Ciencia y tecnología
Validación de una metodología para obtener la envolvente de ruptura al esfuerzo cortante en suelos no saturados compactados*
Validation of a methodology to obtain the shear failure envelope of unsaturated compacted soils
Validação de uma metodologia para obter a envoltória de ruptura por cisalhamento em solos não saturados compactados
Validación de una metodología para obtener la envolvente de ruptura al esfuerzo cortante en suelos no saturados compactados*
Entramado, vol. 17, núm. 1, pp. 290-301, 2021
Universidad Libre de Cali
Recepción: 23 Febrero 2020
Aprobación: 15 Diciembre 2020
RESUMEN: Obtener la envolvente de ruptura de suelos no saturados requiere de equipos especializados, de elevado costo y difícil acceso. Sin embargo, a través de ensayos de laboratorio simples combinados como corte directo, tracción indirecta y succión, es posible determinar la envolvente. La presente investigación busca, por tanto, validar dicha metodología, en un material limo de origen residual de la ciudad de Medellín-Antioquia, Colombia, compactado a la máxima densidad a través del ensayo Proctor normal. La validación se efectúa por medio de la repetitividad de una serie de ensayos de corte directo para diferentes valores de succión; comprobando que, es posible encontrar la envolvente de ruptura al corte de un suelo fino residual compactado, para distintas condiciones de succión, por medio de los ensayos de laboratorio de corte directo en condición consolidada y drenada, succión por el método del papel filtro y tracción indirecta, cuando no se cuenta con equipos de corte con succión controlada.
PALABRAS CLAVE: Suelos no saturados, corte directo, tracción indirecta, curva característica de retención de agua, envolvente de falla extendida.
ABSTRACT:
Obtaining the failure envelope of unsaturated soils requires specialized equipment, which is expensive and difficult to access. Nevertheless, by combining simple laboratory tests like direct shear test on saturated samples, indirect tension test, and soil suction measurements by filter paper it is also possible to determine the envelope. This research aims to validate this latter methodology on a residual origin silt material from the city of Medellin, Colombia, which is compacted to the maximum dry density through the standard proctor test. The validation is carried out by repeating a series of direct shear tests for different suction values. It was verified that it is possible to find the shear failure envelope of a compacted fine-grained residual soil for different suction conditions, using the direct shear test under consolidated drained conditions, suction by the filter paper method, and the indirect tension test, when no suction controlled shear equipment is available.
KEYWORDS: Unsaturated soils, direct shear test, indirect tension test, water retention curve, extended failure envelope.
RESUMO: A obtenção da envoltória de ruptura de solos não saturados com controle de sucção requer equipamentos especiais, que são caros e de difícil acesso. No entanto, através de ensaios simples laboratoriais combinados, tais como os de cisalhamento direto, tração indireta e sucção, é possível determinar a envoltória de resistência. A presente investigação procura validar esta metodologia, usando um material siltoso de origem residual da cidade de Medellin-Antioquia, Colômbia, compactado na condição de densidade máxima obtida no ensaio de compactação Proctor normal. A validação é feita por meio da realização de uma série de ensaios de cisalhamento direto para diferentes valores de sucção; mostrando que é possível encontrar a envoltória de ruptura de um solo fino residual compactado, para diferentes condições de sucção, por meio de ensaios laboratoriais de cisalhamento direto consolidados drenados, sucção determinada pelo método do papel de filtro e ensaio de tração indireta, quando não se dispõe de equipamento de cisalhamento direto à sucção controlada.
PALAVRAS-CHAVE: Solos não saturados, cisalhamento direto, tração indireta, curva característica de retenção de água, envoltória de ruptura estendida.
1. Introducción
En la gran mayoría de las obras de ingeniería geotécnica se considera la condición saturada de los suelos, incurriendo en sobre estimaciones en factores de seguridad, generándose en muchos casos costos mayores, que podrían llegar a minimizarse teniendo en cuenta las teorías de suelos no saturados; surge entonces, la necesidad de contar con parámetros de suelos no saturados, para el caso por ejemplo, de resistencia a la ruptura por cortante, cuya determinación requiere de equipos relativamente costosos, con los cuales no cuentan la mayoría de los laboratorios, sumado al tiempo prolongado de ejecución de dichos ensayos.
Por esta razón es imperante la necesidad de proponer una metodología simple, como alternativa a las técnicas tradicionales y complejas de determinación de parámetros de resistencia para suelos no saturados; que consistirá en acoplar, ensayos simples, asequibles y comunes, que suplan la ausencia de un equipo de resistencia al corte con succión controlada y que se realice de forma rápida, eficiente, y con resultados confiables, validados y que además sean adaptados a los suelos de la región.
Considerándose entonces, la importancia que tiene en la práctica geotécnica de suelos no saturados el conocimiento de la envolvente de ruptura extendida, esta investigación busca validar por medio del ensayo de corte directo para diferentes valores de succión, la metodología propuesta por Valencia, Camapum-De Carvalho y Gitirana (2019), basada en tres ensayos de laboratorio simples como corte directo en condición saturada, tracción indirecta y succión por el método de papel filtro, para obtener la envolvente de ruptura. Para tal fin, se toma un limo de origen residual de la ciudad de Medellín-Antioquia, Colombia, compactado a la máxima densidad del ensayo Proctor normal y se efectúan sobre las muestras los ensayos de corte directo en condición consolidada y drenada, la succión por técnica del papel filtro y el ensayo de tracción indirecta, relacionándose los resultados; finalmente se valida la envolvente obtenida a partir de ensayos de corte directo en varias muestras que presenten diferentes succiones y se comparan resultados.
2. Marco teórico
Los suelos residuales se presentan generalmente en las zonas tropicales y muy escasamente en las zonas templadas geográficamente hablando, a pesar de ello, el desarrollo de la mecánica de suelos se ha presentado principalmente, en las regiones templadas (Fookes, 2004). Adicionalmente, los suelos residuales de las zonas tropicales presentan comúnmente un porcentaje de saturación menor del 100 %, es decir el campo de aplicación de dichos suelos se enmarca en las teorías de suelos no saturados, teorías cuya investigación se encuentra en un estado incipiente; faltando profundizar, por ejemplo, en ensayos de laboratorio, de clasificación geotécnica, resistencia mecánica, mineralogía, microestructura, etc. Por esta razón es menester para la ingeniería de los países del trópico la investigación profunda de sus suelos, de tal forma que las obras geotécnicas sean diseñadas con parámetros que describan de manera más adecuada su comportamiento.
Como se ha mencionado, la resistencia al esfuerzo cortante de los suelos es uno de los temas fundamentales de la geotecnia, debido a que es un insumo esencial para el análisis y diseño de obras civiles. El concepto de falla de los suelos es muy antiguo, fue planteado inicialmente por Charles Coulomb en 1776 (Badillo & Rodríguez, 2015), proponiendo la Ecuación 1:

