Artigo de revisão
Eficácia da criolipólise para redução de gordura subcutânea: uma revisão sistemática e metanálise
Effectiveness of cryolipolysis for subcutaneous fat reduction: a systematic review and meta-analysis
Eficácia da criolipólise para redução de gordura subcutânea: uma revisão sistemática e metanálise
Surgical & Cosmetic Dermatology, vol. 13, e20210005, 2021
Sociedade Brasileira de Dermatologia
Recepção: 05 Agosto 2020
Aprovação: 07 Fevereiro 2021
RESUMO
Introdução: a criolipólise produz um resfriamento seletivo e controlado e baseia-se no conceito de que tecidos ricos em lipídios são mais suscetíveis a lesões por frio, reduzindo gordura subcutânea.
Objetivo: revisar a literatura para avaliar a eficácia da criolipólise na redução de gordura subcutânea.
Métodos: revisão sistemática com metanálise de estudos publicados nas bases de dados EBSCOhost, LILACS e PUBMED.
Resultados: apenas um estudo não apresentou redução significativa na gordura subcutânea quando comparado o grupo de intervenção ao grupo controle. Houve diferença entre os estudos em relação aos parâmetros.
Conclusão: a criolipólise é uma ferramenta eficaz para redução de gordura localizada.
Palavras-chave: Apoptose+ Congelamento+ Gordura Subcutânea.
ABSTRACT
Introduction: Cryolipolysis produces selective, controlled cooling, and it’s based on the concept that lipid-rich tissue is more susceptible to cold injury, reducing subcutaneous fat.
Objective: To review the literature to assess the effectiveness of cryolipolysis in reducing subcutaneous fat.
Methods: Systematic review with meta-analysis of studies published in the EBSCOhost, LILACS, and PUBMED databases.
Results: Only one study did not present significant reduction in subcutaneous fat compared to the control group. There was a difference among the parameters in the studies.
Conclusion: Cryolipolysis is an effective tool for localized fat reduction.
Keywords: Apoptosis, Freezing, Subcutaneous Fat.
INTRODUÇÃO
A procura crescente por métodos de redução de gordura é impulsionada pelo fato de que mais de 56,3% dos adultos brasileiros estão agora com excesso de peso ou são obesos,1 além do desejo de perder gordura rapidamente sem ter que se submeter à cirurgia.2 Desta forma, a criolipólise surge como uma das modalidades mais recentes desenvolvida para a redução não invasiva de gordura localizada.3
O primeiro dispositivo criolipolítico (sistema CoolSculpting, Zeltiq Aesthetics, Pleasanton, CA, EUA) recebeu autorização da Food and Drug Administration (FDA) dos EUA para diminuir a gordura do flanco (K080521), em 2010; para reduzir a gordura abdominal (K120023), em 2012; e para reduzir a gordura interna da coxa (K133212), em abril de 2014.4 Segundo Suh et al.,5 a utilização da criolipólise também foi liberada para região interna da coxa, gordura submentoniana, braços, costas e parte inferior das nádegas.
Essa técnica produz um resfriamento seletivo e controlado e baseia-se no conceito de que tecidos ricos em lipídios são mais suscetíveis a lesões por frio do que o tecido rico em água ao redor.6 Os adipócitos sofrem apoptose mais facilmente por serem células sensíveis ao resfriamento quando comparados a derme, epiderme, músculos, vasos e nervos. Estas células mortas provocam um processo inflamatório e são metabolicamente eliminadas como parte de uma digestão normal.7 De acordo com Avram e Harry,8 imediatamente após o tratamento, as alterações não são perceptíveis. Portanto, adipócitos e membrana celular não são afetados, porém, após três dias de intervenção, há evidências de que ocorre um processo inflamatório somente dos adipócitos e, entre 14 e 30 dias, a fagocitose dos lipídios é aparente, resultando na diminuição do volume tecidual em 60 dias.
Segundo a literatura, é um procedimento seguro, em que há relato de satisfação dos pacientes, especialmente quando comparado a outros procedimentos para redução de gordura localizada.9 Entretanto, com todos os seus benefícios, ainda é escassa uma literatura substancial que demonstre a eficácia deste instrumento. Diante disso, o objetivo geral deste estudo é rever sistematicamente a literatura disponível para avaliar a eficácia da criolipólise na redução de gordura subcutânea. Os objetivos específicos do presente estudo são: determinar os valores de temperatura comumente utilizados para redução da gordura subcutânea; determinar o tempo de aplicação comumente utilizado para redução da gordura subcutânea; investigar na literatura se a temperatura determinada no equipamento de criolipólise influencia na redução da gordura subcutânea; investigar na literatura se o tempo de aplicação da criolipólise influencia na redução da gordura subcutânea.
