Artigos
ANÁLISE DA RELAÇÃO ENTRE VARIÁVEIS DEMOGRÁFICAS E ESCORES DE TOLERÂNCIA AO RISCO
ANALYSIS OF THE RELATIONSHIP BETWEEN DEMOGRAPHIC VARIABLES AND RISK TOLERANCE SCORE
ANÁLISE DA RELAÇÃO ENTRE VARIÁVEIS DEMOGRÁFICAS E ESCORES DE TOLERÂNCIA AO RISCO
Revista de Administração da Universidade Federal de Santa Maria, vol. 10, núm. 1, pp. 116-128, 2017
Universidade Federal de Santa Maria
Recepção: 13 Fevereiro 2014
Aprovação: 16 Março 2015
Resumo: As Finanças Comportamentais são um ramo recente da teoria financeira que visa incorporar aspectos psicológicos e sociológicos na investigação acerca das anomalias do mercado e do comportamento do investidor. Nesta pesquisa, buscou-se avaliar quais variáveis demográficas podem ser utilizadas para classificar os decisores quanto ao grau de tolerância ao risco. Para isso, aplicou-se a 305 indivíduos um questionário estruturado com base nos trabalhos desenvolvidos por Gava e Vieira (2006), Grable e Lyntton (2001) e Survey of Consumer Finances (SCF). O grau de tolerância ao risco foi mensurado por meio de uma variável observável, oriunda da SCF, e de uma variável latente, composta de três construtos que se referem a algumas dimensões do risco: risco do investimento, conforto e experiência ante o risco e risco especulativo (GRABLE; LYNTTON, 2001). Quanto às técnicas de análise, aplicaram-se a Análise Fatorial Confirmatória (AFC) e a análise de variância (ANOVA). Os resultados auferidos mostram que o maior impacto na tolerância ao risco foi ocasionado pelo conforto e pela experiência ante o risco, sendo esta a dimensão que obteve a maior média dentre as dimensões analisadas e apresentou a maior correlação com o escore de tolerância ao risco. Quanto às variáveis demográficas, a pesquisa demonstrou que aqueles que são jovens, solteiros e sem filhos tendem a aceitar mais risco em seus investimentos. Percebeu-se, ainda, que a renda apresentou um efeito não linear sobre a tolerância ao risco: os mais tolerantes ao risco são os que têm maior capacidade de suportar as possíveis perdas decorrentes dos investimentos de maior risco.
Palavras-chave: Tolerância ao Risco, Finanças Comportamentais, Variáveis Demográficas.
Abstract: Behavioral Finance is a modern branch of financial theory that aims to incorporate psychological and sociological issues in the investigation of market anomalies and individual investor behavior. This research sought to assess which demographic variables can be used to classify decision makers regarding to risk tolerance level. The questionnaire was applied with 305 individuals and its structure was based of the work of Gava and Vieira (2006), Grable and Lyntton (2001) and the Survey of Consumer Finances (SCF). Risk tolerance level was measured in two ways: an observable variable, from the SCF, and a latent variable composed of three constructs that refer to some risk dimensions: risk as investment, comfort and experience at risk and speculative risk (GRABLE; LYNTTON, 2001). In the analysis of data, Confirmatory Factor Analysis (CFA) and variance analysis (ANOVA) were used. Results show that the greatest impact on risk tolerance among the analyzed dimensions was the dimension comfort and experience with risk; it presented the highest mean and the highest correlation with the risk tolerance score. Regarding to the demographic variables, the research shows that young, single and childless individuals tend to accept more risk in their investments. The income presented a nonlinear effect on the risk tolerance, but the more risk tolerant are those who are better able to withstand the possible losses arising from higher risk investments.
Keywords: Risk Tolerance, Behavioral Finance, Demographic Variables.
1. INTRODUÇÃO
A principal ideia subjacente ao conceito de risco é a de que este consiste na incerteza que pode ser mensurada (KNIGHT, 1921), de modo que a decisão de como e onde investir os recursos está ligada ao nível de risco que se deseja assumir em relação ao retorno almejado. (NASCIMENTO et al, 2011). Pela lógica instrumental das finanças tradicionais, existe uma compreensão da dinâmica dos riscos existentes, que permite que os investidores otimizem a alocação de recursos, garantindo um maior retorno. (SILVA et al, 2008). No entanto, essa compreensão pressupõe um conhecimento completo e inalcançável acerca das consequências exatas de cada escolha, não havendo espaço para a influência de outros fatores, tais como os estilos cognitivos do decisor, o conflito de interesses, o papel do conhecimento, as relações afetivas e os valores do ser envolvido na decisão” (PEREIRA et al., 2010). Assim, a tolerância ao risco apresenta-se como um contraponto à aversão ao risco e se origina da percepção das probabilidades (CORTER; CHEN, 2005; QIU; STEIGER, 2010).