Donde:
τ = Resistencia al esfuerzo cortante.
ф= Angulo de fricción interna del material.
C = Cohesión del material.
σn = Esfuerzo normal.
La ecuación, se mantuvo por más de un siglo sin ningún avance, hasta el año 1900, en el que el ingeniero alemán Otto Mohr, encuentra una solución grafica para la envolvente de falla por cortante de los suelos, con círculos que dependen del estado de esfuerzos principales del material, no obstante, como envolvente de falla tangente a los círculos conserva el mismo criterio de la ecuación propuesta por Coulomb (Braja, 2019).
Basado en los trabajos de Mohr, Terzaghi, publica en 1925 el concepto de esfuerzos efectivos aplicado a la envolvente de falla (Ecuación 2) Terzaghi (1925).

Donde:
τ = Resistencia al esfuerzo cortante.
ф' = Angulo de fricción interna efectivo del material.
C' = Cohesión efectiva del material.
(σn - uw) = Esfuerzo normal efectivo.
Desde los años cincuenta hasta la actualidad se han propuesto ecuaciones para representar esta envolvente de ruptura de forma analítica para suelos no saturados. Uno de los pioneros en el estudio de la resistencia al corte de suelos no saturados es Bishop (1959), que propone la Ecuación 3, basado en dos términos que es el esfuerzo normal efectivo, la succión y un parámetro que depende del material y que debe ser estimado.

