Artigos
ANALYSIS OF PRECIPITATION USING MANN-KENDALL AND KRUSKAL-WALLIS NON-PARAMETRIC TESTS
ANÁLISES DAS PRECIPITAÇÕES PELOS TESTES NÃO PARAMÉTRICOS DE MANN-KENDALL E KRUSKAL-WALLIS
ANÁLISIS DE LAS PRECIPITACIONES POR LAS PRUEBAS NO PARAMÉTRICAS DE MANN-KENDALL Y KRUSKAL-WALLIS
ANALYSIS OF PRECIPITATION USING MANN-KENDALL AND KRUSKAL-WALLIS NON-PARAMETRIC TESTS
Mercator - Revista de Geografia da UFC, vol. 19, no. 1, pp. 1-15, 2020
Universidade Federal do Ceará
Received: 04 October 2019
Accepted: 14 October 2019
Abstract: The main objective of this research was to verify the long-term rainfall behavior in a location in the Brazilian semiarid region. Century-long monthly precipitation data (1911 to 2017) provided by DNOCS/SUDENE were used in the investigation. These data were used to determine descriptive statistics at monthly, annual, decadal and climatic scales. Next, nonparametric statistical tests were applied: Mann-Kendall (trend) and Kruskal-Wallis (multiple comparisons), both with a statistical confidence level of 95%. It was observed that 67.8% of annual rainfall (661.4 mm) is concentrated in three months (Feb-Mar-Apr) and that there was no significant tendency of monthly and consequently, annual rainfall. The 1930s, 1950s, 1990s, and 2010s were the driest years in the series, showing that the current dry period (2012-2016) is not unexceptional. Although significant trends were observed at 1% rainfall increase between 1930-1980 and 1% rainfall decrease from 1960-2000, when the full series was analyzed there was no significant trend. For climatologies the differences were significant at 1% when comparing Climate_2 (1958-1987), which was the wettest, with Climate_1 (1928-1957) and Climate_3 (1988-2017). It is concluded that the current climate and decade have had significantly less rain, but they are not unique since other decades and/or past climate series have been drier.
Keywords: Rainfall, Brazilian Semiarid, Tendencies, Water Resources.
Resumo: O objetivo principal desta pesquisa foi verificar o comportamento temporal das chuvas a longo prazo, numa localidade inserida no Semiárido brasileiro. Para isso, utilizaram-se dados mensais de precipitação secular (1911 a 2017), cedidos pelo DNOCS/SUDENE. De posse dos dados, determinaram-se as estatísticas descritivas nas escalas mensais, anuais, decadais e climáticas. Em seguida aplicaram-se testes estatísticos não paramétricos: Mann-Kendall (tendência) e Kruskal-Wallis (comparações múltiplas), ambos com confiança estatística de 95%. Observou-se que 67,8% da chuva anual (661,4 mm) concentra-se em 3 meses (Fev-Mar-Abr) e que não houve tendência significativa da chuva mensal e, consequentemente anual. As décadas de 1930, 1950, 1990 e 2010 foram as mais secas da série, mostrando que o atual período seco (2012-2016) não é excepcionalmente inédito. Embora tenham sido verificadas tendências significativas a 1% de aumento das chuvas entre 1930-1980 e de diminuição das chuvas de 1960-2000, quando se analisou a série completa não se verificou tendência significativa. Para as climatologias as diferenças foram significativas a 1% quando se comparou o Clima_2 (1958-1987), que foi o mais chuvoso, com o Clima_1 (1928-1957) e Clima_3 (1988-2017). Conclui-se que o Clima e década atual têm sido significativamente menos chuvosos, porém não foram os únicos, uma vez que outras décadas e/ou série climática passadas foram mais secas.
Palavras-chave: Precipitação Pluvial, Semiárido Brasileiro, Tendências, Recurso Hídrico.
Resumen: El objetivo principal en este trabajo fue verificar el comportamiento temporal de las lluvias a largo plazo, en una localidad insertada en el Semiárido brasileño. Para ello, se utilizaron datos mensuales de la precipitación de los últimos 107 años (1911 a 2017), cedidos por el Departamento Nacional de Obras Contra la Seca (DNOCS / SUDENE). En posesión de los datos, se determinaron las estadísticas descriptivas en las escalas mensuales, anuales, decadales y climáticas. Posteriormente se han aplicado pruebas estadísticas no paramétricas: Mann-Kendall (tendencia) y Kruskal-Wallis (comparaciones múltiples). La confianza estadística adoptada fue del 95%. Los principales resultados han indicado que el 67,8% de la lluvia anual (661,4 mm) se concentra en apenas 3 meses (Fev-Mar-Abr) y que no hubo tendencia significativa de la lluvia en ninguno de los meses y, consecuentemente anual. Se ha constatado que las décadas de 1930, 1950, 1990 y 2010 han sido las más secas de la serie, mostrando que el actual período seco (2012-2016) no es excepcionalmente inédito. También, se observaron tendencias significativas al 1% de aumento de las lluvias entre 1930-1980 y de disminución de las lluvias de 1960-2000. Para las climatologías, las diferencias fueron significativas al 1% cuando se comparó el Clima_2 (1958-1987), que fue el más lluvioso, con el Clima_1 (1928-1957) y Clima_3 (1988-2017). Se concluye que el clima y la década actual han sido significativamente menos lluviosos, pero no fueron los únicos, ya que otras décadas y/o serie climática pasadas se registraron más secas.