A concepção de que a tolerância do risco está sujeita a um viés comportamental do tomador de decisão advém do trabalho de Kahneman e Tversky (1979). Nesse estudo, os autores propõem-se a explicar as anomalias da teoria da utilidade e concluem que os investidores nem sempre são racionais ou tomam suas decisões de forma a maximizar a utilidade. Para esses autores, o comportamento do decisor seria afetado pelas seguintes questões: o modo como as informações estão dispostas, a fonte dessas informações e as possibilidades reais e prováveis de perda.
Embora a ideia de que a tolerância ao risco varie entre os indivíduos, não há, no âmbito das finanças comportamentais, um consenso entre os pesquisadores. Existem estudos que afirmam que a tolerância ao risco é um traço de personalidade, enquanto outros pesquisadores afirmam que a tolerância é contingencial. Além desse aspecto, não há convergência sobre que variáveis influenciam a tolerância ao risco e como elas o fazem (HALLAHAN; FAFF; MCKENZIE, 2003).
Mesmo diante de um grande número de variáveis pesquisadas (conhecimento formal sobre finanças, percepção da importância do planejamento, localização geográfica, desempenho do mercado de ações, entre outros), a maioria dos estudos aponta para a importância das variáveis demográficas sobre a tolerância ao risco, notadamente: idade, estado civil, renda e gênero (GAVA; VIEIRA, 2006; CROY; GERRANS; SPEELMAN, 2010; VAN DE VENTER; MICHAYLUK; DAVEY, 2012).
A partir da ideia de que as pessoas não têm a mesma disposição para aceitar um risco, apresentando diferentes níveis de tolerância, surge a necessidade de identificar que fatores influenciam os diferentes níveis de tolerância ao risco, de forma a descobrir as melhores alternativas de investimento para cada um desses investidores. Assim, este estudo tem como objetivo avaliar qual é a relação existente entre variáveis demográficas e nível de tolerância ao risco de indivíduos de três instituições de ensino superior do Rio Grande do Norte. Nesse contexto, o trabalho visa responder ao seguinte questionamento: qual é a relação existente entre variáveis demográficas e nível de tolerância ao risco de indivíduos de três instituições de ensino superior do Rio Grande do Norte?
Buscando atingir tal objetivo, o presente artigo está estruturado da seguinte forma: a primeira seção apresenta a parte introdutória desta pesquisa; na segunda seção, tem-se o referencial teórico-empírico que aborda as questões relativas à tolerância ao risco e às variáveis demográficas utilizadas na presente pesquisa; na terceira seção, discorre-se sobre os procedimentos metodológicos utilizados na pesquisa; a quarta seção traz a apresentação e análise dos dados; e, por fim, na quinta seção, são discutidas as conclusões e recomendações.
2. REVISÃO DA LITERATURA
Os investidores racionais, tal como apregoam as Finanças Tradicionais, não estão sujeitos a erros cognitivos, têm perfeito autocontrole, são sempre avessos ao risco e nunca avessos ao arrependimento (STATMAN, 1999). Já as Finanças Comportamentais acreditam que as decisões são sujeitas a alguma subjetividade, formando uma área de conhecimento que combina elementos da Psicologia e da Economia e tenta explicar os vários eventos que ocorrem nos mercados financeiros (PARK; SOHN, 2013).
O estudo de Kahneman e Tversky (1979) sobre a Teoria do Prospecto (ou Teoria da Perspectiva) foi uma das primeiras pesquisas na área: para os autores, a teoria da utilidade não descreve precisamente como os indivíduos avaliam as opções para a tomada de decisão. Tversky e Kahneman (1992) apontam, ainda, que os investidores são mais sensíveis às perdas do que aos ganhos.
A Teoria da Perspectiva traz elementos para a análise de uma situação de risco, não contemplados pela teoria da utilidade: pelo argumento do quadro de referência (framing), entende-se que uma decisão pode ser afetada pela maneira como as escolhas estão estruturadas ou como o problema está disposto, mesmo que os resultados sejam equivalentes (BARBERIS; THALER, 2003). A aparente falta de racionalidade na tomada de decisões pode ser parcialmente explicada pela forma com que essas alternativas são estruturadas. Assim, pela Teoria da Perspectiva, as pessoas subavaliam as consequências prováveis quando comparadas com as consequências certas: este fenômeno é conhecido como efeito certeza. Os autores dessa teoria também destacam que a certeza reflete na aversão ao risco nas escolhas que envolvem ganhos certos e na propensão ao risco nas escolhas que contemplam perdas certas (KAHNEMAN; TVERSKY, 1979).
