Artículo Científico
Producción de forraje en leguminosas tropicales, en el Caribe seco colombiano
Forage production in tropical legumes, in the dry Colombian Caribbean region
Producción de forraje en leguminosas tropicales, en el Caribe seco colombiano
Pastos y Forrajes, vol. 42, núm. 2, pp. 143-151, 2019
Estación Experimental de Pastos y Forrajes "Indio Hatuey"
Recepción: 27 Marzo 2019
Aprobación: 10 Julio 2019
Resumen: El objetivo de este estudio fue evaluar la producción de forraje en accesiones de Canavalia brasiliensis Mart. ex Benth., Canavalia ensiformis (L.) DC. y Vigna unguiculata (L.) Walp. con diferentes edades de rebrote, en condiciones del Caribe seco colombiano. Se empleó un diseño de parcelas divididas, donde la accesión fue la parcela principal y la edad de rebrote, la subparcela. El rango de altura de las plantas fue de 29,8-69,8 cm; 31,7-54,9 cm; y 34,2-48,3 cm en C. brasiliensis, C. ensiformis y V. unguiculata, respectivamente. Las accesiones 20095 y 17009 de C. brasiliensis tuvieron las mayores producciones de forraje seco (p < 0,05), con valores entre 1 412,7 y 2 553,4 kg de MS/ha. En V. unguiculata se observó un rango entre 9 800 y 14 275 kg de MS/ha, mientras que para C. ensiformis la producción varió entre 5 498 y 8 071 kg de MS/ha. En todos los genotipos, a medida que avanzó la edad de rebrote, se incrementó la producción de forraje (p < 0,05). Las accesiones de C. brasiliensis, C. ensiformis y V. unguiculata presentaron una buena adaptación a las condiciones edafoclimáticas del Caribe seco colombiano.
Palabras clave: alimentación, bovinae, rebrote, rendimiento.
Abstract: The objective of this study was to evaluate the forage production in accessions of Canavalia brasiliensis Mart. ex Benth., Canavalia ensiformis (L.) DC. and Vigna unguiculata (L.) Walp. with different regrowth ages, under conditions of the dry Colombian Caribbean. A split-plot design was used, where the accession was the main plot and the regrowth age, the subplot. The height range of the plants was 29,8-69,8 cm; 31,7-54,9 cm; and 34,2-48,3 cm in C. brasiliensis, C. ensiformis and V. unguiculata, respectively. The accessions 20095 and 17009 of C. brasiliensis had the highest dry forage productions (p < 0,05), with values between 1 412,7 and 2 553,4 kg DM/ha. In V. unguiculata a range was observed between 9 800 and 14 275 kg DM/h; while for C. ensiformis the production varied between 5 498 and 8 071 kg DM/ha. In all the genotypes, as the regrowth age advanced, the forage production increased (p < 0,05). The C. brasiliensis, C. ensiformis and V. unguiculata accessions showed good adaptation to the soil and climate conditions of the dry Colombian Caribbean.
Keywords: feeding, Bovinae, regrowth, yield.
Introducción
La población mundial ha tenido un crecimiento exponencial en las últimas décadas, por lo que la demanda de proteína animal se ha incrementado. En este sentido la ganadería bovina es uno de los sectores que más aportan al suministro de proteína, a partir de sus productos base: carne, leche y sus derivados (Tilman et al., 2011). Ello ha impulsado la intensificación de este sistema productivo, pero también ha obligado a buscar opciones que permitan incrementar la eficiencia alimentaria en los bovinos, a partir de la implementación de mejores tecnologías, pero con menor impacto negativo en el medio ambiente (Garcia et al., 2018).
Una de las alternativas para mejorar la nutrición en los rumiantes es la inclusión de leguminosas como fuente de proteína, lo que incrementa la disponibilidad de alimento, principalmente en regiones donde la sequía afecta negativamente la oferta en pastoreo, tal como sucede en el Caribe seco colombiano (Castro-Rincón et al., 2017).