Donde:
σ'n = Esfuerzo normal efectivo.
(σn - ua) = Esfuerzo neto.
(ua - uw) = Succión.
X = Parámetro de Bishop que depende del material.
Posteriormente Fredlund, Morgenstern y Widger (1978), presentan la Ecuación 4 con tres variables independientes, que es la base para muchas ecuaciones empíricas de resistencia al corte, fundamentada en el criterio de falla de Mohr-Coulomb y que se conoce como forma extendida de Fredlund, ya que agrega un término a la expresión que depende de la succión, como se muestra a continuación:

Donde:
Ua = Presión del aire en los poros del material.
Uw = Presión del agua en los poros del material.
фb = Angulo que define el aumento de resistencia al cortante con el aumento de la succión.
ф' = Angulo de fricción interna efectivo del material.
C' = Cohesión efectiva del material.
Hasta la fecha al comparar los resultados analíticos de las ecuaciones con las pruebas de laboratorio de equipos con succión controlada para un suelo, existe una diferencia considerable, por lo que se puede afirmar según investigaciones, de que no existe una ecuación universal que describa la envolvente de ruptura al esfuerzo cortante de un suelo no saturado.
Algunos investigadores han desarrollado equipos para encontrar la envolvente de ruptura de suelos no saturados como lo muestra Romero et al., (1997) con un triaxial con succión controlada. Para medir la succión se utiliza la técnica de traslación de ejes, que tiene como limitante las piedras porosas para la entrada de aire, que solo pueden alcanzar un rango de succión matricial máximo de 1500 (kPa), aunque algunas investigaciones han demostrado que utilizando una membrana celulosa se pueden alcanzar succiones mayores (Camapum de Carvalho, 1985), sin embargo, la envolvente de ruptura queda definida para pocos valores.
Kakehi, Reis y Vilar (2004) utilizando un suelo residual tropical, proponen relacionar el ensayo de succión por el método de papel filtro y resistencia al esfuerzo cortante por compresión simple para encontrar la envolvente de resistencia para distintos rangos de succiones (entre 0-400 kPa), luego los valores son comparados con los obtenidos en una maquina triaxial con succión controlada. No obstante, los resultados presentados son limitados por el rango de succión alcanzado, adicionalmente la resistencia obtenida fue menor que la encontrada con el ensayo triaxial, debido al no confinamiento del ensayo de compresión simple.
Vilar en 2006 propone estimar una envolvente de ruptura al corte para suelos no saturados con una ecuación empírica hiperbólica, que utiliza parámetros de ensayo de corte en condición saturada y los compara con algunos datos experimentales de resistencia al corte, en conclusión, se observa un buen ajuste, aunque los valores de succión solo llegan hasta 1500 kPa y no se verifica la ecuación en un rango mayor.
En 2012, Bai y Liu proponen la medida de resistencia al esfuerzo cortante para un suelo en condición no saturada con muestras de material que corresponden a un suelo expansivo, compactado y llevado a una misma densidad, utilizando la técnica de succión por el método del papel filtro combinado con ensayos de corte directo en condición consolidada no drenada, obteniendo así la resistencia al cortante no saturada del material.
Valencia et al. en el 2019. proponen una metodología de laboratorio simple, para obtener la envolvente de resistencia al corte de suelos no saturados. La metodología se basa, en ensayos de tracción indirecta sobre cuerpos de prueba cilíndricos, ensayo de succión por el método del papel filtro y ensayos de corte directo en condición saturada. Este estudio fue realizado para suelos de Brasil, en estado natural, pero no se consigue validar con otro tipo de prueba de laboratorio los resultados obtenidos. Es basados en dicha investigación, que la presente propuesta busca validar la metodología planteada por los autores a partir de ensayos de corte directo consolidados no drenados en suelos compactados bajo diferentes succiones.
3. Materiales y metodología
El sitio de estudio se ubica en la ciudad de Medellín-Antioquia (Colombia) en el Cerro el Volador con coordenadas 6° 16'6.62" N de latitud y 75 °34' 51.19" O de longitud y una altitud de 1598 m.s.n.m; con toma de muestra a una profundidad de 0.5m de la superficie. La geología de la zona proviene de rocas metamórficas, tipo anfibolitas de la margen occidental del río Medellín, las cuales están constituidas esencialmente por hornblenda y plagioclasa (Área Metropolitana del Valle de Aburrá, 2011), con una textura gnéisica a esquistosa; por lo general estas rocas se observan fuertemente meteorizadas, desarrollando suelos residuales de espesor considerable.
Con las muestras obtenidas en la exploración se realiza la caracterización física del suelo, determinando el contenido de humedad natural (ASTM D2216, 2019), los límites de Atterberg (ASTM D4318, 2017), la gravedad especifica de los sólidos (ASTM D854, 2014), la granulometría por hidrómetro (ASTM D422-63, 2007) y finalmente su clasificación según el Sistema Unificado de Clasificación de Suelos (S.U.C.S.) (ASTM D2487, 2017) y la Clasificación Miniatura Compactada Tropical expedita (M.T.C) (Nogami & Villibor, 1995). Los resultados se muestran en Tabla 1.

