Matemáticas y ciencias sociales
Dinámicas de asistencia al supermercado "El Farolito" en condiciones de pandemia
Attendance dynamics to supermarket “El Farolito” in pandemic conditions
Dinámicas de asistencia al supermercado "El Farolito" en condiciones de pandemia
Política y Cultura, núm. 55, pp. 151-175, 2021
Universidad Autónoma Metropolitana
Recepción: 31 Octubre 2020
Aprobación: 12 Abril 2021
Resumen: Este artículo presenta un modelo computacional basado en agentes para analizar escenarios abstractos de dinámicas de asistencia a un supermercado en condiciones de pandemia. Se formulan escenarios con 30% de aforo en el establecimiento y prácticas de cuarentena para mitigar el impacto de contagios. Como base, se retoman elementos del proceso de decisión de individuos con racionalidad limitada, planteado en el modelo del “Bar El Farol” de Brian Arthur y la dinámica de difusión de epidemias de un modelo de agentes sano-infectado-recuperado. A partir del modelo y la técnica de variación de parámetros, se realiza un ejercicio para comprender la dinámica de contagios a partir de la toma de decisión individual motivada por la asistencia a un supermercado. Se encuentra que el procesamiento de la información local por parte de los agentes, es determinante para sobrepasar un aforo del 30% de capacidad aun cuando parte de la población contagiada aplique cuarentena.
Palabras clave: pandemia, modelos basados en agentes, modelo sano-infectado-recuperado, modelo del bar “El Farol”, racionalidad limitada.
Abstract: This work presents an agent-based computational model to analyze abstract scenarios of supermarket attendance dynamics in pandemic conditions. Scenarios with 30% capacity in the establishment and quarantine practices to mitigate the impact of infections are formulated. Elements of decision process of individuals with bounded rationality of Brian Arthur’s “Bar El Farol” model and the epidemic diffusion dynamics of susceptible-infected-recovered agent-based model are considered. Through the model and the parameter variation technique, an exercise is carried out to understand the dynamics of contagions from individual decision-making motivated by attending a supermarket. We found that the local information processing by the agents is decisive for exceeding a 30% of capacity even when part of the infected population applies quarantine.
Keywords: pandemic, agent-based modeling, susceptible-infected-recovery model, “bar El Farol” model, bounded rationality.
introducción
Ante la pandemia por covid-19, los gobiernos de los diversos países se enfrentaron a la decisión de darle prioridad a la salud o a la economía, en ambas hay consecuencias sobre el bienestar de la población. Se intuye que la implementación de medidas de distanciamiento social con cuarentena para enfrentar la pandemia, detiene la actividad económica, generando recesión que afecta a amplios sectores de la población y, principalmente, a los de bajos ingresos; por otro lado, una estrategia a favor de la apertura del comercio y de la actividad económica puede poner al límite la capacidad del sistema de salud y, por ende, poner en riesgo la vida de muchas personas. Modelar la relación salud-economía y sus interacciones representa un reto para los investigadores de la salud y de las ciencias sociales ya que escapa al determinismo; afortunadamente, las metodologías de los sistemas complejos fortalecen los estudios de modelización de este fenómeno. En particular, la modelación basada en agentes (MBA) es una herramienta de ayuda para estudiar los efectos e interacciones de las medidas sanitarias y restricciones de la actividad económica conforme avanza la pandemia; primero en escenarios abstractos, y después en casos aplicados de estudios.
Algunos gobiernos optaron por medidas sanitarias de sana distancia, uso de mascarillas y cubrebocas; y como medidas restrictivas de la actividad económica, apertura de comercios y servicios con aforo al 30, 40 y 50%, dependiendo del color del semáforo sanitario. En estas condiciones, sin duda, hay dos mecanismos en juego que son detonantes y causa de expansión de la pandemia, la toma de decisión individual de visitar lugares concurridos y el efecto de los contagios. Lograr captar y simular estos detonantes se vuelve crucial para entender la dinámica de este fenómeno e insistir en sugerencias de comportamiento.
Durante una pandemia, los lugares que proveen productos básicos de consumo, como los supermercados, se pueden volver detonadores de incremento de contagios si no se aplican medidas adecuadas de contención, por tal razón es importante estudiar este tipo de dinámica.
La manera convencional en la que se modelan estos sucesos asume un enfoque top-down con énfasis en el cambio de variables en el tiempo sin considerar espacio e información completa.
En este sentido, la pregunta que guía el artículo es ¿qué dinámicas de asistencia al supermercado en condición de pandemia se generan considerando una toma de decisión individual de agentes heterogéneos con racionalidad limitada? Y como pregunta particular: ¿cuál es la dinámica de contagio ante un aforo del 30%, con la aplicación de cuarentena? Para tratar de responder a estas preguntas, se propone un modelo computacional abstracto con la integración de la toma de decisión individual del modelo del “Bar El Farol” de W. Brian Arthur1 y mecanismos de difusión de enfermedades, para simular la asistencia de agentes individuales a un supermercado en condiciones de pandemia, de manera particular, atendiendo las medidas de 30% de aforo y cuarentena.
