluía la variación porcentual de los salarios nominales y la tasa porcentual de desempleo para el Reino Unido en el período 1861-1957, se argumentó que existe una tradeoff entre el nivel de desempleo y los cambios salariales, esta relación empírica fue denominada posteriormente como la Curva de Phillips; a medida que se ha avanzado en el desarrollo empírico y teórico la curva ha sido objeto de modificaciones que intentan explicar de una manera más precisa la relación entre el comportamiento de la inflación y el desempleo.
La curva de Phillips modificada o ampliada por expectativas, se denomina de esta manera dado que incluye las expectativas de inflación, según Blanchard (1997) citado por Gujarati (2004), se precisa de la siguiente forma:
[1]Donde:
πt : Tasa real de inflación en el tiempo t
πte : Tasa real de inflación esperada en el tiempo t
UNt : Tasa real de desempleo en el tiempo t
Un : Tasa natural de desempleo en el tiempo t
et : Error estocástico
Si bien πte no es observable de forma directa, se puede decir que:
[2]Lo anterior quiere decir que la inflación esperada en el período t es la tasa de inflación del período inmediatamente anterior (suponiendo expectativas adaptativas).
Al sustituir [2] en [1] y escribir el modelo en forma estándar se obtiene la ecuación [3]:
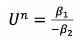
[3]Donde β1 = β2Un . Así, la ecuación [3] establece que la tasa de inflación en los dos períodos está linealmente relacionada con la tasa de desempleo real.
De esta manera, si se desea encontrar la Tasa Natural de Desempleo, la ecuación [3] permite hacerlo de la siguiente forma:
[4]En la literatura sobre estos temas se ha encontrado que este modelo ha sido modificado incorporando una variable que captura choques de oferta. Se ha expuesto una debilidad de este modelo debido a la poca existencia se variables proxys, no obstante, entre las variables más usadas se encuentran la participación de la mujer en la fuerza laboral, la tasa general de participación, entre otras. El modelo de la curva de Phillips ampliada por expectativas con perturbaciones o choques de oferta se muestra de la forma como lo plantean Gómez, Rebollo y Usabiaga (2002):
[5]Donde Δπt es la variación en la inflación, Δu es la variación de la tasa de desempleo y Ares una variable de perturbación de oferta del mercado laboral. p y q hacen referencia a los rezagos para la tasa de desempleo y la inflación, respectivamente. Para la estimación de este modelo generalmente se aplica el método de Mínimos Cuadrados Ordinarios.
A largo plazo, las expectativas de inflación implican que Δπ = 0 por lo tanto, la TND se calcula como:
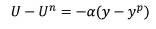
[6]3.2. Ley de Okun
La ley de Okun (1962) expresa una relación inversa entre la tasa de desempleo y la producción, es decir un nivel bajo de la producción puede llevar a una alta tasa de desempleo o viceversa, como se expresa en la siguiente ecuación:
[7]Donde:
U es la tasa de desempleo
Un es la tasa natural de desempleo
y es el nivel de producción (PIB)
yp es la producción potencial.
Si se estima la ecuación de la siguiente forma:
U=Unα(y - yp) , se puede ver que el valor de la constante Un corresponde a la tasa natural de desempleo.
3.3. Filtro de Hodrick y Prescott
La aplicación del filtro de Hodrick y Prescott no constituye exactamente una estimación de la tasa natural de desempleo; sin embargo, en la literatura sobre el tema se toma el componente tendencial de la serie de desempleo como proxy del desempleo de equilibrio o bien la tasa natural de desempleo.
Para la estimación mediante el filtro Hodrick y Prescott se realiza el proceso descrito en la siguiente expresión:
[8]Donde, λ corresponde al factor de alisamiento que depende de la periodicidad de la serie. Para realizar este proceso solo es necesaria la serie de a tasa de desempleo, al aplicar el filtro y extraer su componente tendencial se puede obtener el valor de la TND como el promedio de la serie.
4. Metodología
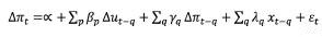
Para el cálculo de la TND se tomaron datos trimestrales de desempleo de la Gran Encuesta Integrada de Hogares (GEIH) del DANE y los datos trimestrales anualizados de inflación del Banco de la República, para el período 2001-1 a 2018-4. Lo que permitió disponer de una serie de 72 datos.
