Resumen: Se estudian las organizaciones como sistemas complejos, en tanto que operan bajo incertidumbre y fluctuación con características de no linealidad, caoticidad, autoorganización, fractalidad; complejidad relacional –con procesos de diferenciación–, y cognitiva como diferente naturaleza de trabajo, en una sociedad global y de conocimiento, tecnología y toma de decisiones; y con diferentes tipos, en particular las relacionadas con la educación como las universidades, pero también sistemas de organizaciones en red donde se reconocen factores globales, organizacionales y singulares, así como concretos que se vinculan de forma dialéctica. Se ilustra la relevancia de las matemáticas en cierto tipo de análisis de las organizaciones, que ayuda a entender a éstas como sistemas abiertos y complejos.
Palabras clave: organizaciones, sistemas complejos, sistemas de ecuaciones no lineales, comportamiento organizacional.
Abstract: Organizations are studied as complex systems, insofar as they operate under uncertainty and fluctuation, with characteristics of non-linearity, chaoticity, self-organization, fractality; complexity relational –with processes of differentiation–, and cognitive as a different nature of work, in a global society and of knowledge, technology and decision-making, with different types of organization, in particular some models of the most complex ones related to education, such as universities, but also systems of networked organizations where global factors, organizations and singular and concrete are recognized that are linked in a dialectical way thus. We will try to understand through various mathematical models the relationship between complex contingent phenomena in the environment such as the pandemic and the repercussions and multiple characteristics that make organizations open and complex systems.
Keywords: organizations, complex systems, systems of nonlinear equations, organizational behavior.
Matemáticas y ciencias sociales
Las organizaciones como sistemas complejos
Recepción: 30 Abril 2021
Aprobación: 12 Octubre 2021
Existe una diversidad de tipos de organización y algunas parecen ser más complejas que otras, como el caso de las universidades. Una de las tendencias para entender la complejidad de este tipo de organización incluye la toma de decisiones y el aprendizaje.
Cohen et al. (1972) usan a las universidades con su modelo de bote de basura, uno de los más famosos de la toma de decisiones. Miran a los agentes como los que proveen soluciones en busca de problemas a los cuales aplicar dichas soluciones. Su simulación provee un medio para comprender cómo problemas organizacionales son solucionados en organizaciones plagadas con ambigüedades de fines y conflicto.1
En el contexto de la complejidad, las universidades pueden ser vistas como Sistemas Flojamente Acoplados, donde las partes sólo se tocan de manera tangencial y cuando surgen contingencias externas al sistema,2 operando de forma separada, con lógicas y tiempos diferentes la mayor parte del tiempo, es decir, como si tuvieran espacios intersticiales dentro de la organización y entre organizaciones, lo que provoca comportamientos complejos. En estos espacios entre organizaciones operan actores con poder e influencia que provocan cambios, como en el ejemplo de Villani, quien menciona que:
[...] organizaciones involucradas en actividades de transferencia de tecnología entre universidades e industria [...] las organizaciones formales utilizan los espacios intersticiales para fomentar la colaboración entre campos e identificar el conjunto de actividades formales e informales empleadas por catalizadores para gestionar la complejidad que surge.3
Esta complejidad se puede modelar, según Saoud,4 a partir de la colaboración entre agentes con interdependencias, donde los errores son el número de conversaciones/interacciones en grupos pequeños; cuando éstos se pueden eliminar se previenen escenarios catastróficos de parámetros y valores.
Pereira5 señala que las universidades son complejas y como organizaciones son dinámicas en términos del manejo de información; deben responder a retos y amenazas así como a constantes acreditaciones por parte de agencias y mecanismos de regulación externos al sistema; solventando estas demandas con dimensiones verticales y horizontales. Las demandas además dependen de fluctuaciones, cambios, y necesidades contingentes como los cursos en línea y la calidad, frente a la pandemia.