Embora a tolerância ao risco possa ser analisada dentro de vários domínios, ela é mais naturalmente conceitualizada quando retratada em um quadro de risco-retorno (WEBER; BLAIS; BETZ, 2002). Para Weber, Blais e Betz (2002), a intenção do investidor afetará a troca entre o benefício esperado da opção, também denominado valor esperado, e o risco percebido, sendo este último uma variável diferente para cada indivíduo em função do contexto na tomada de decisão. Essa quantidade de incerteza em relação ao retorno de um investimento que o investidor aceita experimentar é conceituada por Grable (2000) como tolerância ao risco. Hallahan, Faff e McKenzie (2003) consideram a aversão ao risco e a tolerância ao risco como duas faces da mesma moeda; no entanto, pontuam que a tolerância ao risco é um conceito mais intuitivo que a aversão ao risco.
Com base nas posturas em situações de risco, Nicholson et al. (2009) categorizam as pessoas em três grupos: as que são geralmente propensas ao risco, as que são geralmente avessas ao risco e as que variam entre propensão e aversão ao risco dependendo da situação. Deste terceiro grupo, participam as pessoas avessas às perdas: são avessas ao risco em situações de ganho, mas são propensas ao risco na tentativa de eliminar a chance de perda, mesmo que esta decisão implique uma perda certa. Grable e Rabbani (2014) destacam que, embora a tolerância ao risco não varie muito nos diversos domínios, é natural que, em algum momento da vida, as pessoas ajam de maneira diferente do seu padrão de aceitação de risco. Tanto os achados de Nicholson et al. (2009) quanto os de Grable e Rabbani (2014) parecem combinar as duas ideias que estão em frequente debate no que se refere ao estudo sobre o grau de tolerância ao risco: se este se origina de um traço de personalidade ou se é um aspecto circunstancial (CORTER; CHEN, 2005).
Em um recente estudo longitudinal, Van de Venter, Michayluk e Davey (2012) concluíram que a tolerância ao risco é uma característica relativamente estável, sendo, portanto, altamente improvável que varie ao longo da vida do indivíduo. Apesar disso, os autores ressaltam que essa atitude pode variar desde que seja influenciada por importantes eventos e/ou experiências nas vidas dos indivíduos. Os resultados de Sahm (2012) indicam que mesmo eventos da vida de grande magnitude, como mudanças de emprego, fim do casamento ou diagnóstico de uma séria condição de saúde, não alteram permanentemente a disposição para assumir riscos adicionais: a tolerância ao risco, para a autora, é influenciada por características mais permanentes, tais como gênero e etnia. Desse modo, as variáveis demográficas apresentam-se como tendo grande influência sobre a tolerância ao risco. O Quadro 1 resume alguns dos principais resultados sobre a influência dessas variáveis na atitude ante o risco.

Embora as variáveis demográficas tenham, em sua maioria, apresentado a relação descrita no Quadro 1, existem estudos cujos resultados apontam para relações diversas ou, ainda, ressaltam a ausência de relação entre tais variáveis e a tolerância ao risco (CROY; GERRANS; SPEELMAN, 2010; VAN DE VENTER; MICHAYLUK; DAVEY, 2012).
Quanto ao gênero, especificamente, os estudos não são conclusivos. Byrnes, Miller e Schaffer (1999), citados por Harris et al. (2006), ao revisar mais de 150 artigos sobre as diferenças de gênero quanto à aceitação do risco, concluíram que os homens são mais afeitos ao risco do que as mulheres. No entanto, muitos estudos encontram diferenças significantes nas pesquisas relacionadas ao gênero (HALLAHAN; FAFF; MCKENZIE, 2003).
Schubert et al. (1999), ao comparar o comportamento do decisor em um contexto abstrato de decisão, perceberam que, se a mulher se sente bem-informada, ela não é particularmente avessa ao risco, chegando a ser tão propensa quanto o homem ou até mais.
3. PROCEDIMENTOS METODOLÓGICOS
Com o propósito de verificar se as variáveis demográficas podem ser usadas para classificar os indivíduos quanto à tolerância ao risco, realizou-se uma pesquisa de campo, de natureza quantitativa e do tipo descritiva. A amostra utilizada foi não probabilística, por conveniência. Aplicou-se um questionário estruturado e autoadministrado, o que, segundo Malhotra (2006), diminui a tendência que os participantes têm de darem respostas que podem não refletir o seu pensamento, mas que são convenientes do ponto de vista social.
O questionário foi estruturado com base nos trabalhos desenvolvidos por Gava e Vieira (2006), Grable e Lyntton (2001) e Survey of Consumer Finances (SCF), contemplando dois grandes grupos de questões: o primeiro grupo abarca questões direcionadas para o levantamento das variáveis demográficas, enquanto o segundo grupo tem por objetivo medir a tolerância ao risco. A tolerância ao risco foi mensurada de duas formas: por uma variável observável, oriunda da SCF, e por uma variável latente, composta de três construtos que consideram algumas dimensões do risco: risco do investimento, conforto e experiência ante o risco e risco especulativo (GRABLE; LYNTTON, 2001).