Palabras clave: Precipitaciones, Semiárido Brasileño, Tendencias, Recursos Hídricos.
INTRODUCTION
In Brazil, water availability depends mainly on the climate and in the semi-arid region of the Brazilian Northeast (SANEB), where the accumulated average annual rainfall is below 800 mm (MMA, 2007),water is a critical factor for the population (GEO BRASIL,2007). According to the Brazilian Atlas of Natural Disasters, low rainfall and droughts are the disasters that most affect the Brazilian population.
Their records show that these are the natural calamities that most affect the Brazilian population and they occur repeatedly in the SANEB, which accounts for 60% of registered droughts (CEPED / UFSC, 2013).
These phenomena have been discussed since the sixteenth century (ARAÚJO, 1982; MAGALHÃES et al., 1988; GUTIERREZ et al., 2014; MARENGO et al., 2016), so it is known that the amount and distribution of rainfall in the SANEB are very irregular. Alongside this striking feature, the accumulated annual rainfall is predominantly lower than the registered evapotranspiration, culminating in high aridity indices over a greater temporal and spatial scale (CABRAL JÚNIOR; BEZERRA, 2018; LUCENA et al., 2018).
For Trewartha (1962), the vulnerability of the SANEB to droughts makes it difficult to adapt to (MARES et al., 1985; PAREDES et al., 2015), affecting more people than any other natural risk due to its large scale and lasting nature ( MARENGO et al., 2016).
Climate models indicate that in the future the SANEB will be one of the most affected regions in South America, with simulated rainfall reductions of up to 40% in the twenty-first century (MARENGO et al., 2012; MARENGO; BERNASCONI, 2015; VIEIRA et al., 2015). One of the possible consequences of reduced precipitation is the transformation of large areas of Caatinga into a desert (SALAZAR et al., 2007), directly impacting the availability of water and power, and food security (EAKIN et al., 2014).
Souza and Oyama (2011) used model MM5 simulations to analyze the variability of rainfall for different desertification scenarios (total, partial and random) during the rainy season in the SANEB (March, April, and May) from 2003 to 2005. They found a relation between climate impacts and the processes of desertification, particularly that reduced rainfall can intensify desertification processes.
Some studies have found significant trends in the rainfall for the Northeast Region of Brazil (NEB). Santos and Manzi (2011), for example, verified increased intensities in droughts and decreases in heavy precipitation events in the state of Ceará in the period of 1971 to 2006. Similar results were found by Ferreira et al. (2017), who demonstrated a declining trend in the precipitation in a semiarid region of the state of Pernambuco.
For the state of Maranhão, Silva et al. (2016) analyzed evidence of climate change and found that in some locations the tendency was for increased precipitation in the rainy season, while in others, the trend was for a decrease in rainfall in the dry season, in the period 1977-2014, thus showing that the rainy and dry periods are significantly more intense.
Oliveira et al. (2014) obtained similar results and suggested that there was an increase in the amplitude of seasonal precipitation in the NEB between 1972-2002, with negative trends in the spring (dry season) and positive ones in the autumn (rainy season).
More recent research indicates that, currently, the NEB has been hit by the worst severe drought in decades in terms of duration, severity and recurrence (MARENGO et al., 2016; BRITO et al., 2017; MARENGO et al., 2017). According to the Ministry of Integration (MI, 2017) 33.4 million people were affected by this drought during 2012-2016, with estimated damages of R$ 104 billion in public investments established by the federal government to mitigate the impacts.
Due to these intense droughts, in the period 2009-2012, Medeiros et al. (2016) used geoprocessing images to analyze the water reservoirs in Caicó-RN. Their findings verified that water had disappeared from 57 reservoirs. The Itans, the main reservoir supplying the municipality, registered a decrease of 39.2% of the hydraulic basin in just three years.
According to Ferreira et al. (2017), the lack of water is a stark reality, especially in the SANEB, where these authors point out that studies employing statistical methods to assess climate patterns are still limited. One of the major limitations is that from a scientific point of view, long-term statistical data applications are required (KIEM; AUSTIN, 2013), whereas most of the available precipitation time series are relatively short, hindering a better understanding their variability.
In this context, the main objective of this research was to use Mann-Kendall and Kruskal-Wallis’ statistical techniques to evaluate the behavior of rainfall in Caicó in the last hundred years, in order to diagnose its rhythm and possibly detect a change in the period. This information is of great importance for decision making in various sectors of society, especially regarding climate behavior and the planning and management of water resources.
MATERIALS AND METHODOLOGY STUDY AREA
The study area comprises the municipality of Caicó, located in the Central Potiguar mesoregion of the state of Rio Grande do Norte (Figure 1), with the respective Geographic Coordinates: 6 ° 27’ 35” South, 37 ° 5’ 56” West and an altitude of 153 m. It is part of the SANEB region. According to Köppen's classification, the climatic formula for the locality is of the semiarid tropical type (BSh) (ALVARES et al., 2013). The average air temperature for the location (Figure 1) ranges from 26.9° C (July) to 29.8° C (December); the annual average is 28.4° C.
