Resumen: Objetivo: evaluar el efecto de un programa de ejercicio físico sobre el alineamiento postural en estudiantes de 8 a 11 años. Materiales y métodos: participaron once estudiantes de ambos sexos distribuidos aleatoriamente, el grupo experimental (GE, n= 6) con edad promedio 10,0±1,22 años; y el grupo control (GC, n=5) 9,5±0,54 años. El programa se ejecutó en 36 sesiones (duración: 45 min cada sesión. Frecuencia: 3 días por semana). El alineamiento postural fue evaluado por medio de la fotogrametría y analizado en el programa Kinovea 0.8.7. Resultados: los datos indicaron una efectividad del programa de ejercicio físico disminuyendo el desalineamiento significativamente en regiones del mentón e infra-esternal en la vista anterior, vertex y cervical 7 en la vista posterior. El GC no presentó mejoras. Conclusión: el programa de ejercicio físico con una duración de ١٢ semanas y con una periodización linear reduce el desalineamiento postural existente y promueve el alineamiento corporal en escolares de 8 a 11 años. Las implicaciones a nivel clínico-educativo sugieren que sea recomendada la prescripción de ejercicios físicos específicos para la corrección de desalineamientos posturales en esta franja etaria. Así mismo, a nivel científico se alienta a futuros trabajos en ésta línea y el control de otros factores ambientales.
Palabras clave:salud escolarsalud escolar,posturapostura,ejercicio físicoejercicio físico,alineamiento posturalalineamiento postural,fotogrametríafotogrametría.
Abstract: Objective: to evaluate the effect of an exercise program on postural alignment students from 8 to 11 years. Materials end methods: a total of eleven students of both sexes randomized, experimental group (GE, n = 6) with mean age 10.0 ± 1.22 years; and control group (CG, n = 5) 9.50 ± 0.54 years. The program was implemented in 36 sessions (duration: 45 minutes each session. Frequency: 3 days per week). Postural alignment was evaluated by photogrammetry and analyzed in the Kinovea 0.8.7 program. Results: the data showed an effectiveness of exercise program significantly reducing the misalignment regions chin and breastbone lowin the previous view, vertex and cervical 7 in the rear view. The GC did not show improvements. Conclusion: the exercise program lasting 12 weeks and linear periodization reduces existing postural misalignment and promotes body alignment in school from 8 to 12 years. The implications for clinical and educational level suggests it is recommended prescribing specific physical exercises for the correction of postural misalignments in this age group. Also, to encourage scientific level future work in this line and control of other environmental factors
Keywords: school healt, posture, exercise, postural alignment, photogrammetry.
Artículos de Investigación
Efecto de un programa de ejercicio físico extraescolar para el alineamiento postural de estudiantes de una institución educativa de la ciudad de Armenia (Colombia), hallazgos preliminares
Postural alignment and physical exercise extracurricular, preliminary findings

Recepción: 31 Mayo 2016
Corregido: 17 Octubre 2016
Aprobación: 25 Octubre 2016
Archivos de Medicina (Manizales), Volumen 16 N° 2, Julio-Diciembre 2016, ISSN versión impresa 1657-320X, ISSN versión en línea 2339-3874. Franco Jiménez A.M.; Barrios Puerta C.M.; Rojas Jaimes D.A.; Aguirre Loaiza H.H.
Franco-Jiménez AM, Barrios-Puerta CM, Rojas-Jaimes DA, Aguirre-Loaiza HH. Efecto de un programa de ejercicio físico extraescolar para el alineamiento postural de estudiantes de una institución educativa de la ciudad de Armenia (Colombia), hallazgos preliminares. Arch Med (Manizales) 2016; 16(2):257-6.
Es bien sabido que el ejercicio físico practicado bajo supervisión durante la infancia y la adolescencia trae beneficios a nivel musculoesqueletico, neuronal, metabólico, funcional, entre otras [1]. El ejercicio ha sido adoptado como un elemento de gran importancia en el mejoramiento o mantenimiento de la salud [2]. De acuerdo a sus características (planificado, sistematizado, con fines específicos), desde la niñez hasta la vejez ha permitido a diversos profesionales que trabajan en el campo de la promoción de la salud y prevención de la enfermedad (educadores físicos, fisioterapeutas, entre otros) desarrollar procesos de intervención que auxilien problemáticas asociadas con el alineamiento postural [3].