Los métodos empleados para estimar el modelo fueron el Método de Mínimos Cuadrados Ordinarios (MCO) y el Método Generalizado de Momentos (GMM). Se estima la curva de Phillips ampliada por expectativas con perturbaciones de oferta que se describen en la ecuación (9), donde se utiliza como perturbación de oferta los datos de la tasa de participación laboral femenina tomada de la GEIH del DANE. Las estadísticas descriptivas y los test de raíz unitaria para cada una de estas series se muestran en las tablas A, B y C del anexo.
Para la estimación de la curva de Philips se especificó el siguiente modelo:
[9]Donde Δπt es la variación en la inflación, Δu es la variación de la tasa de desempleo y Δtgpm es la variación de la tasa global de participación femenina, utilizada como perturbación de oferta del mercado laboral1. p y q hacen referencia a los rezagos para la tasa de desempleo y la inflación respectivamente. En cuanto a los signos esperados de los coeficientes, se espera que β tenga un signo negativo, debido a la relación inversa entre inflación y desempleo; para el coeficiente λ se espera igualmente un signo negativo, pues un incremento de la oferta laboral femenina conlleva a una reducción de los salarios y, por tanto, de los precios.
4. Hechos estilizados
La década de i990 fue un período caracterizado por grandes cambios en el ámbito económico, y que trajeron consigo cambios abruptos en la política económica implantada en el país. Cabe mencionar que para la fecha en cuestión, se produjo una reforma estructural que dio origen a la nueva Constitución de i99i y que establecería cambios en los sectores laboral, financiero, cambiario, comercial y tributario. Una de las medidas consistió en una primera reforma tributaria que compensaría la reducción de recaudo por parte de aranceles (debido a la apertura unilateral aplicada en Colombia), como resultado de estas medidas mejoró el nivel de crecimiento del PIB (4,5% anual en promedio entre 1990 y 1995), mientras que la inflación redujo su nivel de crecimiento que había llegado a niveles superiores al 30% en 1990.
Sin embargo, para 1995 la inflación continuaba creciendo a tasas superiores al 20%, como se puede observar en la Figura 4, a partir del año 2000 la inflación, gracias los efectos de la grave crisis que afecto la economía colombiana en 1999, pasa a crecer a tasas inferiores al 10%, ubicándose en un 8.25% mes de enero de 2000 y alcanza su mínimo en noviembre de 2013 con 1,76%. Se observa como a partir del año 2005 la inflación alcanza un nivel más bajo, debido en gran parte a la adopción del régimen de inflación objetivo por parte del Banco de la República y a la efectividad de la política aplicada para alcanzar este objetivo.

En lo que respecta al desempleo, el mercado laboral para la década de 1990 se encontraba en un escenario caracterizado por un bajo crecimiento económico, bajo consumo interno y algo bastante peculiar, el incremento de la fuerza de trabajo en la población menor de 25 años y las mujeres, quienes, paradójicamente son los grupos poblacionales más golpeados por el desempleo. Todas estas cuestiones agravaban el problema del desempleo, sin contar por otro lado, con la inestabilidad sectorial y la migración intrarregional que se vivía para entonces.
La tasa más alta de desempleo experimentada durante el período 1995-2018 se dio en el primer trimestre de 2000 alcanzando 19,4%, mientras que el punto más bajo se ubicó en el primer trimestre de i996 con 9,12%. Como se observa en la Figura 5 la tasa de desempleo viene presentando una dinámica de reducción desde el año 2001.