Caicó has an average annual accumulation of rainfall of 661.4 mm, however, the distribution is very irregular and concentrated in a short timeframe (February to April). Even during this wettest period, the variability is high and has a coefficient of variation of more than 64%. This variability is associated with the Pacific and/or Atlantic SST Anomalies (MOURA; SHUKLA, 1981; AMORIM et al., 2014), which influence the position of the main precipitation modulating meteorological system in the region, the Intertropical Convergence Zone (ITCZ) (MARENGO et al., 2011; HASTENRATH, 2012), as well as other meteorological systems that contribute to the amount of rainfall.
These include the Upper Tropospheric Cyclonic Vortex (UTCV), the Mesoscale Convective Complex (MCC), and Instability Lines (IL) (MOLION; BERNARDO, 2002; FERREIRA; MELO, 2005, REBOITA et al., 2010; REBOITA et al., 2016).

THE COLLECTION AND ANALYSIS OF PRECIPITATION DATA
The monthly and annual rainfall data for Caicó provided by the National Department of Works Against Drought (SUDENE/DNOCS) covers a period of 107 years, from 1911 to 2017. The data were used to establish descriptive statistics (accumulated, averages, standard deviations, quartiles) of the rainfall in monthly, annual, and decennial climatic series (every 30 years).
The figures were compared with each other in order to identify the rainfall variability in the study location at different time intervals, using nonparametric inferential statistics to identify any statistically significant trends and/or changes in mean rainfall behavior.
TREND ANALYSIS USING THE MANN-KENDALL TEST
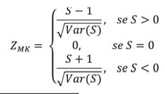
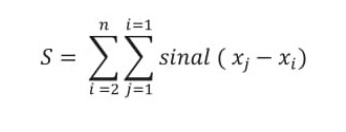
The nonparametric time series trend test proposed by Mann-Kendall (MANN, 1945; KENDALL, 1975) was used to detect possible trends in the series for a century-long period of precipitation in Caicó, RN. This is a nonparametric method because it makes no distinction as to the form of the distribution/population that the data comes from. The equation is given by:
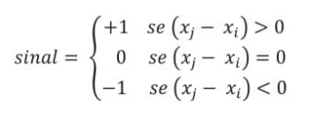
[Formula - 1]where S is the result of the sum of the counts of(xj-xi); xj is the first value after xi, n is the number of data in the time series. Each data pair is assigned the following values:
[Formula - 2]The probability distribution of the S statistic tends to normality when there are large samples of observations (n), with the zero mean and variance given by:
[Formula - 3]where tp is the number of data with equal values in a certain group; q is the number of groups containing equal values in the data series in a group p.
The Mann-Kendall test statistic is based on the value of the variable ZMK, calculated according to equation 4:
[Formula - 4]Through a bilateral test, a level of significance (α) of 5% was considered, that is, the hypothesis of the absence of a trend was rejected when the p-value was below level α.
Comparative analysis between groups using the Kruskal-Wallis test
The nonparametric test proposed by Kruskal-Wallis (KRUSKAL; WALLIS, 1952) is analogous to the F test used in the Analysis of Variance (ANOVA). However, when applying the ANOVA the assumptions of normality, independence and homoscedasticity should be met. The Kruskal-Wallis H test (HKW) does not impose any restrictions on the comparison. In this study, the HKW test was selected since the hypothesis of the normality distribution of data was rejected at 1% of statistical significance, as verified by the Kolmogorov-Smirnov test (p-value
As the HKW test compares (paired or unpaired) k samples based on the null hypothesis that the median differences within groups are not significant, in this research the groups were formed by decades (1910,1920, 1930 ... 2010) to check for 10-year periods that were significantly more and/or less rainy during the period 1911-2017. The same analysis was carried out for climate groups, i.e., groups with annual cumulative rainfall data, with exactly 30 years of data each. The groups analyzed refer to the most recent 90 years, as follows: Climate_1 (1928 to 1957), Climate_2 (1958 to 1987), and Climate_3 (1988 to 2017). The null hypothesis is that there are no significant differences between the rainfall medians in the decadal and/or climatological groups for Caicó, RN.
The HKW test statistics do not detect the mean values by groups that differ from each other, so Tukey's multiple comparisons test (1949) was selected as a complement, as it defines the significant differences between the means (HOFFMANN, 2011).
All the tests carried out in this study considered a level of statistical significance of 5% and/or 1%, The analyses and the creation of the graphs used the free statistical software R Project, version 3.3.1, available at https://www.r-project.org/ .
RESULTS AND DISCUSSIONS
Figure 2 shows the monthly variability of precipitation together with the respective averages. It is evident that Caicó’s rainy season is concentrated in a three-month period, from February to April, representing 67.85% of the annual total (661.4 mm). In this quarter the monthly average values exceed 100 mm and the wettest month is March, with 174.4 mm. These results corroborate the analyses by Valadão et al. (2010) and Lucena et al. (2013) in the same area. The least rainy period or dry season occurs from July to November (5 months), when on average, the monthly totals do not exceed 14 mm.month -1 (Figure 2 and Table 1). The analysis of the trends in the monthly time series using the Mann-Kendall test identified that there were no significant trends, regardless of the month, whose p-values were always higher than 0.20 (Table 1).

