Artículos de reflexión
ESTILOS DE APRENDIZAJE Y ACTITUDES ANTE LA INVESTIGACIÓN CIENTÍFICA EN ESTUDIANTES UNIVERSITARIOS
Learning styles and attitudes toward the scientific investigation in university students
ESTILOS DE APRENDIZAJE Y ACTITUDES ANTE LA INVESTIGACIÓN CIENTÍFICA EN ESTUDIANTES UNIVERSITARIOS
Investigación y Desarrollo, vol. 25, núm. 2, pp. 82-99, 2017
Fundación Universidad del Norte
Recepción: 02 Julio 2016
Aprobación: 08 Septiembre 2017
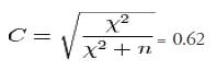
RESUMEN: Este trabajo tiene como propósito establecer la asociación entre las variables, estilos de aprendizaje y actitudes ante la investigación científica en estudiantes universitarios. Es de tipo descriptivo correlacional, con una población de 1513 y una muestra de 195 estudiantes universitarios de las diversas carreras profesionales de la Universidad Nacional Hermilio Valdizán de Huánuco en el Perú. Fueron evaluados con el inventario de estilos de aprendizaje de Kolb y la escala de actitudes ante la investigación científica. Los resultados obtenidos con la x2 muestran que existe un grado de correlación significativa, con un coeficiente de contingencia c = 0.62. Finalmente, se descubrió que el estilo de aprendizaje divergente es el que predomina en la muestra igual que la actitud indiferente ante la investigación científica.
PALABRAS CLAVE: estilos de aprendizaje, aprendizaje individual, investigación científica, actitudes científicas.
ABSTRACT: This work's purpose is to establish the association between the variables learning styles and attitudes toward scientific research in university students. It is a descriptive correlational study, with a population of 1,513 and a sample of 195 university students of the various professional careers of the Hermilio Valdizán National University of Huánuco - Peru. They were evaluated with Kolb's Inventory of Learning Styles IEA and the Scale of Attitudes toward Scientific Research EAHIC. The results obtained with the chi-squared x2 show that there is a degree of significant correlation, with a contingency coefficient c = 0.62. Finally, it was discovered that the divergent learning style is dominant in the sample, so was the uncaring attitude toward scientific research.
KEYWORDS: learning styles, individual learning, scientific research, scientific attitudes.
INTRODUCCIÓN
Esta investigación se enmarca en una de las líneas de investigación priorizadas por Concytec (2007) en el área social, sector educación, "educación superior de calidad, desarrollo y competitividad nacional". Esta línea se desprende del objetivo estratégico n.° 5 del Proyecto Educativo Nacional (CNE, 2007), donde se reporta que desde hace ya muchos años la excelencia académica en las universidades es un déficit recurrente, y la investigación e innovación ya casi han desaparecido del imaginario de miles estudiantes en todo el país.
En la actualidad, el Coneau (2009) ha aprobado los estándares de acreditación para las diversas carreras de educación. De ellas la dimensión referida a la formación profesional, el factor enseñanza-aprendizaje, estándar 27, exige que 75 % de los titulados hayan realizado tesis.
La investigación científica en el pregrado, en las universidades del Perú, según Díaz, González, Miguel, Galán y Apolaya (2008), atraviesa una crisis, no solo por la baja producción, sino por la calidad de cada una de ellas. Prueba de ello es que el Perú produjo, en 1995, 0.019 % de la producción científica mundial. Más adelante los mismos autores ponen en evidencia los datos alcanzados por la Asamblea Nacional de Rectores (2005), donde se menciona que anualmente se titulan 110 000 profesionales en general, de los cuales 70 % lo hace con un curso de actualización. Podemos sintetizarlo como una escasa cultura investigativa.
Es sabido que la investigación científica es la función principal de la universidad, sin embargo, como afirma bien Carlos Bustamante (s. f.), la universidad peruana está en crisis, porque solo cumple con una parte de su función, que es enseñar, soslayando de esta manera la investigación científica.
