Artículo Científico
Calidad fermentativa y organoléptica de ensilajes con diferentes proporciones de forraje y raíz de Manihot esculenta Crantz
Fermentative and organoleptic quality of silages with different proportions of forage and root from Manihot esculenta Crantz
Calidad fermentativa y organoléptica de ensilajes con diferentes proporciones de forraje y raíz de Manihot esculenta Crantz
Pastos y Forrajes, vol. 44, pp. 1-11, 2021
Estación Experimental de Pastos y Forrajes "Indio Hatuey"
Recepción: 15 Junio 2021
Aprobación: 17 Agosto 2021
Resumen:
Objetivo: Evaluar la calidad fermentativa y organoléptica de ensilajes con diferentes proporciones de forraje y raíz de dos variedades de Manihot esculenta Crantz en la provincia de Matanzas, Cuba. Materiales y Métodos: Se realizó un estudio en el laboratorio de nutrición de la Estación Experimental de Pastos y Forrajes Indio Hatuey, donde se evaluó la calidad fermentativa de dos variedades de M. esculenta (INIVIT Y-93-4 y Señorita), así como la calidad organoléptica del ensilado producido. Se aplicó un diseño completamente aleatorizado con tres tratamientos, donde cada variedad se evaluó por separado: T1) 0 % follaje: 100 % raíz; T2) 25 % follaje: 75 % raíz y T3) 100 % follaje: 0 % raíz, en cuatro momentos de evaluación. Se realizó análisis de varianza y para determinar la diferencia entre medias se utilizó la prueba de Duncan. Los datos se procesaron mediante el paquete estadístico SPSS.. Resultados: En todos los tratamientos de la variedad INIVIT Y-93-4, las temperaturas mayores se obtuvieron a los 15 días de iniciado el proceso de ensilado, con valores de 27,0; 26,9 y 26,7 .C para T3, T1 y T2, respectivamente. Sin embargo, el comportamiento para la variedad Señorita fue diferente, con los mayores valores de temperatura (29,0 .C) al final del proceso. También se encontraron diferencias significativas (p ≤ 0,001) en la concentración de N-NH. entre los tratamientos en ambas variedades. Los mayores valores (entre 1,3 y 1,9) se obtuvieron en T3, con respecto a T1 y T2, los que, a su vez, difirieron entre ellos. Conclusiones: La dinámica de fermentación de los ensilajes, con diferentes proporciones de forraje y raíz de M. esculenta de la variedad INIVIT Y-93-4, alcanzó parámetros adecuados de temperatura, pH y N-NH.. Los ensilajes de ambas variedades sí presentaron buenas características organolépticas.
Palabras clave: amoníaco, ensilaje, pH.
Abstract:
Objective: To evaluate the fermentative and organoleptic quality of silages with different proportions of forage and root of two varieties of Manihot esculenta Crantz in Matanzas province, Cuba. Materials and Methods: A study was conducted in the nutrition laboratory of the Pastures and Forages Research Station Indio Hatuey, where the fermentative quality of two M. esculenta varieties (INIVIT Y-93-4 and Señorita), as well as the organoleptic quality of the produced silage, was evaluated. A complete randomized design was applied with three treatments, where each variety was evaluated separately: T1) 0 % foliage: 100 % root; T2) 25 % foliage: 75 % root and T3) 100 % foliage: 0 % root, at four moments of evaluation. Variance analysis was carried out and to determine the difference among means Duncan’s test was used. The data were processed through the statistical package SPSS.. Results: In all the treatments of the variety INIVIT Y-93-4, the highest temperatures were obtained at 15 days after starting the ensiling process, with values of 27,0; 26,9 and 26,7 .C for T3, T1 and T2, respectively. However, the performance for the variety Señorita was different, with the highest temperature values (29,0 ºC) at the end of the process. Significant differences (p ≤ 0,001) were also found in the concentration of N-NH. among the treatments in both varieties. The highest values (between 1,3 and 1,9) were obtained in T3, with regards to T1 and T2, which, in turn, differed between them. Conclusions: The silage fermentation dynamics, with different proportions of forage and root from M. esculenta of the variety INIVIT Y-93-4, reached adequate temperature, pH and N-NH. parameters. The silages of both varieties did show good organoleptic characteristics.
Keywords: ammonia, silage, pH.
INTRODUCCIÓN
Manihot esculenta Crantz (yuca en Cuba) es una planta tropical, eficiente en la transformación de la energía solar en nutrientes aprovechables por el hombre. Se cultiva en América y África Tropical, principalmente, como parte de la agricultura de subsistencia (FAO, 2018). Si se compara con otras raíces y tubérculos, es la que presenta mayor tasa de crecimiento de consumo anual, con 1,9 % y el segundo lugar en términos de producción de forraje, con 0,95 % en la región de las Américas (Santos et al., 2019).