MATERIAIS E MÉTODOS
Trata-se de um estudo de revisão sistemática, que foi conduzido conforme a metodologia PRISMA (Preferred Reporting Items for Systematic Reviews and Meta Analysis).10 Para a elaboração da questão norteadora do presente estudo foi empregada a estratégia PICOS: (P) indivíduos com gordura subcutânea, (I) criolipólise, (C) grupo controle ou grupo placebo, ou seja, que não receberam a intervenção de resfriamento, (O) redução da gordura subcutânea e (S) ensaios clínicos aleatorizados.
A busca bibliográfica foi realizada nas seguintes bases de dados: EBSCOhost, LILACS e PUBMED. A busca foi feita utilizando-se os seguintes termos: (tw:(cryolipolysis)) OR (tw:(lipocryolysis)) OR (tw:(fat freezing)) OR (tw:(coolsculpting)) OR (tw:(adipocytolysis)) OR (mh:(cryotherapy)) AND (mh:(adiposity)) OR (mh:(subcutaneous fat)) OR (tw:(fat reduction)) OR (tw:(fat)) OR (tw:(localized fat)) OR (mh:(body contouring)) OR (tw:(nonsurgical reduction of fat)) OR (tw:(noninvasive fat removal)) OR (tw:(noninvasive body contouring)). Além da pesquisa eletrônica, foi feita uma pesquisa manual nas referências bibliográficas dos estudos previamente selecionados.
Foram incluídos ensaios clínicos aleatorizados, publicados no período entre 2010 e 2019, nas línguas inglesa, portuguesa e espanhola, que possuíam texto completo; os artigos selecionados foram aqueles realizados em humanos de ambos os sexos, com idade entre 18 e 59 anos e que utilizaram a criolipólise para redução de gordura localizada de coxa, flanco, abdome, braço ou região submentoniana.
Foram excluídos artigos de revisão, estudos com animais, aqueles que utilizassem outro tratamento em conjunto com a criolipólise com objetivo de redução de gordura localizada, senão massagem local; também foram excluídos aqueles cujo objetivo da intervenção não fosse a diminuição da gordura localizada e que realizasse tratamento com aplicação de resfriamento três vezes ou mais na mesma área tratada.
A extração de dados foi realizada por dois pesquisadores que revisaram de forma independente e cegada os títulos e resumos dos potenciais artigos. Os títulos e resumos selecionados foram submetidos à revisão completa. Um terceiro pesquisador foi consultado ao haver divergências na inclusão e exclusão de artigos. A qualidade metodológica dos estudos foi avaliada por meio da escala PEDro, desenvolvida pela Physiotherapy Evidence Database para ser empregada em estudos experimentais. Segundo Morton,11 a escala PEDro é uma medida válida para avaliar a qualidade metodológica de ensaios clínicos. A escala possui uma pontuação total de até 10 pontos, incluindo critérios de avaliação de validade interna e apresentação da análise estatística empregada. Para cada critério definido na escala, um ponto (1) é atribuído à presença de indicadores da qualidade da evidência apresentada, e zero ponto (0) é atribuído à ausência desses indicadores. A escala PEDro foi aplicada de forma independente e cegada por dois pesquisadores.
A análise estatística foi feita por meio do programa Review Manager (RevMan) desenvolvido com a colaboração da Cochrane. As características das amostras entre os estudos eram distintas, resultando em uma maior heterogeneidade. No caso de heterogeneidade estatística significante (I2>50%), um efeito de estudos aleatórios foi utilizado para a metanálise.