Según Andina (3 noviembre 2011), San Marcos y Cayetano Heredia son las únicas universidades en el Perú que cumplen los estándares internacionales de producción científica en el ranking iberoamericano de SCImago Institutions Rankings (SIR) de 2011 (601).
En el ranking 2017, según Félix de Moya (24 mayo 2017), conforme a los datos oficiales reportados por el SIR, se tiene que la Pontificia Universidad Católica del Perú, la Universidad Peruana Cayetano Heredia, la Universidad Peruana de Ciencias Aplicadas y la Universidad Nacional Mayor de San Marcos han alcanzado una importante producción científica, lo cual les permite estar entre las mil mejores universidades del mundo. Y que, para Félix de Moya, presidente del grupo SCImago a cargo del ranking SIR, "estas universidades peruanas han superado el umbral de producción científica mínimo, es decir, 100 trabajos de carácter científico con visibilidad internacional en el año", necesario para entrar en el ranking mundial de instituciones de investigación. Son tres los factores medidos por el SIR para clasificar las instituciones de educación superior: investigación (50 %), innovación (30 %) e impacto social (20 %).
Partimos de una cuestión: ¿por qué en una situación en la que dos personas comparten texto y contexto una aprende y otra no? Según Honey y Mumford (1986), la razón estribaría en los distintos modos que tienen las personas de reaccionar a las experiencias de aprendizaje, modos que son descritos respecto de sus estilos de aprendizaje.
Una de las definiciones clásicas sobre estilos de aprendizaje, en términos generales, es la de Keefe (1988), quien sostiene que los estilos de aprendizaje son los rasgos cognitivos, afectivos y fisiológicos que sirven como indicadores relativamente estables de cómo los individuos perciben, interaccionan y responden a sus ambientes de aprendizaje. Por su lado, Kolb (1984) también se refiere a los estilos de aprendizaje proponiendo un modelo de aprendizaje experiencial y cíclico. La teoría de aprendizaje experiencial se centra en la importancia del papel que desempeña la experiencia en el proceso del aprendizaje. Desde esta perspectiva, el aprendizaje es el proceso por medio del cual construimos conocimientos mediante un proceso de reflexión de nuestras propias experiencias. Esta está basada en las teorías del aprendizaje propuestas por Dewey, Lewin y Piaget, muy bien señalados por Pickworth y Schoeman (2000). En la teoría de Kolb (1984), se asume que el aprendizaje es un proceso donde se crea el conocimiento mediante la transformación de la experiencia, que tiene seis características fundamentales: 1) el aprendizaje es mejor concebido como un proceso, no respecto de los resultados; 2) el aprendizaje es un proceso continuo, fundamentado en la experiencia; 3) el aprendizaje requiere resolver el conflicto entre dos formas opuestas de adaptarse al mundo; 4) el aprendizaje es un proceso holístico de adaptarse al mundo; 5) el aprendizaje involucra transacciones entre la persona y el ambiente; 6) el aprendizaje es el proceso de crear conocimiento (citado en Coffield, Moseley, Hall y Ecclestone, 2004).
Kolb (1984), citado en Labatut (2005), subraya que el aprendizaje necesita cuatro habilidades o capacidades que tienen lugar en un ciclo de cuatro estadios. El primer estadio es la habilidad de experimentación concreta. En esta etapa, el aprendiz dispone de las habilidades para involucrarse por completo, abiertamente y sin prejuicios de experiencias. El segundo estadio propuesto por Kolb para que el aprendizaje se produzca es la observación reflexiva. El aprendiz debe ser hábil para reflexionar acerca de las experiencias y para observarlas desde muchas perspectivas. El tercer estadio indicado por Kolb es la conceptualización abstracta que alerta al sujeto que quiere aprender, quedando este atento a todas las cuestiones que envuelven la situación de aprendizaje. El último estadio de aprendizaje sugerido por Kolb solicita la habilidad de experimentación activa. El sujeto debe ser capaz de utilizar las teorías para tomar decisiones y solucionar problemas que pueden conducir a nuevas experimentaciones concretas. Los cuatro estilos de aprendizaje derivados de las dos dimensiones planteadas por Kolb, la percepción y el procesamiento de la información, son 1) estilo de aprendizaje divergente, 2) estilo de aprendizaje asimilador, 3) estilo de aprendizaje convergente y 4) estilo de aprendizaje acomodador. La figura 1 muestra los cuatro estilos de aprendizaje.