La prioridad entre salud o economía
La pandemia generada por la propagación del virus SARS-CoV-2 evidenció las limitaciones inherentes a los países, de tal forma que el estancamiento, la desigualdad económica y social, el desempleo y la pobreza se acentuaron.2 De acuerdo con el Banco Mundial, la actividad económica mundial registró una tasa de 2.3% en 2019 y tuvo una caída considerable en 2020 de -4.3%,3 como consecuencia del efecto recesivo generado por las medidas puestas en práctica contra la pandemia en los diferentes países. A nivel regional, la situación es más grave; en particular, en América Latina y el Caribe se observa que la actividad económica registró una tasa de crecimiento de sólo 1% en 2019, como parte de la tendencia recesiva que observó la economía mundial durante ese año, y se desplomó a -6.9% en 2020.4 Cabe señalar que, a su vez, uno de los sectores más afectados en la región por la pandemia es el de servicios, especialmente comercio y turismo.5 Ante esta situación, los gobiernos de América Latina y el Caribe, pincipalmente aquellos que registran un mayor número de contagios, se enfrentan –desde el punto de vista de la toma de decisiones de política pública– a un dilema: por una parte, tomar medidas para el cuidado de la salud de la población sin sobrepasar la capacidad de los sistemas de salud, lo cual implica frenar la actividad económica y agudizar la recesión y, por otra, frente a la recesión, reactivar la actividad económica, lo que implica aflojar las medidas restrictivas que ayudan a contener la velocidad de propagación del virus y que pone en riesgo la salud de una gran parte de la población, desbordando así la capacidad de los sistemas de salud.
Ante esta situación, algunos gobiernos implementaron políticas encaminadas a no caer en las posibilidades extremas del dilema. Un caso claro en este sentido son las medidas llevadas a cabo por el gobierno de la Ciudad de México en la fase de “nueva normalidad”, sobre los aforos en establecimientos comerciales y medidas sanitarias. Por ejemplo, los restaurantes pueden tener en el interior un aforo del 30% y sumando el exterior uno del 40%; uso de ventilación natural; uso de cubrebocas y gel antibacterial al 70% de alcohol, así como promover la sana distancia. En el caso de supermercados se permite un aforo del 30% aunado a las demás medidas.
Frente a estos escenarios complejos y para mitigar la incertidumbre sobre la evolución de la pandemia, así como para tener un poco de certeza sobre las decisiones a tomar, cada vez más se recurren a modelos matemáticos y computacionales para comprender el fenómeno. En palabras de Gilbert y Troitzsch,6 “los modelos son una simplificación (más pequeña, menos detallada, menos compleja, o todo ello al mismo tiempo) de alguna otra estructura o sistema”, lo que permite establecer relaciones entre las variables y explorar posibles escenarios. En la actualidad se recurre a las simulaciones computacionales (ejecuciones de modelos formales) para “pensar acerca de los procesos sociales y económicos, basadas en algunas ideas acerca del surgimiento de comportamiento complejo a partir de actividades relativamente simples”.7
En el siguiente apartado se recuperan las ideas básicas de modelación de propagación de una pandemia a partir del modelo clásico sano-infectado-recuperado, ya que se retoman elementos para la implementación del modelo computacional.
El modelo sano-infectado-recuperado
Este modelo de William O. Kermack y A.G. McKendrick8 clasifica a la población en tres grupos, susceptibles, infectados y recuperados, para estudiar la propagación de una enfermedad. Este tipo de modelos dinámicos de compartimientos epidémicos se desarrollaron a lo largo del siglo XX, pero tuvieron un gran auge a partir de la epidemia del sida en la década de 1980; en particular, la epidemia de la influenza AH1N1 de 2009 revivió el modelo básico sano-infectado-recuperado (SIR) que se creía superado por modelos más sofisticados.9
El uso del modelo tiene tres propósitos: entender los mecanismos que influyen en la propagación de una enfermedad, predecir el curso de una epidemia y detectar umbrales poblacionales más allá de los cuales existe el riesgo epidémico, con el fin de sugerir tareas de control y establecer políticas de salud.

El modelo SIR parte de los siguientes supuestos: la población total N se mantiene constante en el tiempo, esto significa que la suma de susceptibles (S), infectados (I) y recuperados (R) determina el total de la población; la transmisión es por contacto directo; la probabilidad de contacto entre un infeccioso y susceptible es S/N; la tasa a la que se propaga la enfermedad es proporcional al número de individuos susceptibles, multiplicado por el número de infecciosos; una fracción de infectados por unidad de tiempo deja este grupo para convertirse en recuperados con inmunidad permanente y no hay migraciones.
El modelo SIR muestra la dinámica del contagio de una enfermedad para una población de manera determinista, se considera un enfoque top-down, esto es, un sistema de ecuaciones diferenciales que rige la conducta de todos los individuos en igualdad de circunstancias, haciendo uso de parámetros de contagio que no cambian con el tiempo. Si bien es cierto que en este tipo de modelos se permite la interacción entre sus tres compartimentos, la modelación se complica si queremos involucrar el comportamiento individual, espacio heterogéneo y políticas de intervención pública.
La modelación del comportamiento humano ante la pandemia resulta un reto porque existe una interacción entre el comportamiento individual y la estrategia gubernamental, siguiendo a Sebastian Funk et al.,10 rara vez se detalla cómo estas reacciones pueden cuantificarse y capturarse en un modelo sistemático. En el contexto de eventos globales, como la pandemia por influenza en 2009 y ahora con el covid-19, el modelo SIR como fundamento, combinado con la metodología de la modelación basada en agentes (MBA), ha revitalizado la exploración de modelos epidemiológicos, ya sea para explorar escenarios abstractos, con el fin de entender las dinámicas, o como casos de estudio donde el modelo se alimenta con datos de la realidad para pronosticar posibles resultados.