Posteriormente, se realizan tres pruebas de compactación Proctor estándar (ASTM D698, 2012) del material de estudio, obteniéndose una densidad seca máxima aproximada de 13 kN/m3 y humedad optima del 35 % (Figura 1). La idea de compactar el material, se basa en disminuir el efecto por variación en estructura que pueda sufrir el suelo en su condición natural.

Después de conocer la densidad seca máxima y la humedad optima, se realiza la compactación de 93 pastillas utilizando un molde de menor dimensión, pero conservando la misma energía del método Proctor estándar y la humedad optima del 35% y densidad seca máxima de 13 kN/m3.
Con las pastillas compactadas se ejecutan las pruebas de corte directo en condición consolidada drenada (ASTM D3080, 2011), con carga normal de 60 kPa, 120 kPa, 200 kPa y 400 kPa, a una velocidad lenta de 0.01mm/min con las muestras saturadas, de tal forma que se garantice la disipación de la eventual presión de poros durante el corte directo.
Adicionalmente, con las pastillas se realiza el ensayo de succión por el método de papel filtro. Dicho método es uno de los más sencillos de usar y relativamente económico, entre algunas de sus ventajas, sumado a ello, el rango amplio de succiones que pueden ser medidas (del orden de 10 a 100000 kPa) (Lu & Likos, 2004). En él se puede obtener tanto la succión total como la matricial, y en un solo ensayo es posible obtener muchos puntos de la relación saturación - succión, lo que se traduce en una curva característica con muchos datos, con una mejor aproximación. Hay que tener en cuenta que es un método de laboratorio que requiere el uso estricto del procedimiento normativo (ASTM D5298, 2016), ya que es una forma de medición indirecta de succión y el papel utilizado es muy sensible a los cambios de humedad. El procedimiento seguido para el desarrollo de esta investigación está basado en el estudio de (Marinho, 1994), para esto se repite tres veces dicho ensayo, cada serie con II pastillas, las cuales se llevan a distintas humedades entre el 3 % y el 40% (humedad máxima de saturación). Inmediatamente después de obtener la succión matricial de cada pastilla, se efectúa el ensayo de tracción indirecta de cada cuerpo, a una velocidad aproximada de Imm/minuto.
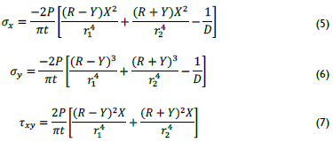
El ensayo de tracción indirecta se adapta del procedimiento que uso Carneiro (1943), en cilindros de concreto para encontrar la resistencia a tracción, el cual básicamente consiste en someter a un cilindro a una compresión diametral hasta que falle por tracción indirecta del espécimen. La solución analítica del ensayo está basada en la teoría de la elasticidad para esfuerzos en un punto, que en términos de coordenadas rectangulares sería como se expresa en las Ecuaciones 5 a 7:

σx, σy, Τxy = Componentes de las tensiones con respecto al sistema coordenado.
x, y = Coordenadas cartesianas de las tensiones.
P = Carga aplicada a la muestra cilíndrica.
t = Espesor del cilindro.
D = Diámetro del cilindro.
R = Radio del cilindro.
r1, r2 = Coordenadas locales.
Para el diámetro horizontal del cilindro, es decir sobre el eje X, Y = 0, r1 = r2 = X2 + R2, las ecuaciones de esfuerzos se simplifican a las Ecuaciones 8, 9 y 10:

El esfuerzo vertical σy a lo largo del eje X, es siempre de compresión y varía de máximo en el centro a cero en el perímetro de la circunferencia como lo muestra la Figura 2, en el centro la magnitud de σy , es igual a -6P/ϖDt y el valor de σx que es un esfuerzo de tensión, es igual a 2P/ϖDt.