Kolb (1984) describe las características de cada uno de los estilos de aprendizaje:
Todo aprendizaje por definición se logra en interrelación dialéctica entre los factores internos y los factores externos que intervienen en el sujeto a la hora de aprender. Así como se aprende a caminar se aprende a leer, también se aprende a investigar, y un factor importante que interviene en ello es la actitud ante la investigación, de ahí que coincidimos con Velásquez (2007) cuando, al referirse a la actitud investigativa señala: "Una persona puede haber adquirido una buena formación teórica y una buena formación sobre métodos y técnicas de investigación y sin embargo, ciertas actitudes vitales y ciertas características de su personalidad pueden constituir un obstáculo para la investigación".
Por su lado, Rivas (2006) sostiene, para referirse a la importancia de la investigación educativa: "Quizá lo que más nos Importa, por ahora, en la investigación formativa es aprender a Investigar y señala que a investigar se aprende investigando". Pero mucho tienen que ver las actitudes, las habilidades y la cultura investigativa y la investigación formativa.
Rodríguez, Jiménez y Caicedo-Maya (2007) argumentan que el tema de las actitudes ante la ciencia radica en el hecho de que estas pueden considerarse como causa del aprendizaje, ya que se asume que una actitud positiva favorece el aprendizaje en contraposición a una actitud negativa que lo dificulta. Del mismo modo, la actitud positiva ante la investigación favorece el aprendizaje de la investigación científica.
Este trabajo tuvo como propósito establecer la asociación entre las variables, los estilos de aprendizaje y las actitudes ante la investigación científica en estudiantes universitarios, además de establecer la predominancia del tipo de estilo de aprendizaje y actitudes ante la investigación científica en estudiantes universitarios de la Universidad Nacional Hermilio Valdizán.
Las definiciones operacionales de las variables de estudio se mencionan a continuación. Para la variable 1, Estilo de aprendiza je, se define como el mayor grado de preferencia que muestra el estudiante universitario en su quehacer cotidiano, que define uno u otro estilo de aprendizaje: divergente, asimilador, convergente o acomodador. Para la variable 2, Actitudes ante la investigación científica, se define como el tipo de actitud que muestra el estudiante universitario hacia la investigación científica, en función de una escala actitudinal que determina su actitud: actitud positiva, neutra 0 indiferente y negativa.
MATERIALES
Se usó el inventario de estilos de aprendizaje de Kolb (1975), cuyo propósito es determinar el estilo de aprendizaje en estudiantes universitarios, para lo cual se plantean 9 ítems. Cada ítem es una frase que expresa una situación de aprendizaje cotidiana, seguido de 4 diferentes estilos de aprendizaje codificados con las letras A, B, C y D, en las que el estudiante identifica el estilo de aprendizaje según su grado de preferencia. Le asigna 4 puntos al de su mayor preferencia, 3 puntos al de su mediana preferencia, 2 al de su escasa preferencia y 1 punto a aquel estilo de aprendizaje que no le merece ninguna preferencia. Para obtener el puntaje parcial en el inventario, se procede a sumar de manera vertical los puntajes asignados por el encuestado en cada columna de los 9 ítems. Las cuatro columnas codificadas son A, B, C y D, de manera que en cada una se obtiene un puntaje parcial. Enseguida, se procede a hacer la operación de sustracción entre la columna (C-A) y la columna (D-B), respectivamente. Por último, el resultado de la operación (C-A) se ubica en el eje vertical de cuadrante estilos de aprendizaje y el resultado de la operación (D-B) se ubica en el eje horizontal del cuadrante. La intersección de los puntajes de ambos resultados en el cuadrante, considerando los signos (positivos o negativos obtenidos en los resultados parciales), determina el estilo de aprendizaje del encuestado. El inventario fue adaptado en Huánuco por el autor de este estudio a través de juicio de expertos y una muestra piloto de treinta sujetos con las mismas características de la muestra, tras lo cual se obtuvo el siguiente resultado de confiabilidad del alfa de Cronbach de α = 0.808.