M. esculenta puede ser un excelente sustituto de Zea mays L. (maíz) en la dieta animal, al ser un cultivo con alta producción de raíces, ricas en almidón, y de follaje, con gran porcentaje de proteína (Aguilar-Martínez, 2017; Connolly-Juárez, 2017; Celis et al., 2019; López-Herrera et al., 2019). De la experiencia en el uso de esta planta en diferentes países, se conoce que se puede utilizar en niveles de sustitución (40,0 % y más) en la alimentación del ganado bovino para la producción de leche y carne (Vera-Arteaga et al., 2019), así como en cerdos (Romero-de-Armas et al., 2017) y aves para carne y huevos (Gámez-Hernández, 2020).
El ensilaje de M. esculenta pudiera ser una alternativa viable para la alimentación del ganado en épocas de escasez de alimento, donde se tiene la oportunidad de suministrar un producto con características similares a su estado fresco (Caicedo y Flores, 2020). Se conoce que el ensilaje es la fermentación de los carbohidratos solubles del forraje por medio de bacterias que producen ácido láctico en condiciones anaeróbicas, el cual se usa para incrementar el valor nutricional de productos y residuos agrícolas (Chafla et al., 2015) y para preservar alimentos con alto contenido de carbohidratos, que se ensilan solos o se fermentan con otros productos (Díaz-Monroy et al., 2018; Pascual-Sánchez et al., 2019; Caicedo y Flores, 2020).
El follaje de esta planta, combinado con su raíz en diferentes proporciones, y siguiendo las prácticas recomendadas para la elaboración de ensilajes en general, resultaría en un producto de gran calidad. El ensilaje, con cantidades progresivas de raíz, sería un producto con mayor contenido energético, o lo contrario, un ensilaje más proteico, por lo que se pudiera ofrecer a animales con diferentes demandas nutricionales.
El objetivo de este trabajo fue evaluar la calidad fermentativa y organoléptica de ensilajes con diferentes proporciones de forraje y raíz de dos variedades de M. esculenta en la provincia de Matanzas, Cuba.
MATERIALES Y MÉTODOS
Localización. El estudio se realizó en el laboratorio de Nutrición de la Estación Experimental de Pastos y Forrajes Indio Hatuey, situada entre los 22° 48’ 7” de latitud Norte y los 81° 2’ de longitud Oeste, a 19,01 msnm, en el municipio de Perico, provincia de Matanzas, Cuba.
Material vegetal. El material (follaje y raíz) provino de dos variedades de M. esculenta (INIVIT Y-93-4 y la Señorita), provenientes del Instituto de Investigaciones de Viandas Tropicales (INIVIT) de Santo Domingo, provincia de Villa Clara. La plantación se realizó a mano en un suelo Ferralítico Rojo (Hernández-Jiménez et al., 2015), ubicando las estacas de forma horizontal en el centro del camellón de siete surcos de 10,0 m de longitud, con marco de plantación de 0,90 x 1,0 m. No se realizó riego ni fertilización, tampoco se chapeó el cultivo después de su siembra. El momento de cosecha fue de 8 y 12 meses para la variedad INIVIT Y-93-4 y la Señorita, según el instructivo técnico de la especie, por ser variedades de ciclo corto y largo, respectivamente.
Diseño experimental y tratamientos. Para evaluar el efecto de las diferentes formulaciones en la calidad fermentativa y organoléptica de los ensilajes de las dos variedades en estudio, se utilizó un diseño completamente aleatorizado con tres tratamientos: T1-0 % follaje: 100 % raíz; T2-25 % follaje: 75 % raíz y T3-100 % follaje: 0 % raíz. Se establecieron cuatro momentos de evaluación (15, 30, 45 y 60 días) y seis repeticiones para cada momento. Se consideró el microsilo de bolsa como la unidad experimental.
Procedimiento experimental. Para la confección de los microsilos, el material vegetal y la raíz se trocearon por separado en un molino para Saccharina, modelo B-625, hasta alcanzar un tamaño de partícula de 4,0-5,0 mm, aproximadamente. Luego, se mezcló de forma homogénea, en función de las proporciones experimentales, y se colocó en bolsas de polietileno, de 12,0 cm de ancho por 24,0 cm de largo. El material se compactó bien en el interior de la bolsa, con el cuidado de no perforarla. Al finalizar, se selló herméticamente cada microsilo con la ayuda de cinta adhesiva. Los microsilos obtenidos se mantuvieron en esas condiciones por 60 días, en un local fresco y protegido. Se produjeron 24 microsilos por tratamiento, con un peso de 500,0 g por microsilo como promedio.
Análisis de la calidad. El ensilaje se monitoreó a los días 15, 30, 45 y 60 después de su elaboración para determinar la dinámica de fermentación. Se utilizó para ello una escala de ensilajes de laboratorio, propuesta por Ojeda et al. (1991). La calidad fermentativa de los ensilajes se determinó a partir de tres indicadores: el grado de acidez (pH), que se determinó con un potenciómetro sobre un extracto acuoso, formado por una fracción de 25,0 g de ensilado y 250,0 mL de agua destilada, tras una hora de reposo (Cherney y Cherney, 2003); la temperatura, que se estudió de acuerdo con O ́Kiely et al. (2001) y el nitrógeno amoniacal (Chaney y Marbach, 1962). Además, al abrir los microsilos a los 60 días, se evaluaron sus características organolépticas (color, olor y textura), según la tabla de evaluación propuesta por Betancourt et al. (2005).