El término postura ha sido usado para describir el alineamiento biomecánico del cuerpo y su orientación en relación al ambiente [4]. A lo largo del ciclo vital, ocurren diversos cambios en el alineamiento postural tanto en el desarrollo como en su consolidación, los cuales son condicionados por aspectos biológicos o contextuales [5]. Los niños y niñas con edades de 7 a 12 años sufren alteraciones en la postura en la búsqueda de un equilibrio ajustable a las mudanzas de su cuerpo [3,6].
En esta etapa se da el crecimiento óseo y muscular, aumento de movilidad articular y ganancias en los niveles de fuerza muscular, elementos importantes para el desarrollo de una columna vertebral sana [7,8] posicionamiento adecuado de los miembros inferiores y superiores. De esta manera, se posibilita una mayor economía del movimiento, mejor funcionalidad y disminución del riesgo y ocurrencia de complicaciones musculo-esqueléticas y articulares [9, 10].
El gran aumento de problemas posturales se ha convertido en una preocupación a nivel mundial [3], al referirse a un creciente problema de salud sobre todo a partir de los 12 años [11]. Esta situación es acrecentada por la exposición a sobrecargas, como el uso de morrales pesados (más del 10% del peso corporal total), de forma asimétrica y desproporcionales para la edad y somatotipo [3,12,13]. Esta panorámica también es dilatada debido al uso indiscriminado e inadecuado de equipos electrónicos, como los computadores, vídeo juegos, tablets, entre otros que promueven la inactividad física y no facilitan el mantenimiento de una ergonomía adecuada para esta franja etaria [14-16].
Este cuadro es agravado por el poco espacio-tiempo otorgado para la actividad física y la permanencia en la posición sentada adoptando posturas incorrectas por largos periodos de tiempo. Estas circunstancias suponen peligro tanto en el origen como en el posible mantenimiento de alteraciones en el alineamiento postural y aumento de síntomas del dolor [8,17]. Esto es acrecentado por la disminución de la amplitud de movimiento por desequilibrio en la flexibilidad, debilidad y fatiga muscular por posturas inadecuadas habituales, alteraciones de la percepción kinestésica del alineamiento del cuerpo, por la incapacidad de corregir la postura [18] y la no facilitación de procesos de sensibilización somatosensorial y variación en los modelos de movimiento [4,19-21].
Alrededor del 30% de los adolescentes sufren durante su etapa de crecimiento, desequilibrios a nivel de la columna vertebral, los cuales pueden convertirse en malformaciones susceptibles a durar a lo largo de su vida útil [7,8]. La literatura ha evidenciado que las alteraciones más frecuentes (principalmente al nivel de los hombros, cadera y columna vertebral) pueden ser modificadas con la práctica de la actividad física (escolar o extra-escolar) [22], actuando tanto a nivel preventivo como educativo y correctivo [9,23,24]. Según Martelli & Traebert [25], la etapa escolar es ideal para recuperar diversas alteraciones de forma más eficaz ya que posterior a esta etapa se tiene un peor pronóstico.
Sobre esta realidad, la escuela ha actuado como un escenario privilegiado para este tipo de abordaje [26]. Investigaciones confirman la necesidad de intervenciones por parte de profesionales de salud y educación, que permitan apoyar, estimular y reforzar el enfrentamiento de este problema [9,27-30], buscando corregir hábitos inadecuados de la postura corporal que con el tiempo puedan agravarse y causar daños irreversibles7,31. En este sentido, se justifica la importancia de promover un programa de ejercicio físico que auxilie las alteraciones posturales ya presentes o que acompañe el desarrollo postural en la escuela en pro de una mejor calidad de vida cuando adulto.