Un análisis preliminar del trade off planteado por Phillips (1958), entre las variables inflación y desempleo se plantea en la Figura 6 para Colombia en el período 2001-2018. Como se puede observar no se evidencia claramente una relación inversa entre estas variables como lo supone la teoría -a mayor/menor desempleo, menor/mayor tasa de inflación-. Bajo estas consideraciones, podría pensarse que en efecto, la curva de Phillips para el país (por lo menos para el período de análisis) no se cumple; incluso, como lo plantea la Anif (2018) para diciembre del año 2017 se presentaron disparidades regionales en cuanto al cumplimiento de la curva y a la relación inversa entre estas variables. Algunas ciudades del norte del país como Barranquilla y Bucaramanga registraron tasas de desempleo por debajo del nivel nacional, con 7,5% y 8% respectivamente, y a su vez registraron tasas de inflación dentro del rango meta del Banco con 3,2% y 3,8% respectivamente. Otras ciudades experimentaron un fenómeno totalmente contrario, con altas tasas de desempleo y altas tasas de inflación como Bogotá y Cúcuta, aunque se advierte que en el segundo caso, la fuerte inmigración desde Venezuela ha impactado de manera negativa el indicador de desempleo. En el ámbito nacional el panorama parece no mostrar evidencia del cumplimiento de la curva de Phillips, pues la inflación ha estado por encima del rango meta del Banco de la República y el desempleo simultáneamente se ha venido incrementado, lo que parece indicar que entre estas dos variables en lugar de presentarse una relación inversa se presenta una relación directa.

De la Figura 6 también es posible interpretar un cambio de escala o nivel entre las variables inflación y desempleo, es decir, las variables se han desplazado simultáneamente, en tres ocasiones para el caso del periodo de estudio, lo cual podría explicar de algún modo la ruptura de la relación inversa y, por tanto, la inexistencia de la curva de Phillips.
5. Resultados
Una de las discusiones que se han abierto en torno a la curva de Phillips como principal corriente teórica para explicar la relación inversa entre la inflación y el desempleo, dos de los agregados económicos con mayor relevancia en la política económica del país y que determinan la TND, es si esta relación ha desparecido o no existe. En este trabajo se pudo evidenciar que no existe una relación inversa entre estas variables para el caso colombiano como lo supone la teoría (a mayor desempleo, menor tasa de inflación) y el análisis gráfico determinó el cambio de escala de las variables. Las razones para el cambio o ruptura de la relación inversa en las dos variables, no son objeto de este trabajo, dado que el propósito que se ha establecido es el de calcular la TND y contrastar los resultados con los antecedentes; no obstante es importante mencionar que algunas razones podrían estar asociadas con el crecimiento simultáneo en la inflación (en algunos años del análisis no se ha cumplido la meta) y el desempleo, este último producto de las fuertes turbulencias en el mercado laboral marcada por el aumento de la población joven desocupada y el éxodo venezolano que ha impactado de forma negativa el indicador de desempleo. Los estudios analizados en este artículo han usado la curva de Phillips como herramienta teórica para explicar la TND y su naturaleza; no obstante, se tiene poca evidencia entorno a la discusión de su permanencia o existencia2 en el mercado laboral colombiano, de aquí que se requieran análisis formales sobre la evolución y posibles causas de su desaparición que permitan un mejor manejo y direccionamiento de la política económica del país.
En la Tabla 2 se muestran los resultados de las estimaciones por Mínimos Cuadrados Ordinarios y el Método Generalizado de Momentos. Se hace uso del método de los Momentos dado que algunos estudios sugieren una relación bidireccional entre las variables inflación y desempleo, por lo tanto, se considera este método, con el ánimo de corregir los problemas asociados a la endogeneidad de las variables.

Instrumentos: Δu(-2 to - 8) Δπ(-2 to - 6) Δtgpm(-2 to - 6) Δπ (-2 to - 3)
En cuanto a la robustez del modelo mediante MCO, las pruebas de autocorrelación3 y heterocedasticidad4 arrojaron valores p de 0.5472 y 0.5557 lo que lleva a no rechazar la hipótesis nula de no autocorrelación y homocedasticidad. En el caso de la estimación mediante el método de momentos, la estimación se encuentra corregida por heterocedasticidad, autocorrelación y endogeneidad; las variables asociadas a la inflación y la tasa de participación femenina rezagada son significativas. Para la elección del rezago óptimo en los modelos se hizo uso de las funciones impulso respuesta.
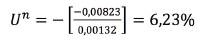
Eligiendo el modelo estimado con GMM, corregido por endogeneidad, y partiendo de la ecuación 6 se deriva la TND como:
[10]De acuerdo con los resultados de la Tabla 2, y aplicando la ecuación 6 el valor de la TND para Colombia en el período 2001-1 a 2018-4 es de 6,23%. Este resultado es similar al calculado en el trabajo de Farné et al. (1995), donde se encontró para el período 1974-1994 una TND que oscilaba entre de 6,2% y 7,2%. Este valor también se encuentra cercano al encontrado por Clavijo (1994), quien calculó una TND para el período 1976-1994 de 8,20%.