Diversos estudios han demostrado que las leguminosas brindan importantes aportes al ecosistema. Por ejemplo: el forraje y el grano sirven como fuentes alimenticias con alto contenido de proteína, para los animales; se emplean como cobertura vegetal para el suelo en diferentes cultivos, y como abono verde; son especies fijadoras de nitrógeno atmosférico; y reducen las emisiones de gases de efecto invernadero (Castro-Rincón et al., 2016; Prudhomme et al., 2017).
Además, las leguminosas representan un suplemento de interés en la ganadería, durante periodos de sequías prolongados. En estas condiciones el pastoreo se basa en el uso de gramíneas nativas, las cuales generalmente tienen un bajo contenido nutricional (Muchadeyi, 1998); ello podría afectar no solamente el aporte de nutrientes, sino también los procesos fisiológicos en el animal (Frøslie, 2017; McLean et al., 2018). Sin embargo, a pesar de los beneficios nutricionales identificados en estas especies, su uso aún no es habitual en los sistemas ganaderos (Dubeux Junior et al., 2017); esto se puede deber, posiblemente, a la falta de oferta de leguminosas forrajeras y a la poca transferencia de tecnologías validadas para estas especies.
En la búsqueda de fuentes de alimento con alto contenido de proteína, las leguminosas Canavalia brasiliensis (Mart. ex Benth.), Canavalia ensiformis (L.) y Vigna unguiculata (L.) Walp han resultado promisorias para los sistemas ganaderos (Garcia et al., 2018); no obstante, es necesario determinar las condiciones óptimas de manejo agronómico y continuar investigando este tipo de alternativa (Peters et al., 2011). Canavalia sp. ha sido catalogada como un material genético de gran interés para la alimentación animal (Douxchamps, 2010), principalmente por su capacidad adaptativa a condiciones de déficit hídrico y su producción de biomasa. Por otro lado, las investigaciones con Vigna spp. demostraron el potencial de esta especie como suplemento nutricional (forraje y grano) en la alimentación de monogástricos (Picot et al., 2015).
Los periodos de sequía intensos y la variabilidad climática son amenazas que disminuyen la disponibilidad de forraje de las gramíneas en pastoreo y la productividad de carne y/o leche en los sistemas de producción bovina del Caribe seco colombiano. Además, la oferta de leguminosas liberadas para los productores ganaderos en la región es baja(Castro-Rincón et al., 2018).
Por ello, el objetivo de este estudio fue evaluar la producción de forraje de accesiones de C. brasiliensis, C. ensiformis y V. unguiculata con diferentes edades de rebrote, en condiciones del Caribe seco colombiano.
Metodología experimental
El experimento se desarrolló en el Centro de Investigación Motilonia, de la Corporación Colombiana de Investigación Agropecuaria (AGROSAVIA), ubicado a 10º 0ʹ 7ʹʹ de latitud norte y 73º 14ʹ 51ʹʹ de longitud oeste en el municipio de Codazzi, en la microrregión Valle del Cesar del Departamento del Cesar. La zona presenta una temperatura promedio anual de 28,7 ºC, humedad relativa de 70 % y precipitación anual promedio de 1 600 mm, con distribución bimodal en los meses de mayo a junio y de septiembre a diciembre. El suelo es franco-arenoso, con pH de 7,5. El estudio se realizó en los meses de septiembre, octubre y noviembre, correspondientes a la segunda época de lluvia del año 2016 (fig. 1).

Genotipos, accesiones y edad de rebrote. Se utilizaron tres leguminosas, con diferente número de accesiones, las cuales fueron solicitadas al banco de germoplasma del Centro Internacional de Agricultura Tropical (CIAT) –Colombia–. En C. brasiliensis se utilizaron ocho accesiones (17009, 20090, 17973, 18501, 20095, 20096, 20098 y 20304), en C. ensiformis cinco accesiones (2168, 7753, 9108, 715 y 3214), y en V. unguiculata cuatro materiales genéticos: (2442, 3413, 2430 y 2404). Se evaluó la edad de rebrote a las 4, 6 y 8 semanas.
Las leguminosas herbáceas (C. brasiliensis y V. unguiculata) se sembraron en surcos distanciados a 0,5 m con 0,5 m entre plantas, y la leguminosa arbustiva (C. ensiformis) se sembró en surcos distanciados a 0,7 m con 0,5 m entre plantas.