Mediante lo expuesto, se plantea la hipótesis de que un programa de ejercicio físico extraescolar de 12 semanas mejora el alineamiento postural con orientaciones hacia el ajuste postural al nivel de la cabeza, hombros, manos, columna vertebral, tronco y cadera. Por lo tanto, el objetivo de este estudio fue analizar el efecto de un programa ejercicio físico extraescolar orientado al ajuste postural en escolares entre los 8 y 11 años.
A partir de un diseño de investigación experimental, con asignación aleatoria de los grupos, se constituyó una muestra no probabilística [32] de once estudiantes de nivel de escolaridad de primaria básica y de ambos géneros, con edad media de 10 años para el grupo experimental (GE, n= 5) y 9,5 años para el grupo control (GC, n=6). Los datos descriptivos de edad, estatura y peso corporal se observan en la Tabla 1.

GE: Grupo Experimental. GC: Grupo Control.
propiaLos criterios de inclusión fueron: ser estudiante, entre 8 y 11 años de edad, no poseer ningún tipo de incapacidad física que implicara el impedimento para la realización de la intervención, no estar en tratamiento para corrección de desalineamientos posturales, no presentar ningún tipo de lesión percibida antes y durante la realización de la intervención. Las regiones anatómicas evaluadas fueron: alineamiento en referencia a la vertical (vertex, mentón, infra-esternal, onphalion, cervical 7) y alineamiento horizontal (dáctilo, acromio, glúteo, íleo-espinal[33]. Los estudiantes pertenecían a una institución educativa de la ciudad de Armenia (Colombia), y todos los datos experimentales fueron tomados en el segundo semestre del año 2012.
El programa de ejercicio físico ocurrió durante 12 semanas en jornadas extraescolares. Fueron distribuidas 36 sesiones con una frecuencia de tres encuentros semanales y una duración de 45 minutos por cada sesión (10 minutos de calentamiento y estiramiento, 30 minutos para la parte principal y 5 minutos para vuelta a la calma). La parte principal de la sesión fue diseñada para el alcance de los objetivos del programa. Las sesiones fueron orientadas por un educador físico. El programa fue compuesto por juegos y ejercicios orientados para la conciencia corporal (5,6%), lateralidad (15,5%), tonicidad (22,2%), flexibilidad (12%), equilibrio estático y dinámico (32%), respiración y relajamiento (1,9%), y reeducación postural (8,9). La organización de la carga fue progresiva con aumentos semanales y basada en la dificultad de los ejercicios. El volumen fue establecido por el tiempo de ejecución de los ejercicios en intervalos entre 30 y 60 segundos. Los ejercicios de fuerza se desarrollaron a partir de autocargas (peso corporal de los estudiantes). Para el desarrollo de los demás contenidos fueron utilizadas cuerdas, pelotas, aros y colchonetas en actividades individuales y en parejas.
Para la realización de la evaluación postural fue utilizada una cámara fotográfica Luxmedia 7303 de 7,1 megapíxeles, un trípode marca Manfrotto, una cortina de 2 metros de altura, marcación de los puntos anatómicos y colocación de adhesivos. Se construyó una estructura en madera caracterizada por dos astas verticales de 1,6 metros y una barra horizontal de 0,82 metros, en cuyo centro fue fijada una plomada con 1,5 metros de longitud, como referencia de la verticalidad del espacio. Cada estudiante fue colocado en una superficie de madera donde estaba demarcada la posición de los pies, contaba con una línea de color negro utilizada para ubicar al sujeto lateralmente respecto con la línea de plomada, dicho instrumento fue utilizado con el fin de estandarizar la posición del sujeto evaluado en el pre y pos test. El análisis fotográfico fue realizado con el programa Kinovea 0.8.7.
La evaluación fue realizada con la menor cantidad de ropa posible, siguiendo las recomendaciones establecidas por Palmer [34]; de igual modo, la marcación de los puntos fue realizada según el protocolo de Norton y Old [35]. Posteriormente, fue efectuado el registro fotográfico, cuya cámara estaba localizada en un trípode (a la altura media de la estatura del evaluado), a una distancia de 2,5 metros medida a partir del hilo de plumo. El lente de la cámara fue localizado en el punto medio del tamaño del evaluado, siendo efectuados cuatro disparos (vista anterior, vista posterior, vista lateral derecha e izquierda). Las fotografías fueron tratadas con el programa Kinovea 0.8.7 donde se identificó a partir de la relación de medidas la determinación del alineamiento o desalineamiento de las posiciones anatómicas consideradas. Las evaluaciones posturales fueron efectuadas en los momentos pre y pos intervención, en una franja horaria de las 9:30am a 4:30 pm.