Al analizar los resultados en los estudios de la década de 1990 y el decenio de los años 2000, el resultado encontrado en este trabajo difiere en varios puntos porcentuales, la diferencia más notoria se relaciona con el trabajo de Arango y Posada (2006) donde se halló una TND de 13,90%, para una diferencia de 7,67 puntos porcentuales. En los trabajos realizados finalizando el decenio de los 2000 Fuentes (2008) y Tamayo (2008), estimaron valores de 11,19% y 11,85%, mientras que para el año 2015, Triana-Machado (2015) estiman una TDN del 8,70%. Siguiendo los valores estimados para la TDN en el tiempo, tal y como se ilustra en la Figura 3, la TDN estimada en este estudio vuelve a alcanzar el mínimo valor estimado por Farné et al. (1995), lo que permite plantear que los valores que se han estimado entre 1990 2019, las últimas tres décadas, siguen un comportamiento cíclico y están influenciadas por el comportamiento cíclico del empleo. Si bien se puede pensar que una TDN del 6.23% es muy baja, dadas las tasas que se han estimado en estudios anteriores, la verdad es que esta tasa es excesivamente alta, dado que indica que de cada 100 personas que se incorporan al mercado de trabajo hay cerca de 6 que no tienen posibilidades de encontrar empleo, este planteamiento se basa en la idea de que la TDN representa la tasa de desempleo de largo plazo en la economía y la diferencia entre esta tasa y la tasa observada representa el nivel de desempleo cíclico y friccional que esta explicado por las rigideces del mercado de trabajo y las deficiencias del sistema para garantizar la oportuna articulación (matching) entre las demandas laborales y las ofertas laborales.
El componente natural de la tasa de desempleo en este estudio, indica que 6,23% de la tasa de desempleo corresponden al desempleo estructural, por lo que resulta importante revisar con detalle los factores que pueden estar afectando el componente natural como son las políticas públicas en el sector educativo, la eficiencia de los canales de búsqueda de empleo y la cualificación de la fuerza laboral, cuestiones que se constituyen determinantes para lograr reducir las brechas entre oferentes y demandantes en el mercado laboral. En período 1990-2018 se han aplicado una serie de políticas laborales en Colombia con el propósito de tratar de reducir los niveles de desempleo, estas políticas se han orientado principalmente a tratar de generar flexibilidad en el mercado de trabajo y a reducir los costos de contratación. El hecho de que se evidencie que el componente de largo plazo tiene un tamaño superior al 6% genera bases para sostener que las reformas futuras que se hagan del mercado de trabajo deben estar encaminadas a romper las barreras estructurales del mercado de trabajo que pueden estar asociadas con la pertinencia del proceso de formación para el trabajo (la educación técnica y tecnológica y la formación profesional), la movilidad de trabajadores entre las diferentes regiones del país, la informalidad y el sistema de fijación y negociación de salarios (salario mínimo).
6. Conclusiones y recomendaciones
En este trabajo se estima la Tasa Natural de Desempleo para Colombia en el período 2001-2018 y se realiza una revisión de literatura sobre los estudios aplicados en el ámbito nacional e internacional. La metodología empleada es la estimación de la Curva de Phillips ampliada por expectativas con perturbaciones de oferta, mediante MCO y MGM.
Las estimaciones mediante GMM permitieron calcular una TND de 6,23%, valor similar a algunas de las estimaciones realizadas previamente. Este valor indica el nivel más bajo en la tasa de desempleo a la que puede llegar el mercado laboral sin generar presiones inflacionarias, que representa el nivel de desempleo estructural o de largo plazo que ostenta la economía colombiana.
Por otro lado, se ha encontrado evidencia de la posible relación positiva entre las series de inflación y desempleo. Como se observó en la estimación, no se comprobó el tradeoff entre las dos variables.