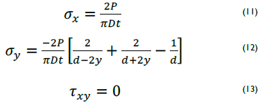
Para el plano vertical a través del centro del cilindro a lo largo del eje Y, las ecuaciones para los esfuerzos se reducen a las expresiones 11, 12 y 13:

El esfuerzo horizontal de tracción, σx , a lo largo del plano vertical tiene un valor constante de 2P/ϖDt y el esfuerzo vertical de compresión varía de -6P/ϖDt en el centro del circulo a ∞ en el perímetro.
El ancho (a) de la aplicación de la carga, tiene implicación en la distribución de tensiones y en la forma de la falla; basado en la Figura 2, la Ecuación 11 se puede rescribir como muestra la Ecuación 14:

Para la determinación de la resistencia al corte de los suelos, Fredlund et al. (1978), proponen considerar la parcela de succión matricial (ua-uw ), expresando la resistencia como se presenta en la Ecuación 15:

Cuando el material no se encuentra saturado y el esfuerzo normal es cero la resistencia al esfuerzo cortante es la suma de la cohesión en condición saturada (c ') más la cohesión aparente debida al aumento de la succión, de esta forma la Ecuación 15 se puede expresar como:

Donde el ángulo de incremento de resistencia por la succión (Øb), en el primer tramo de la curva es igual a:

Con el ángulo d e fricción efectivo del suelo saturado Ø' y la resistencia a la tracción, se puede determinar la resistencia al esfuerzo cortante de la Ecuación 16 a partir de la siguiente expresión:

Donde el valor de la resistencia al esfuerzo cortante sería:

y kp es dado por la Ecuación 20 como:

Según la propuesta de Valencia et al., 2019, el esfuerzo a tracción (σt) y compresión (σc ), se obtienen a partir de las Ecuaciones 21 y 22 con los resultados del ensayo de tracción indirecta, donde:

De esta forma en cada pastilla se conoce la succión matricial obtenida por el método de papel filtro, del ensayo de corte directo en condición consolidada drenada se conoce la cohesión efectiva (c ' ) y el ángulo de fricción efectivo (Ø') en la condición saturada, y del ensayo de tracción indirecta se determina (σt) y σc ), reemplazado en la Ecuación 17 y 19, se tiene para cada condición de succión la resistencia al esfuerzo cortante y por tanto la envolvente de resistencia al corte extendida (Valencia et al., 2019).
Si bien la metodología propuesta por Valencia et al., (2019) se muestra promisoria, es importante efectuar una validación que garantice la veracidad de los resultados, lo cual se consigue por medio de una extensa cantidad de ensayos. En éste caso se realizan 48 ensayos de corte directo en condición consolidada no drenada (ASTM D6528, 2017) a una velocidad de Imm/min, para que la perdida de humedad y por ende los cambios en la succión de las muestras sean mínimos. La distribución se da en 4 condiciones de esfuerzo normal (σ)y 4 condiciones de succión matricial (ua-uw), para tres repeticiones, de tal forma que se tenga el mismo rango de valores de la envolvente extendida obtenida a partir de ensayos simples, y así comparar los resultados.
4. Análisis y discusión de resultados
Ensayo de corte directo condición consolidada drenada
Después de realizar el ensayo de corte directo en condición consolidada drenada, se determina la envolvente de resistencia al cortante con relación al esfuerzo normal, que corresponde a uno de los ejes de la gráfica de Fredlund et al., (1978). Al trazar la envolvente de ruptura lineal, se ajusta una recta con una pendiente que brinda un ángulo de fricción efectiva de 40° y un intercepto con el eje vertical que genera el valor de cohesión efectiva de 26 kPa (Figura 3) ; si bien se efectúa un ajuste lineal, la envolvente de ruptura se observa que no es necesariamente una línea recta, lo cual podría modificar el valor de la cohesión. Según Fredlund et al.. (1978), la pendiente de esta recta no cambia con las condiciones de saturación, se mantiene hasta los valores más bajos y en el eje resistencia a cortante con succión también tiene la misma pendiente hasta el punto de succión en el que entra aire a los macro poros del suelo (Khalili & Khabbaz, 1998), de ahí la importancia del ángulo (ф') en la definición de la envolvente de ruptura al corte en suelos no saturados.