El procedimiento utilizado siguió los lineamientos de la declaración de Helsinki 2013, y las normativas de la resolución 8430 de 1993 de la República de Colombia. La firma del consentimiento informado se efectuó por parte de los padres o responsables, donde fueron notificados sobre los propósitos y los alcances de la intervención, el anonimato y autonomía para abandonar el estudio en cualquier momento, deseo de participación en la investigación, así como la libertad de solicitar en cualquier momento información sobre los resultados de las tareas realizadas en cualquiera de las fases del estudio.
El análisis de datos se ejecutó a través de la estadística descriptiva con medidas de tendencia central y dispersión (promedio, desviación estándar, diferencia porcentual en la mejora o aumento en el desalineamiento postural de los grupos). Previo a la comprobación de los supuestos de las pruebas de normalidad (Kolmogorv-Smirnov) y homocedasticidad (Levene), la estadística inferencial se efectuó con la prueba t de student para medidas repetidas para los momentos. El análisis de Varianza de dos vías (Anova two-way) para la comparación entre los momentos y los grupos. Los datos fueron procesados en una matriz de datos de Excel y posteriormente se analizaron a través del paquete estadístico SPSS versión 20.0. Se estimó como valor de probabilidad p <0,05.
Los resultados en la vista anterior revelan que el comportamiento del GE fue favorable, observándose una disminución en el desalineamiento promedio de 0,8 cm en comparación al control (Tabla 2). Las regiones que presentaron mejoras significativas (p< 0,05) entre el pre-test y pos-test fueron el mentón e infra-esternal en el GE. Por su parte, el GC desmejoró el desalineamiento en -0,5 cm en promedio (p< 0,05), siendo el mentón e infra-esternal las regiones que presentaron el deterioro.


La misma tendencia fue observada en la vista posterior (tabla 3), El GE progresó en promedio 0,90 cm, mientras que el GC perdió -0,47 cm comparando los dos momentos evaluativos pre-test y pos-test. La región anatómica con mejor alineamiento fue la cervical 7, ilioespinal y vertex en el GE (p< 0,05), y el vertex con un desalineamiento significativo para el GC.
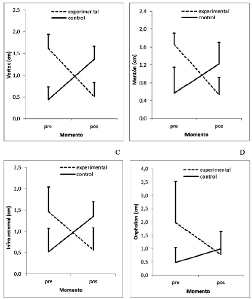
El análisis de ANOVA no reveló efecto principal de grupo o de momento para ninguna de las regiones anatómicas. Sin embargo, hubo interacción entre los factores para los segmentos del vertex (F = 13,467; p ≤ 0,005; Painel A – Figura 1); mentón (F = 24,409; p ≤ 0,001; Painel B -Figura 1); infraesternal (F = 42,375; p ≤ 0,000; Painel C - Figura 1); onphalion (F = 10,294; p ≤ 0,011; Painel D - Figura 1). Estos datos indican que el programa de intervención fue beneficioso para el GE, donde todas las regiones anatómicas tuvieron cambios positivos entre el pre y pos test.

La hipótesis del trabajo fue someter a prueba el efecto de un programa de ejercicio físico extraescolar orientado al alineamiento de los segmentos corporales (cabeza, hombros, manos, columna vertebral, tronco y caderas) en una muestra de escolares entre 8 y 11 años.
Los principales resultados indican la efectividad del programa de ejercicios físicos sobre el alineamiento postural. Las alteraciones al nivel de la cabeza, hombros, manos, columna vertebral, tronco y cadera se redujeron, con diferencias significativas en cinco regiones (vertex, mentón, cervical 7, infra-esternal e ilioespinal) en el GE, afirmación que comprueba la hipótesis planteada.