RESULTADOS
As pesquisas realizadas nas bases de dados somadas a 30 estudos identificados por meio da pesquisa manual resultaram em um total de 1.147 artigos. Após a eliminação de artigos duplicados, restaram 972 artigos, dos quais 862 foram excluídos pelo título e 51 pelo resumo. Dentre os 59 artigos avaliados para elegibilidade, 55 foram excluídos, pois: 22 eram estudos de coorte, revisão sistemática ou de literatura, relato de caso ou piloto; 17 possuíam idades dos participantes incompatíveis com os critérios de inclusão (acima de 59 anos); cinco estudos eram quase-experimentais; três estudos utilizaram múltiplos tratamentos em conjunto com a criolipólise; dois artigos aplicavam a criolipólise em região de mama e costas; um artigo não tinha como desfecho principal a criolipólise; e cinco artigos não foram encontrados para download ou não foram disponibilizados. Dessa forma, quatro artigos foram incluídos nesta revisão sistemática (Figura 1). Na base PubMed, foi encontrada a maior porcentagem de artigos (79,08%), seguida pelas bases EBSCOhost (11,68%) e LILACS (6,62%).

Os quatro estudos incluídos na presente revisão5,12,13,14 envolveram o total de 117 participantes, variando entre 11 e 60 em cada estudo. A amostra foi composta predominantemente pelo sexo feminino (81,20%), e a idade variou entre 25 e 49 anos. Todos os estudos avaliaram o efeito da criolipólise para redução de gordura localizada. Os instrumentos de medida utilizados foram: ultrassom,5 fotografia,5,13 escala visual analógica,14 questionário de satisfação,13 índice de massa corporal (IMC),12 antropometria,5,14 paquimetria,12,13 perimetria5,14 e peso12,13. As regiões tratadas foram abdome5,12,14 e flanco13.
Todos os estudos analisados apresentaram redução significativa na gordura subcutânea e/ou redução da circunferência da gordura localizada, como pode ser observado na tabela 1, com exceção do estudo de Falster et al.14 Entretanto, em relação aos parâmetros de aplicação da criolipólise, houve diferença entre os estudos.

Ao analisar a temperatura de resfriamento adotada pelos estudos incluídos na presente revisão, observou-se que a mesma variou em poucos graus bem como a forma de ajuste da temperatura nos equipamentos. A temperatura foi ajustada em graus Celsius, em dois estudos, e em CIF, em outros dois, com variação de 1 grau Celsius e 0,4 CIF, respectivamente.
A média da qualidade metodológica avaliada pela escala PEDro foi de 6,75, sendo que nenhum artigo pontuou nota menor que cinco ou maior que nove. Os critérios com maior déficit entre os artigos analisados foram os relacionados ao cegamento do sujeito, da amostra e do avaliador (Tabela 2).

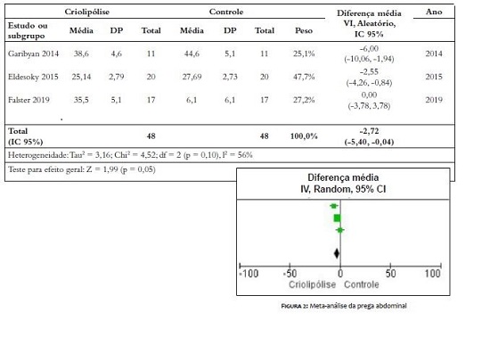
Além disso, foi realizada uma metanálise comparando três estudos desta revisão12,13,14. Estes foram os únicos, dos quatro autores, que utilizaram uma forma de avaliação equivalente (paquimetria) para medir a dobra cutânea do abdome e dos flancos. Foram incluídos 96 participantes na metanálise, 48 no grupo experimental e 48 no grupo controle. Observou-se uma redução de gordura corporal estatisticamente significativa de 2,27mm (IC 95% -5,40 a -0,04; Tau2=3,16; Chi2 =4,52; I2 =56%) no grupo intervenção em relação ao controle, conforme demonstrado na figura 2.

Os valores de temperatura e tempo encontrados nos artigos não são padronizados, eles variam. São comumente observados temperaturas entre -5 a -15ºC e tempo entre 30 e 60 minutos como relatado na revisão de Borges e Scorza.15 Ainda sobre Borges e Scorza,15 eles relatam que a temperatura ajustada no equipamento não é a mesma observada no tecido adiposo, principalmente a níveis profundos, no entanto esse efeito não é prejudicial à intervenção; eles também afirmam que, apesar de variar, na prática clínica, o tempo mais utilizado é o de 60 minutos.