Algunos temas y autores que establecen elementos complejos para el análisis de las instituciones de educación superior son: la ética de la gerencia;6 los estados de desarrollo; la madurez de los modelos de los sistemas de información y tecnología;7 la abstracción del modelo de madurez de gestión de proyectos;8 las condiciones de madurez de los modelos de calidad para los cursos en línea9 y la ciencia10 del diseño en la investigación de sistemas de información;11 los estudios de casos cualitativos y su validez;12 la estrategia de las organizaciones que aprenden;13 así como metodológicamente, el reto de estudiar la calidad y madurez de su proceso utilizando el enfoque de modelado de ecuaciones estructurales;14 la elaboración de las decisiones;15 y la situación de madurez en el diseño organizacional.16
En los estudios de los autores citados, cada uno de los elementos ha sido analizado desde varios modelos explicativos; como el proceso de madurez, la tecnología, los tipos de estudio y la validez científica de los mismos así como sus estrategias, por ejemplo, en el entorno actual, la calidad de los cursos en línea como forma de adaptación al medio cambiante y las nuevas demandas. La complejidad, al ser un aspecto de frontera de la ciencia, implica que está en construcción, así como la validez de los enfoques, y su aplicación en el área de las universidades, que implica la definición de variables, así como la rigurosidad de su delimitación, y donde la interacción dinámica entre las ciencias sociales y las exactas tiene un papel relevante.
Las organizaciones como sistemas complejos tienen influencia de los directivos que se pueden enfocar hacia la motivación o el liderazgo para la autorre-gulación17 y están inmersas en un ambiente dinámico,18 donde el acoplamiento y los costos de transacción se vinculan por medio del capital social y la frecuencia de la colaboración, el desempeño de forma negativa, o la cooperación en los proyectos complejos en organizaciones en red.19 Pueden existir asentamientos organizacionales que incorporan de manera duradera múltiples objetivos de forma institucional; en cada nivel de asentamiento se incorpora una nueva lógica de forma periódica,20 también influye el tipo de organización y el tamaño, por ejemplo el caso de las organizaciones de tipo familiar, caracterizadas por la función activa de sus dueños, con orientación a largo plazo, identidad, valores familiares, compromiso y pertinencia emocional;21 así, el ambiente, el tamaño y el tipo de organización recubren de variables diferenciales la respuesta compleja frente a la incertidumbre.
Resulta interesante la propuesta de Maguire et al., que puede ser utilizada para la compresión e interpretación del comportamiento organizacional, donde:22
1. Los sistemas complejos tienen una gran cantidad de elementos.
2. Los elementos interactúan de forma dinámica.
3. Las interacciones son ricas, cualquier elemento en el sistema puede influenciar o ser influenciado por cualquier otro.
4. Las interacciones no son lineales.
5. Las interacciones son típicamente de corto alcance.
6. Hay bucles de retroalimentación positivo y negativo de interacciones.
7. Son sistemas abiertos.
8. Operan bajo condiciones de poco equilibrio.
9. Tienen historias.
10. Los elementos individuales usualmente ignoran el comportamiento de todo el sistema donde están.
Contrariamente, Carroll apunta a una diferenciación de la teoría de la organización en la compresión de la complejidad y la búsqueda de autonomía en los niveles bajos:
La teoría de la organización aboga por la diferenciación e integración horizontal en entornos inestables, sin considerar la estructura del grupo y el nivel de interdependencia y desempeño en el nivel de complejidad de las tareas. Donde hay efectos de la descentralización que estructuralmente no necesariamente funcionan bien, cuando están muy conectados incluso al borde del caos, siendo que el nivel óptimo de interdependencia es bastante bajo independientemente del tamaño del grupo.23
Las organizaciones como sistemas tienen individuos con grados probabilísticos de acción.24 Lo contrario del control organizacional es la libertad, es la diferencia entre el actor y el sistema. Las organizaciones tienen, por lo tanto, reglas, burocracia, procesos y control. Así, el sistema opera con estas reglas, las cuales pueden funcionar como atrayentes25 o repelentes (rechazo, expulsión). Mientras que el individuo tiene rasgos que según interactúan con el sistema, como los biológicos (red neuronal y neurotransmisores),26 los psicológicos, y los sociales, donde –a nivel macro– intervienen las instituciones. En nivel medio están las propias organizaciones y grupos.27 A nivel micro opera la psicología; la cognición (la racionalidad económica y limitada, las funciones ejecutivas, la hiperfrontalidad cerebral y la lógica). En este contexto, Christina Klüver y Jürgen Klüver apuntan modelos matemáticos y computacionales para referirse a los modelos cognitivos:
En contraste con la estructura lógica de, por ejemplo, las teorías físicas, la teoría de Piaget podría llamarse algorítmica en el sentido de que los procesos básicos como la asimilación deben modelarse mediante algoritmos acordes y no mediante ecuaciones. Construimos con éxito un modelo algorítmico de la teoría de Piaget a través de una nueva red neuronal.28
A nivel del individuo también operan las emociones, el sistema límbico y la lógica de sentimientos, el aprendizaje y la memoria. Y finalmente el comportamiento, que es la suma de condiciones iniciales con estructuras similares y significados, que dan como resultado una conducta diferente, así como apreciaciones conflictivas de los actores con diferentes creencias, valores, metas e intereses y acuerdos intersubjetivos.
