Artículos de Investigación
Recepción: 17 Junio 2020
Corregido: 30 Julio 2020
Aprobación: 19 Agosto 2020
DOI: https://doi.org/10.30554/archmed.21.1.3864.2021
Resumen: Objetivo: relacionar satisfacción laboral con la condición laboral de odontólogos de Cartagena, Colombia. Materiales y métodos: estudio descriptivo transversal en una muestra no probabilística de 107 odontólogos generales que laboraban de manera independiente en centros odontológicos en el año 2016. Se diseña y aplica cuestionario para indagar satisfacción laboral, variables sociodemográficas y condiciones laborales. Resultados: 55,1 % de los odontólogos se sentían satisfechos laboralmente; de estos 62,6 % refirieren sentirse insatisfechos con la remuneración obtenida y así mismo 75,7 % insatisfechos con las condiciones del mercado laboral. Se hallan relaciones con significancia estadística entre satisfacción laboral y tener menos de 44 años (p = 0,003), sexo masculino (p= 0,007) y estar casado (p= 0,038); igualmente entre condiciones laborales y duración de jornada laboral (p= 0,016), remuneración recibida (p=0,000), competencia laboral (p=0,001) y haber estado alguna vez desempleado (p=0,034). Conclusión: la satisfacción de los odontólogos, las condiciones laborales y el cumplimiento de expectativas se relaciona con factores que generan resultados de percepción negativa indicando que la situación de la odontología no es la mejor en la actualidad. Estudios más a fondo se recomiendan para determinar las raíces del problema y tomar decisiones gubernamentales respecto al futuro.
Palabras clave: odontólogos, remuneración, expectativas, satisfacción en el trabajo.
Abstract: Objective: to relate job satisfaction with the working condition of dentists in Cartagena-Colombia. Materials and methods: cross-sectional descriptive study in a non-probabilistic sample of 107 general dentists who work in dental centers in 2016. A questionnaire was designed and applied to investigate job satisfaction, sociodemographic variables and working conditions. A descriptive statistic and a test with 95% confidence were performed for the significance of the relationships. Results: 55.1% of dentists felt satisfied at work; Of these, 62.6% reported dissatisfaction with remuneration and 75.7% dissatisfied with labor market conditions. The relationships with statistical significance between job satisfaction and having less than 44 years (p = 0.003), male sex (p = 0.007) and being married (p = 0.038); just like relate working conditions with the duration of the working day (p = 0.016), remuneration received (p = 0.000), labor competence (p = 0.001) and having been unemployed at some time (p = 0.034). Conclusion: the satisfaction of dentists, working conditions and the fulfillment of expectations are related to factors, which generate negative perception results indicating that the dentistry situation is not the best at present. Further studies are recommended to determine the roots of the problem and make government decisions regarding the future.
Keywords: dentists, remuneration, job satisfaction.
Introducción
La odontología es la ciencia médica encargada de la prevención, diagnóstico y tratamiento de las enfermedades del aparato estomatognático [1], el cual está formado por el conjunto de órganos y tejidos que se encuentran en la cavidad oral, incluyendo dientes y encías [2]. En Colombia esta profesión ha sufrido transformaciones respecto a su práctica a lo largo de los últimos años y sustentadas en la promulgación de algunas leyes [3] como la ley 30 de 1992 [4] y la ley 100 de 1993 [5].
La primera faculta a las universidades y a los particulares para crear (con requisitos mínimos) programas académicos de pregrado de odontología. En 1969, cuando se realizó el primer estudio de talento humano en salud oral en Colombia, los odontólogos se formaban en cuatro facultades y la relación de odontólogos por habitante era de 7.749 personas por odontólogo; desde esa época se planteaba la necesidad de contar con un odontólogo por cada 3.000 habitantes. Para alcanzar lo anterior Colombia tardó 17 años lográndose en 1987 al abrir 8 facultades más, y ampliando los cupos de ingreso en la educación pública a partir de 1975. Por lo cual el país, para el año 1989, contaba con un odontólogo por cada 2.500 habitantes. Este proceso fue favorecido aún más por el surgimiento de varias facultades de odontología privadas a través de la ley de 1992 que facilita la creación de nuevas facultades de odontología. A partir de ese año hasta el 2004 se fueron creando numerosas facultades de odontología, lo que ha ido acercando a contar con un odontólogo por cada mil habitantes.