Sin ser exhaustivos, el investigador puede centrarse en el comportamiento individual y sus efectos en la evolución de una pandemia, el rol de la intervención pública en la mitigación de la pandemia o los efectos económicos de la pandemia en cada una de sus fases de evolución.
A continuación se describen las principales características de la modelación basada en agentes.
modelación basada en agentes
La modelación basada en agentes (MBA) es una metodología ampliamente utilizada en el estudio de sistemas complejos;11 es adecuada para modelar fenómenos colectivos (numerosos agentes interactuando) y descentralizados (sin un aparente líder o guía). La agregación de agentes permite observar dinámicas de autoorganización y de emergencia de patrones y comportamientos en una escala de organización superior.12
Los modelos basados en agentes están constituidos básicamente por tres componentes: agentes, entorno y relaciones. Los agentes son objetos computacionales que cambian sus estados internos a partir de la ejecución de un conjunto de reglas de operación. Debido a que el enfoque de modelación es bottom-up; permite definir atributos y características particulares a cada agente y de esta manera generar heterogeneidad en el sistema, además de la posibilidad de introducir componentes aleatorios, por ejemplo, las posiciones de los agentes en el espacio. Los agentes tienen un conjunto de reglas o modelo interno13 que ejecutan a partir de la información que proviene del entorno; pueden ser reactivos, su desempeño es dependiente del contexto; con habilidad social, se comunican con otros agentes; y proactivos, desempeñan estrategias para lograr el objetivo planteado. Estas características hacen que el agente emule una de las características inherentes en los sistemas sociales, la operación con información incompleta y racionalidad limitada.14 El agente se puede tornar complejo ya que, además, permite un almacenamiento de estados (historia) para promover una mejor toma de decisión, el entorno tiene injerencia sobre estos agentes de tal manera que experimenta procesos de adaptación.
Por otro lado, el entorno es la región espacial donde interactúan los agentes. La estructura se define (usualmente) como una retícula homogénea cuadrada de celdas, donde cada celda puede tener un conjunto de valores ya sea continuos o discretos. La definición de estados de las celdas se encarga de mapear ciertas características del entorno a modelar; por ejemplo, si deseamos modelar una carretera, las celdas podrían emular una vía, si es una ciudad, las celdas podrían ser edificios, etcétera. La celda involucra una unidad de modelación espacial dependiente del contexto del fenómeno.
A continuación se presenta un breve estado de la discusión de los estudios de comportamiento individual e intervención pública –a partir de la metodología de la MBA– surgidos durante la actual pandemia enfatizando los efectos de las medidas sanitarias y las condiciones de reapertura de la actividad económica.
Modelos computacionales y pandemias
En general, los modelos que analizan la dinámica de la pandemia covid-19 y sus efectos sobre la población y la economía, toman como base el modelo SIR, combinado con nuevas herramientas metodológicas, como la MBA, donde los supuestos de homogeneidad de los agentes y la racionalidad completa son relajados. La característica de espacio territorial, la diversidad de los agentes y la intervención pública quedan explícitamente definidas ante un entorno de pandemia, aspectos cruciales para los hacedores de política pública.
Dada la gran diversidad de propuestas, atendiendo al espacio territorial, se pueden situar las siguientes tipologías en función de la escala espacial; por un lado, están aquellos que modelan centros específicos como escuelas, supermercados y centros de trabajo; por otro, aquellos que simulan regiones, ciudades y/o países.
En los estudios para espacios cerrados en instalaciones, Erik Cuevas15 propone un MBA que simula una sociedad cerrada donde los agentes poseen un entorno limitado compartido. La comunidad está formada por individuos, grupos de familias, empresas y un gobierno; el modelo mostró resultados útiles y prometedores que pueden ayudar a los tomadores de decisiones para determinar estrategias óptimas para reducir las tasas de infección en instalaciones interiores y ambientes cerrados.
P.C.L. Silva et al.16 construyen un MBA del tipo Susceptible-Exposed-Infected-Recovery (SEIR) que tiene como objetivo simular la dinámica de la pandemia utilizando una sociedad de agentes que emulan a personas, empresas y gobierno. Se analizaron siete escenarios diferentes de intervenciones de distanciamiento social, con diferentes efectos epidemiológicos y económicos.
Felipe Araya17 presenta un MBA para comprender el impacto potencial de la covid-19 en los trabajadores del sector construcción. El estudio revela que la fuerza laboral de un proyecto de construcción puede reducirse entre 30 y 90% debido a la propagación de covid-19.
P.T. Gressman y J.R. Peck18 desarrollaron un MBA estocástico para de-terminar si las clases presenciales podrían continuar de manera segura durante la pandemia y evaluar la necesidad de varias intervenciones. Los resultados de la simulación indican que el rastreo de contactos y la cuarentena son componentes importantes de una estrategia exitosa para contener los brotes en el campus.
F. Ying y N. O’Clery19 presentan un MBA para modelar la transmisión del SARS-CoV-2 aplicado a supermercados donde los clientes que atraviesan de una zona a otra están expuestos a contagio cuando se encuentra en la misma zona que un cliente infectado. Los autores miden el riesgo de transmisión del virus por el tiempo total que los clientes susceptibles pasaron en la misma zona que los clientes infectados.
En los trabajos que modelan la pandemia covid-19 en una región o ciudad se tiene el aporte de T. Harweg et al.,20 quienes proponen un MBA que simula la dinámica de los peatones en lugares públicos en el contexto de la transmisión por contacto de enfermedades infecciosas como el covid-19.