Quanto às técnicas de análise, aplicaram-se a Análise Fatorial Confirmatória (AFC) e a análise de variância (ANOVA). A primeira visa testar os construtos do modelo, na medida em que avalia se as determinadas variáveis observáveis do instrumento são representativas de um construto ou dimensão; já a segunda objetiva identificar as diferenças do grau de tolerância ao risco entre os grupos, separados pelas variáveis demográficas.
4. APRESENTAÇÃO E ANÁLISE DOS RESULTADOS
A presente pesquisa foi realizada com membros da comunidade acadêmica (estudantes, servidores técnicos e docentes) de três universidades do Rio Grande do Norte. A seguir, são descritos o perfil dos respondentes e os resultados das técnicas de análise utilizadas na pesquisa.
Percebe-se que, dos 314 questionários obtidos, 305 foram válidos (nove questionários continham missings values), formando a base de dados para a aplicação das técnicas de análise. A análise exploratória dos dados não identificou a presença de outliers na amostra.
Com base na amostra coletada, nota-se que 52% dos respondentes são do gênero feminino, e 48%, do gênero masculino. A grande maioria é solteira (73,3% solteiros e 24,5% casados), não tem filhos (81,2%) e está cursando a graduação (82%). A renda média dos entrevistados que declararam renda é de R$ 1.685,22. A idade média é 25,51 anos. Quanto à ocupação, um terço dos entrevistados trabalha em instituições privadas, e 30,25% não trabalham, o que é de se esperar de uma amostra composta, em sua maioria, de jovens universitários. Os funcionários públicos compõem 13,7% da amostra, os empresários (negócio formal e informal) somam 8,3%, e os estagiários totalizam 14,3%.
A Figura 1 apresenta a frequência de respostas dos respondentes desta pesquisa quanto à questão do Survey of Consumer Finances (SCF), que versa sobre como o respondente avalia o seu grau de tolerância ao risco, comparando-a com estudos similares anteriores (GAVA; VIEIRA, 2012; GRABLE; LYNTTON, 2001).

Os dados da presente pesquisa não diferem dos achados do estudo de Gava e Vieira (2012) em relação à questão do SCF. Os entrevistados, nestas pesquisas, relatam assumir maior risco do que os pesquisados por Grable e Lyntton (2001). Esses resultados podem se justificar pelo perfil da amostra: tanto no presente estudo quanto no trabalho de Gava e Vieira (2012), a amostra foi composta, em sua maioria, de jovens e solteiros, que tendem a apresentar maior tolerância ao risco.
Foram utilizados os scores do modelo de Grable e Lyntton (2001) para classificar a amostra quanto à tolerância ao risco. A distribuição de frequência em relação às faixas de escores propostas está expressa na Figura 2.

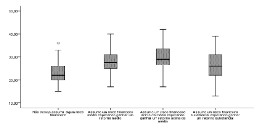
Os pesquisados foram, então, distribuídos em grupos, conforme a sua opção de resposta quanto à questão do SCF. Estimaram-se a análise de variância dos escores do modelo em relação aos grupos encontrados e, visando averiguar se existem diferenças estatisticamente significantes entre essas médias, o teste de hipóteses de Tukey. A Figura 3 evidencia os resultados das estimativas das médias dos escores de tolerância ao risco por meio do diagrama box-whiskers.

Os resultados auferidos do teste ANOVA (F=17,093; p-value=0,000) demonstram que há diferenças estatisticamente significativas entre as médias dos grupos: os entrevistados que relataram não desejar assumir risco financeiro apresentaram uma menor média no escore que mede a tolerância ao risco. Os pesquisados que apresentaram maior média neste escore, no entanto, não estão no grupo que relatou “assumo um risco substancial esperando ganhar um retorno substancial”, mas no grupo que mencionou “assumo um risco acima da média esperando ganhar um retorno acima da média”. No entanto, o teste de hipóteses não apresentou diferença estatisticamente significante entre esses dois grupos, considerando um nível de significância de 5%. Os resultados desse teste de hipóteses podem ser compreendidos como um critério de validade do modelo testado.