Curva característica de retención de agua
Del ensayo de succión por el método de papel filtro con trayectoria mixta humedeciendo y secando las pastillas a partir de la humedad optima (ASTM D5298, 2016), se obtiene la curva característica de retención de agua (Figura 4) . En dicha curva se puede observar un rango muy amplio de valores de succión matricial desde 34 kPa hasta 26000 kPa, que permitirán obtener una envolvente de ruptura extendida para una gran cantidad de valores.

De la curva de compactación (Figura 1) se observa que para humedades menores del 27 % la densidad permanece relativamente constante, concordando con la curva característica (Figura 4), donde para dicha humedad, el cambio en la succión comienza a ser paulatino, denotándose una variación en la pendiente de la gráfica que corresponde al punto de entrada de aire en los micro-poros del suelo.
Ensayo de tracción indirecta
La resistencia a la tracción indirecta de cada una de las pastillas se ha calculado según la Ecuación 21; con dicho valor, la cohesión efectiva y el ángulo de fricción efectivo, se determina la resistencia al esfuerzo cortante para cada condición de succión (Ecuación 19); en la Figura 5, se presenta la gráfica obtenida.

En la Figura 5 se analiza que, cuando el valor de succión es cero (suelo saturado), la resistencia al cortante presenta un valor de cohesión igual al de la condición saturada del ensayo de corte directo (CD) (Fredlund et al., 1978). Adicionalmente, se puede observar un aumento de resistencia a cortante cuando la succión está alrededor 16000 kPa y luego decrece hasta los 22000 kPa; para valores mayores, cuando se cuenta con la humedad residual, la resistencia a cortante se mantiene constante, tendencia que presenta Khalili & Khabbaz (1998). Esta relación es muy importante porque corresponde a un eje de la envolvente extendida de Fredlund et al. (1978) y junto con la envolvente del corte en condición saturada, pueden proyectarse para encontrar la superficie de resistencia a cortante en tres dimensiones.
Envolvente de ruptura al esfuerzo cortante extendida
Utilizado la ecuación propuesta por Fredlund et al. (1978), se grafican los resultados de cada una de las pastillas ensayadas en las tres dimensiones, como se muestra en la Figura 6, la cual permite obtener la resistencia al corte del suelo (τ) para un determinado esfuerzo normal (σ) a una succión establecida (uα-uw).

De los resultados obtenidos se corrobora la teoría de (Khalili & Khabbaz, 1998) en la que la superficie de envolvente de ruptura al corte, tienen el mismo ángulo de pendiente correspondiente al de la condición saturada (Ø') en el eje de resistencia al corte y esfuerzo normal, luego en el eje de succión el ángulo sigue aumentando ya como (Øb), pero cuando alcanza los valores mas altos de succión empieza a decrecer y al final se mantiene constante cercano a 0°. Esta superficie se puede proyectar hasta cualquier valor de esfuerzo normal requerido y es una de las ventajas de este procedimiento que puede aplicarse a un suelo no saturado y en varias condiciones de esfuerzo normal.
Validación de la metodología empleada
Si bien la metodología propuesta por (Valencia et al.. 2019) se aplica también para suelos finos compactados, es importante efectuar la validación de los resultados obtenidos. En la Tabla 2, se presentan los valores de esfuerzo de corte (τ) para las diferentes succiones-humedades (w) -Saturación (S) y esfuerzos normales (σ) planteados para la validación.

Para visualizar en tres dimensiones los resultados del ensayo de validación, se utilizan barras verticales con los valores extremos de máximos y mínimos de resistencia al corte, asociados a una condición de succión y esfuerzo normal, también se unió con una curva la mediana de estos datos y en el mismo espacio tridimensional se dibujó la otra envolvente de ruptura con el fin de comparar. Se utilizan adicionalmente, líneas punteadas como convención cuando las curvas quedan por debajo de la superficie, y líneas continuas cuando están por encima.
En los resultados de la prueba de validación se observa una tendencia de aumento de la resistencia al esfuerzo cortante con la succión, el máximo valor alcanzado de resistencia por este ensayo es de 685 kPa en promedio y corresponde a una condición de esfuerzo normal de 400 kPa y 25000 kPa de succión; lo que concuerda con la superficie de esta investigación (Figura 6), para las mismas condiciones de succión y esfuerzo normal la resistencia al corte es de 664 kPa.
Comparando las dos superficies (Figura 7) se observa que la envolvente de resistencia al corte de validación coincide a la obtenida a partir de ensayos simples y que la mayor coincidencia se da en los valores de succión de 10000 kPa y en 25000 kPa, en este sentido se considera adecuado decir que la hipótesis planteada es factible y que se puede encontrar la envolvente de resistencia al esfuerzo cortante de suelos no saturados, con los ensayos de corte directo en condición saturada, succión por papel filtro y tracción indirecta.