S. Shamil et al.21 proponen un MBA que simula la propagación del covid-19 entre los habitantes de una ciudad en Estados Unidos.
Los trabajos mostrados anteriormente hacen un recuento de los diferentes alcances de la modelación, tanto local como un supermercado, hasta escalas de ciudades con ciertas características. La propuesta de este artículo es modelar la asistencia a un supermercado; como mecanismo se usa el modelo del “Bar El Farol” para dar una explicación de los aforos colectivos a un lugar público, a partir de la evaluación individual que realiza el agente con información disponible en su entorno. A continuación se presenta una descripción del modelo para definir la extensión al modelo del supermercado “El Farolito”.
El Modelo del Bar “El Farol”
Este modelo plantea el siguiente problema:
[...] en Santa Fe, Nuevo México, existe un bar llamado El Farol, donde los jueves por la noche se toca música irlandesa en vivo, lo que incentiva a que las personas de los alrededores decidan asistir; pero como es un lugar modesto y con un aforo limitado, no se disfruta cuando sobrepasa cierta capacidad. El problema radica en cómo cada individuo tiene que decidir en forma independiente si asiste o no al bar con el fin de disfrutar de la noche.22
La parte importante es que los interesados en asistir al bar tienen que decidir al mismo tiempo y no es posible saber la cantidad de personas que estarán en el bar antes que ellos. La única información disponible es el aforo del bar de semanas previas, con la que cada agente realizará una evaluación para decidir asistir o no al bar. De manera empírica se sabe que, cuando el aforo es menor al 60%, el lugar es agradable.
Este comportamiento se puede sintetizar de manera individual para las personas con las siguientes reglas: si menos del 60% de la población asiste al bar, entonces es más agradable asistir que quedarse en casa; y si más del 60% de la población asiste al bar, entonces no es agradable asistir y es mejor quedarse en casa.
Para resolver el problema de toma de decisión de asistencia al bar, lo que planteó W. Brian Arthur es asignar a los agentes un cierto número de predictores, formados con base en los datos históricos de asistencia semanal al bar. La idea central que subyace detrás de estos predictores es que, al enfrentarnos a situaciones complejas, se tiende a buscar patrones encontrados con información proveniente de un cierto número de semanas pasadas. Cada agente utiliza un número limitado de estos predictores, y semana tras semana toma su decisión basándose en el que mejor le funcione.
En este trabajo se toma como base la implementación del modelo del bar “El Farol” realizada por Uri Wilenski y William Rand en la plataforma de desarrollo NetLogo.23 En esta versión del modelo se definen tres parámetros importantes, sobre los agentes, el “tamaño de memoria” y el “número de estrategias” y para el establecimiento el “umbral de sobrepoblación”. A partir del valor de estos parámetros el modelo presenta distintos regímenes dinámicos.
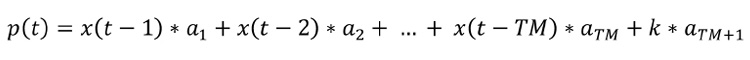
Pero ¿cómo trabaja el mecanismo de decisión de los agentes? Cada agente consta de un conjunto n de estrategias o predictores que en cada actualización del sistema son evaluadas para pronosticar y en función del resultado decidir asistir. En la modelación computacional propuesta por Wilensky,24 las estrategias son vectores de la forma:
Donde ei es la estrategia i-ésima y TM es el tamaño de memoria del agente, cada entrada del vector es inicializado de manera aleatoria en el intervalo [-1,1]. En cada actualización del sistema, el agente evalúa cada estrategia con la siguiente expresión:

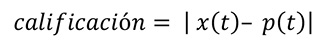
Donde p (t) es la predicción al tiempo t, x (t) es la asistencia al bar al tiempo t, α1 es el peso para el tiempo t, k es la capacidad máxima del lugar, y TM es el tamaño de memoria. Esta función toma los últimos TM datos históricos de asistencia y los pondera en función de la estrategia. Posteriormente se le asigna una calificación, evaluando la diferencia entre el dato histórico de asistencia más reciente y la evaluación de la función, de la siguiente manera:

La mejor estrategia es la que obtenga la calificación más cercana a cero. Evidentemente, algunas estrategias obtendrán mejores resultados; así, después de evaluar todas las estrategias, el agente se queda con el resultado de la mejor, posteriormente se realiza el pronóstico con la evaluación de la desigualdad
Importar imagen
si cumple la desigualdad entonces el agente asiste al bar ya que pronostica que el bar no llegará a saturarse en función del umbral, en caso contrario se queda en su casa. Cabe hacer la precisión que aun cuando las estrategias son creadas aleatoriamente en el intervalo [-1,1], éstas cambian su rendimiento debido a la nueva información de asistencias que se genera.
La dinámica se resume en el siguiente diagrama de la Figura 2.

En el inicio, el agente procesa las estrategias con los datos históricos disponibles, posteriormente obtiene la estrategia óptima con la cual decide asistir o no al supermercado, si la respuesta es negativa, evalúa nuevamente los datos históricos y continua el flujo, de otra manera, contribuye a la actualización de los datos de asistencia.
Uno de los elementos relevantes a medir es la asistencia al bar en función del tiempo, ya que si el aforo sobrepasa el umbral de sobrepoblación, los agentes pueden tomar decisiones distintas. Por ejemplo, en la Figura 3 se muestra la serie de tiempo de asistencia generada por los agentes al evaluar datos históricos de aforo de seis semanas previas con un conjunto de siete estrategias (o vectores) para evaluar esta información.