Una conclusión relevante tiene que ver con la inexistencia de la curva de Phillips para la economía colombiana durante el período 2001-2018. La ruptura de la relación inversa entre las variables inflación y desempleo podría estar marcada por el cambio de nivel simultáneo de las mismas, como se pudo evidenciar en el análisis gráfico. Adicionalmente, algunos factores más recientes del mercado laboral como la crisis migratoria venezolana que impacta el indicador de desempleo, y, por otro lado, algunos desfases en el control de la inflación por parte del emisor en algunos años consecutivos, han contribuido al cambio simultáneo en las variables de estudio.
Finalmente, en este trabajo se hace una estimación básica dejando de lado variables que pueden ser determinantes para estimar de manera más exacta la TND en el período estudiado, por lo tanto, este trabajo puede servir de insumo para futuras investigaciones que incluyan por ejemplo, estimaciones integrando varios métodos econométricos y donde se analice además, factores que pueden afectar la TND como es el caso de la histéresis del desempleo, el cambio tecnológico, el crecimiento y distribución de los grupos poblacionales, el salario mínimo, entre otros.
Los resultados obtenidos en este trabajo y la revisión de los estudios que en las últimas tres décadas ha estudiado el tema del TDN permitieron identificar algunas deficiencias o limitaciones que se presentan en los ejercicios empíricos realizados y que se convierten en una oportunidad para la realización de futuras investigaciones sobre estos temas. La primera está representada por la evidencia de que en el período de estudio de este trabajo se evidencia cambios en el nivel de la relación, tal y como se puede observar en la Figura 6, sería importante investigar cuáles son los factores estructurales que están cambiando la relación que existe entre inflación y desempleo. La segunda está asociada con la revisión y validación detallada la validez de la Curva de Phillips para Colombia. Finalmente, en tercer lugar, se encuentra la necesidad de que la estimación de la TND de desempleo se haga teniendo en cuenta las diferencias que se presentan en el mercado de trabajo para las distintas regiones que integran el país.
Referencias bibliográficas
ANIF. Inflación y desempleo regional: persiste la heterogeneidad. Coyuntura Pyme, 2018, mayo 21. Disponible en http://www.anif.co/Biblioteca/politica-fiscal/inflacion-y-desempleo-regional-persiste-la-heterogeneidad
APERGIS, Nicholas. An estimation of the natural rate of unemployment in Greece. In: Journal of Policy Modeling, 2005, vol. 27, no. 1, p. 91-99. https://doi.org/10.1016/j.jpolmod.2005.01.001
ARANGO, Luis; POSADA, Carlos. La tasa de desempleo de largo plazo en Colombia. En: Borradores de Economía, 2006, no. 388, 13p. Disponible en http://www.banrep.gov.co/es/tasa-desempleo-largo-plazo-colombia
AYSUN, Uluc; BOUVET, Florence; HOFLER, Richard. An alternative measure of structural unemployment. In: Economic Modelling, 2014, vol. 38, p. 592-603. https://doi.org/10.1016/j.econmod.2014.02.009
BALL, Laurence; MANKIW, Gregory. The NAIRU in Theory and Practice. In: Journal of Economic Perspectives, 2002, vol. 16, no. 4, p. 115- 136. https://scholar.harvard.edu/files/mankiw/files/jep.ballmankiw.pdf
BLANCHARD, Olivier. Wage bargaining and unemployment persistence. In: Journal of Money Credit and Banking, 1991, vol. 23, no. 3, p. 277-292. https://www.jstor.org/stable/1992746?seq=1#page_scan_ tab_contents
BLANCHARD, Olivier. Macroeconomics. Prentice Hall: Englewood Cliffs, 1997. 576 p.