Procesamiento estadístico. Los datos se procesaron mediante el paquete estadístico SPSS ® , versión 22.0 para Windows ® . Se realizó análisis de varianza, con previa comprobación de los supuestos de homogeneidad de varianza y normalidad de los datos. La diferencia entre medias se determinó mediante la prueba de Duncan. Se utilizó el análisis de correlación y regresión para conocer la interrelación entre la variable pH y nitrógeno amoniacal con los tratamientos. Como norma de selección de la ecuación de mejor ajuste se consideró el nivel de significación, y que el coeficiente de determinación (R2), real y ajustado, fuera mayor que 0,70 (Guerra et al., 2003).
RESULTADOS Y DISCUSIÓN
En las tablas 1 y 2 se muestran las características organolépticas de los ensilajes evaluados de las variedades INIVIT Y-93-4 y Señorita, respectivamente . El olor y la textura presentaron una calidad excelente, de acuerdo con los indicadores propuestos por Betancourt et al. (2005), independiente de las materias primas y la combinación entre ellas. Con respecto al color, el T1 mostró una tonalidad amarillo-oscura, quizá debido a la presencia de raíz solamente en el ensilaje, lo que lo convierte en un producto de buena calidad. En tanto, en T2 y T3, la tonalidad fue verde-aceituna, que se acentúo más en T3, por el aumento absoluto del follaje de M. esculenta, por lo que lograron evaluación de excelente. Este comportamiento organoléptico de los ensilajes fue similar en ambas variedades.


Resultados similares informaron Maza et al. (2011) en un estudio de evaluación de la composición química y de las características organolépticas de un ensilado de Pennisetum sp. con diferentes proporciones de M. esculenta fresca. En su investigación, el tratamiento control mostró una tonalidad verde-amarillenta.
La presencia pertinente de ácido láctico en los ensilajes permitió la estabilidad de estos últimos y, a su vez, determinó el olor dulzón y el pH inferior a 4,5 (Adams y Moss, 1997). De igual forma, la textura de los ensilados en todos los tratamientos mostró los contornos continuos, condición que califica a los ensilajes de excelente calidad, y que demuestra, además, que no hubo degradación del material ensilado.
En las tablas 3 y 4 se muestran los valores de temperatura de los ensilajes, para las variedades INIVIT Y-93-4 y Señorita, respectivamente.


Para INIVIT Y-93-4 (tabla 3), los valores se encontraron entre 22,0 y 27,0 oC durante todo el proceso de fermentación. En todos los tratamientos, las temperaturas más elevadas se obtuvieron a los 15 días de iniciado el proceso de ensilado, con valores de 27,0; 26,9 y 26,7 oC para T3, T1 y T2, respectivamente. La temperatura disminuyó a medida que aumentaron los días de fermentación, con excepción del día 45, en el que se observó un ligero aumento, pero sin diferencias significativas entre tratamientos. En el momento de apertura de los ensilajes (día 60), la temperatura fluctuó entre 22,2 y 22,6 ºC, con mayor valor (p < 0,001) también en el T3.
En cuanto a la variedad Señorita (tabla 4), durante todo el proceso de fermentación, los valores variaron entre 23,0 y 29,0 oC. Se evidenció que la temperatura se incrementó con los días de fermentación. A los 15 días, se encontraron los menores valores de temperatura, con diferencias altamente significativas entre los tratamientos (p < 0,001). Sin embargo, a los 30 y 60 días de fermentación, los tratamientos no difirieron entre sí, y se obtuvieron las temperaturas más elevadas a los 60 días de iniciado el proceso de ensilado, en el orden de los 29,13; 29,12 y 29,04 oC para T3, T2 y T1, respectivamente.
Estos resultados, relacionados con la temperatura de la variedad INIVIT Y-93-4, coinciden con lo informado por Villalba et al. (2011), quienes evaluaron la calidad bromatológica y organoléptica de ensilajes de residuos orgánicos del sistema de producción café-musáceas.
En la primera fase del ensilaje, según informan Ferrari y Alarcón (2015), a causa de la respiración de las células vegetales, se genera aumento de la temperatura, en un rango de 4 a 6 °C por encima de la temperatura ambiental. Esto coincide con lo encontrado en todos los tratamientos de la variedad INIVIT Y-93-4, en los que durante los primeros 15 días del proceso de fermentación se registraron los valores más elevados de la temperatura (tabla 3). Estas células respiran hasta que consumen todo el O2 presente en el material ensilado, produciendo calor, H2O y CO2 (Blanco-Valdes et al., 2016). Además, en la superficie de los vegetales, se encuentran grupos de microorganismos que pertenencen a la microbiota epifítica (bacterias, hongos y levaduras), los que generan una actividad microbiológica y enzimática importante, al producir calor y los ácidos más importantes de la fermentación (Zahiroddini et al., 2004).