La serie de tiempo es el reflejo del proceso de decisión de los agentes. La línea representa el aforo deseado del 60% en el bar para que las personas disfruten del lugar.
El agregado de esta dinámica individual genera nuevas propiedades como las que menciona W. Brian Arthur, los predictores se autoorganizan en un patrón que tiende a un equilibrio alrededor de un aforo del 60%, donde se observa que 60% de los agentes pronostica abajo del umbral y 40% por arriba.
El modelo del bar “El Farol” tiene una ventana donde se presentan espacialmente a los agentes, a este componente de visualización se le llama mundo de agentes. En este mundo se observa el desplazamiento semanal de los individuos hacia el bar (Figura 4).
En cada tiempo, medido en ticks (unidad de tiempo), las personas evalúan la información para decidir asistir o no al bar. En la Figura 4(A) se muestra un tiempo de la dinámica, la distribución de las personas en el espacio es aleatorio, así como la posición que toman en el interior del bar. En 4(B) se muestra la leyenda “saturado” que indica que la asistencia al bar supera el aforo del 60% y, en consecuencia, el bar ya no es disfrutable.
Por medio del simulador se pueden ejecutar diferentes escenarios de asistencia al bar, se puede variar el tamaño de la memoria histórica, el número de estrategias o bien el “umbral de sobrepoblación”. El aporte de W. Brian Arthur25 consiste en la modelación de la toma de decisión de agentes heterogéneos con racionalidad limitada que actualizan continuamente su modelo interno de toma de decisiones (utilizan el razonamiento inductivo), lo que significa que adaptan, descartan y reemplazan constantemente sus hipótesis en función de su experiencia pasada. Ello da lugar a dinámicas muy diversas, en términos de Arthur, la dinámica que se forma deviene en patrones de asistencia emergentes. Esta cualidad le ha permitido ser un referente en el modelado de la toma de decisión en las ciencias sociales.

El gris fuerte representa el interior del bar y el gris claro el exterior.
En el modelo que se plantea en este trabajo, llamado modelo del supermercado “El Farolito”, se combinan las características del Bar “El Farol” junto con la dinámica de epidemias SIR (sano, infectado y recuperado) en un entorno MBA para analizar el rol de la toma de decisión individual y cómo se afecta la asistencia con la puesta en marcha de cuarentena.
El Modelo del supermercado “El farolito” en condiciones de pandemia
Durante una pandemia, el comportamiento de las personas es afectado o modificado por el riesgo de contraer la enfermedad, en ciertas situaciones se tiene que decidir entre asistir o no a un establecimiento público, con la valoración del riesgo que esto representa. La implementación de medidas sanitarias es necesaria para mitigar los contagios y dar seguridad a las personas que visitan este tipo de lugares. Por ejemplo, ante la nueva normalidad, la restricción de aforos en lugares públicos es del 30%,26 separadas a una distancia de 1.5 entre cada persona, manteniendo una sana distancia. También, como decisión individual, las personas que contraen la enfermedad se resguardan en sus domicilios, es decir, hacen cuarentena. Uno de los problemas es cuando una persona no presenta síntomas de la enfermedad, por lo que continúa con sus patrones de movilidad, incrementando la posibilidad de infectar a otros. En este contexto, el modelo computacional considera dos prácticas para aminorar el impacto de contagios en una pandemia, se establece un aforo del 30% para incentivar la sana distancia y un parámetro de cuarentena que modela la posibilidad de que las personas infectadas queden resguardadas en sus casas para evitar más contagios.
A continuación se detallan los elementos del modelo.
1. Tiempo. Una unidad de tiempo o tick modela un evento que representa un día de supermercado, en el cual m de n agentes deciden ir o no de acuerdo con la evaluación de sus estrategias.
2. Agentes. Los agentes tienen un modelo interno compuesto por un mecanismo de decisión que toma un conjunto de estrategias y memoria; y tres estados para modelar el proceso de la enfermedad: “sano”, “infectado” y “recuperado”.
3. Espacio. Se define una retícula homogénea donde se modela la región del supermercado y una parte externa donde se encuentran los domicilios de los agentes.
4. Parámetros globales. El parámetro “aforo” es equivalente al umbral de saturación establecido en el modelo del bar “El Farol” y establece la proporción permitida a partir de la capacidad del lugar. El parámetro “cuarentena” es un porcentaje de la población para simular la decisión de quedarse o no en casa cuando presenta un contagio. El parámetro “población total” establece la cantidad de agentes que hay en la simulación.
Hay dos procesos centrales en el modelo del supermercado “El Farolito”, el de “infección” en el interior del supermercado y el de “decisión”, cuando están en sus domicilios y evalúan asistir o no al supermercado (descrito en la página 161). El parámetro de cuarentena conecta estos dos procesos y está en función del porcentaje de la población que lo aplica (parámetro de cuarentena); si el agente está en estado “infectado” y hace cuarentena, el proceso de decisión no se ejecuta, el otro caso es cuando está “infectado” y realiza el proceso de decisión para asistir, esto dependerá del parámetro de cuarentena.