La OMS no arroja una recomendación oficial respecto a la cifra indicada de odontólogos por habitantes, pero emite una descripción de las grandes diferencias observadas en la relación odontólogos vs. población entre distintos países. Así, en algunos países desarrollados la relación odontólogo-población alcanza 1:2.000 (50 por 100.000) y en otros se observan situaciones extremas como el África subsahariana, donde la tasa es de 1:1500004 (6,6 por 100.000) [6].
Por otra parte, los odontólogos tienden a concentrarse preferiblemente en áreas urbanas por distintas situaciones que consideran favorables en comparación a las halladas en áreas rurales, por lo cual no suele darse una correcta distribución odontólogo vs habitante en todo el territorio nacional [7]. Lo anterior ha comprometido el buen desarrollo de la profesión odontológica, al propiciarse competencias desleales, generando subempleos, bajos ingresos salariales atentando contra la calidad y dignidad de quienes la ejercen. Todo esto también compromete la satisfacción laboral, como lo sustenta Raziq et al. 2015 [8]: “la moral de los empleados debe ser alta, puesto que esto se reflejará en su desempeño porque con baja moral, harán menos esfuerzos para mejorar”. Si los empleados no están satisfechos con la tarea que se les asigna, consideran que dichas tareas no guardan relación con lo que estudiaron, no están seguros de sus derechos y de las condiciones laborales, presentan ausencia de cooperatividad en el gremio [9], respeto en la jerarquía y falta de participación en la toma de decisiones, se gestará un sentimiento de separación y falta de compromiso de estos hacia la organización.
No obstante, según Kumar Singh et al. 2013 [10], la satisfacción laboral se refiere a una acumulación de sentimientos positivos y/o negativos que un individuo tiene hacia su trabajo. La satisfacción laboral es parte de la satisfacción con la vida. La satisfacción laboral es uno de los temas más populares y ampliamente investigados en el campo de la psicología organizacional, y este concepto ha ganado importancia desde que el enfoque de las relaciones humanas se ha vuelto popular. La satisfacción laboral implica un número complejo de variables, condiciones, sentimientos y predisposiciones de comportamiento, que generan aumento en la productividad, disminución en los costos de cambio, reclutamiento y capacitación de personal, reducción de accidentes laborales, empleados más enérgicos, acción grupal mejorada, y compromiso con la empresa.
Hay una variedad de factores que pueden influir en el nivel de satisfacción laboral de una persona como el nivel de pago y beneficios, la percepción de equidad del sistema de promoción dentro de una organización, las condiciones laborales, el liderazgo, el aspecto social, el trabajo en sí (la variedad de tareas involucradas, el interés y el desafío del trabajo genera, y la claridad de la descripción / requisitos del trabajo).
Además, en el estudio de Seraj et al. 2014 [11] se le otorga mucha importancia a la satisfacción laboral en la profesión odontológica al expresar que tanto su evaluación como la de sus factores subyacentes pueden mejorar la carrera profesional y elevar la productividad educativa y de investigación, conduciendo así a una mayor calidad de los servicios dentales comunitarios y mejorar finalmente el estado de salud oral pública. Sumado a eso, la satisfacción laboral favorece un compromiso mayor de los odontólogos con la organización, y disminuyendo las intenciones de renunciar al trabajo. Puesto que las personas insatisfechas son muy propensas a abandonar la organización y, a su vez, los trabajadores insatisfechos que permanecen, disminuirían el rendimiento laboral e incluso podría conducir a saboteos laborales [12].
Teniendo en cuenta que cada semestre egresa aproximadamente 90 profesionales de las 3 facultades de odontología en la ciudad de Cartagena, la satisfacción laboral de los odontólogos y la calidad de la atención ofertada pueden verse comprometida. Es por eso que el objetivo de este estudio es identificar la relación entre la satisfacción laboral y las condiciones laborales en odontólogos de la ciudad de Cartagena de Indias – Colombia.