El comportamiento de la variedad Señorita fue diferente al que se observó en la INIVIT-Y-4 (tabla 5), aunque resultó similar al informado por Morales-Querol (2020) en condiciones análogas a las de esta investigación, con proporciones de sorgo [Sorghum bicolor (L.) Moench] y pulpa de cítrico (Citrus sp.) semejantes a las evaluadas aquí. Este autor planteó que el aumento creciente de la temperatura, a medida que se incrementan los días de evaluación, se debe a la temperatura ambiental del momento de la evaluación, que influyó en la temperatura final del ensilaje. De ahí, sus altas temperaturas.

En el ensilaje de la variedad Señorita, por ser de ciclo largo, la evaluación comenzó a inicios del período lluvioso (mayo-junio), cuando la temperatura ambiental es, como promedio, de 27 °C (Ruz-Suárez et al., 2021). Mientras, en la INIVIT-Y-4, se evaluó durante el período poco lluvioso (noviembre-diciembre), con temperaturas ambientes más bajas.
Según Reyes et al. (2009), el rango aceptable de temperatura es entre 30-40 °C. Valores superiores a los 40 oC durante la estabilización del ensilaje indican que la compactación no ha sido suficiente, y que existe la posibilidad de entrada de aire. Asimismo, una temperatura igual o ligeramente superior a la ambiental, indica una adecuada estabilización del proceso fermentativo, lo que se pone de manifiesto en el presente estudio. La fermentación anaeróbica, al ser un proceso biológico, se relaciona con la temperatura ambiente y con el calor generado en dicho proceso. Es válido precisar que todos los ensilajes de las dos variedades tenían excelente calidad (tablas 1 y 3). No mostraron deterioro por el calentamiento excesivo, como la presencia de moho en el frente o en la superficie y el color marrón oscuro a negro, entre otros.
El pH es otro de los mejores indicadores para definir la calidad fermentativa de un ensilaje. En las tablas 5 y 6 se muestran los valores de esta variable en los ensilajes de raíz y follaje de M. esculenta, de la variedad INIVIT Y-93-4 y Señorita, respectivamente.

Para la INIVIT Y-93-4, los valores se encontraron entre 3,7 y 4,5. Durante todo el proceso de fermentación, fueron mayores para el tratamiento con follaje de M. esculenta al 100 %, con diferencias altamente significativas en los momentos de evaluación (15, 30 y 60 días), con respecto a T1 y T2. Mientras, a los 45 días, las diferencias fueron significativas entre todos los tratamientos (p < 0,001).
Para la variedad Señorita, los valores variaron entre 3,8 y 5,0. Las mayores cifras de pH se registraron en el T3, excepto en el día 30 de evaluación de la dinámica fermentativa. En esta variedad, el pH descendió con el incremento de los días de fermentación, por lo que los menores valores se encontraron a partir de los 45 días, para todos los tratamientos. Las combinaciones T1 y T2 mostraron diferencias significativas con respecto a T3, durante los momentos de evaluación (15 y 45 días). A los 60 días, todos los tratamientos presentaron diferencias estadísticas altamente significativas entre sí (p < 0,001).
De forma general, en todos los tratamientos de ambas variedades, el pH se mantuvo estable durante los 60 días que demoró la fermentación, aunque el T3 (100 % follaje de M. esculenta) alcanzó los mayores valores (por encima de 4,0). La raíz de M. esculenta presenta mayor contenido de materia seca (MS) que el follaje de esta planta y además, mayor cantidad de carbohidratos altamente fermentables, lo que garantiza, con mayor eficiencia, la actividad de las bacterias productoras de ácido láctico y de microorganismos encargados de disminuir el pH en las fermentaciones lácticas (Moura et al., 2017). De ahí que los ensilajes con mayor proporción de raíz de M. esculenta presentaran valores más bajos de este indicador: 3,7-3,9 para la INIVIT Y-93-4 y 3,8-4,6 para Señorita, respectivamente.
Sánchez-Ledezma (2018) informó que el pH está en función del contenido de MS del ensilaje y de la proporción que exista entre las proteínas y los carbohidratos solubles, al considerar que cuando un ensilaje alcanza valores inferiores a 4,2 ha logrado su estabilidad fermentativa. Si la fermentación se desarrolla con éxito, y la actividad de las BPAL prolifera y se convierten en la población predominante a causa de la producción de ácido láctico y otros ácidos orgánicos, el pH baja entre 3,8 y 5,0 en función de la especie y características del forraje (Garcés-Molina et al., 2004).
Hiriart (2008) plantea que la caída de este indicador debe ser lo más rápida posible, hasta llegar a valores menores de 4,2. Este criterio coincide con el de Sánchez-Ledezma (2018), aunque se prefiere que sea menor de 4,0 para producir un ensilaje estable en corto tiempo. No obstante, investigaciones informadas por Ososanya y Olorunnisomo (2015) confirman que un pH de 4,5 también permite obtener un producto de buena calidad.