A continuación se describen los pasos del proceso de infección: 1) los agentes pueden tener uno de los tres posibles estados: “sano”, “infectado” o “recuperado”; 2) si asisten al supermercado se les asigna una posición aleatoria en el interior; 3) a partir de esta distribución espacial, los agentes pueden contagiarse si tienen a su alrededor algún agente contagiado, este mecanismo se regula con el parámetro de probabilidad de contagio (PC); por ejemplo, si PC = 0, no hay contagio; si PC = 100, el agente se contagia, 4) los agentes regresan a sus domicilios, si es contagiado se establece la duración de la enfermedad, la cual es controlada por el parámetro tiempo de enfermedad (TE); por ejemplo, si TE = 30, permanecerá en estado infectado 30 días, 5) si el agente hace cuarentena permanecerá en su domicilio el periodo “tiempo de enfermedad”, en caso contrario podrá ir al supermercado en estado “infec-tado”, una vez terminado el tiempo de enfermedad cambiará su estado a “recuperado” y se vuelve inmune a la enfermedad.
Como se mencionó, hacer cuarentena establece un paro en el proceso de decisión del agente, el cual debe ser analizado para entender la ola de contagios que se generan con la asistencia al supermercado en condiciones de pandemia.27
El modelo tiene una interfaz para analizar y medir lo que sucede durante la evolución. En la Figura 5(A) parte izquierda, se encuentran los botones y deslizadores para variar los valores de los parámetros; en la parte derecha se encuentra el mundo de agentes, donde se puede observar espacialmente cómo los agentes asisten al supermercado y cómo se contagian. Los colores de los agentes indican si están sanos (gris claro), contagiados (negro) y recuperados (gris).
Por otro lado, en la Figura 5(B), parte superior, se muestran la gráfica “Asistencia al Supermercado”, la cual contiene tres series, el número de asistencias a lo largo del tiempo, la asistencia promedio y el aforo establecido. La gráfica “Población” contiene las series de tiempo del nivel de sanos, infectados y recuperados en función del tiempo.


En la parte inferior se muestra la dinámica de la curva de contagios, la cantidad de sanos decrece y la de infectados crece hasta llegar al valor máximo (pico de contagios) posteriormente baja la cantidad de infectados y sube la curva de recuperados.
El parámetro que toma mayor importancia para el desarrollo de este análisis es el aforo al 30%, ya que el único lugar de contagio es el supermercado. A partir de los valores se pueden explorar distintos escenarios para analizar si se cumple o no el aforo, bajo qué condiciones y cómo afectan los contagios a la población. Por ejemplo, la Figura 5(B) muestra la evolución del modelo durante 230 ticks (días) con los valores de los parámetros siguientes: población_total = 500, cuarentena = 80%, tamaño-memoria = 5, número_estrategias = 10, tiempo_enfermedad = 40 y probabilidad_contagio = 30%. La gráfica superior de la Figura 5(B) muestra que la cantidad de asistencias por día se cumple en varias ocasiones (por debajo de la línea aforo), sin embargo, las fluctuaciones son muy grandes, lo que implica que en promedio no se cumple con el aforo. Por otro lado, la gráfica inferior muestra que la cantidad de infectados crece de manera exponencial hasta llegar al pico y por consiguiente empiezan a subir el número de agentes recuperados. La forma de las curvas epidemiológicas indica el impacto de contagios en la población, en este caso particular, 90% de la población se infectó y recuperó. Esta dinámica tuvo impacto en la asistencia al supermercado, ya que bajó el nivel de asistencia debido al alto porcentaje de cuarentena; sin embargo, esto permite que otros agentes asistan al supermercado, lo que difunde rápidamente la enfermedad. Posteriormente se termina el proceso de contagio de la población y la asistencia al supermercado retoma su dinámica. Este escenario en particular muestra que con memoria baja y estrategias altas, las fluctuaciones en asistencias son grandes, lo que implicaría poner atención en medidas de contención adecuadas, ya que de manera natural no logra estabilizarse.
Resultados y variación de parámetros
Con una gran cantidad de parámetros resulta indispensable utilizar la técnica de variación de parámetros para analizar de manera sistemática los escenarios posibles e identificar regímenes dinámicos. Los tres parámetros relevantes y que influyen fuertemente la dinámica es el tamaño de memoria, número de estrategias y cuarentena. Para realizar el análisis se obtienen, al final de cada simulación, cuatro medidas: el número de asistencia promedio al supermercado, el número de eventos que cumplen con el aforo del 30% (con la consideración del tiempo de ejecución del modelo), la cantidad máxima de contagios en un día (pico de la curva de contagios), y el número de agentes sanos al final de la pandemia.
En la Figura 6, se muestra el resultado de la variación de parámetros considerando el tamaño de la memoria y el número de estrategias de los agentes con las cuatro medidas mencionadas anteriormente. Estos escenarios consideran un parámetro de cuarentena = 0. Se corrieron 400 simulaciones para construir los espacios de parámetros. Se recurre a la técnica de mapa de calor para representar visualmente los datos.

Los espacios de parámetros representan la dinámica general variando tamaño de memoria y estrategias de los agentes. En (A) se muestra la asistencia promedio al supermercado con valores normalizados en el intervalo [0,1], en (B) el conteo de eventos con aforo inferior al 30%, en (C) el número máximo de contagios en un día (pico), y en (D) el número de agentes sanos al final de la epidemia.