La complejidad organizacional implica incertidumbre; los ejecutivos no pueden saber cuáles serán las consecuencias de sus acciones, sobre todo a largo plazo, ya que no tienen control de su evolución debido a la interdependencia de sus partes. La complejidad organizacional puede tener dos aproximaciones: la primera es la modelación matemática y la segunda implica una aproximación de la poca predicción de las consecuencias usando modelos para una comprensión más profunda de las dinámicas de las estrategias intuitivas.29 Estos efectos son las relaciones humanas entre los grupos y las interpretaciones cognitivas de dichas acciones. Mediante la probabilidad podemos explicar algunas funciones de las interacciones a partir del modelo de complejidad de medida efectiva (CME):
[...] que mide la información mutua entre las infinitas historias pasadas y futuras de un proceso estocástico. De acuerdo con este principio, es particularmente interesante evaluar la complejidad dependiente del tiempo y descubrir las interacciones relevantes [...] con autorregresión vectorial de trabajo cooperativo con parámetros independientes con soluciones de matriz y correlaciones entre los componentes de las fluctuaciones del rendimiento.30
Así, el comportamiento entre fuerzas y probabilidades es un proceso estocástico en el tiempo, es decir, dinámico e interdependiente de mutua influencia, que puede ser visto a partir de las interacciones entre sujetos de un grupo.
Uno de los efectos desde la psicología social en el nivel medio sobre el comportamiento, es la dinámica de grupos mediante las fuerzas internas y la necesidad de aceptación. Así, la organización es un sistema (de fuerzas) con un objetivo y dirección que operan como vectores31 que se suman o repelen, y que pueden estar en contraposición con los objetivos del grupo, y entre los individuos (intereses o resistencias) y en varios niveles/departamentos/funciones/lógicas. Así encontramos que puede haber complejidad en la tarea como una práctica social con microprocesos bajo cambios que se mantienen abiertos de forma paralela y que eventualmente se disuelven.32
La complejidad en el comportamiento no sólo es el resultado de variables biológicas; por ejemplo, gemelos idénticos (o monocigotos) pueden estar en un mismo punto de arranque, y tener ligeras perturbaciones que tengan como consecuencia comportamientos totalmente opuestos,33 debido a factores psicológicos (tipos de personalidad, esquizoides, perversos o neuróticos).34 La personalidad y el comportamiento, así como la conducta, pueden ser estables en el tiempo, pero el comportamiento puede a su vez ser poco predecible,35 dependiendo de la capacidad del sistema de influir a partir del grupo, que genere variabilidad en la conducta y los valores internalizados desde la cultura, el estilo de liderazgo36 o la influencia social.37
El control en la organización se puede dar a partir de la manipulación inconsciente, la cooptación de líderes o grupos, la negociación, o la amenaza, incluso por medio de la expulsión. El control se busca para tener predictibilidad del comportamiento en el sistema y mayor eficiencia de los recursos para alcanzar un fin organizacional y para lograr estabilidad en el tiempo contra la incertidumbre, el temor y la irracionalidad; tiene como característica principal la búsqueda de un objetivo: sobrevivir bajo las condiciones del sistema o ambiente con recursos limitados y cambiantes. Para este fin usa la eficiencia energética de los recursos o fuerzas hacia dicho objetivo, pues la sobrevivencia de la organización es un asunto compartido con la necesidad de sobrevivir del grupo y el individuo dentro de la organización. En el caso de las organizaciones públicas, se puede adoptar la estrategia de que todo cambie para que nada cambie, mediante la simulación. Como ejemplo podemos exponer el caso de las organizaciones donde individuos que no están de acuerdo con la gestión promueven cambios de directivos por otros que sean afines a las ideas de los primeros, así todo cambia, pero nada cambia, o cuando se cambia el nombre de una política pública por otro nombre que tiene las mismas funciones y estrategias, así como los mismos fines y personal. En el caso de las organizaciones privadas se usa la estrategia de la calidad, o el isomorfismo, en ambos casos la estrategia interna puede ser tanto el uso de los estímulos externos (dinero) como los internos (simbólico/manipulación/liderazgo tipo Y).