BLANCHARD, Olivier; FISHER, Stanley. Lectures in Macroeconomics. MIT Press, 1989, p. 349-545. https://mitpress.mit.edu/books/lectures-macroeconomics
CAMPOVERDE, Andrés; ORTIZ, Cristián; SÁNCHEZ , Verónica. Relación entre la inflación y el desempleo: una aplicación de la curva de Phillips para Ecuador, Latinoamérica y el Mundo. En: Revista Económica, 2016, vol.1, no.1, p. 22-34. http://192.188.49.30/index.php/economica/article/view/200
CEPAL; OIT. Coyuntura laboral en América Latina y el Caribe. La evolución del empleo en las empresas de menor tamaño entre 2003 y 2013: mejoras y desafíos. Santiago de Chile: Naciones Unidas. 2015. 27 p. https://www.ilo.org/santiago/publicaciones/coyuntura-laboral-am%C3%A9rica-latina-caribe/WCMS_419403/lang--es/index.htm
CLAVIJO, Sergio. Inflación o Desempleo: ¿Acaso hay escogencia en Colombia? En: Archivos de Macroeconomía, 1994, no. 31, p. 1-22. https://colaboracion.dnp.gov.co/CDT/Estudios%20Econmicos/31.pdf
CUELLAR, Jaime; MARTÍN, Ángel; MORAL, Alonso. An empirical analysis of natural and cyclical unemployment at the provincial level in Spain. In: Applied Spatial Analysis and Policy, 2019, vol.12, no.3, p. 1-50. https://doi.org/10.1007/s12061-018-9262-x
DA SILVA FILHO, Tito. La tasa natural de desempleo en Brasil, Chile, Colombia y Venezuela: Algunos resultados y desafíos. En: CEMLA, 2007, p. 399-425. https://www.cemla.org/PDF/ic/2008-ic/IC-13.pdf
DE OLIVEIRA, Luma; SAVINO, Marcelo; BOLDRINE, Mateus. Taxa de Desemprego Não Aceleradora da Inflação: uma estimação da NAIRU para a economia brasileira no período de 2000 até 2013. Em: Nova Economia, 2016, vol. 26, no. 2, p. 491-513. http://dx.doi.org/10.1590/0103-6351/2585
ELKAYAM, David; EILEK, Alex. Estimating the NAIRU for Israel, 1992- 2013. In: Israel Economic Review, 2016, vol. 14, no. 1, p. 53-74. https://ssrn.com/abstract=2889923
FARNÉ, Stefano; VIVAS, Alejandro; YEPES, Tito. Estimaciones de la Tasa Natural de desempleo en Colombia. En: Cuadernos de Empleo, 1995, Ministerio de Trabajo y Seguridad Social, Documento No. 1.
FEDESARROLLO. Informe Mensual del Mercado Laboral, 2013, abril, 12 p. https://www.repository.fedesarrollo.org.co/bitstream/handle/11445/3384/IML_Abril_2013.pdf?sequence=2&isAllowed=y
FRIEDMAN, M. The Role of Monetary Policy. En: American Economic Review,1968, vol. 58, no. 1, p.1-17. https://www.fep.up.pt/docentes/ pcosme/CIF_1Ec101_2014/Freedman1968.pdf
FUENTES, Héctor. “La NAIRU” una aproximación teórica (2° parte). En: Apuntes del CENES, 2008, vol. 27, no. 45, p. 1-18. https://revistas. uptc.edu.co/index.php/cenes/article/view/3034
GERLACH, Stefan; LYDON, Reamonn; STUART, Rebecca. Unemployment and Inflation in Ireland: 1926 - 2012. En: CFS Working Paper Series, 2015, no. 514, p.1-30. https://papers.ssrn.com/sol3/papers.cfm?abstract_id=2663343
GÓMEZ, Rodrigo; GUERRERO, Hilda. Estimación de la tasa natural de desempleo mediante la Ley de Okun. En: Una aplicación a la economía mexicana, 2000-2007. Economía y Sociedad, 2008, vol.14, no. 22, p. 119-132. http://www.redalyc.org/pdf/510/51002206.pdf
GUATAQUÍ, Juan Carlos. Estimaciones de la tasa de desempleo en Colombia. Una revisión. En: Borradores de Investigación, Universidad del Rosario, 2000, no. 2, p. 1-36. https://www.urosario.edu.co/Facultad-de-Economia/Publicaciones/Borradores-de-investigacion/?page=10
GRANT, Alan. Time-varying estimates of the natural rate of unemployment: A revisitation of Okun’s Law. In: The Quarterly Review of Economics and Finance, 2002, vol. 42, no. 1, p. 95-113. DOI: https://doi.org/10.1016/S1062-9769(01)00109-0
GROENEWOLD, Nicolaas; HAGGER, A. J. Natural-rate Estimates for the Australian States: An SVAR Approach. In: Regional Studies, 2003, vol. 37, no. 3, 251-263, https://doi.org/10.1080/0034340032000065415
GUJARATI, Damodar. Econometría. Cuarta edición. México: Mc GrawHill Latinoamérica. 2004. 921 p.