El espacio de parámetros es adecuado porque compara distintos escenarios del modelo, cada una de las imágenes de la Figura 6 representa una medida, y en función de esto se puede entender y analizar qué sucede con el sistema. En la Figura 6(A) se observa que memoria baja y estrategias altas lleva al supermercado a superar el aforo por mucho (tonalidades gris y gris claro), mientras que memorias y estrategias relativamente altas el aforo se encuentra en proporciones bajas (tonalidades en negro). Es de notarse que ningún escenario logra cumplir el aforo del 30% en promedio bajo su propia dinámica, es decir se requiere de mecanismos externos de control. En la Figura 6(B) se muestra que memoria baja y estrategias altas da lugar para cumplirse el aforo (tonalidades negras); pero si conjuntamos esta información con 6(A) se deduce que los aforos tienen grandes inestabilidades; por otra parte, las zonas en blanco muestran que no se cumplió el aforo en ningún caso, pero el aforo es estable. La Figura 6(C) muestra el pico de los contagios, son mucho más agresivos con memoria baja y estrategias altas debido a que las asistencias al supermercado son más inestables. Para finalizar el análisis cuando no hay cuarentena, en la Figura 6(D) se observa la cantidad de sanos que quedaron después de la epidemia, en las zonas inestables quedaron muy pocos sanos, mientras que en tonalidades negras y gris oscuro alrededor del 50% de la población quedó sana.
Este análisis es relevante por la conjunción de información, y aporta elementos para deducir los tipos de dinámicas estables e inestables y en qué forma afectan a la población. A continuación se mostrarán los espacios de parámetros de la medida “agentes sanos” variando el parámetro de cuarentena, ya que muestra el impacto de contagios en la población. Por cada porcentaje de cuarentena se obtendrá un espacio de parámetros en el intervalo de 0 a 100% en incrementos de 10.
El análisis con la variable “sanos”, indica que conforme se aumenta el nivel de cuarentena disminuyen los agentes sanos, esto podría resultar contradictorio, pero no es así, debido a que entre más porcentaje de cuarentena aplique la población, otros agentes asistirán al supermercado, con riesgo de contraer la enfermedad, esto se observa en el rango de 0 a 80%. Para una cuarentena del 90% se observa un cambio cualitativo, ya que las zonas estables del espacio de parámetros (superior derecha), tiene escenarios con 50% de sanos, el escenario ideal es un parámetro de cuarentena del 100% ya que la población queda sana en cualquier escenario, esto es porque inmediatamente las personas aplican cuarentena y no hay oportunidad de infectar a otras en el supermercado.
Este análisis nos permite catalogar zonas estables e inestables en función del parámetro de memoria y de asistencia, la parte superior derecha corresponde a una zona estable con escenarios ideales, donde la epidemia impacta de menor manera; por el contrario, los escenarios de la parte superior izquierda son inestables, hay grandes fluctuaciones y esto contribuye a que la enfermedad se propague rápidamente, la parte media inferior que corresponde a escenarios con memoria baja tiene distintas dinámicas en función la cantidad de estrategias, no es tan marcado como la parte superior.


Cada mapa representa un porcentaje de cuarentena de la población, se inicia con cuarentena = 0%, y se incrementa de 10 en 10 hasta llegar a 100 por ciento.
discusión y conclusiones
El análisis realizado con el modelo del supermercado “El Farolito”, propone un escenario abstracto donde el aforo del establecimiento se fija en 30% (retomado de los criterios de un semáforo epidemiológico en fase naranja). Se realizaron exploraciones de manera sistemática con la variación de los parámetros de los agentes: memoria y estrategias. El modelo presenta, de manera general, dos regiones, estables e inestables; la primera se caracteriza por tamaños de variaciones pequeñas en el número de asistencias, con agentes que usan un número alto de estrategias y de datos históricos; y la segunda, por variaciones grandes en el número de asistencias, con agentes que usan un número bajo de estrategias o de datos históricos.
Los resultados muestran que no se puede cumplir el nivel de aforo del 30% de manera estable y general durante la evolución del modelo, lo que impli-caría un esfuerzo mayor por controlar la dinámica de asistencia individual. Esto sugiere que, si no hay elementos para mantener un control individual, entonces se tendrían que aplicar medidas de control en el supermercado, tanto en el interior como en el exterior, ya que, aun cuando se mantenga el aforo controlado del 30%, los agentes estarán en el exterior esperando el ingreso.
Por otro lado, la región estable del espacio de parámetros muestra que, si se tienen aforos cercanos al 30%, puede surgir un gran número de contagios, aun cuando se aplique un porcentaje de cuarentena alto; por ejemplo, 70% da lugar a que se contagie más del 50% de la población. Esto muestra que la sana distancia, fomentada por aforos pequeños, no es suficiente para tratar de controlar los contagios. Por otro lado, a partir de la variación del parámetro de cuarentena, se observa que, para tener resultados efectivos, es necesario que más del 80% de la población aplique cuarentena.
En la región inestable del espacio de parámetros, las fluctuaciones en el número de asistencias al supermercado son muy grandes; aun cuando se restrinja el ingreso, implicaría aglomeraciones en el exterior y por lo tanto sería necesario definir mecanismo de control para evitar contagios. Los picos de contagios más grandes se dan en esta región.
Lo anterior sugiere que es necesario aplicar otras prácticas para aminorar los contagios; por ejemplo, definir los flujos de personas en el interior del supermercado, el uso de cubrebocas para bajar la probabilidad de contagio, y un nivel eficaz de despacho para no hacer filas en el interior.