Rainfall variations on an annual scale were also verified. Figure 3 shows the average annual cumulative values, the mean ± SD (1911 to 2017), and the moving averages for five and ten years (to have a better visualization of any evidence of trends in the climatological series) in Caicó. It can be seen that the respective midpoints for the moving averages obviously tend to smooth out the oscillation of the time series and consequently identify any upward and/or downward trends.
The average annual rainfall in Caicó is around 661.4 mm with a standard deviation of 292.0 mm. The three cumulative annual peaks in descending order occurred in the years 1974, 1985 and 1964 with values of 1560.5, 1558.3, and 1350.7 mm, respectively. It was also observed that there was an annual accumulation of 900 mm or more at least once in each decade, except for the 1910s, 1950s, 1990s, and 2010s.

From the moving averages it was possible to verify oscillations with increasing and/or decreasingprecipitation, notably an increase from the 1930s to the 1960s and a decrease in the 1970s to the 1990s,with the exception of a rainy year in 1985.
The Mann-Kendall test detected the absence of a significant trend of annual rainfall variability inCaicó, with a p-value = 0.619. Therefore, this variability in precipitation is an inherent characteristic ofdifferent conditions (geographical location, oceanic influence, and atmospheric conditions), typical ofthe semiarid tropical climatic region and not necessarily a change in the rainfall’s behavior; some yearsare rainier and others less so, and there is a great monthly and annual temporal variability.

The precipitation data was also analyzed by decade. There were eleven groups with ten observations each (annual cumulative rainfall data), except for 1910 and 2010, which were missing oneand two observations respectively (due to the unavailability of data), however, this did not compromisethe analysis of the results.
The decadal variability of rainfall in Caicó-RN, shown in Figure 4, shows the occurrence of moreand less rainy decades, there was also a decreasing sequence in rainfall averages, lasting for 40 years,from 1960 to 1990. It is also noteworthy that the driest decades were the 1930s, 1950s, 1990s, and2010s, where 75% of the rainfall data were below the expected value (661.4 mm). On the other hand, the1960s had the most rainfall, in this decade the precipitation was always above the average value of theseries. The following decade (1970s) was the second wettest and had a greater variability (amplitude of1105.4 mm) when compared to the 1960s (686.8 mm).
When applying the H-statistic of the Kruskal-Wallis nonparametric test (HWK = 24.2), it wasobserved that there was a significant difference in rainfall (p-value
It is important to note that the four decades that had significantly less rain in alternating periods,with no evidence of a trend and/or persistence over time. It was evident that two out of the four leastrainy decades occurred in the first half of the century (1930 and 1950) and the other two took place inthe second half of the hundred-year period (1990 and 2010). This shows that rainfall in the semi-aridregion is extremely irregular and the driest decades were interposed by the two wettest decades (1960sand 1970s).

Analyzes were also performed for different climatic periods, totaling three distinct groupscontaining 30 years of data each, to verify if there were significant differences in at least one of theclimatological series. Figure 5A shows the annual cumulative variability of the last three climate seriesand Figure 5B displays the respective differences, on average, with the confidence intervals for eachperiod: 1928 to 1957 (Climate_1), 1958 to 1987 (Climate_2 ) and 1988 to 2017 (Climate_3).
The annual accumulated averages for the different climatic series in Caicó were 572.9 mm(Climate_1), 823.1 mm (Climate_2) and 603.6 mm (Climate_3), with an increase in rainfall followed bya decrease, on average. The Kruskal-Wallis H test (HKW = 10.60) identified that in at least one climateseries there was a significant difference (p-value
Statistically significant mean differences in climatology were detected by Tukey's test (Figure 5B)between Climate_1 and Climate_2 (250.2 mm increase), and Climate_2 and Climate_3 (219.5 mm decrease). It was noted that Climate_3 was slightly wetter than Climate_1, with a difference in the orderof 30.7 mm. However, it was not significant as the confidence interval contemplates the zero-differencevalue, which indicates that the current rainfall climatology (Climate_3) is, on average, similar to the pastclimate (Climate_1).
The results presented in this paper demonstrate that the distribution of monthly rainfall throughoutthe year is irregular, with a three-month rainy season from February to April, thus corroborating theresults of Molion and Bernardo (2002), Hastenrath (2012) e Marengo et al. (2017). These authors claimthat these rains occur when the ITCZ migrates further south of the equator causing increased rainfall inthe northern SANEB around March-April. When the ITCZ begins to migrate further north the rainsbegin to weaken, giving rise to the dry season.