Após a análise da distribuição de probabilidades da amostra em relação aos indicadores de tolerância ao risco, os construtos do modelo de Grable e Lyntton (2001) foram analisados. Os treze itens que formam o instrumento são divididos em três fatores: risco do investimento, conforto e experiência ante o risco e risco especulativo. Todos os construtos são unidimensionais, sendo cada um deles formado por pelo menos três indicadores. Grable e Lyntton (2001) reportam que as estimativas de confiabilidade do modelo variam entre 0,68 e 0,87, sendo a grande maioria enquadrada entre 0,70 e 0,75. O coeficiente Alpha de Cronbach para os itens do modelo foi de 0,72, valor que está dentro do padrão reportado e atesta a confiabilidade do modelo (HAIR JR. et al., 2009). A estimativa da confiabilidade dos construtos e suas estatísticas descritivas encontram-se na Tabela 1.

Considerando-se a amplitude de valores em cada construto, percebe-se que todos os construtos do modelo apresentaram baixas médias, o que sugere baixa tolerância ao risco de maneira geral. As correlações bivariadas dos itens que compõem os construtos, para todas as variáveis latentes, foram positivas e, em sua grande maioria, significantes. As medidas de confiabilidade dos construtos não apresentaram a mesma força da confiabilidade do modelo. Estas medidas não divergem, no entanto, dos resultados de Grable e Lyntton (2001), que encontraram os seguintes coeficientes Alpha de Cronbach: risco do investimento (0,720); conforto e experiência ante o risco (0,502); e risco especulativo (0,443). Tais autores destacam que a literatura tem apontado que as medidas de confiabilidade dos construtos de avaliação de tolerância ao risco variam de 0,5 a 0,8, de modo que os resultados alcançados na presente pesquisa não fogem do padrão vem sendo encontrado.
Para verificar a coesão de cada construto e as relações dos construtos que compõem o modelo proposto, adotou-se a Análise Fatorial Confirmatória (AFC). O processo utilizado foi o método de estimação de máxima probabilidade, que permite estimar os valores dos diferentes parâmetros do modelo estatístico, de maneira a maximizar a probabilidade dos dados observados. O modelo testado apresentou uma boa qualidade de ajustamento, conforme se observa na Tabela 2.

O modelo está adequado, pois apresentou uma relação χ2/GL inferior a cinco (HAIR et al., 2005; MARÔCO, 2010). As medidas de ajuste incremental apresentaram valores superiores a 0,90, conforme recomenda a literatura; enquanto que o RMSEA, representando o índice de discrepância, apresentou valor abaixo de 0,05, corroborando o ajuste do modelo.
Para a análise da validade e confiabilidade do modelo, verificou-se primeiramente o grau de ajustamento dos indicadores às dimensões propostas por meio de um indicador de Confiabilidade Composta (CONF). Esse indicador permite atestar a consistência das medidas do modelo. Para testar a validade convergente, utilizou-se a Variância Média Extraída (AVE), que reflete a quantia geral de variância explicada do construto latente pelos indicadores. Os resultados estão demonstrados na Tabela 3.

A CONF dos fatores foi considerada satisfatória, pois resultou em valores superiores a 0,70. Com exceção do construto conforto e experiência ante o risco, os valores obtidos da AVE, que representam a validade convergente do fator, foram considerados satisfatórios, pois apresentaram resultados superiores a 0,5. Os resultados apontam, portanto, que outros indicadores podem compor o construto conforto e experiência ante o risco, para explicar melhor essa variável latente.
Após a validação do instrumento, foram avaliados os efeitos das variáveis demográficas sobre a tolerância ao risco, considerando a questão do SCF, os escores do modelo testado e as dimensões, isoladamente, conforme se observa no Quadro 2.

As idades foram categorizadas em cinco grupos: até 19 anos, entre 20 e 29 anos, entre 30 e 39 anos, entre 40 e 49 anos e acima de 50 anos. As menores médias dos escores de tolerância ao risco foram dos pesquisados de maior idade, enquanto as maiores médias foram dos jovens até 19 anos. Considerando uma significância de 5%, pode-se afirmar que as médias dos escores de tolerância ao risco e a distribuição das respostas da questão do SCF variam entre as faixas etárias, embora o teste não aponte precisamente como as médias variam entre os grupos. Para obter essa informação, utilizou-se o teste de hipóteses de Tukey, que dividiu os resultados em dois subgrupos ao identificar que as médias dos pesquisados acima de 40 anos diverge estatisticamente das médias dos pesquisados abaixo de 39 anos. Para a questão do SCF, não foi detectada diferença estatística entre as médias dos grupos.
Quanto às dimensões de análise dos construtos que compõem a tolerância ao risco, a faixa etária acima de 50 anos diferencia-se das demais no que se refere ao conforto e à experiência ante o risco e ao risco especulativo, apresentando os menores resultados em ambos os fatores. Pode-se inferir, portanto, que as pessoas que têm um horizonte de tempo menor para atingir os seus objetivos financeiros se sentem menos confortáveis diante do risco e não têm intenção de especular.