Ao investigar a literatura, não foi possível encontrar muitos artigos que relacionam a influência do tempo e da temperatura na redução da gordura subcutânea, no entanto, no estudo de Maia16, 53 indivíduos receberam uma aplicação de criolipólise na região abdominal inferior e, diferentemente da temperatura convencional aplicada no estudo de Maia16, dois grupos (no total de quatro grupos) receberam o tratamento por 70 minutos; neste estudo, o protocolo que apresentou resultados mais significativos foi a combinação entre tempo de 70 minutos e temperaturas variáveis (-5 e -8°C), o que corrobora a afirmação de Grivicich et al.17 que enuncia que quando ocorre diminuição da temperatura corporal há maior gasto das reservas energéticas (lipídios) devido ao aumento da taxa metabólica. Essa teoria indica que, quanto mais baixa a temperatura, melhor a redução da gordura localizada devido à transformação de líquido (temperatura corporal) para sólido (pós-resfriamento) do tecido adiposo (Limonta et al.).18
DISCUSSÃO
De acordo com o estudo de Adjadj et al.19, a criolipólise tornou-se padrão-ouro para a redução de gordura subcutânea em áreas como abdome, joelhos, flancos, parte interna das coxas, costas e braços, sendo uma boa alternativa para a redução de tecido subcutâneo em pacientes com gordura moderada. Isso corrobora o resultado encontrado na metanálise, em que pôde ser observada a significância dos estudos para a aplicação da criolipólise com o objetivo de diminuição da prega subcutânea. Entretanto, essa redução foi em média de -2,72 (IC95% -5,40 a -0,04mm), o que produz inquirições em relação à aplicabilidade desse método para o ambiente clínico, visto que não é essencialmente visível essa redução de gordura subcutânea para o paciente na clínica.
Apesar de não haver conformidade sobre tempo de aplicação e temperatura na maioria dos estudos, a criolipólise mostrou-se eficaz para a redução de gordura localizada. A temperatura variou entre Celsius (-10° C e -11° C) e CIF (41,6 e 42); o tempo de aplicação variou entre 30 e 70 minutos.
Três estudos incluídos nesta revisão sistemática indicaram resultados significativos em relação à redução da gordura subcutânea. O estudo de Garibyan et al.13 observou que, após dois meses de tratamento, a média de volume reduzido foi de 39,5cm3 quando comparado com o lado controle (p<0,01); já a redução da espessura da gordura foi de 14,9% do lado tratado e 0,7% no lado controle (p<0,01). O estudo de Eldesoky et al.12 também apontou resultados significativos no grupo em que a criolipólise e dieta (grupo B) foram utilizadas. Houve uma redução de índice de massa corporal de 5,83% (p<0,01), da circunferência da cintura de 6,47% (p<0,0001) e da dobra suprailíaca de 17,41% (p<0,01). Por fim, o estudo de Suh et al.5 apresentou resultados significativos ao observar, por meio do ultrassom, uma redução de 6,04mm (desvio-padrão de 4,57mm) no abdome tratado (p=0,03). Todavia, um estudo14 não apresentou resultados significativos ao comparar o grupo controle com o grupo experimental em todos os métodos de avaliação, o que pode ser explicado pelo fato de a média de idade e a média de peso dos participantes do estudo serem inferiores aos outros estudos incluídos na pesquisa.
Os estudos de Garibyan et al.13 e Suh et al.5 utilizaram um sistema desenvolvido pela Zeltiq Aesthetic Inc (Pleasanton, CA), que elaborou um mecanismo exclusivo de temperatura, nomeado de Fator de Intensidade de Resfriamento, CIF (Cooling Intensity Factor), que representa a taxa de influxo de calor para dentro ou para fora do tecido oposto ao dispositivo de arrefecimento.12 Ambos os estudos obtiveram resultados significativos em relação à redução da gordura subcutânea. Nos demais estudos incluídos, a temperatura foi medida em graus Celsius. Os equipamentos disponíveis atualmente no mercado apresentam faixa de variação da temperatura de -5°C a -15°C.15
Já no estudo de Eldesoky et al.12, as baixas temperaturas (CIF 42) demonstraram resultado significativo na técnica de criolipólise em relação à redução da espessura de gordura, sendo apresentada maior lesão apoptótica nos adipócitos. Entretanto, o estudo de Falster et al.,14 que utilizou a temperatura de -10ºC, não obteve resultados significativos de melhora em nenhum dos instrumentos avaliados.