According to Nobre and Shukla (1996), Andreoli and Kayano (2007), and Kayano and Capistrano(2013) the ITCZ’s oscillation is influenced by the Sea Surface Temperature (SST) anomaly in thePacific and Atlantic oceans. Consequently, this affects the amount and quality of rainfall in the northernSANEB. In Caicó, the largest negative rainfall anomalies occurred in 1915, 1919, 1932, 1958, 1993, and1998. In the NEB, the droughts of 1915-1919-1932 are a well-known part of the region’s history andwere marked by calamities in agriculture, migration, and deaths due to their severe impacts, according toQueiroz (2004), Melo (1999) and Rios (1998), respectively.
The El Niño phenomenon occurred in fifty percent of the six driest years (1932, 1958, 1998). Thisdemonstrates that not every drought year is caused by this phenomenon and that not every El Niñocauses drought, which corroborates the findings of Kane (1997) and Marengo et al. (2013). A clearexample is that there was a La Niña event in 2012, nevertheless, this was registered as a drought year(RODRIGUES; MCPHADEN, 2014). The same was evidenced in this study of Caicó that year, withstrong negative anomalies in the months of the rainy season and an annual accumulated rainfall of only212.1 mm, that is, 32.1% of the expected average.
Several studies have confirmed that the Atlantic Dipole governs the southern shift of the ITCZover the NEB (MOURA; SHUKLA, 1981; HASTENRATH, 1990, 2012; NOBRE; SHUKLA, 1996; UVO et al., 1998; RODRIGUES; MCPHADEN, 2014; MARENGO et al. 2013-2016). In 2012, higherthan normal rainfall was expected for Caicó, as it was a La Niña year, but according to Rodrigues andMcPhaden (2014), the North Atlantic was warmer, which contributed to the ITCZ moving further northand less rain falling in the NEB. Marengo et al. (2017) agree and add that the droughts of recent yearsbegan to intensify in 2012 and are related to the higher North Atlantic SST that favored lessprecipitation in the NEB, they also state that with the advent of a strong El Niño in 2015-2016, droughtconditions in the region have worsened even more. (Error 48: La referencia 1990; debe estar ligada) (Error 49: El tipo de referencia 1990; es un elemento obligatorio) (Error 50: No existe una URL relacionada) (Error 51: La referencia UVO et al., 1998 debe estar ligada) (Error 52: El tipo de referencia UVO et al., 1998 es un elemento obligatorio) (Error 53: No existe una URL relacionada)
No significant trend was observed in the monthly and annual rainfall series for Caicó when theMann-Kendall test was used, which differs from the results found by Santos and Manzi (2011) for thestate of Ceará, Oliveira et al. (2014) for different points in the NEB, Silva et al. (2016) for Maranhão, and Ferreira et al. (2017) in Pernambuco. These authors obtained results that indicated a significantrainfall trend, but they did not all agree on the sign, demonstrating that there were increases in somelocations and decreases in others, and/or in the same region there were localities with opposite signs.These authors analyzed relatively short data series from the 1960s and/or 1970s.
The present study investigates a one-hundred-year series of data, thus generating a betterunderstanding of long-term rainfall variability. It is noteworthy that the results for Caicó would bedifferent if the data analyzed were smaller, with a tendency of a significant decrease of 1% of rainfallbetween 1960 and 2000, and a tendency of increased precipitation if the analysis was carried outbetween 1930 and 1980, with 99% confidence.
On the other hand, the results presented here corroborate the work of Almeida and Cabral Júnior(2014) in Paraíba, who concluded that interdecadal rainfall variability does not refer to a change in theclimate, as some decades have more or less rainfall. The results also converge in identifying 1990 as thedriest decade, when considering the same period analyzed by the authors (1970-2009), however, thestudies disagree as to the wettest one. When analyzing rainfall in the NEB from 1960 onwards, Marengoet al. (2013) found a slight decrease in rainfall after the 1970s, which partly agrees with the results foundin this research, since there was a sequential decrease between the 1970s and 1990s, but this downwardtrend was interrupted in the 2000s, when one of the wettest decades of the last 107 years was recorded.
CONCLUSIONS
Based on the findings of research in a municipality of the Brazilian semiarid using a historicalseries of over a century, it can be concluded that oscillations in precipitation on different time scales(monthly, annual, ten-year and climatological) may be more closely associated with natural variabilitythan with a change in the climate.
The application of the Mann-Kendall test indicated that there was no significant trend at 1% in themonthly and annual rainfall series over the 107-year period. However, when considering the seriesseparately, it was observed that there were significant trends at 1% increase between 1930-1980 and 1%decrease between 1960-2000, showing a strong variability in the precipitation regime for the region.
In decadal and climatological terms, significant differences were observed at 1% through theKruskal-Wallis test, exceptionally when comparing the decades and/or the wettest and the driestclimatologies. It was found that the 1930s, 1950s, 1990s, and 2010s were the driest decades, andClimate_2 (1958-1987) was significantly wetter compared to Climate_1 and Climate_3. The currentclimate (Climate_3) was rainier than Climate_1 (but not significantly so). Therefore, it was found thatthese variabilities occurred in a dispersed and non-persistent manner.
As the municipality of Caicó is geographically similar to many other municipalities located in thesertão of the states of Rio Grande do Norte, Ceará, Paraíba, and Pernambuco, these results may assistthose places that do not have hundred-year climate series, let alone statistical rainfall studies. Thus, theycan be extended to regional levels where the municipalities’ geographical characteristics are similar interms of relief, altitude, continentality, and vegetation cover.