De maneira geral, as mulheres apresentaram maior tolerância ao risco, tanto na questão do SCF quanto nos escores do modelo. A diferença entre os grupos, no entanto, não foi estatisticamente significante. Ressalta-se que, quanto às dimensões da tolerância ao risco, os homens apresentaram maiores médias nos fatores risco do investimento e risco especulativo. O impacto do gênero do respondente sobre a tolerância ao risco pode ter sido diminuído pela influência do grau de educação, que teve pouca variação na amostra pesquisada. Essa afirmativa encontra respaldo em Grable (2000), que afirma que a tolerância ao risco resulta de uma combinação de características demográficas e socioeconômicas, dentre as quais se destacam as interações das variáveis demográficas com o nível de educação e o grau de conhecimento financeiro.
Quanto ao estado civil, não foram encontradas diferenças estatisticamente significantes entre as médias de tolerância ao risco. As menores médias foram dos separados, seguidos pelos casados, enquanto a maior média foi dos solteiros. No que se refere à questão do SCF, entretanto, pode-se afirmar, com uma significância de 0,01%, que os solteiros são mais tolerantes ao risco que os casados e os separados.
A renda foi categorizada segundo a tabela do Instituto Brasileiro de Geografia e Estatística (IBGE), que divide as classes pelo número de salários mínimos. Foram, portanto, identificados cinco níveis de renda: até dois salários-mínimos (SM), entre dois e quatro SM, entre quatro e dez SM, entre dez e 20 SM e acima de 20 SM. A partir disso, percebeu-se que existe diferença estatística entre os grupos: o grupo de maior renda apresentou as maiores médias de tolerância ao risco. Fora esse resultado, que parece confirmar a hipótese, a ordem decrescente de tolerância ao risco inverte-se: os pesquisados de menor renda (até dois SM) apresentam a segunda maior tolerância ao risco, seguidos pela faixa de dois a quatro SM e de quatro a dez SM, ao passo que o grupo que apresentou menor tolerância ao risco foi o de dez a 20 SM.
Essa não linearidade da relação da renda com os escores de tolerância ao risco pode ser explicada pela questão etária: a maioria dos pesquisados é estudante universitário e ainda não está com a carreira consolidada. Por serem jovens, teriam maior propensão ao risco. No que se refere aos fatores que compõem a tolerância ao risco, destaca-se a alta média do risco do investimento para o grupo de maior renda, que se destaca das médias dos outros grupos.
O grau de educação foi categorizado em quatro grupos: até o ensino médio, graduação incompleta, graduação completa e pós-graduação. Não houve diferença estatisticamente significante quanto às medidas de tolerância ao risco entre os grupos. O grupo que apresentou maior tolerância foi o dos estudantes de graduação, enquanto que os pós-graduados apresentaram a segunda pior média.
Além das hipóteses oriundas da literatura, outros aspectos demográficos foram considerados nesta pesquisa: o fato de o pesquisado ter filhos ou não e sua ocupação. Essas variáveis também foram consideradas no estudo de Gava e Vieira (2012). No que se refere à variável dicotômica filhos, o teste de variância apontou para diferenças estatisticamente significantes apenas no que concerne à questão SCF: a um nível de significância de 0,01%, pode-se afirmar que os entrevistados que não têm filhos apresentam maior tolerância ao risco. Quanto aos fatores em análise, ressalta-se que os entrevistados que têm filhos apresentam baixo nível de conforto ante o risco e baixa propensão ao risco especulativo; no entanto, este grupo apresenta maior média em relação ao risco do investimento.
Quanto à ocupação, foram identificadas as seguintes situações: não trabalha, é estagiário, possui negócio próprio informal, possui negócio próprio formal, é funcionário público e é funcionário de empresa privada. Ninguém se enquadrou como funcionário de organização não governamental. Foram identificadas diferenças estatisticamente significantes entre as médias dos grupos. Quanto ao escore que mede a tolerância ao risco, foram identificados dois grupos: o grupo menos tolerante ao risco, com médias aproximadas, é formado por funcionários públicos, desempregados, funcionários de empresas privadas e estagiários, enquanto o grupo mais tolerante ao risco é formado por empresários com negócio formal e empresários com negócio informal. Este último grupo de pesquisados foi o que apresentou maior tolerância ao risco.
Os empresários também apresentaram maiores escores nas dimensões de análise do modelo, sendo a diferença entre as médias mais significativa na dimensão risco do investimento. Os resultados alcançados são similares aos encontrados por Roszkowski e Grable (2009), que concluíram que os funcionários públicos têm menor tolerância ao risco que funcionários do setor privado e empresários, sendo este último grupo o mais tolerante ao risco.