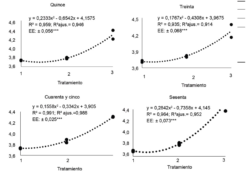
En la figura 1 se muestra la relación existente entre pH y el porcentaje de M. esculenta en la variedad INIVIT Y-93-4 en correspondencia con los momentos de muestreo. Se observó una tendencia creciente del pH a medida que aumentó el porcentaje de forraje, con los valores más altos en el T3 (100 % forraje). El modelo que explicó con mayor bondad de ajuste esta relación fue la ecuación polinómica de segundo orden, con un R2 y R2 ajustado en todos los casos, superior a 0,90.

En el caso de la variedad Señorita, no hubo relación significativa entre el porcentaje de follaje en los tratamientos y el pH.. Esto puede ser una muestra de que el ensilaje no estaba estabilizado a los 60 días, momento en que se realizó el último muestreo. A su vez, los valores hallados fueron más altos que en la variedad INIVIT Y-93-4.
Según Kung et al. (2018), la presencia de N-NH3 en los ensilajes está condicionada al contenido de los aminoácidos libres, los nitratos presentes en el forraje y a la degradación de las proteínas, debido al metabolismo de las bacterias durante la fermentación. Su concentración ofrece una idea de la proporción de las proteínas que se han desdoblado durante el ensilaje, cuando este se expresa como porcentaje del nitrógeno total. Esta cantidad de proteínas desdobladas puede ser alta o baja, de acuerdo con la calidad del proceso fermentativo en el silo. En la tabla 7 se muestra la concentración de N-NH3 de los ensilajes estudiados en la variedad INIVIT Y-93-4.

Se incrementó el contenido de nitrógeno amoniacal desde los 15 hasta los 60 días de fermentación en todos los tratamientos, motivado probablemente por el NH3 generado por los procesos de proteólisis mencionados anteriormente, que pudieron estar presentes desde las primeras fases de la producción del ensilaje. No obstante, este aumento no tuvo influencia en la calidad del ensilado, debido a que en estos ensilajes hubo estabilidad del pH durante todo el proceso fermentativo, con valores finales entre 3,7 y 4,5 (tabla 5). De acuerdo con Kleinschmit y Kung (2006), el N-NH3 se puede afectar por el nivel de pH en el ensilaje. Si el pH es ácido, el contenido de N-NH3/NT es menor. En tanto, si es menos ácido, los valores de N-NH3/NT son mayores.
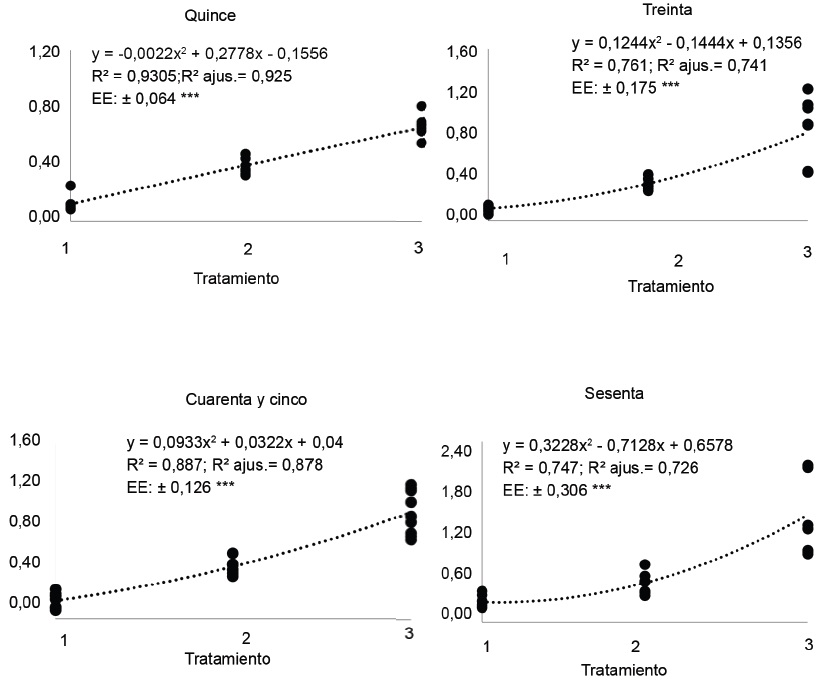
Se encontraron diferencias significativas (p ≤ 0,001) en la concentración de N-NH3 entre los diferentes tratamientos. Los mayores valores se hallaron en T3, en todos los momentos de evaluación, con respecto a T1 y T2, los que también difirieron entre sí. Esto se corrobora en la figura 2, donde se muestra la relación existente entre el N-NH3 y el porcentaje de inclusión del follaje de M. esculenta en el ensilado.