Be that as it may, the non-tendency and/or persistence detected in the precipitation behavior doesnot exempt the need for greater investments in public policies in the SANEB. The drought in the mostrecent decade, for example, although not the worst in terms of rainfall deficit had major impacts, whichmay have been intensified by the combination of a lower than expected rainfall average and a substantialincrease in water demand due to population growth, the increased need for subsistence agriculturalproduction and a deterioration in water sustainability.
ACKNOWLEDGMENTS
The authors are grateful to the Department of Works Against Drought (DNOCS / SUDENE) forsupplying the data used in this study.
REFERENCES
ALMEIDA, H.A.; CABRAL JÚNIOR, J.B. Variabilidades Sazonais e Interdecadais da Chuva nas Microrregiões Geográficas do Estado da Paraíba. Revista Brasileira de Geografia Física, v.7, n.5, p.846-858, 2014.
ALVARES, C.A.; STAPE, J.L.; SENTELHAS, P.C.; GONÇALVES, J.L. de M.; SPAROVEK, G. Köppen’s climate classification map for Brazil. Meteorologische Zeitschrift, v.22, p.711 728, 2013.
AMORIM, A.C.B.; CHAVES, R.R.; SILVA, C.M.S. Influence of the tropical Atlantic Ocean’s sea surface temperature in the Eastern Northeast Brazil precipitation. Atmospheric and Climate Sciences, v. 4, n. 05, p. 874, 2014.
ANDREOLI, R.V.; KAYANO, M.T. A importância relativa do Atlântico Tropical Sul e Pacífico Leste na variabilidade de precipitação do Nordeste do Brasil. Revista Brasileira de Meteorologia, v. 22, n.1, 63-74, 2007.
ARAÚJO, J. Barragens no Nordeste do Brasil: Experiência do DNOCS em Barragens na Região Semiárida. Departamento Nacional de Obras contra as Secas, Ministério do Interior, p. 15. 1982.
Articulação do Semiárido (ASA). Brasil. Disponível em: http://www.asabrasil.org.br/. Acessado em 20 de Dez de 2016.
BARBOSA, H. A.; LAKSHMI KUMAR, T. V. Influence of rainfall variability on the vegetation dynamics over Northeastern Brazil. Journal of Arid Environments, v. 124, p. 377–387, 2016.
BRITO, S. S. B.; CUNHA, A. P. M. A.; CUNNINGHAM, C. C.; et al. Frequency, duration and severity of drought in the Semiarid Northeast Brazil region. International Journal of Climatology, 2017.
CABRAL JÚNIOR, J. B.; BEZERRA, B. G. Análises da evapotranspiração de referência e do índice de aridez para o Nordeste do Brasil. Revista de Geociências do Nordeste, v. 4, n. 1, p. 71-89, 3 jul. 2018.
CEPED/UFSC. Atlas brasileiro de desastres naturais: 1991 a 2012 / Centro Universitário de Estudos e Pesquisas sobre Desastres. 2. ed. rev. ampl. – Florianópolis: CEPED UFSC, 2013. Volume Rio Grande do Norte. 126 p.
EAKIN, H.C; LEMOS, M.C; NELSON, D.R. Differentiating capacities as a means to sustainable climate change adaptation. Global Environmental Change, v.27, 1–8, 2014.
FERREIRA, A.G.; MELLO, N.G.S. Principais sistemas atmosféricos atuantes sobre a região Nordeste do Brasil e a influência dos oceanos Pacífico e Atlântico no clima da região. Revista Brasileira de Climatologia, v. 1, n. 1, 2005.
FERREIRA, P.S.; GOMES, V.P.; GALVÍNCIO, J.D.; SANTOS, A.M.; SOUZA, W.M. Avaliação da tendência espaço-temporal da precipitação pluviométrica em uma região semiárida do estado de Pernambuco. Revista Brasileira de Climatologia, v.21, 2017.
Geo Brasil. Recursos hídricos: componente da série de relatórios sobre o estado e perspectivas do meio ambiente no Brasil. Ministério do Meio Ambiente; Agência Nacional de Águas; Programa das Nações Unidas para o Meio Ambiente. Brasília: MMA; ANA. GEO Brasil Série Temática: GEO Brasil Recursos Hídricos, 264 p., 2007.
GREISCHAR, L.; HASTENRATH, S. The rainy seasons of the 1990s in northeast Brazil: Real-time forecasts and verification. Journal of Climate, v. 13, n. 21, p. 3821–3826, 2000.
GUTIERREZ, A. P. A.; ENGLE, N. L.; DE NYS, E.; MOLEJ??N, C.; MARTINS, E. S. Drought preparedness in Brazil. Weather and Climate Extremes, v. 3, p. 95–106, 2014.
HASTENRATH, S. Prediction of Northeast Brazil rainfall anomalies. Journal of Climate, v.3, p.893-904, 1990.
HASTENRATH, S. Exploring the climate problems of Brazil’s Nordeste: A review. Climatic Change, v. 112, n. 2, p. 243–251, 2012.