HEIMBERGER, Philipp; KAPELLER, Jakob; SCHÜTZ, Bernhard. The NAIRU determinants: What’s structural about unemployment in Europe? En: Journal of Policy Modeling, 2017, vol. 39, no. 5, p. 883-908. https//doi.org/10.1016/j.jpolmod.2017.04.003
HENAO, Martha; ROJAS, Norberto. La tasa natural de desempleo en Colombia. En: Coyuntura Económica, 1998, vol. 29, no. 3, p. 79-93. https://www.repository.fedesarrollo.org.co/handle/11445/2132
JACOB, Punnoose; WONG, Martin. Estimating the nairu and the natural rate of unemployment for New Zealand. Reserve Bank of New Zealand, Analyical Note Series, 2018, 25 p. https://www.rbnz.govt.nz/research-and-publications/analytical-notes/2018/an2018-04
KAJUTH, Florian. NAIRU estimates for Germany: new evidence on the inflation-unemployment trade-off. In: Deutsche Bundesbank, Discussion Paper Series 1: Economic Studies, 2010, no.19, p. 1-40. https:// doi.org/10.1111/geer.12055
LILIEN, David. Sectoral Shifts and Cyclical Unemployment. En: Journal of Political Economy, 1982, vol. 90, no. 4, p. 777-793. https://is.muni.cz/el/1456/jaro2016/BPE_EKPR/um/55633306/55810742/Lilien__1982_.pdf
MILLER, F. C. The natural rate of unemployment: regional estimates and policy implication. In: Canadian Journal of Regional Science, 1987, 1, p. 63-76.
MOHEBI, Mehdi; KOMIJANI, Akbar. NAIRU and productivity shocks: evidence from three gigantic economies. En: Applied Economics Letters, 2018, vol. 25, no. 12, p. 847-852. https://doi.org/10.1080/1350485 1.2017.1371839
NUÑEZ, Jairo; BERNAL, Raquel. El desempleo en Colombia: tasa natural, desempleo cíclico y estructural y la duración del desempleo, 1976-1998. En: Revista Ensayos Sobre Política Económica, 1998, vol. 16. no. 32, p, 7-74.
OIT. Modelo de proyección de empleo para Colombia. Departamento de Política de Empleo. Lima: Oficina de la OIT para los países Andinos. 2013. 61p. https://www.ilo.org/wcmsp5/groups/public/---americas/---ro-lima/---sro lima/documents/publication/wcms_236123.pdf
PALMA, Andreza; FERREIRA, Diego. NAIRU, Inflação e Curva de Phillips no Brasil: novas evidências a partir de um modelo tempo-variante. Em: Estudos Econômicos, 2016, vol. 47, no. 1, p. 39-63. http://dx.doi.org/10.1590/0101-416147123apd
ROCHA, Elcyon. The NAIRU, unemployment and the rate of inflation in Brazil. En: Revista Brasilera de Economía, 2003, vol. 57, no.4, p. 899- 930. http://dx.doi.org/10.1590/S0034-71402003000400011
RODRÍGUEZ, Beatriz. La tasa natural de desempleo en la Economía Española: un intento de cuantificación. En: Estudios de Economía Aplicada,1995, no. 3, p. 133-151.
STIGLITZ, Joseph. Reflections on the Natural Rate Hypothesis. En: Journal of Economic Perspectives, 1997, vol. 11, no. 1, p. 3-10.
TAMAYO, Jorge. La tasa natural de desempleo en Colombia y sus determinantes. En: Borradores de Economía, 2008, no. 491, p. 1-32. http://www.banrep
TRIANA-MACHADO, Jorge. La tasa natural de desempleo en Colombia 2003-2010. En: Entramado, 2015, vol. 11, no.1, p. 12-30. http://dx.doi.org/10.18041/entramado.2015v11n1.21114
TÜZEMEN, Didem. Job polarization and the natural rate of unemployment in the United States. In: Economics Letters, 2019, vol. 175, p. 97-100. https://doi.org/10.1016/j.econlet.2018.12.011
Notas