De la figura se infiere que, para los diferentes momentos de fermentación, hubo una tendencia creciente del nitrógeno a medida que aumentó el porcentaje de forraje en el ensilaje, con los valores más altos en el tratamiento con 100 % de forraje (T3). El modelo que explicó con mayor bondad de ajuste esta relación fue la ecuación polinómica de segundo orden, con R2 y R2 ajustado, superior a 0,70.
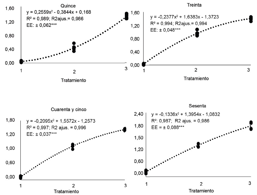
En la tabla 8 se muestra la concentración de N-NH3 de los ensilajes provenientes de la variedad Señorita. Se evidenció un incremento del contenido de nitrógeno amoniacal desde los 15 hasta los 60 días de fermentación en todos los tratamientos de esta variedad. Se encontraron, a su vez, diferencias significativas (p ≤ 0,001) entre los tratamientos, con los mayores valores en el T3, a los 15, 30, 45 y 60 días, con respecto a T1 y T2, los que también difirieron entre sí.

En la figura 3 se muestra la relación entre el N-NH3 y el porcentaje de inclusión de forraje de M. esculenta en el ensilado. Para los diferentes momentos de fermentación se evidenció la misma tendencia que en la variedad INIVIT Y-93-4, o sea, aumento creciente del nitrógeno a medida que se incrementó el porcentaje de forraje, con los valores más altos en el tratamiento con 100 % de forraje (T3). El modelo que explicó esta relación con mayor bondad de ajuste fue la ecuación polinómica de segundo orden, con R2 y R2 ajustado, superior a 0,90, por lo que resulta altamente significativo.

Los valores de N-NH3 para un ensilado de buena calidad varían según el tipo de forraje. En el presente estudio, en todos los tratamientos evaluados, el N-NH3 resultó menor a los valores descritos por Ojeda et al. (1991), Betancourt et al. (2005) e Hiriart (2008). El N-NH3 mostró, de manera general, ligera tendencia hacia el aumento a medida que se incrementó la proporción de forraje de M. esculenta en los ensilajes. No obstante, la calidad de los tratamientos de forraje y raíz de M. esculenta fue excelente, mientras que la de raíz de M. esculenta (100 %) fue buena. Esto se manifestó en el mantenimiento de las características fisicoquímicas de los ensilajes, debido al aporte de la raíz de M. esculenta al proceso fermentativo, en cuanto a carbohidratos fácilmente fermentables y MS, lo que concuerda con lo informado por López-Herrera et al. (2019).
CONCLUSIONES
La dinámica de fermentación de los ensilajes con diferentes proporciones de forraje y raíz de M. esculenta de la variedad INIVIT Y-93-4 presentó parámetros adecuados de temperatura, pH y N-NH3 durante los diferentes momentos de evaluación. Los ensilajes de ambas variedades presentaron buenas características organolépticas.
La planta M. esculenta, por sus características ensilables, puede constituir un recurso alimenticio valioso para la elaboración de ensilajes mixtos, y resulta adecuado para su utilización en sistemas de producción animal.
REFERENCIAS BIBLIOGRÁFICAS
Adams, M. & Moss, M. Microbiología de alimentos. España: Editorial Acribia, 1997.
Aguilar-Martínez, R. J. Inclusión de harina de follaje y raíz de yuca (Manihot esculenta Crantz) en cerdos en desarrollo y su efecto sobre el comportamiento productivo y morfometría del tracto gastrointestinal. Trabajo de graduación para optar al grado de Maestro en Ciencias en Producción Animal Sostenible. Managua: Facultad de Ciencia Animal, Universidad Nacional Agraria, 2017.
Betancourt, M.; González, I. & Martínez-de-Acurero, M. Evaluación de la calidad de los ensilajes. Rev. digit. cent. nac. investig. agropecu. CENIAP Hoy. 8:1-5, 2005.
Blanco-Valdes, Yaisys; Durañona, Hauary & Acosta, Rosa. Efecto de la temperatura y la humedad en la conservación de granos de maíz en silos metálicos refrigerados. Cult. Trop. 37 (4):105-114, 2016. DOI: http://dx.doi.org/10.13140/RG.2.2.13900.21127.
Caicedo, W. & Flores, A. Características nutritivas de un ensilado líquido de banano orito (Musa acuminata AA) con tubérculos de taro (Colocasia esculenta (L.) Schott) y su efecto en cerdos de posdestete. Rev. investig. vet., Perú. 31 (1):e17545, 2020. DOI: http://dx.doi.org/10.15381/rivep.v31i1.17545.
Celis, W.; Mathios, F. M.; Cáceres, J. & Aguilar, J. Rendimiento productivo de pollos parrilleros alimentados con harina de yuca (Manihot esculenta) como reemplazo del maíz. Rev. investig. vet. Perú. 30 (2):676-681, 2019. DOI: https://dx.doi.org/10.15381/rivep.v30i2.16053.
Chafla, Ana L.; Espín, J. M.; Jara, Margarita & Peñafiel, Sonia E. Caracterización de proteína microbiana obtenida a partir de residuos agroindustriales. Revista Amazónica Ciencia y Tecnología. 4 (2):131-145. https://dialnet.unirioja.es/servlet/articulo?codigo=5292892, 2015.