Em relação ao tempo de aplicação, foi utilizado no estudo de Garibyan et al.13 o tempo de 60 minutos, observando-se redução do volume do flanco e das medidas do paquímetro (p<0,01). No estudo de Eldesoky et al.12, o grupo de criolipólise utilizou a terapia por 30 minutos e também obteve resultados satisfatórios, como a redução significativa de peso, dobras cutâneas e circunferência (p<0,01). O estudo de Suh et al.5 utilizou o tempo de 35 minutos, que foi repetido duas vezes, totalizando 70 minutos de aplicação da criolipólise, obtendo resultado significativo de redução da gordura subcutânea (p=0,03). Por fim, o estudo de Falster et al.14 aplicou a criolipólise por 55 minutos, de acordo com o protocolo de Derrick et al.,20 não obtendo resultados significativos (p>0,05), o que pode ser explicado pela diferença apresentada na idade e no peso dos participantes em relação aos outros estudos.
A literatura demonstra que os protocolos utilizados para a aplicação da criolipólise variam de 30 a 60 minutos13,15,21,22) e estes apresentam bom resultado estatístico e clínico. Apenas um estudo não se adequou a este padrão, que foi o de Suh et al.5, que utilizou a criolipólise por 70 minutos, e foi retirado a partir do estudo de Kilmer et al.23 Além disso, o estudo de Falster et al.,14 mesmo utilizando o tempo de aplicação dentro dos padrões da literatura, não obteve resultado significativo, sendo então dificultada a análise da relação direta entre o tempo de aplicação e melhores resultados.
Os efeitos colaterais da criolipólise demonstrados nas pesquisas foram: eritema após a sessão;13,19 hiperpigmentação da pele;19 bolhas na região tratada12; edema13; e dor13. Entre os efeitos colaterais também observou-se que 100% dos participantes tiveram redução da sensibilidade por 10 minutos após a aplicação, 73% após três semanas e 18% no segundo mês pós-tratamento13. Esses efeitos são relatados em diversos estudos após o uso da criolipólise, porém vários pesquisadores relatam que estes ocorrem em curto prazo de tempo e não trazem repercussões importantes.24,25
Os achados dessa pesquisa mostram a necessidade de mais estudos nessa área com boa qualidade metodológica e que padronizem seus instrumentos de avaliação para realização de novas metanálises para que haja segurança na aplicação da criolipólise como método de redução de gordura subcutânea. Porém, o estudo apresentou como limitações a não realização da pesquisa em todas as bases de dados científicas e somente a inclusão de artigos publicados no período entre 2010 e 2019, nas línguas inglesa, portuguesa, espanhola, que possuíam texto completo.
CONCLUSÃO
A forma de avaliação das áreas submetidas à criolipólise não apresentou uma conformidade: os artigos utilizam parâmetros que se repetem em diferentes autores e também parâmetros que foram citados em um único artigo. Porém, como demonstrado na metanálise, conclui-se que a criolipólise é uma ferramenta eficaz na redução de gordura subcutânea. No entanto, outros estudos de melhor qualidade metodológica, que investiguem a temperatura e o tempo de aplicação para redução de gordura subcutânea e apresentem uma padronização dos métodos de avaliação, devem ser propostos, dada a escassez na literatura.
REFERÊNCIAS
Sa NNB, Moura EC. Excesso de peso: determinantes sociodemográficos e comportamentais em adultos, Brasil, 2008. Cad Saúde Pública. 2011;27(7):1380-92.
Mulholland RS, Paul MD, Chalfoun C. Noninvasive body contouring with radiofrequency, ultrasound, cryolipolysis, and low-level laser therapy. Clin Plast Surg. 2011;38(3):503-20.
Ingargiola MJ, Motakef S, Chung MT, Vasconez HC, Sasaki GH. Cryolipolysis for fat reduction and body contouring: safety and efficacy of current treatment paradigms. Plast Reconstr Surg. 2015;135(6):1581-90.
Lee SJ, Jang HW, Kim MH, Suh DH, Ryu HJ. Non-invasive cryolipolysis to reduce subcutaneous fat in the arms. J Cosmet Laser Ther. 2016;18(3):126-9.
Suh DH, Park JH, Kim BY, Lee SJ, Moon JH, Ryu HJ. Double stacking cryolipolysis treatment of the abdominal fat with use of a novel contoured applicator. J Cosmet Laser Ther. 2019;21(4):238-42.