Materiales y métodos
Tipo de estudio: estudio descriptivo de corte transversal.
Población: del universo conformado por todos los odontólogos que trabajan de manera asistencial en la ciudad de Cartagena, Bolívar se seleccionaron 107 odontólogos generales que laboran en centros odontológicos privados en las diferentes localidades del distrito de Cartagena, a través de un muestreo no probabilístico. Se tienen en cuenta algunos criterios de inclusión tales como, odontólogos generales registrados en el directorio del REPS (Registro especial de prestadores de servicios de salud) emitido por la secretaria de salud distrital, y como criterios de exclusión los odontólogos que no ejerzan la profesión de manera asistencial, así como también odontólogos de áreas administrativas o públicas de cualquier entidad, por cuanto estos cuentan, en su gran mayoría, con garantías laborales. Se solicita consentimiento informado diligenciado acatando la Resolución 008430 de 1993 del Ministerio de Salud de Colombia, y la declaración de Helsinki y Edimburgo.
Variables: 1.Variables sociodemográficas: edad (adultos jóvenes (≤44 años), adultos maduros y mayor (≥45 años)), sexo (femenino, masculino), estrato socioeconómico (bajo (estratos 1,2 y 3), alto (estratos 4, 5 y 6)), estado civil (soltero, casado), universidad de egreso (pública, privada), procedencia (Cartagena, fuera de Cartagena), 2. Variables relacionadas con las condiciones laborales: números de sitio donde labora (un solo sitio, dos o más sitios), duración de la jornada laboral (trabaja 4, 6 u 8 horas, trabaja más de ٨ horas), tiempo de desempleo (alguna vez ha estado desempleado, nunca ha estado desempleado). También se incluyen preguntas sobre la situación laboral de los odontólogos, es decir, remuneración recibida con base al salario mínimo legal mensual vigente equivalentes en el año 2017 a $737.717 pesos (250.88 dólares) (<1 SMLMV, 1 a 2 SMLMV, 2 a 3 SMLMV, >3 SMLMV), prestación de servicios adicionales en otro lugar (si, no) y si realizan alguna actividad distinta a la odontología (si, no). 3. Percepciones de los odontólogos respecto a su profesión: posibilidad de estudiar una especialidad clínica (si, no, no lo desea), la competencia laboral afecta condiciones laborales (sí, no), expectativas cumplidas respecto a condiciones laborales (sí, no), expectativas cumplidas respecto a condiciones financieras (sí, no) y expectativas cumplidas respecto a calidad de vida (sí, no), volvería a estudiar odontología (sí, no). 4. Satisfacción laboral de los odontólogos: satisfacción respecto a su estabilidad laboral, remuneración económica y condiciones del mercado laboral (satisfecho, insatisfecho). Al hacer el análisis estadístico, primero se verifica la normalidad de la distribución de los datos a través de la prueba Durbin-Watson y luego se determinan porcentajes de cada una de las variables de estudio en el análisis univariado.
Instrumentos: se diseña y aplica cuestionario autodiligenciable de 26 preguntas el cual fue probado previamente para evaluar la suficiencia teórica y entendimiento del instrumento. Se aplica al cuestionario la prueba Alpha de Cronbach para medir la validez de contenido obteniendo un valor de 0,79. El cuestionario se suministra en momentos de descanso durante la jornada laboral de los odontólogos.
Procedimiento: la recolección de datos fue llevada a cabo a través de encuestas autodiligenciables en el segundo trimestre del año 2016.
Análisis estadístico: para el análisis estadístico, primero se verificó la normalidad de la distribución de los datos a través de la prueba Durbin-Watson. Luego se determinaron porcentajes de cada una de las variables de estudio en el análisis univariado, y en el análisis bivariado se compararon las variables de estudio de acuerdo a las condiciones sociodemográficas de interés. El análisis estadístico empleó el programa de Excel y Statgraphics para Windows.
Control de sesgos: el cuestionario fue ejecutado /llenado/ individualmente en presencia de los investigadores evitar tanto confusión en la interpretación, como errores en el diligenciamiento.