HOFFMANN, R. Estatística para economistas. 4ª Ed. rev. e ampl., São Paulo: Cengage Learning, 2011.
KAYANO, M.T.; CAPISTRANO, V.B. How the Atlantic multidecadal oscillation (AMO) modifies the ENSO influence on the South American rainfall. International Journal of Climatology, v.34, n.1, p.162-178, 2013.
KANE, R .P. Prediction of droughts in North-east Brazil: Role of ENSO and use of Periodicities. International Journal of Climatology, v.17, p. 655-665, 1997.
KENDALL, M. G., Rank Correlation Measures. Ed. Charles Griffin. London, 1975
KIEM, A.S.; AUSTIN, E.K. Drought and the future of rural communities: Opportunities and challenges for climate change adaptation in regional Victoria, Australia. Global Environmental Change, v.23, n.5, p.1307–1316, 2013.
KRUSKAL, W.H.; WALLIS, W.A. Use of ranks in on-criterion variance analyses. Journal os the American Statistical Association, v.47, n.260, p.583-621, 1952.
LUCENA, R.L.; CABRAL JÚNIOR, J.B.; STEINKE, E.T. Comportamento Hidroclimatológico do Estado do Rio Grande do Norte e do Município de Caicó. Revista Brasileira de Meteorologia, v. 33, n.3, p. 485-496 2018.
LUCENA, R. L.; FERREIRA, A. M.; FERREIRA, H. F. P. A.; STEINKE, E. T. Variabilidade climática no município de Caicó/RN: secas e chuvas num arquétipo do clima semiárido do Nordeste brasileiro. CLIMEP – Climatologia e Estudos da Paisagem. Rio Claro (SP) – v.8, n.2, p. 67-89, 2013.
MAGALHÃES, A et al. The effects of climate variations on agriculture in Northeast Brazil. In: Parry M, Carter T and Konijn N (Eds), The Impact of Climate Variations on Agriculture, v.2. Assessments in semiarid regions, Kluwer Academic Publishers, Amsterdam, p. 277-304, 1988.
MANN, H. B. Non-parametric tests against trend. Econometrica 13, 245-259, 1945.
MARENGO, J.A.; ALVES, L.M.; BESERRA, E.; LACERDA, F. Variabilidade e mudanças climáticas no semiárido brasileiro, in: Medeiros, S. de S., Gheyi, H.R., Galvão, C. de O., Paz, V.P da S. (Orgs.). Recursos Hídricos e, Regiões Áridas e Semiáridas. INSA, Campina Grande-PB, pp. 383- 416, 2011.
MARENGO, J,A.; ALVES, L.M.; SOARES, W.R.; RODRIGUEZ, D.A.; CAMARGO, H.; RIVEROS, M.P.; PABLO, A.D. Two contrasting seasonal extremes in tropical South America in 2012: Flood in Amazonia and drought in Northeast Brazil. Journal of Climate, v.26, n.22, p.9137-9154, 2013.
MARENGO, J.A.; BERNASCONI, M. Regional differences in aridity/drought conditions over Northeast Brazil: presente state and future projections. Climatic Change, v.129, n.1-2, p.103–115, 2015.
MARENGO, J.A.; CHOU, S.C.; KAY, G.; ALVES, L.M.; PESQUERO, J.F.; SOARES,W.R.; SANTOS, D.C.; LYRA, A.A.; SUEIRO, G.; BETTS, R. Development of regional future climate change scenarios in South America using the Eta CPTEC/HadCM3 climate change projections: climatology and regional analyses for the Amazon, São Francisco and the Parana River basins. Climate Dynamics, v.38,n.9-10, 1829-1848, 2012.
MARENGO, J. A.; ALVES, L. M.; ALVALA, R. C.; et al. Climatic characteristics of the 2010-2016 drought in the semiarid Northeast Brazil region. Anais da Academia Brasileira de Ciências, p. 1–13, 2017.
MARENGO, J. A.; TORRES, R. R.; ALVES, L. M. Drought in Northeast Brazil???past, present, and future. Theoretical and Applied Climatology, p. 1–12, 2016.
MARES, M.A.; WILLIG, M.R.; LACHER JÚNIOR., T.E. The Brazilian caatinga in South American zoogeography: tropical mammals in a dry region n. Journal of Biogeography. v. 12, n. , 57-69, 1985.
MEDEIROS, L.C.; GUEDES, J.C.F.; OLIVEIRA, A.M.; COSTA, D.F.S. Uso de SIG na análise dos recursos hídricos no município de Caicó (RN). Geoambiente On-line, n.27, p.134-149, 2016.
MELO, J.C. O Fenômeno El Niño e as Secas no Nordeste do Brasil. In: Raízes, ano XVIII, n°20. 1999.
Ministério da Integração Nacional (MI) - Brasil. Programa Água para todos. Disponível em: http://www.mi.gov.br/. Acessado em 15 de out de 2017.
MMA – Ministério do Meio Ambiente do Brasil. Atlas das áreas susceptíveis à desertificação do Brasil. SANTANA, Marcos Oliveira (Org). Brasília: Ed: MMA - Ministério do Meio Ambiente, 2007.