Dentro del ámbito de la estrategia, las reglas pueden ser formales y estar dentro del terreno de la burocracia; e informales, mediante el uso de sistemas sutiles de comunicación que pueden reflejar respuestas instintivas o inconscientes; la conducta en consecuencia puede reflejar una disonancia cognitiva38 (se piensa de una forma pero se actúa de otra).
El comportamiento puede ser objetivo como sucede con un objeto físico y delimitado por leyes estrictas y matemáticas determinísticas, o como en un organismo vivo que puede tener bajo ciertos parámetros un comportamiento predecible como su cantidad de población, a menos que existan elementos contingentes como el cambio climático, la intervención del hombre, y/o las mutaciones. Aquí nos enfocamos en el comportamiento humano que puede a la vez interpretar el medio, adaptarse a las condiciones,39 y tener voluntad. La conducta además puede ser única a diferencia del comportamiento que es más constante y depende de la personalidad más o menos estable, pero siempre está basada en la probabilidad de la acción, los deseos internos, y las restricciones del medio. El cambio en el tiempo puede hacer variar el comportamiento dependiendo de las condiciones, las reglas, la estructura, los procesos y, sobre todo, los otros individuos.
La estabilidad está relacionada con la personalidad que no es estable, ni determinable, sino probable, no predecible, y está bajo el terreno de la incertidumbre y la ambigüedad; depende de variables como la cultura, los valores, y la institución o sedimentación generacional de las reglas.
A nivel micro, el comportamiento está relacionado con el cambio en una neurona que tiene una brecha espectral en un punto de inicio a la primer perturbación, como sucede en la física cuántica, o en neurología con un potencial de acción al umbral de -65 mv a -55 mv, donde se despolariza la membrana; esto es una consecuencia sensitiva a las condiciones iniciales que alteran el comportamiento de las comunicaciones de la neurona y por lo tanto la probabilidad de modificar el comportamiento del sistema humano, que altera la relación social con el medio organizacional. Stevens apunta que podemos aplicar modelos neuropsicológicos en organizaciones cognitivas; en los equipos, donde se presentan cambios en la alteración de tareas y fluctuaciones en la entropía de flujo de datos.40
Así, tanto en biología como en física, incluso en ciencias sociales y en especial en las organizaciones, periodos de caos suceden a perturbaciones en el ambiente41 o de forma autopoiética referenciada que pueden tender a un equilibrio dinámico; como en la fibrilación del corazón, con restricciones del entorno. Pasa lo mismo con los ciclos económicos (tienden a un comportamiento tipo fractal42 como el conocido conjunto de Mandelbrot, al que simbolizaremos con M, constituido por el conjunto de puntos del plano complejo que satisfacen:
Un punto

Es decir, el punto c está en M si los módulos de la sucesión que genera (definida anteriormente) está acotada.43
Tomando n = 20 (veinte iteraciones de la fórmula recursiva).
Este conjunto está inmerso en el ámbito de las bifurcaciones periódicas, algo semejante al caso de las organizaciones, donde se pasa por periodos de caos a otros estados de caos con periodos de estabilidad intermedia en el proceso de cambio, comportamiento que también se da en los fluidos dinámicos, como el de mercurio con pequeño gradiente de temperatura para inducir la convección, por ejemplo; lo interesante es que este tipo de comportamiento también se puede encontrar en el mundo social.
Existe una contradicción entre la organización y el comportamiento humano; la organización busca el control a partir de las reglas y la burocracia, mientras que la naturaleza humana usa la creatividad, la flexibilidad, la innovación, y los retos como punto de partida cognitivo interno en relación con los estímulos externos para la motivación y la adaptación al cambio.
De esta forma se entiende que las condiciones intrínsecas que resultan opuestas en su naturaleza a los sujetos implican movilidad y cambio, por ejemplo el hambre en el caso de un sistema biológico, o el poder y los recursos en el caso de una organización y sus miembros.