Variables de respuesta. Para el caso de V. unguiculata, después de la emergencia de las plantas se inició el periodo de evaluación; mientras que para C. brasiliensis y C. ensiformis se realizó un corte de homogenización (10 cm desde el nivel del suelo), después de un periodo de establecimiento de cuatro meses. En las edades de rebrote indicadas anteriormente se evaluaron las siguientes variables:
· Altura de la planta: se midió desde el suelo hasta el pecíolo de la hoja más alta.
· Producción de forraje verde: se midió la producción de forraje verde (FV) en 0,25 m2, y se expresó como kg FV/ha.
· Se tomaron muestras de FV que se secaron en horno durante 48 h, a una temperatura de 60 ºC, para determinar el contenido de materia seca y la producción de forraje seco (FS) por hectárea.
Diseño y área experimental. Se empleó un diseño de bloques al azar con arreglo de parcelas divididas (Steel y Torrie, 1999), en el que la parcela principal correspondió a las accesiones de leguminosas y la subparcela, a la edad de rebrote dentro de cada especie. El área total para el experimento fue de 3 500 m². Las dimensiones de la parcela principal fueron 2,5 m de largo x 2,0 m de ancho. Se hicieron tres réplicas de todas las accesiones.
Se realizó análisis de varianza (Proc Anava) y comparación de medias de acuerdo con la prueba de Duncan, con un nivel de significación de 5 %. Para ello se utilizó el programa estadístico SAS® versión 9.4. En el caso de que la interacción fuera significativa (p < 0,05) entre la accesión y la edad de rebrote, se realizaron contrastes ortogonales para la comparación de medias en la variable producción de forraje seco por hectárea.
Resultados y Discusión
A medida que avanzó la edad de rebrote en C. brasiliensis la altura en los genotipos fue mayor (tabla 1); de igual manera sucedió entre la edad de rebrote y la producción de biomasa (p < 0,05). Ello coincide con lo reportado en la evaluación productiva de otras especies forrajeras (Castro-Rincón et al., 2018).

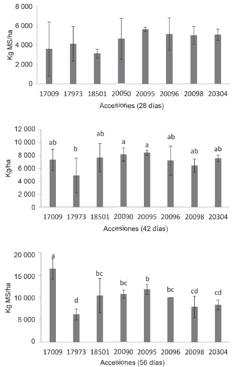
Se observó interacción de la accesión y la edad de rebrote (p < 0,05) en la producción de forraje seco en C. brasiliensis (fig. 2). La producción de forraje seco se incrementó a medida que avanzó la edad de rebrote en todas las accesiones. Sin embargo, en la accesión 17009 ocurrió la mayor producción de forraje a los 56 días de rebrote (p < 0,05). El incremento en la producción de materia seca fue de 101, 140 y 164 % en las accesiones 20090, 17009 y 18501, respectivamente, entre los 28 y los 42 días. La accesión 17009 mostró el mayor incremento en la producción de materia seca (138 %) entre los 42 y los 56 días (fig. 2).

Al realizar el análisis de contrastes ortogonales, en el que se tuvieron en cuenta todas las edades de rebrote, se observó que las accesiones 17009 y 20095 presentaron las mayores producciones de forraje seco (p < 0,05) en comparación con las restantes; mientras que la accesión 17973 mostró la menor producción de forraje seco (p < 0,05) respecto a las demás (tabla 2).

En otros trabajos con C. brasiliensis (Douxchamps et al., 2011), se hallaron valores similares al rango de producción observado en este estudio (2 448-5 357 kg de MS/ha). Ello indica el comportamiento promisorio de esta especie, con producciones de biomasa superiores a los 2 000 kg de MS/ha en condiciones del Caribe seco colombiano (Castro-Rincón et al., 2018), y está acorde con lo reportado por Douxchamps (2010) en algunos agroecosistemas del Pacífico y centro de Nicaragua (2 117 kg de MS/ha). Sin embargo, en otros estudios se han reportado rendimientos superiores en siembras realizadas al finalizar el periodo de precipitación, en los cuales el efecto del recurso hídrico fue positivo en cuanto a rendimiento de la especie o debido a las condiciones de suelo del Valle del Cauca en Colombia (Salamanca et al., 2004).