MOLION, L. C. B.; BERNARDO, S. O. Uma revisão da dinâmica das chuvas no nordeste brasileiro. Revista Brasileira de Meteorologia, v. 17, p. 1-10, 2002.
MOURA, A.D.; SHUKLA, J. On the Dynamics of Droughts in Northeast Brazil: Observations, Theory and Numerical Experiments with a General Circulation Model. Journal of the Atmospheric Sciences, v.38, p. 2653-2675, 1981.
NOBRE, P.; SHUKLA, J. Variations of sea surface temperature, wind stress, and rainfall over the tropical Atlantic and South America. Journal of Climate, v.9, n.4, p.2464-2479, 1996.
OLIVEIRA, P. T.; SILVA, C. M. S.; LIMA, K. C. Linear trend of occurrence and intensity of heavy rainfall events on Northeast Brazil. Atmospheric Science Letters, v. 135, p. 598- 617, 2014.
PAREDES, F.J., BARBOSA, H.A., GUEVARA, E. Análisis espacial y temporal de las sequías en el nordeste de Brasil. Agriscientia, v. 32, n.1, 57-67, 2015.
QUEIROZ, R. de. O Quinze. 77ª ed. Rio de Janeiro: José Olympio, 2004.
REBOITA, M.S.; GAN, M. A.; ROCHA, R. P.; AMBRIZZI, T. Regimes de precipitação na América do Sul: uma revisão bibliográfica. Revista Brasileira de Meteorologia, v. 25, n. 2, 2010.
REBOITA, M.S.; RODRIGUES, M.; ARMANDO, R.P.; FREITAS, C.; MARTINS, D.; MILLER, G. Causas da semi-aridez do Sertão nordestino. Revista Brasileira de Climatologia, v. 19, 2016.
RIOS, K.S. Isolamento e Poder: Fortaleza e os Campos de Concentração na Seca de 1932. (Dissertação) Mestrado em História. Pontifícia Universidade Católica de São Paulo. São Paulo, 1998.
RODRIGUES, R.R.; MCPHADEN, M.J. Why did the 2011-2012 La Niña cause a severe drought in the Brazilian Northeast? Geophysical Research Letters, v.41, n.3, p.1012-1018, 2014.
SALAZAR, L.F.; NOBRE, C.A.; OYAMA, M.D. Climate change consequences on the biome distribution in tropical South America. Geophysical Research Letters, v.34, n.9, 1-6. 2007.
SANTOS, C. A. C. DOS; MANZI, A. O. Eventos Extremos de Precipitação no Estado do Ceará e Suas Relações Com a Temperatura dos Oceanos Tropicais. Revista Brasileira de Meteorologia, v. 26, n. 1, p. 157–165, 2011.
SILVA, F. B.; SANTOS, J.R.N.; FEITOSA, F.E.C.S.; SILVA, I.D.C.; ARAÚJO, M.L.S.; GUTERRES, C.E.; SANTOS, J.S.; RIBEIRO, C.V.; BEZERRA, D.S.; NERES, R.L. Evidências de mudanças climáticas na região de transição Amazônia-Cerrado no Estado do Maranhão. Revista Brasileira de Meteorologia, v. 31, n. 3, p. 330–336, 2016.
SOUZA, D. C.; OYAMA, M. D. Climatic consequences of gradual desertification in the semi-arid area of Northeast Brazil. Theoretical and Applied Climatology, v. 103, n. 3–4, p. 345–357, 2011.
TREWARTHA G.T. The Earth’s problem climates. University of Wisconsin Press, Madison, p 371, 1962.
TUKEY, J.W. One degree of freedon for non-additivity.Biometrics, v.5,p.232-242, 1949.
UVO, C.B.; REPELLI, C.A.; ZEBIAK, S.E.; KUSHNIR, Y. The Relationship between Tropical Pacific and Atlantic SST and Northeast Brazil Monthly Precipitation. Journal of Climate, v.11, p.551-562, 1998.
VALADÃO, C. E. A; OLIVEIRA, P. T.; SCHMIDT, D. M.; SILVA, B. K. N.; BARRETO N. J.C.; CORREIA FILHO, W. L.F.; JESUS E. S.; LOPO, A.B.; SANTOS A.S.; PINHEIRO, J.U.; MATTOS, A. Classificação climática da microrregião do Seridó/RN. In: XVI Congresso Brasileiro de Meteorologia: Anais.. Belém: CBMET, Sociedade Brasileira de Meteorologia, 2010.
VIEIRA, R.M.S.P; TOMASELLA, J.; ALVALÁ, R.C.S; SESTINI, M.F.; AFFONSO, A.G.; RODRIGUEZ, D.A.; BARBOSA, A.A.; CUNHA, A.P.M.A.; VALLES, G.F.; CREPANI, E.; OLIVEIRA, S.B.P.; SOUZA, M.S.B.; CALIL, P.M.; CARVALHO, M.A.; VALERIANO, D.M.; CAMPELLO, F.C.B.; SANTANA, M.O. Identifying areas susceptible to desertification in the Brazilian northeast. Solid Earth, v.6, p.347–360, 2015.
Alternative link