En el ensayo de corte directo (CU), se observa una caída de resistencia al cortante por aumento de la presión de poros hasta la entrada de aire a los micro poros que corresponde a una succión de 4900 kPa, es decir a partir de este punto el agua se encuentra en los micro poros del suelo con aire y el aumento del esfuerzo normal no incrementa la presión del agua, por lo tanto la resistencia no disminuye por este efecto, también se resalta que a partir de este valor de succión (4900 kPa) las dos superficies se acercan más, con solo una diferencia del 6 %.
5. Conclusiones
Al comparar los resultados del ensayo corte (CU), con el ensayo de corte (CD) para las mismas condiciones de saturación y esfuerzo normal, se observa una caída en la resistencia del ensayo corte (CU), que está relacionada con el aumento de la presión en los poros durante la prueba. La diferencia de resistencia al cortante de las dos superficies es mayor y del orden del 6 % para valores superiores a 5000 kPa, que corresponde a una saturación del 72 %; éstos valores coinciden con datos que se encuentran por debajo de la humedad optima, donde la fase aire se torna continúa siendo poco probable la ocurrencia de presión de poros neutra positiva en el ensayo CU.
La validación de los resultados se realizó con el ensayo de corte directo en condición consolidada no drenada; en otras investigaciones se han utilizado equipos de corte directo o triaxial con succión controlada, pero el rango de succión está limitado a 1500 kPa; en este caso se optó por utilizar el ensayo de corte en condición consolidada no drenada para varias succiones, abarcando un rango más amplio; y cuyos resultados para cada condición de succión y esfuerzo normal tienen un coeficiente de variación del 8 %en promedio, indicando valores próximos entre la metodología propuesta por Valencia et al.) (2019) y la validación presenta en la actual investigación.
Con base en los resultados de la prueba de validación, se evidencia que la hipótesis es acertada, es decir, se tiene la posibilidad de encontrar la envolvente de ruptura al corte extendida de un suelo fino residual compactado de ambiente tropical, para distintas condiciones de succión, con los ensayos simples y asequibles de laboratorio: Corte directo en condición consolidada y drenada, succión por papel filtro y tracción indirecta, en caso de no contar con equipos de corte con succión controlada. Sin embargo, se recomienda realizar el procedimiento en otro tipo de suelos, sin compactar y comparar los resultados con ensayos en equipos de corte directo o triaxial con succión controlada.
Referencias bibliográficas
ANAGNOS, James; KENNEDY, Thomas. Practical method of conducting the indirect tensile test. Technical report, The University of Texas at Austin, 1972. 55 p. https://trid.trb.org/view/117495
ÁREA METROPOLITANA DEL VALLE DE ABURRÁ. Plan de manejo del parque natural regional metropolitano cerro el volador. Technical Report, 2011.
ASTM D2216. Standard Test Method for Laboratory Determination of Water (Moisture) Content of Soil and Rock by Mass, The American Society for Testing and Materials, 2019, 7 p.
ASTM D854. Standard test methods for specific gravity of soil solids by water pycnometer, The American Society for Testing and Materials, 2014, 8p.
ASTM D3080. Standard test method for direct shear test of soils under consolidated drained conditions. The American Society for Testing and Materials, 2011, 9 p.
ASTM D698. Standard Test Methods for Laboratory Compaction Characteristics of Soil Using Standard Effort (12 400 ft-lbf/ft3 (600 kN-m/m3)). The American Society for Testing and Materials, 2012, 13 p.