Las variables de respuesta cuantificadas en esta especie presentaron correlaciones lineales significativas (p > 0,001), lo que indicó que a mayor altura de la planta y edad de rebrote, se generó una mayor producción de forraje (tabla 3).

Además, por ser una leguminosa, C. brasiliensis posee buena composición nutricional y aporta altos contenidos de proteína (Albrecht y Beauchemin, 2003); por lo que puede ser un suplemento importante para la elaboración de forrajes conservados y/o mezcla con gramíneas de menor calidad nutricional (Heinritz et al., 2012), principalmente en regiones con periodos de baja precipitación donde la disponibilidad de forraje para pastoreo disminuye (Solano et al., 2014).
En el Caribe seco se ha reportado un contenido de proteína cruda de 17,1 %, por lo que esta especie se considera de gran interés para la ganadería (Schmidt et al., 2005), debido a la capacidad de desarrollarse en la época de sequía en regiones ganaderas, conservando su cobertura para el consumo animal (Douxchamps, 2010).
En cuanto a V. unguiculata, no se observó efecto de la interacción entre la edad de rebrote y la accesión sobre la altura de la planta. A medida que avanzó la edad de rebrote se incrementó la altura (p < 0,05). Las accesiones de mayor altura fueron 2442 y 3413.
En la mayor edad de rebrote (ocho semanas), la altura promedio de todas las acciones fue de 66,1 cm y la producción de forraje, de 5 295,8 kg de MS/ha; mientras que, en la menor edad de rebrote la altura fue de 27,9 cm. La producción de MS/ha fue similar a la reportada por Díaz et al. (2004), quienes argumentan que la utilización de variedades de vigna podría ser una alternativa para aumentar la cantidad de forraje y utilizarlo en la alimentación animal.
Apáez-Barrios et al. (2016) señalaron que el rendimiento de V. unguiculata se podría maximizar en dependencia de la distancia de siembra y el uso de fertilizantes orgánicos en el suelo.
No hubo efecto de la interacción ni de la accesión en la producción de forraje seco; sin embargo, la edad de rebrote afectó de forma positiva este indicador. A su vez a mayor edad se observó un aumento en el rendimiento de forraje por hectárea (tabla 4).

El rendimiento de materia seca resultó de interés, por la capacidad de estas especies de producir en las condiciones adversas de la región donde se desarrolló la investigación (Solano et al., 2014), ya que la época de sequía y las características de los suelos fueron dos de las principales limitantes. Según Castro-Rincón et al. (2016) C. brasiliensis y V. unguiculata, por ser leguminosas, permiten mejorar la fertilidad del suelo, principalmente por su capacidad de fijación de nitrógeno y por la cobertura de este en el departamento del Cesar. Estos autores mencionan que dichas especies se han utilizado como abono verde, con resultados favorables en el Caribe seco.
Todas las variables comparadas presentaron una correlación lineal directa y estadísticamente significativa (tabla 5). Así, se observó que la producción de biomasa (kg de MS/ha) se incrementó a medida que la altura y la edad de rebrote aumentaron.

En C. ensiformis la interacción entre la edad y la accesión no fue significativa, tal como sucedió en la variable de respuesta producción de materia seca (kg/ha). Sin embargo, los valores fueron de interés en cuanto a la producción de biomasa en todas las accesiones, y se destacó de forma numérica la 715 con 8 071 kg de MS/ha. En la altura de la planta hubo diferencia estadística (p < 0,05); la accesión 3214 tuvo el mayor valor y la 2168 fue la de menor porte.
En el caso de la fuente de variación edad, las plantas con mayor tiempo de establecimiento en campo tuvieron mayor altura (tabla 6). Lo mismo se observó para el efecto de la edad en la producción de materia seca, ya que la mayor producción se encontró con la mayor edad de rebrote.

La respuesta de los indicadores cuantificados también se analizó mediante correlaciones lineales de Pearson. Se halló una correlación directa y estadísticamente significativa (p < 0,05) entre la altura de la planta, la edad de corte y la producción de materia seca, lo que indica que a medida que se incrementan estos indicadores también lo hace la producción de biomasa (tabla 7).