Chaney, A. L. & Marbach, E. P. Modified reagents for determination of urea and ammonia. Clin. Chem. 8 (1):130-132, 1962. DOI: https://doi.org/10.1093/clinchem/8.2.130.
Cherney, J. H. & Cherney, D. J. R. Assessing silage quality. In: D. R. Buxton, R. E. Muck and J. H. Harrison, eds. Silage science and technology. Madison, USA p. 141-198, 2003.
Connolly-Juárez, D. S. Inclusión de harina de follaje y raíz de yuca (Manihot esculenta Crantz), en la alimentación de pollos de engorde y su efecto en el comportamiento productivo. Tesis de Ingeniería. Managua: Facultad de Ciencia Animal, Universidad Nacional Agraria, 2017.
Díaz-Monroy, B.; Chacha, Elvita & Baquero, Fernanda. Zanahoria amarilla (Daucus carota L.) como alimento biotecnológico para vacas. Cien. Agri. 15 (2):83-97, 2018. DOI: http://doi.org/10.19053/01228420.v15.n2.2018.8442.
FAO. Estadísticas mundiales de yuca. Roma: FAO. https://blogagricultura.com/estadisticas-yuca-produccion/. [08/01/2021], 2018.
Ferrari, C. & Alarcón, A. Ensilaje. Argentina: INTA. https://inta.gob.ar/sites/default/files/script-tmp-inta_ensilaje.pdf, 2015.
Gámez-Hernández, M. Revisión del estado del arte del uso de harina de yuca (Manihot esculenta) como ingrediente principal en la dieta alternativa en alimentación de pollos de engorde de la línea Cobb-Avian. Monografía para optar al título de Especialista en Nutrición Animal Sostenible. San Gil, Colombia: Escuela de Ciencias Agrícolas, Pecuarias y del Medio Ambiente, Universidad Nacional Abierta y a Distancia, 2020.
Garcés-Molina, Adelaida M.; Berrio-Roa, Lorena; Serna-de-León, J. G.; Ruiz-Alzate, S. & Builes-Arango, A. F. Ensilaje como fuente de alimentación para el ganado. Rev. Lasallista Investig. 1 (1):66-71. http://repository.lasallista.edu.co/dspace/bitstream/10567/179/1/066-71%20Ensilaje%20como%20fuente%20de%20alimentaci%C3%B3n%20para%20el%20ganado.pdf, 2004.
Guerra, Caridad W.; Cabrera, A. & Fernández, Lucía. Criterios para la selección de modelos estadísticos en la investigación científica. Rev. cubana Cienc. agríc. 37 (1):3-10. http://www.redalyc.org/articulo.oa?id=193018072001, 2003.
Hernández-Jiménez, A.; Pérez-Jiménez, J. M.; Bosch-Infante, D. & Castro-Speck, N. Clasificación de los suelos de Cuba 2015. Mayabeque, Cuba: Instituto Nacional de Ciencias Agrícolas, Instituto de Suelos, Ediciones INCA, 2015.
Hiriart Le-Bert, M. Ensilados. Procesamiento y calidad. México: Trillas, 2008.
Kleinschmit, D. H. & Kung Jr., L. A meta-analysis of the effects of Lactobacillus buchneri on the fermentation and aerobic stability of corn and grass and small-grain silages. J. Dairy Sci. 89 (10):4005-4013, 2006. DOI: https://doi.org/10.3168/jds.S0022-0302(06)72444-4.
Kung Jr, L.; Shaver, R. D.; Grant, R. J. & Schmidt, R. J. Silage review: Interpretation of chemical, microbial, and organoleptic components of silages. J. Dairy Sci. 101 (5):4020-4033, 2018. DOI: https://doi.org/10.3168/jds.2017-13909.
López-Herrera, M.; Rojas-Bourillon, A. & Castillo-Umaña, M. Á. Efecto de la sustitución de king grass (Cenchrus purpureus) por yuca (Manihot esculenta Crantz) sobre la calidad nutricional del ensilaje. Nut. Anim. Trop. 13 (2):21-42, 2019. DOI: https://doi.org/10.15517/nat.v13i2.39608.
Maza, L.; Vergara, O. & Paternina, Elisa. Evaluación química y organoléptica del ensilaje de maralfalfa (Pennisetum sp.) más yuca fresca (Manihotesculenta). Rev. MVZ Córdoba. 16 (2):2528-2537, 2011. DOI: https://doi.org/10.21897/rmvz.1017.
Morales-Querol, D. Evaluación del valor nutritivo de ensilados de sorgo (Sorghum bicolor (L.) Moench) y pulpa de cítrico (Citrus sp.). Tesis en opción al título de Máster en Pastos y Forrajes: EEPF Indio Hatuey, Universidad de Matanzas, 2020.