La escala de actitud ante la investigación científica, elaborada por el autor del estudio, es una escala de actitud tipo Likert, que tiene como finalidad medir la actitud ante la investigación científica por parte de los estudiantes universitarios en condiciones de egresar de una carrera universitaria, y consta de tres dimensiones: dimensión cognitiva, dimensión afectiva y dimensión conativa y de 19 ítems, con cinco opciones de respuestas que oscilan entre totalmente en desacuerdo, en desacuerdo, indeciso, de acuerdo, hasta totalmente de acuerdo. Su tipificación es la siguiente: para los ítems positivos, el puntaje es, respectivamente, 5 puntos, 4 puntos, 3 puntos, 2 puntos y 1 punto. Para los ítems negativos, se invierte la puntuación. Luego, se suman los puntajes de cada ítem y se obtiene un resultado general de la escala. El puntaje máximo es 95 puntos, y el puntaje mínimo es de 19 puntos, respectivamente. Finalmente, se establece una escala con tres categorías: actitud negativa de 19 a 44 puntos, actitud indiferente de 45 a 70 puntos y actitud de 71 a 95 puntos. El instrumento se validó por juicio de expertos y, luego, se aplicó a una muestra piloto de 25 sujetos con las mismas características de la muestra, cuyo resultado del coeficiente de confiabilidad es α = 0.801.
MÉTODOS
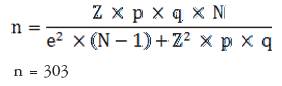
El presente trabajo de investigación se circunscribió en el tipo descriptivo-correlacional descrito por Hernández, Fernández-Collado y Baptista (1998). Además, se estructuró con el diseño no experimental seccional descriptivo correlacional propuesto por Sierra Bravo (1991). La población se constituyó por todos los estudiantes de la Universidad Nacional Hermilio Valdizán, matriculados en el año académico 2012-II, en el último año de estudios, de todas las facultades y carreras profesionales que la integran, siendo en total 1513 estudiantes, entre hombres y mujeres, cuyas edades oscilan entre los 23 a 30 años. Y una muestra estratificada que aplicó criterios de exclusión de 195 estudiantes. Para ello, primero, se obtuvo el tamaño de muestra a través de la fórmula para estimar muestras en poblaciones finitas, inferiores a 100 000 sujetos.

El tipo de muestra para este estudio fue una muestra estratificada, y participaron veintidós carreras profesionales de las veintisiete, con que cuenta la Universidad Nacional Hermilio Valdizán de Huánuco. La característica de la muestra consiste en que los estudiantes se encuentren matriculados en el último año de estudios en el año académico 2012-II. De la muestra teórica de 303 sujetos, sin embargo, por criterios de exclusión, se excluyen a aquellos sujetos que por alguna razón hayan omitido información requerida en las encuestas o simplemente no la contestaron o no dieron su consentimiento informado. No hubo exclusión por razones de edad o sexo. Finalmente, se conformó una muestra real de 195 estudiantes distribuidos (tabla 1).

Para el análisis de la información, se tuvo en consideración la presentación estadística de los datos a través de las tablas 2 y 3. En la tabla 2, se muestran los datos agrupados para la variable, estilos de aprendizaje, en la que se puso en evidencia el estilo de aprendizaje predominante en la muestra de estudio. Mientras que en la tabla 3 se muestran los datos agrupados para la variable Actitudes ante la investigación científica, donde se evidenció el tipo de actitud ante la investigación predominante en la muestra de estudio. Por otro lado, se utilizó la estadística no paramétrica
de Pearson para la prueba de hipótesis respecto del grado de asociación entre estilos de aprendizaje y actitudes ante la investigación científica, con ayuda del paquete estadístico SPSS.


RESULTADOS
De acuerdo con la tabla 2, el porcentaje de estudiantes que evidencia la preferencia por el estilo de aprendizaje divergente alcanza 47.2 %, porcentaje mayor del total de la muestra. Asimismo, 25.1 % evidencia la preferencia por el estilo de aprendizaje acomodador, 17.9 % la preferencia por el estilo de aprendizaje convergente y 9.7 % un estilo de aprendizaje asimilador.