La producción de forraje seco de las accesiones de C. ensiformis varió entre 5 498 y 8 071 kg de MS/ha, valores similares a los informados por Cook et al. (2005). Sin embargo, la máxima producción de forraje (8 071 kg de MS/ha) fue similar a la informada por Martín et al. (2007) en La Habana (Cuba): 9 380 y 9 760 kg de MS/ha, respectivamente. A su vez, fue superior a la reportada por Díaz et al. (2003) en Cuba, en la época de baja precipitación, y también a los valores informados por García-Rubido et al. (2017): 4 000 kg de MS/ha en la época de sequía y 5 330 kg de MS/ha en la época de lluvia. Según Crespo (2009), C. ensiformis se caracteriza por ser una especie rústica, con rendimientos de biomasa óptimos, por lo cual es ideal para establecerse en sistemas ganaderos donde las condiciones de fertilidad de los suelos y las climáticas son adversas para el establecimiento de las pasturas.
Los resultados indican que estas accesiones podrían considerarse materiales genéticos promisorios, por su excelente producción de forraje para la alimentación animal en condiciones del Caribe seco colombiano.
En general, las especies presentaron accesiones de buen comportamiento en cuanto a la producción de forraje seco. La diferencia en potencial productivo, de acuerdo con el rendimiento de forraje seco proyectado, resultó marcada entre las leguminosas. El uso de estas en la alimentación animal constituye una alternativa promisoria frente a la baja disponibilidad de alimento generada por la variabilidad climática (Lüscher et al., 2014). Así, se ha considerado el empleo de especies como C. brasiliensis, C. ensiformis y V. unguiculata, por su capacidad adaptativa y resiliente frente a condiciones abióticas poco favorables, como la sequía (Garcia et al., 2018); lo que las convierte en una fuente de alimento para ser utilizada en los sistemas ganaderos bovinos (Kebede et al., 2016). Por ello, se considera importante continuar con las investigaciones enfocadas a identificar nuevas ofertas forrajeras, que permitan mitigar el déficit alimentario en regiones con periodos de escasa precipitación, como el Caribe seco colombiano.
Conclusiones
Las accesiones de C. brasiliensis, C. ensiformis y V. unguiculata presentaron una buena adaptación a las condiciones edafoclimáticas del Caribe seco colombiano.
· Las accesiones 20095 y 17009, de C. brasiliensis, mostraron superioridad en cuanto a productividad respecto a las restantes de esta especie.
· Todas las accesiones de C. ensiformis y V. unguiculata tuvieron alto potencial productivo. Por ello, podrían ser empleadas como cultivos forrajeros y, posteriormente, como fuente de alimento para los bovinos, sobre todo en las épocas de escasez de forraje.
Agradecimientos
A la Corporación Colombiana de Investigación Agropecuaria AGROSAVIA, por la financiación de este estudio.
Referencias
Albrecht, K. A. & Beauchemin, Karen A. Alfalfa and other perennial legume silage. In: D. R. Buxton, R. E. Muck and J. H. Harrison, eds. Silage science and technology. Madison, USA: American Society of Agronomy, Crop Science Society of America, Soil Science Society of America. p. 633–664, 2003.
Apáez-Barrios, P.; Escalante-Estrada, J. A. S.; Sosa-Montes, E.; Apáez-Barrios, Maricela; Rodríguez-González, María T. & Raya-Montaño, Yurixhi A. Producción y calidad nutrimental de vaina del frijol chino, Vigna unguiculata (L.) Walp, en función de arreglo topológico y tipo de fertilización. Rev. FCA UNCUYO. 48 (2):31-42, 2016.
Castro-Rincón, E.; Mojica-Rodríguez, J. E.; Carulla-Fornaguera, J. A. & Lascano-Aguilar, C. E. Evaluación de leguminosas como abono verde en cultivos forrajeros para ganaderías en el Caribe seco colombiano. Agron Mesoam. 29 (3):597-617, 2018. DOI: https://doi.org/10.15517/ma.v29i3.32350.