Moura, Marielly M. A.; Pires, D. A. de A.; Costa, R. F.; Tolentino, Daniella C.; Rigueira, J. P. S. & Sales, Eleuza C. J. de. Nutritional value of sorghum silages. Acta Sci. Anim. Sci. 39 (2):137-142, 2017. DOI: https://doi.org/10.4025/actascianimsci.v39i1.32677.
O´Kiely, P. O.; Clancy, M. & Doyle, E. M. Aerobic stability of grass silage mixed with a range of concentrate feedstuffs at feed-out. 19th International Grassland Congress. Proceedings. São Pedro, Brazil: FEALQ. p. 794-795, 2001.
Ojeda, F.; Cáceres, O. & Esperance, M. Sistema de evaluación para ensilajes tropicales. En:Conservación de forrajes. Ciudad de La Habana: Editorial Pueblo y Educación. p. 15-65, 1991.
Ososanya, T. O. & Olorunnisomo, O. A. Silage characteristics and preference of sheep for wet brewer’s grain ensiled with maize cob. LRRD. 27 (1). http://www.lrrd.org/lrrd27/1/osos27012.htm, 2015.
Pascual-Sánchez, Y.; Betancur-Hurtado, C.; Botello-León, A.; Pérez-Corría, Kirenia; Ruiz-Corrales, Cristina & Martínez-Aguilar, Y. Ensilability and chemical composition of silages made with different mixtures of noni (Morinda citrifolia L.). Cien. Agri. 16 (1):3-16, 2019. DOI: https://doi.org/10.19053/01228420.v16.n1.2019.8802.
Reyes, N.; Mendieta, B.; Fariñas, T.; Mena, M.; Cardona, J. & Pezo, D. Elaboración y utilización de ensilajes en la alimentación del ganado bovino. Managua: CATIE. Serie técnica. Manual técnico No. 91. http://repositorio.bibliotecaorton.catie.ac.cr/bitstream/handle/11554/7886/173.pdf?sequence=2&isAllowed=y, 2009.
Romero-de-Armas, R.; Alcívar-Acosta, E. & Alpizar-Muni, J. Afrecho de yuca como sustituto parcial del maíz en la alimentación de cerdos de engorde. La Técnica. Edición especial: 54-61. https://revistas.utm.edu.ec/index.php/latecnica/article/view/974, 2017.
Ruz-Suárez, F.; Sánchez-Santana, Tania; Olivera-Castro, Yuseika; Rizo-Alvarez, Maritza & Morales-Querol, D. Evaluación agroproductiva de dos clones de Manihot esculenta Crantz en la provincia de Matanzas. Pastos y Forrajes. 44:e01. http://scielo.sld.cu/scielo.php?script=sci_arttext&pid=S0864-03942021000100001, 2021.
Sánchez-Ledezma, W. Potencial de los forrajes para producir ensilaje de calidad. Alcances Tecnológicos. 12 (1):49-58, 2018. DOI: https://doi.org/10.35486/at.v12i1.37.
Santos, J. A.; Narváez, L.; Salcedo, Saula M.; Acevedo, Alba N.; Mercado, L. C. & Salcedo, J. G. Fisiología del cultivo de yuca en el bosque seco tropical de Sucre-Colombia. Temas Agrarios. 24 (1):17-26, 2019. DOI: https://doi.org/10.21897/rta.v24i1.1774.
Vera-Arteaga, T. A.; Zambrano-Vélez, María I. & Muñoz-Murillo, J. P. Raciones suplementarias con follaje de yuca (Manihot esculenta Crantz) en la alimentación de vacas lecheras Brown swiss. Pro-Sciences. 3 (19):10-15, 2019. DOI: https://doi.org/10.29018/issn.2588-1000vol3iss19.2019pp10-15.
Villalba, Diana K.; Holguín, Vilma A.; Acuña, J. A. & Piñeros-Varon, R. Calidad bromatológica y organoléptica de ensilajes de residuos orgánicos del sistema de producción café-musáceas. RECIA. 4 (1):47-52. http://revistas.ut.edu.co/index.php/ciencianimal/article/view/143, 2011.
Zahiroddini, H.; Baaha, J.; Absalom, W. & McAllister, T. A. Effect of an inoculant and hydrolytic enzymes on fermentation and nutritive value of whole crop barley silage. Anim. Feed. Sci. Tech. 117 (3-4):317-330, 2004. DOI: https://doi.org/10.1016/j.anifeedsci.2004.08.013.
Notas
Fernando Ruz-Suárez. Ejecutó los experimentos con las mediciones correspondientes y buscó información bibliográfica.
Dariel Morales-Querol. Contribuyó a la ejecución de los experimentos con las mediciones correspondientes y buscó información bibliográfica.
Yuseika Olivera-Castro. Generó la idea de la investigación, buscó información bibliográfica y revisó el manuscrito.
Maritza Rizo-Alvarez. Contribuyó a la ejecución de los experimentos con las mediciones correspondientes y buscó información bibliográfica.
Miguel Benítez-Alvarez. Contribuyó a la ejecución de los experimentos con las mediciones correspondientes y buscó información bibliográfica.