Se observa en la tabla 3 que 46.7 % de estudiantes evidencia una actitud neutra o indiferente ante la investigación científica; por otro lado, 31.3 % de estudiantes evidencia una actitud positiva ante la investigación científica y 22.1 % una actitud negativa, desfavorable y nefasta ante la investigación científica.
En la tabla 4, los resultados indican que los estudiantes que evidencian una preferencia por el estilo de aprendizaje divergente muestran a su vez actitudes positivas ante la investigación científica alcanzando 28.72 % (el mayor porcentaje) del total de la muestra. Asimismo, los estudiantes que evidencian una preferencia por el estilo de aprendizaje acomodador muestran, a su vz, actitudes negativas ante la investigación científica alcanzando 14.87 % y los estudiantes que evidencian una preferencia por el estilo de aprendizaje convergente muestran, a su vez, actitudes indiferentes o neutras ante la investigación con 16.41 %, sucede igual con los estudiantes que evidencian estilos de aprendizaje asimilador quienes muestran, a su vez, actitudes neutras ante la investigación científica con 8.20 %.

Finalmente, aplicado el estadístico de prueba
con un nivel de significación de α = 0.05 y 6gl, se tiene
= 12.59 y el valor de la
, según la fórmula es:

En consecuencia, se rechaza la hipótesis que afirma que entre estilos de aprendizaje y actitudes ante la investigación científica no existe relación en estudiantes que egresan de las diversas carreras profesionales de la Universidad Nacional Hermilio Valdizán en 2012. El coeficiente de contingencia o grado de asociación entre las variables expuestas es:

DISCUSIÓN
De acuerdo con los resultados se tiene, por un lado, la preferencia mayoritaria de los estudiantes por el estilo de aprendizaje divergente con 47.2 %; y por otro, predomina el tipo de actitud neutra o indiferente ante la investigación científica con 46.7 %. Kolb (1984) describe las características del estilo de aprendizaje divergente, en el sentido en que con ella el estudiante prioriza más la experiencia concreta y la observación reflexiva, destacándose por la imaginación, la creatividad y la resolución de problemas desde diversas perspectivas y utilizando el razonamiento inductivo. Mehrens y Lehmann (1991) asumen, en general, que las actitudes son aquellas conductas y acciones que expresan algún grado de aprobación o desaprobación, gusto o disgusto, agrado o desagrado, acercamiento o alejamiento al objeto, fenómeno u hecho al que nos enfrentamos a diario. En tal sentido, en el resultado de este estudio, se puede destacar que los estudiantes que evidencian una preferencia por el estilo de aprendizaje divergente muestran, a su vez, actitudes positivas ante la investigación científica quienes alcanzan 28.72 % (el mayor porcentaje) del total de la muestra. Tomando una de las características de los estilos de aprendizaje descritas por De la Torre, Díaz, Oliver y Villaseñor (1993), se asume que el estilo de aprendizaje puede modificarse por la experiencia del sujeto y la influencia externa, al igual asumimos que las actitudes también se modifican o cambian cuando se las quiere cambiar.
CONCLUSIONES
Los resultados muestran un grado de correlación moderada entre las variables, estilos de aprendizaje y actitudes ante la investigación científica, mediante el coeficiente de contingencia para tabla de doble entrada con la prueba
, con un nivel de significancia de α = 0.05, 6gl, tras lo cual se halló un coeficiente de contingencia c = 0.62.
En cuanto a la preferencia de los estilos de aprendizaje por parte de los estudiantes, se evidenció que predomina el estilo de aprendizaje divergente con 47.2 % del total de la muestra de estudio. Con respecto al tipo de actitud ante la investigación científica, predomina la actitud neutra o indiferente ante la investigación científica con 46.7 % del total de la muestra. Finalmente, los estudiantes que muestran el predominio del estilo de aprendizaje divergente evidencian una actitud positiva ante la investigación científica con 28.71 % del total de la muestra.