5. CONSIDERAÇÕES FINAIS E RECOMENDAÇÕES
O presente artigo teve como objetivo verificar a influência das variáveis demográficas no grau de tolerância ao risco, como também comparar os resultados obtidos aos de outros estudos semelhantes já publicados. Esta pesquisa validou o modelo de Grable e Lyntton (2001) de tolerância ao risco, sendo este construto composto de três dimensões: risco do investimento, conforto e experiência ante o risco e risco especulativo.
A dimensão que apresentou maior impacto na tolerância ao risco foi o conforto e a experiência ante o risco, seguida pelo risco do investimento. O conforto e a experiência ante o risco foi a dimensão que teve a maior média entre as dimensões analisadas e apresentou a maior correlação com o escore de tolerância ao risco.
Considerando-se duas medidas de tolerância ao risco, os escores do modelo de Grable e Lyntton (2001) e a questão do SCF, pode-se afirmar que as seguintes variáveis demográficas afetam a tolerância ao risco: idade, estado civil, renda, presença de filhos e ocupação do respondente. Jovens, solteiros e sem filhos tendem a aceitar mais risco em seus investimentos. Já a renda apresentou um efeito não linear sobre a tolerância ao risco: os mais tolerantes ao risco são os que têm maior capacidade de suportar as possíveis perdas decorrentes dos investimentos de maior risco.
Ressalta-se que ainda existe um grande percurso a ser seguido pelas Finanças Comportamentais, principalmente por o contexto ser marcado por um conjunto de teorias, que não são compatíveis e ainda não possuem significância suficiente para substituir o modelo atual de Finanças. No Brasil, por exemplo, os estudos relacionados a Finanças Comportamentais encontram-se em um estágio considerado embrionário se comparado à literatura estrangeira. Assim, a discussão sobre essa temática ainda está muito longe de ser resolvida ou esgotada. Nesse contexto, existe um amplo campo para realização de valiosos estudos teóricos e empíricos sobre esse tema, em especial sobre o desenvolvimento de modelos matemáticos confiáveis que venham a sustentar a sua teoria.
Como limitação desta pesquisa, tem-se o fato de que ela não pode ser generalizada e, portanto, não apresenta validade externa. Em relação às fontes de dados, a aplicação da pesquisa na comunidade acadêmica pode levar a um viés nos resultados, uma vez que o maior número de respondentes é constituído de alunos universitários. Adicionalmente, os dados representam as avaliações individuais e subjetivas de risco de ativos em um dado intervalo de tempo, que pode sofrer as influências momentâneas das variações do mercado.
Para compreender melhor o processo decisório em situações de risco, sugere-se, para pesquisas futuras, incluir uma etapa qualitativa, a fim de avaliar os critérios que os respondentes indicam ter utilizado para tomar suas decisões. Além disso, pode-se verificar se os respondentes se consideram racionais ou parcialmente racionais, avessos, neutros ou propensos ao risco em investimentos. Os resultados obtidos com essa etapa qualitativa poderiam ser cruzados com os resultados obtidos estatisticamente.
REFERÊNCIAS
BARBERIS, N.; THALER, R. A survey of behavioral finance. Handbook of the Economics of Finance, 2003.
CASTRO JÚNIOR, F.H.F.; FAMÁ, R. As novas finanças e a teoria comportamental no contexto da tomada de decisão sobre investimentos. Caderno de pesquisas em administração, São Paulo: v.9, n.2, abril/junho 2002.
CORTER, J. E.; CHEN, Y.J. Do Investment Risk Tolerance Attitudes Predict Portfolio Risk? Journal of Business and Psychology, v. 20, n. 3, p. 369-381, 6 dez. 2005.
CROY, G.; GERRANS, P.; SPEELMAN, C. The role and relevance of domain knowledge, perceptions of planning importance, and risk tolerance in predicting savings intentions. Journal of Economic Psychology, v. 31, n. 6, p. 860-871, dez. 2010.
DAMODARAN, A. Gestão estratégica do risco: uma referência para tomada de riscos empresariais. Porto Alegre: Bookman, 2009.
ECKEL, C. C.; GROSSMAN, P. J., Forecasting Risk Attitudes: An Experimental Study Using Actual and Forecast Gamble Choices. Journal of Economic Behavior and Organization, Vol. 68, No. 1, 2008.
GAVA, A. M.; VIEIRA, K. M. Medindo a Tolerância ao Risco: Desenvolvimento e Validação de um Instrumento de Medida e a Influência das Variáveis Demográficas. In: XXIX ENCONTRO NACIONAL DA ASSOCIAÇÃO NACIONAL DE PROGRAMAS DE PÓS-GRADUAÇÃO EM ADMINISTRAÇÃO - ENANPAD, 2006, Salvador. Anais... 2006.
GRABLE, J. Financial Risk Tolerance and Additional Factors That Affect Risk Taking in Everyday Money Matters. Journal of Business and Psychology, v. 14, n. 4, p. 625–630, 2000.