Los resultados del modelo permiten reflexionar sobre el problema de priorizar entre la salud y la economía, en el siguiente sentido: por un lado, se trata de cuidar la salud de las personas en función de prácticas sanitarias (aforo y cuarentena), que bien aplicadas podrían disminuir el nivel de contagios para llegar a un control de la pandemia. Sin embargo, este esquema es insostenible, ya que frena la economía. Por otro lado, mantener la apertura de establecimientos con aforos totales tendría un impacto sumamente negativo en la salud de la población. Así que una manera de enfrentar este problema es con la restricción de los aforos en los establecimientos, pero como se ha mostrado con el modelo del supermercado “El Farolito”, requeriría también de intervenciones en varios ámbitos; por ejemplo, un mejoramiento a corto plazo sería la reconfiguración de los flujos en el interior de los supermercados, la optimización de procesos en el área de cajas, señalética adecuada tanto en el interior como en el exterior de los establecimientos; por otro lado, una intervención de largo plazo podría ser en el ámbito social y cultural, como una educación en el manejo y procesamiento de la información por parte de las personas, así como fomentar la responsabilidad individual y social.
Agradecimientos
* Esta investigación se realizó gracias al Programa UNAM PAPIME PE310320 “Sistemas complejos aplicados al estudio de fenómenos económicos y sociales a través de modelos y simulaciones computacionales”.
Referencias
W. Brian Arthur, “Inductive Reasoning and Bounded Rationality”, The American Economic Review, vol. 84, núm. 2, Papers and Proceedings of the Hundred and Sixth Annual Meeting of the American Economic Association, 1994, pp. 406-411.
Comisión Económica para América Latina (CEPAL), América Latina y el Caribe ante la pandemia del covid-19. Efectos económicos y sociales, Informe especial covid-19, núm. 1, CEPAL, Naciones Unidas, 2020a, pp. 9-13.
World Bank Group, Global Economic Prospect, A World Bank Group Flagship Report, Washington, 2021.
Nigel Gilbert y Klaus G. Troitzsch, Simulación para las ciencias sociales, Open University Press/Mc Graw Hill, 2006, p. 2.
Herbert A. Simon, 1996; en Nigel Gilbert y Klaus G. Troitzsch, Simulación para las ciencias sociales, op, cit., p. 1.
William Ogilvy Kermack y A.G. McKendrick, “A Contribution to the Mathematical Theory of Epidemics”, Bulletin of Mathematical Biology, vol. 53, Issues 1-2, pp. 33-55.
Howard Weiss, “The SIR model and the Foundations of Public Health”, MATerials MATemàtics, vol. 2013, treball núm. 3, p. 17.
Sebastian Funk, Marcel Salathé y Vincent A.A. Jansen, “Modelling the influence of human behaviour on the spread of infectious diseases: a review”, Journal of the Royal Society Interface, núm. 7, 2010, pp. 1247-1256.
Uri Wilensky y William Rand, An Introduction to Agent-Based Modeling: Modeling Natural, Social and Engineered Complex Systems with NetLogo, Cambridge, MA., MIT Press, 2015; Mitchel Resnick, Turtles, Termites, and Traffic Jams: Explorations in Massively Parallel Microworlds, Cambridge, MA., Bradford Book, 1997.
Peter Corning, “The re-emergence of emergence, and the causal role of synergy in emergent evolution”, Synthese, vol. 185, 2012, pp. 295-317.
John H. Holland, El orden oculto: de cómo la adaptación crea la complejidad, Fondo de Cultura Económica, 2004.
Herbert Simon, “A Behavioral Model of Rational Choice”, Models of Man, Social and Rational: Mathematical Essays on Rational Human Behavior in a Social Setting, Nueva York, Wiley, 1957.
Erik Cuevas, “An agent-based model to evaluate the covid-19 transmission risks in facilities”, Computers in Biology and Medicine, núm. 121, 2020, pp. 1-12.
P.C.L. Silva, P.V.C. Batista, H.S. Lima, M.A. Alves, F.G. Guimarães y R.C.P. Silva, “COVID-ABS: An agent-based model of covid-19 epidemic to simulate health and economic effects of social distancing interventions”, Chaos, Solitons and Fractals, vol. 139, 110088, 2020.
Felipe Araya, “Modeling the spread of covid-19 on construction workers: An agent-based approach,” Safety Science, vol. 133 (105022), 2020.
P.T. Gressman y J.R. Peck, “Simulating covid-19 in a university environment”, Mathematical Biosciences, 328(108436), 2020.
Fabian Ying y Neave O’Clery, “Modelling covid-19 transmission in supermarkets using an agent-based model”, PLOS ONE, 16(4): e0249821, 2021.
T. Harweg, D. Bachmann y F. Weichert, “Agent-based simulation of pedestrian dynamics for exposure time estimation in epidemic risk assessment”, Journal of Public Health (Berl.), 2021.
S. Shamil, F. Farheen, N. Ibtehaz, I.M. Khan y M.S. Rahman, “An Agent-Based Modeling of covid-19: Validation, Analysis, and Recommendations”, Cognitive Computation, vol. 19, febrero, pp. 1-12, 2021.
William Rand y Uri Wilensky, “NetLogo El Farol model”, Northwestern University, Evanston, IL, 2007, Center for Connected Learning and Computer-Based Modeling, Northwestern Institute on Complex Systems [http://ccl.northwestern.edu/netlogo/models/ElFarol].
W. Brian Arthur, “Inductive Reasoning and Bounded Rationality”, op. cit., pp. 406-411.
Secretaría de Salud, “Lineamientos para la estimación de riesgos del semáforo por regiones covid-19”, 2020, pp. 24 [https://coronavirus.gob.mx/wp-content/uploads/2020/11/Metodo_semaforo_COVID_14Septiembre2020.pdf].
Notas