REFERENCIAS
Andina (3 noviembre 2011). Sólo Cayetano Heredia y San Marcos cumplen en Perú estándares internacionales de producción científica. Recuperado de https://goo.gl/eJeDjC
Carlos Bustamante habla del Perú y la investigación ausente: universidades al 50 por ciento (s. f.). Recuperado de http://sisbib.unmsm.edu.pe/bibvirtualdata/publicaciones/consejo/boletin50/enPDF/a07.pdf
Coffield, F., Moseley, D., Hall, E. y Ecclestone, K. (2004). Learning styles and pedagogy in post-16 learning: A systematic and critical review. Londres: Learning & Skills Research Centre. Recuperado de http://www.voced.edu.au/content/ngv:13692
CNE (Consejo Nacional de Educación) (2007). Proyecto Educativo Nacional al 2021. Recuperado de http://www.minedu.gob.pe/DeInteres/xtras/PEN-2021.pdf
Concytec (Consejo Nacional de Ciencia, Tecnología e Innovación Tecnológica) (2007). Propuesta Plan Nacional de Ciencia, Tecnología e Innovación Tecnológica para el Desarrollo Productivo y Social Sostenible 2008-2012. Recuperado de https://goo.gl/fE3vcj
Coneau (Consejo de Evaluación, Acreditación y Certificación de la Calidad de la Educación Superior Universitaria) (2009). Modelo de calidad para la acreditación de carreras profesionales universitarias. Recuperado de https://goo.gl/nDL5Kq
Díaz Vélez, C., González, M., Miguel, L., Galán Rodas, E. y Apolaya Segura, M. (2008). Conocimientos, actitudes y prácticas en investigación de los estudiantes de pregrado de facultades de medicina del Perú. Acta Médica Peruana, 25(1), 9-15.
Hernández Sampieri, R., Fernández-Collado, C. y Baptista Lucio, M. (1998). Metodología de la investigación. México: McGraw-Hill.
Honey, P. y Mumford, A. (1986). Using our learning styles. Berkshire: Peter Honey.
Keefe, J. W. (1988). Profiling and utilizing learning style. Reston, Virginia: NASSP.
Kolb, D. (1984) Experiential learning: Experience as the source of learningand development. Englewood Cliffs, New Jersey: Prentice-Hall.
Labatut, E. M. (2005). Evaluación de los estilos de aprendizaje y meta-cognición en estudiantes universitarios. Revista de Psicopedagogía, 67(22), 6-25.
Lozano Rodríguez, A. (2000). Estilos de aprendizaje y enseñanza: un panorama de la estilística educativa. México: Trillas.
Moya, F. (24 mayo 2017) PUCP, Cayetano, UPC y San Marcos entre las mejores universidades del mundo. Recuperado en http://larepu-blica.pe/sociedad/1044327-pucp-cayetano-upc-y-san-marcos-en-tre-las-mejores-universidades-del-mundo
Mehrens, W. A. y Lehmann, I. J. (1991). Measurement and evaluation in education and psychology (3.a ed.). Nueva York: Holt, Rinehart and Winston.
Pickworth, G. E. y Schoeman, W. J. (2000). The psychometric properties of the Learning Style Inventory and the Learning Style Questionnaire: Two normative measures of learning styles. South African Journal of Psychology, 30(2), 44-52.
Rivas, D. (2006). ¿Qué es investigar? Recuperado de https://es.slideshare. net/d1305/qu-es-investigar-13939440
Rodríguez, W., Jiménez, R. y Caicedo-Maya, C. (2007). Protocolo de actitudes relacionadas con la ciencia: adaptación para Colombia. Physhologia: Avances en la disciplina, 1(2), 85-100.
Sierra Bravo, R. (1991). Tesis doctorales y trabajos de investigación científica (5.a ed.). Madrid: Thomson.
Velásquez, A. (21 octubre 2007). La actitud investigativa y el conocimiento de las técnicas de investigación. [Mensaje en un blog].
Torre, S. de la, Díaz, L. A., Oliver, C. y Villaseñor, G. (1993). Los estilos: un enfoque innovador centrado en alumnos. Revista de Innovación Educativa, 2, 75-89.