Savacini MB, Bueno DT, Molina ACS, Lopes ACA, Silva CN, Moreira RG, et al. Effectiveness and safety of contrast cryolipolysis for subcutaneous-fat reduction. Dermatol Res Pract. 2018;(2):1-9.
Ferraro GA, Francesco F, Cataldo C, Rossano F, Nicoletti G, D'Andea F. Synergistic effects of cryolipolysis and shock waves for noninvasive body contouring. Aesthetic Plast Surg. 2012;36(3):666-79.
Avram MM, Harry RS. Cryolipolysis for subcutaneous fat layer reduction. Lasers Surg Med. 2009;41(10):703-8.
Dierickx CC, Mazer JM, Sand M, Koenig S, Arigon V. Safety, tolerance, and patient satisfaction with noninvasive cryolipolysis. Dermatol Surg. 2013;39(8):1209-16.
Galvão TF, Pansani TSA. Principais itens para relatar revisões sistemáticas e meta- análises: a recomendação PRISMA. 2015;24(2):335-342.
De Morton NA. The PEDro scale is a valid measure of the methodological quality of clinical trials: a demographic study. Aust J Physiother. 2009;55(2):129-33.
Eldesoky MTM, Abutaleb EEM, Mousa GSM. Ultrasound cavitation versus cryolipolysis for non-invasive body contouring. Australas J Dermatol. 2016;57(4):288-93.
Garibyan L, Sipprell WH, Jalian RH, Sakamoto FH, Avram M, Anderson RR. Three-dimensional volumetric quantification of fat loss following cryolipolysis. Lasers Surg Med. 2014;46(2):75-80.
Falster M, Schardong J, Santos DP, Machado BC, Peres A, Rosa PV, et al. Efeitos da criolipólise na espessura da gordura abdominal inferior de mulheres saudáveis e satisfação do paciente: um estudo controlado randomizado. Rev Bras Fisio. 2019.
Borges FS, Scorza FA. Fundamentos da criolipólise. Fisio Ser. 2014;9(4):219-24.
Maia VRC. Desenvolvimento de um protocolo biomédico para a redução da adiposidade abdominal feminina utilizando a criolipólise. Curitiba. Dissertação [Programa de Pós- Graduação em Engenharia Biomédica] - Universidade Tecnológica Federal do Paraná; 2018. Available from: http://repositorio.utfpr.edu.br/jspui/handle/1/3402.
Grivicich I, Regner A, Rocha AB. Morte celular por apoptose. Revista Brasileira de Cancerologia. 2007;53(3):335-43.
Limonta AN, Ribeiro V da S, Gomes JPC, Moraes CAP. Criolipólise: a importância da membrana anticongelante na prevenção de queimaduras. InterfacEHS. 2017;12(1):128-43.
Adjadj L, SidAhmed-Mezi M, Mondoloni M, Meningaud JP, Hersant B. Assessment of the efficacy of cryolipolysis on saddlebags: a prospective study of 53 patients. Plast Reconstr Surg. 2017;140(1):50-7.
Derrick CD, Shridharani SM, Broyles JM. The safety and efficacy of cryolipolysis: a systematic review of available literature. Aesthetic Surg J. 2015;35(7):830-6.
Manstein D, Laubach H, Watanabe K, Farinelli W, Zurakowski D, Anderson RR. Selective cryolysis: a novel method of noninvasive fat removal. Lasers Surg Med. 2008 ;40(9):595-604.
Coleman SR, Sachdeva K, Egbert BM, Preciado J, Allison J. Clinical efficacy of noninvasive cryolipolysis and its effects on peripheral nerves. Aesthetic Plastic Surgery. 2009;33(4):482-8.
Kilmer SL. Prototype coolcup cryolipolysis applicator with over 40% reduced treatment time demonstrates equivalent safety and efficacy with greater patient preference. Lasers Surg Med . 2017;49(1):63-8.
Non-invasive cryolipolysis for subcutaneous fat reduction does not affect serum liipid levels or liver function tests. Lasers Surg Med . 2009;41(10):785-90.
Stevens WG, Pietrzak LK, Spring MA. Broad overview of a clinical and commercial experience with cool sculpting. Aesthet Surg J. 2013;33(6):835-46.
Notas
Autor notes
Correspondência Fernanda Souza da Silva E-mail: fernanda.silva@cienciasmedicasmg.edu.br
Declaração de interesses