ASTM D5298. Standard test method for measurement of soil potential (suction) using filter paper. The American Society for Testing and Materials, 2016, 6 p.
ASTM D2487. Standard practice for classification of soils for engineering purposes unified soil classification system. The American Society for Testing and Materials, 2017, 10 p.
ASTM D422-63. Standard Test Method for Particle-Size Analysis of Soils. The American Society for Testing and Materials, 2007, 8p.
ASTM D4318. Standard test methods for liquid limit, plastic limit, and plasticity index of soils. The American Society for Testing and Materials, 2017, 20 p.
ASTM D6528. Standard Test Method for Consolidated Undrained Direct Simple Shear Testing of Fine Grain Soils.The American Society for Testing and Materials, 2017, 10 p.
BADILLO, Juárez; RODRÍGUEZ, Rico. Mecánica de suelos, México: Limusa, 2015, tomo 1, 641 p.
BAI, F-Q.; LIU, Sihong. Measurement of the shear strength of an expansive soil by combining a filter paper method and direct shear tests. Geotechnical Testing Journal, 2012, vol. 3, No. 35, p. 451-459. https://doi.org/10.1520/GTJ103342
BISHOP, Alan. The principle of effective stress. Teknisk Ukeblad, 1959, vol. 39, No.106, 859 - 863 p.
BRAJA, Das. Advanced soil mechanics. London: CRC Press, 5 ed., 2019, 734 p. https://doi.org/10.1201/9781351215183
CAMAPUM DE CARVALHO, Jose. Etude du comportement mécanique d'une marne compactée. Toulouse - França: Tese de doutorado. Institut National des Sciences Appliquées, 1985, 181 p.
CARNEIRO, Fernando. A new method to determine the tensile strength of concrete. In: 5th meeting of the Brazilian Association for Technical Rules, 1943, 3 ed., 126 p.
FREDLUND, Delwyn; MORGENSTERN, Norbert; WIDGER, Allan. The shear strength of unsaturated soils. in: Canadian Geotechnical Journal, 1978, vol. 15, No. 3, p. 313-321. https://doi.org/10.1139/t78-029
FOOKES, Peter. Suelos residuales tropicales. Traducción. Colombia: Hombre nuevo editores, 2004, 235 p.
KAKEHI, Sergio; REIS, Rodrigo; VILAR, Orencio. Estimativa da envoltória de resistência de um solo não saturado a partir de ensaios de compressão simples. Em: V Simpósio Brasileiro de Solos não Saturados, 2004, vol. 1, p. 55-60.
KHALILI, Nasser; KHABBAZ, Hadi. A unique relationship for c for the determination of the shear strength of unsaturated soils. Geotechnique, 1998, vol. 5, No. 48, p. 681 687 https://doi.org/10.1680/geot.1998.48.5.681
LU, Ning; LIKOS, William. Unsaturated soil mechanics. United States of America: A John Wiley and Sons, 2004, 584 p.
MARINHO-MEDEIRO, Fernando. Medição de sucção com o método do papel filtro. Em: X Congresso Brasileiro de Mecânica dos Solos e Engenharia de Fundações, 1994, vol. 1, No. 1, 515-522 p.
NOGAMI, Job; VILLIBOR, Douglas. Pavimentação de Baixo Custo com Solos Lateríticos. São Pablo: Vilibor, 1995, Ist ed., 213 p.
ROMERO, Enrique; FACIO, J.; LLORET, Antonio; GENS, Antonio; ALONSO, E. A new suction and temperature controlled triaxial apparatus. hi: Proc. 14th ICSMFE, Hamburg. A. A. Balkema, Rotterdam, 1997, vol.1, p. 185-188 https://pascal-francis.inist.fr/vibad/index.php?action=getRecordDetail&idt=6251I77
TERZAGHI, Karl. Erdbaumechanik auf bodenphysikalischer grundlage. Leipzig u. Wien, F. Deuticke, Alemania, 1925.
VALENCIA, Yamile; CAMAPUM-DE CARVALHO, Jose; GITIRANA, Gilson. Metodologias simples para determinar em solos parcialmente saturados a envoltória de resistência ao cisalhamento. En_: Revista EIA. 2019, vol. 16, n. 32, p. 43-53, https://doi.org/10.24050/reia.v16132.1218
VILAR, Orencio Monje. A simplified procedure to estimate the shear strength envelope of unsaturated soil. In; Canadian Geotechnical Journal, 2006, vol. 1, No. 43, 1088-1095. https://doi.org/10.1139/t06-055
Notas