Castro-Rincón, E.; Sierra-Alarcón, Andrea M.; Mojica-Rodríguez, J. E.; Carulla-Fornaguera, J. A. & Lascano-Aguilar, C. E. Efecto de especies y manejo de abonos verdes de leguminosas en la producción y calidad de un cultivo forrajero utilizado en sistemas ganaderos del trópico seco. Arch. Zootec. 66 (253):99-106, 2017. DOI: https://doi.org/10.21071/az.v66i253.2131.
Castro-Rincón, E.; Sierra-Alarcón, Andrea M.; Mojica-Rodríguez, J. E.; Carulla-Fornaguera, J. & Lascano-Aguilar, C. E. Uso múltiple de leguminosas como abono verde, en rotación con maíz, y heno, para producción de leche. Corpoica cienc. tecnol. agropecu. 17 (1):17–29, 2016. DOI: https://doi.org///doi.org/10.21930/rcta.vol17_num1_art:456.
Cook, B.; Pengelly, B.; Brown, S.; Donnelly, J.; Eagles, D.; Franco, A. et al. Tropical forages: an interactive selection tool. [CD-ROM]. Brisbane, Australia: CSIRO Sustainable Ecosystems, Department of Primary Industries & Fisheries (Qld), CIAT, ILRI. http://www.tropicalforages.info/, 2005.
Crespo, G. Recuperación de la fertilidad del suelo en áreas ganaderas degradadas. Rev. cubana Cienc. agríc. 43 (4):355-360, 2009.
Díaz, María F.; González, Acela; Padilla, C. & Curbelo, F. Comportamiento de la producción de forrajes y granos de Canavalia ensiformis, Lablab purpureus y Stizolobium niveum en siembras de septiembre. Rev. cubana Cienc. agríc. 37 (1):65-71, 2003.
Díaz, María F.; González, Acela; Padilla, C. & Curbelo, F. Comportamiento de variedades de Vigna unguiculata y Glycine max en producción de forrajes y granos. Rev. cubana Cienc. agríc. 38 (1):85-90, 2004.
Douxchamps, Sabine. Integration of Canavalia brasiliensis into the crop-livestock system of the Nicaraguan hillsides: environmental adaptation and nitrogen dynamics. Dissertation submitted to degree of Doctor of Sciences. Zürich, Switzerland: Swiss Federal Institute of Technology Zurich, 2010.
Douxchamps, Sabine; Mena, M.; Van der Hoek, R.; Benavídez, A. & Schmidt, A. Canavalia brasiliensis Mart. ex Benth CIAT 17009: forraje que restituye la salud del suelo y mejora la nutrición del ganado. Managua: Instituto Nicaragüense de Tecnología Agropecuaria, Centro Internacional de Agricultura Tropical, Instituto Federal Superior de Tecnologia de Suiza Eschikon, 2011.
Dubeux Junior, J. C. B.; Muir, J. P.; Apolinário, Valéria X. de O.; Nair, P. K. R.; Lira, M. de A. & Sollenberger, Lynn E. Tree legumes: an underexploited resource in warm-climate silvopastures. R. Bras. Zootec. 46 (8):689-703, 2017. DOI: http://dx.doi.org/10.1590/s1806-92902017000800010.
Frøslie, A. Problems on deficiency and excess of minerals in animal nutrition. In: Geomedicine. Boca Raton, USA: CRC Press. p. 37-60, 2017.
García-Rubido, Milagros; Rivera-Espinosa, R.; Cruz-Hernandez, Yoanna; Acosta-Aguiar, Yenssi & Ramón-Cabrera, J. Respuesta de Canavalia ensiformis (L.) a la inoculación con diferentes cepas de hongo micorrízico arbuscular en un suelo FARL. Cultivos Tropicales. 38 (1):7-12, 2017.
Garcia, E.; Siles, P.; Eash, Lisa; Van Der Hoek, R.; Kearney, S. P.; Smukler, S. M. et al. Participatory evaluation of improved grasses and forage legumes for smallholder livestock production in Central America. Exp. Agric. p. 1-17, 2018. DOI: https://doi.org/10.1017/S0014479718000364.