GRABLE, J., LYTTON, R.H. Assessing the concurrent validity of the SCF risk tolerance question. Journal of Financial Counseling and Planning, v.12, p.43-52, 2001.
GRABLE, J., RABBANI, A. Risk tolerance across life domains: evidence from a sample of older adults. Journal of Financial Counseling and Planning, v.25, n. 2, p.174-183, 2014.
HAIR, J. F.; ANDERSON, R. E.; TATHAM, R. L.; BLACK, W. C. Análise multivariada de dados. 6. ed. Porto Alegre: Bookman, 2009.
HALFELD, M.; TORRES, F. Finanças Comportamentais: aplicações no contexto brasileiro. RAE – Revista de Administração de Empresas, Abril/Junho, v. 41, no.2, 2001.
HALLAHAN, T.; FAFF, R.; MCKENZIE, M. An exploratory investigation of the relation between risk tolerance scores and demographic characteristics. Journal of Multinational Financial Management, v. 13, n. 4-5, p. 483-502, dez. 2003.
HARRIS, C. R., JENKINS, M.; GLASER, D. Gender differences in risk assessment: Why do women take fewer risks than men?, Judgment and Decision Making, v. 1, 2006, p. 48-63.
KAHNEMAN, D.; TVERSKY, A. Prospect Theory: an analysis of decision under risk. Econometrica, v. 47, n. 2, Mar. 1979, p. 263-291.
KNIGHT, F. Risk, uncertainty and profit. Boston: Houghton Mifflin Company, The Riverside Press, Cambridge, 1921.
NASCIMENTO, M.; NASCIMENTO, V.M.; SOUZA, J.V.; VAN BELLEN, H.M. Sistema previdenciário sob a ótica das finanças comportamentais. Revista de Administração da UFSM, v. 5, n. 1, p. 47–57, 2012.
NICHOLSON, N.; O'CREEVY, M. F., SOANE, E.; WILLMAN, P. Risk propensity and personality. Working paper. London Business School, London, 2009.
PARK, H.; SOHN, W. Behavioral Finance: A Survey of the Literature and Recent Development. Seoul Journal of Business, v. 19, n. 1, 2013.
PEREIRA, B.; LOBLER, M. L.; SIMONETTO, E. O. Análise dos modelos de tomada decisão sob o enfoque cognitivo. Revista de Administração da UFSM, v. 3, n. 2, p. 260–268, 2010.
POWELL. M.; SCHUBERT, R.; GYSLER, M. How to predict gender-differences in choice under risk: a case for the use of formalized models, Working Paper No. 01/21, Institute for Economic Research, Zurich, 2001.
QIU, J.; STEIGER, E. M. Understanding the Two Components of Risk Attitudes: An Experimental Analysis. Management Science, v. 57, n. 1, p. 193-199, dez. 2010.
ROSZKOWSKI, M. J.; GRABLE, J. E. Evidence of lower risk tolerance among public sector employees in their personal financial matters. Journal of Occupational and Organizational Psychology, v. 82, n. 2, p. 453–463, 24 jun. 2009.
SAHM, C. R. How Much Does Risk Tolerance Change? Quarterly Journal of Finance, v. 02, n. 04, p. 1250020–1 – 1250020–38, dez. 2012.
SCHUBERT, R. Analyzing and managing risks – on the importance of gender differences in risk attitudes. Managerial Finance, v. 32, n. 9, pp 706-715, 2006.
SCHUBERT, R.; BROWN, M.; GYSLER, M.; BRACHINGER, H.W. Financial decision-making: are women really more risk-averse? American Economic Review, v. 89, n. 2, p. 381–385, mai. 1999.
SILVA, W.V; IUBEL, F.B.; GOMES,L.; DEL CORSO, J. M. Análise do índice de especulação de valor agregado para empresas de capital aberto negociadas na Bovespa. Revista de Administração da UFSM, v. 1, n. 3, p. 436–452, 2008.
STATMAN, M. Behaviorial Finance: Past Battles and Future Engagements. Financial Analysts Journal, v. 55, n. 6, p. 18–27, nov. 1999.
TVERSKY, A.; KAHNEMAN, D. Advances in prospect theory: Cumulative representation of uncertainty. Journal of Risk and Uncertainty, v. 5, n. 4, p. 297–323, out. 1992.
VAN DE VENTER, G.; MICHAYLUK, D.; DAVEY, G. A longitudinal study of financial risk tolerance. Journal of Economic Psychology, v. 33, n. 4, p. 794-800, ago. 2012.
WEBER, E. U.; BLAIS, A.-R.; BETZ, N. E. A domain-specific risk-attitude scale: measuring risk perceptions and risk behaviors. Journal of Behavioral Decision Making, v. 15, n. 4, p. 263-290, out. 2002.
Autor notes