En el caso de las estucturas disipativas,45 encontramos que las organizaciones pueden responder de forma adaptativa totalmente diferente en el futuro a partir de estímulos externos. Unas organizaciones reaccionarán estratégicamente de forma diferente respecto de las contingencias como las nuevas necesidades sociales, económicas, políticas,46 ecológicas, culturales, tecnológicas, o como actualmente respecto de la pandemia provocada por el SARS-CoV-2.
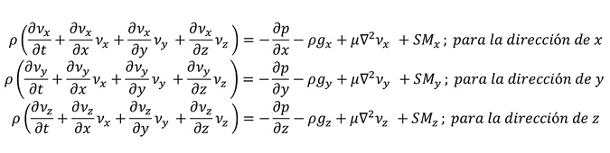
Otra variable que afecta el comportamiento son los estilos de liderazgo; el dejar hacer en contraposición al control, y el transformacional.47 El todo depende del tipo de personas dentro de la organización, y a la vez la influencia de las restricciones dentro de la organización como en un flujo turbulento, donde en la mayoría de las dinámicas de los fenómenos a un nivel inferior se ejecuta a una frecuencia más rápida que a un nivel superior,48 según se ilustra en la Figura 1.

Como se observa, el flujo organizacional puede ser turbulento, impredecible, caótico, y dependiente de las condiciones iniciales, lo que puede llevar a resultados finales absurdos; situación semejante a la que se da en la dinámica de fluidos ante situaciones de turbulencia, donde rigen las ecuaciones de Navier Stokes.49

La idea es que es posible adaptar las ecuaciones de Navier Stokes para analizar la dinámica organizacional, donde el flujo es difuso, mezcla las cosas, y es disipativo –la energía se disipa con la pérdida de energía inicial o impulso del objetivo individual. Por ejemplo, podríamos considerar a la energía del medio organizacional como la economía, la ecología, y las restricciones y contingencias como la pandemia.
Se necesita más energía individual y de grupo para adaptarse a las restricciones de control en la organización, lo que frena la innovación y el aprendizaje organizacional. Los obstáculos organizacionales pueden producir vórtices en la energía para el logro de objetivos a corto plazo.
En el caso de los animales, éstos se han adaptado para aprovechar los vórtices de un mundo turbulento para eficientar su requerimiento energético. El flujo laminar apela al deseo de orden y control; pero el mundo organizacional es caótico e impredecible, desordenado a nivel macro, medio y micro; es decir, el mundo social, así como el físico, se comporta más bien como un flujo turbulento. Chanda señala que las condiciones de los gerentes en etapas intermedias y de factores fuera de control, están centradas en la innovación exploratoria y explotatoria, como conocimiento organizacional enfrentado al mercado, donde su éxito depende del entorno estable y moderadamente turbulento.50
Presentamos de forma compacta un estudio de caso que ilustra la complejidad a partir del entorno y las cadenas de suministro, así como los problemas globales a partir del diseño y la administración por “calidad total” y el “justo a tiempo”. Iniciamos con la Figura 2.

Actualmente existe un problema de escasez, debido a que usando el modelo “justo a tiempo” se ha tenido dificultad ligada al diseño estructural como la falta de inventario. Las dimensiones que afectan el comportamiento del todo comienzan con la tecnología que ha modificado a las organizaciones desde el ambiente y los requerimientos para satisfacer las necesidades de la población.
Encontramos que otro factor dimensional es el problema de las cadenas de suministro, porque hay escasez de transportistas y de contenedores, lo que de un momento a otro se puede modificar a partir de la utilización de inteligencia artificial en el transporte dentro de los continentes, pero que depende del avance tecnológico, la cantidad de suministro de chips y las regulaciones. Hay problemas con el desembarco en las Bahías de destino en los mercados importantes como el de Estados Unidos. Otro fenómeno emergente es el despido de trabajadores en Canadá, quienes no quieren regresar a sus empresas porque sintieron que no fueron respetados como seres humanos, lo que implica un comportamiento no previsto por parte de las organizaciones y que tiene que ver con la interpretación cognitivo-subjetiva-valorativa de la lógica de sentimientos de los individuos ante el comportamiento de las organizaciones para sobrevivir durante el periodo de pandemia.