Heinritz, Sonja N.; Martens, Siriwan D.; Avila, Patricia & Hoedtke, Sandra. The effect of inoculant and sucrose addition on the silage quality of tropical forage legumes with varying ensilability. Anim. Feed Sci. Technol. 174 (3-4):201-210, 2012. DOI: https://doi.org/10.1016/j.anifeedsci.2012.03.017.
Kebede, G.; Assefa, G.; Feyissa, F. & Mengistu, A. Forage legumes in crop-livestock mixed farming systems - A review. Int. J. Livest. Res. 6 (4):1-18, 2016. DOI: https://doi.org/10.5455/ijlr.20160317124049.
Lüscher, A.; Mueller-Harvey, I.; Soussana, J. F.; Rees, R. M. & Peyraud, J. L. Potential of legume-based grassland-livestock systems in Europe: A review. Grass Forage Sci. 69:206-228, 2014. DOI: https://doi.org/10.1111/gfs.12124.
Martín, Gloria M.; Costa Rouws, Janaina R.; Urquiaga., S. & Rivera, R. A. Rotación del abono verde Canavalia ensiformis con maíz y micorrizas arbusculares en un suelo nitisol ródico éutrico de Cuba. Agronomía Tropical. 57 (4):313-321, 2007.
McLean, K. J.; Crouse, M. S.; Crosswhite, M. R.; Negrin-Pereira, N.; Dahlen, C. R.; Borowicz, P. P. et al. Impacts of maternal nutrition on uterine and placental vascularity and mRNA expression of angiogenic factors during the establishment of pregnancy in beef heifers. Translational Animal Science. 1 (2):160–167, 2018. DOI: https://doi.org/10.2527/tas2017.0019.
Muchadeyi, R. Herbage yields, chemical composition and in vitro digestibility of dual purpose legumes intercropped with maize for dry season fodder supplementation. Harare: University of Zimbabwe, 1998.
Peters, M.; Franco, H.; Schmidt, A. & Hincapiè, B. Especies forrajeras multipropósito opciones para productores del trópico americano. Publicación CIAT no. 374. Cali, Colombia: Centro Internacional de Agricultura Tropical, Bundesministerium für Wirtschaftliche Zusammenarbeit und Entwicklung, Deutsche Gesellschaft für Technische Zusammenarbeit, 2011.
Picot, J. A.; Koslowski, H. A.; Slanac, A. L.; Sánchez, S. & Asís, A. N. de Modificación de variables productivas por inclusión del “poroto caupí” (Vigna unguiculata) en la alimentaciín de cerdos Rev. vet. 26 (1):49-53, 2015.
Prudhomme, R.; Brunelle, T.; Dumas, Patrice & Zhang, X. Legumes production in Europe to mitigate agricultural emissions in a global perspective. 4ème Conférence annuelle de la FAERE. Nancy, France: LEF, BETA. p. 16, 2017.
Salamanca, W. F.; Bonilla, C. R. & Sánchez, M. S. Evaluación de seis abonos verdes en un vertisol ústico en condiciones del Valle del Cauca. Acta Agron. 53 (3):55-60, 2004.
Schmidt, A.; Peters, M.; Franco, L. & Schultze-Kraft, R. Canavalia brasiliensis —a multipurpose legume for the sub-humid tropics. XX International Grassland Congress. Wageningen, The Netherlands: Academic Publishers. p. 382, 2005.
Solano, J. M.; Barros-Henríquez, J. A.; Fandiño, B. R. & Pico, G. A. Requerimientos hídricos de cuatro gramíneas de corte para uso eficiente del agua en el Caribe seco colombiano. Corpoica Cienc. Tecnol. Agropecuaria. 15 (1), 2014.
Steel, R. & Torrie, J. Bioestadística, principios y procedimientos. (Eds. R. Steel y J. Torrie). 2 ed. España: McGraw-Hill, 1999.
Tilman, D.; Balzer, C.; Hill, J. & Befort, Belinda L. Global food demand and the sustainable intensification of agriculture. PNAS. 108 (50):20260-20264, 2011. DOI: https://doi.org/10.1073/pnas.1116437108.