Algunos estudios [36-39] afirman que programas de actividad física sistemática en un periodo de hasta 15 semanas y una frecuencia semanal de tres veces, mejora el nivel físico optimizando una postura más erecta. Además, comparando programas de intervención para auxiliar alteraciones especificas [40,41] y con duración superior a 3 meses [42,43] no evidenciaron efectos significativos, lo cual visualiza la importancia de los resultados obtenidos en este estudio; sin embargo, no puede desconocerse la importancia de mantener los programas de ejercicio de manera permanente, pues estos aportan ganancias en otros aspectos de la condición física de los sujetos.
Conforme a lo anterior, la estimulación de la fuerza y la flexibilidad disminuyó las asimetrías corporales en todas las regiones anatómicas y significativamente en cinco de ellas. La intervención contribuyó en la adaptación neuromuscular y el reclutamiento de fibras musculares [44-47]. De manera que, facilita mayor amplitud articular y mejor respuesta en la coordinación neuromuscular [48,49] favoreciendo el objetivo de un adecuado alineamiento corporal en edad escolar. Estos últimos elementos son favorecedores en la protección contra el desarrollo o consolidación de defectos posturales que podrían convertirse con el tiempo en enfermedades osteoarticulares de mayor gravedad en la edad adulta o en la vejez [50] e incluso en el aumento del riesgo u ocurrencia de complicaciones musculo-esqueléticas y articulares en el presente.
De acuerdo con las intervenciones realizadas para el alineamiento postural en edad escolar y la descripción de la intensidad, volumen y medios de trabajo desarrollados se infiere que estas propuestas han adoptado una periodización con progresión linear (cargas con tendencia al aumento continuo en las estructuras semanales y mensuales que componen el tiempo de entrenamiento). Por lo tanto, esta parece ser una estrategia coherente con esta población [46,51,52], como la aplicada en el presente estudio. No obstante, esto no significa que otras formas de periodización no puedan resultar en iguales o mejores resultados, siendo necesario otras investigaciones para responder esta cuestión.
Los datos expuestos deben ser interpretados con cautela debido a la pequeña muestra y la dificultad de generalizar. En esencia, dentro de las limitaciones detectadas, el control de validez interna por mortalidad experimental[53] es un mecanismo metodológico que puede ser tenido en cuenta en futuros estudios. En este orden de ideas, la manipulación de indicadores de frecuencia, volumen, intensidad y tipo de actividad física es objeto de estudio en los estudios prospectivos [24,37,54,55].
En cuanto a la metodología empleada, se encontró adecuada para las características de la población participante, tanto desde el punto de vista terapéutico como funcional, hecho que contribuye con la calidad de vida de los sujetos [25-27] y es una evidencia de la importancia de los tratamientos en niños y jóvenes en el contexto escolar y extraescolar [28-30].
En conclusión, el estudio evidencia que un programa de ejercicios físicos compuesto por juegos y actividades orientadas al conocimiento corporal, lateralidad, tonicidad, equilibrio estático y dinámico, y reeducación postural aplicado en 12 semanas, promovió mejoras en el alineamiento corporal en escolares de 8 a 11 años. Por último, el estudio traza potenciales implicaciones a nivel clínico-educativos sobre los contenidos para procesos de intervención mediante programas de ejercicio físico con el carácter preventivo y promocional en edades escolares, y la posibilidad de jornadas extraescolares con agendas educativas que traten el tema. A nivel científico este estudio permitió el control de variables y la prueba de hipótesis del ejercicio físico sobre el alineamiento corporal en la población escolar.
Al programa de Licenciatura en Educación física y Deportes de la Universidad del Quindío y grupo de investigación Tejiendo Redes de la misma institución, a la institución educativa, a los estudiantes y padres de familia participantes en el presente trabajo. A la profesora doctora Lilian Teresa Bucken Gobbi y al profesor doctor Henrique Luiz Monteiro de la Universidad Estadual Paulista de Rio Claro-Brasil por su orientación teórica y estadística inicial.
Los autores declaran no tener conflicto de intereses.
Internas, Institución de Educación Superior.

GE: Grupo Experimental. GC: Grupo Control.
propia