En Estados Unidos, de cada 100 contenedores que entran a puerto en 2021, sólo salen 40, lo que produce escasez a pesar de que los países productores trabajen de forma normal, lo que produce inflación, ya que no sólo las empresas trabajan bajo el esquema del “justo a tiempo” sino también el mundo de forma global trabaja así, mientras que en las cadenas de suministro se pueden producir, por ejemplo, parabrisas en un país, pintura en otro, y ensamblar el automóvil en otro; ello hace que el mundo sea en sí mismo una cadena de suministro basado en dicho esquema. Como consecuencia se provoca que si en alguna parte, la cadena de suministro falla, falla todo el sistema, porque no todas las cadenas de suministro son iguales. Por ejemplo, para el desarrollo de chips, hay gran escasez, lo que produce problemas en la construcción de automóviles, teléfonos, pantallas, computadoras, etcétera. Existe también escasez de combustible en el Reino Unido, debido a la falta de personal en las redes de distribución (transportistas) como consecuencia de factores políticos como el Brexit, que también podrá ser modificado a partir de la utilización de vehículos autónomos con la implementación de la inteligencia artificial; sin embargo, hasta ahora esta contingencia ha provocado un aumento en el precio. Pero un problema de la automatización es que también producirá un aumento en el desempleo de muchos tipos de trabajo.
Así, la relación entre varias organizaciones como una metaorganización produce efectos complejos, ya que como lo apunta Solansky51 existen tensiones desestabilizadoras y estabilizadoras competitivas donde el estado de no equilibrio puede provocar que el equipo sea efectivo en los límites entre el caos y el equilibrio.
En este contexto, el sistema se puede visualizar en términos del modelo de Kuramoto, surgido originalmente en el ámbito de la química y la biología y motivado por el estudio de ciertos osciladores biológicos y químicos y su acoplamiento. La ecuación del modelo es:

donde K es la constante de acoplamiento de los osciladores.
Es posible mediante un experimento o la simulación numérica, observar cómo la variabilidad de los elementos individuales afecta al sistema en su conjunto de forma compleja. Llevado al plano social, esto se puede ver, en términos sistémicos, como la necesidad de aceptación de los individuos a partir de la dinámica de grupos y la relación con el lider. En otras palabras, como lo apunta Campbell-Hunt,52 es en las teorías de la práctica social y la adaptación desde donde se sedimenta la idea de las estructuras dinámicas de las estrategias organizacionales, como un sistema adaptativo complejo.
El comportamiento humano organizacional y social, a semejanza del compor-tamiento del mundo físico, es función de las partes, así como de las relaciones entre éstas y su relación con el todo, que es más que la suma de las partes. Así, en una simulación se comienza con un comportamiento individual y se termina con la interacción de todos los elementos individuales, como en una red neuronal, donde al inicio sólo se afectan las partes vecinas, pero después en su momento crítico –como en una masa crítica de fusión–, las partes como moléculas o individuos dentro de la organización, de repente comienzan a cambiar su estado para estar cada vez más sincronizados, pero esto lo hacen de forma inconsciente; bloquean sus fases en el tiempo, una vez que se pasa un nivel crítico de acoplamiento. En todo esto se manifiesta la complejidad.
En ciencia tendemos a hacer reduccionismos disciplinares, reduciendo la complejidad organizacional a sus elementos fundamentales para analizar su comportamiento individual, lo que ha provocado un gran avance en la ciencia, pero la gran frontera y desafío para ésta es regresar para comprender la complejidad del todo, como en el sistema inmune.
La complejidad, al ser un aspecto de frontera en la ciencia, implica la interacción dinámica y epistemológica entre las ciencias sociales (sociología, psicología, etcétera) y las exactas (particularmente las matemáticas y la física), así como las neurociencias, ya que la especialización disciplinar de los enfoques no da cuenta del todo; es necesario entender los fenómenos complejos desde una perspectiva multidisciplinaria, integrando más que aislando las visiones, y para ello es necesario usar y precisar términos y establecer equivalencias que tiendan puentes que sean vasos comunicantes entre las disciplinas, pero además se debe conservar el rigor y la validez de los significados internos y la coherencia. Finalmente debemos estudiar a las organizaciones usando todo un cuerpo disciplinar que abarque suficientes herramientas para dar cuenta de la complejidad de su naturaleza, y en todo ello pensamos que una herramienta central son las matemáticas de la complejidad y los sistemas dinámicos.