Aspectos éticos: la investigación se ocupa de sujetos humanos sin riesgo y acorde a todo lo dispuesto en la resolución 008430 de 1993 del Ministerio de Salud de Colombia y sus artículos referentes a la ética de la investigación en humanos. Antes de solicitarle colaborar en el estudio, cada participante recibió la información pertinente sobre el objetivo del proyecto y sus beneficios para el área epidemiológica, la institución universitaria y al gremio odontológico y garantizando la confidencialidad y exclusividad para este de su participación.
Resultados
La muestra está constituida por 107 odontólogos, la mitad se ubica en edades menores a 44 años (81,3 %), 56,1 % de sexo masculino, 77,6 % pertenecían al estrato socioeconómico bajo, 58,9 % son casados, 68,2 % egresados de universidades públicas y 63,5 % son originarios de la ciudad de Cartagena (Colombia).
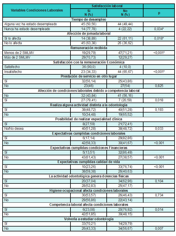
Respecto a las variables relacionadas con las condiciones laborales 80,4 % laboran en un solo sitio, con jornadas laborales de hasta 8 horas (58,9 %); 68,2% siente que las condiciones laborales en sus sitios de trabajo no son las más adecuadas para laborar y el 83,2 % alguna vez han estado desempleados (Tabla 1).

Al revisar las percepciones de los odontólogos respecto a su profesión se halla que 54 % afirma que su situación financiera no le permitiría acceder a una especialidad clínica, 75,70 % refiere que la competencia laboral afecta sus condiciones laborales y 67,29 % manifiesta que con dicha carrera no ha cumplido sus expectativas respecto a condiciones laborales. Por otra parte 56,07 % afirma que no volvería a estudiar odontología (Tabla 2).


* Valores con significancia estadística.
elaborado y procesado por Excel y Statgraphics para WindowsAl evaluar la satisfacción laboral, se evidencia que 55,1 % de los odontólogos se sienten en general satisfechos con la estabilidad laboral, pero 62,6 % refirieren sentirse insatisfechos con la remuneración obtenida; 75,7 % refieren sentirse insatisfechos con las condiciones del mercado laboral en el cual se desenvuelven.
Al relacionar la satisfacción laboral con las variables sociodemográficas se hallan relaciones con significancia estadística con la edad, el sexo y el estado civil (Tabla 3).
Con respecto a las condiciones laborales se hallan relaciones con significancia estadística con la variable jornada de trabajo que afecta sus condiciones laborales, satisfacción con la competencia laboral, remuneración recibida y el hecho de haber estado desempleado (Tabla 4, 4b).

*valores con significancia estadística.

Discusión
La presente investigación corresponde a uno de los primeros estudios que reporta las condiciones laborales, financieras, las expectativas y el grado de satisfacción en odontólogos del sector privado, a la luz de la literatura disponible en Colombia. Con respecto a la satisfacción laboral reportada más de la mitad de los encuestados (55,1 %) se encontraban satisfechos. Aunque dicho resultado podría indicar que hay más odontólogos con buena satisfacción laboral, se puede marcar una diferencia con lo hallado en el estudio de Goetz [13], en Alemania, donde la gran mayoría de los participantes (95%) alegaron poseer un alto nivel de satisfacción laboral. Sin embargo, hay que tener en cuenta que, aun comparando países con inmensas diferencias socioeconómicas, se encuentra en este estudio una proporción superior de odontólogos satisfechos con su trabajo, muy a pesar de sus condiciones laborales. Considerando, a su vez, que los aspectos socioeconómicos de los países pueden causar impacto en la satisfacción laboral y otros factores [14].
Cuando esta satisfacción laboral es relacionada con características sociodemográficas, se encuentran diferencias respecto a la distribución de hombres y mujeres (66,67 % hombres y 40,43% mujeres). Así como lo reportado por Decharat et al. [15], en Thailandia, quienes reportan menor satisfacción del sexo femenino en su estudio, respecto al sexo masculino. Es probable que este estudio refleje que las mujeres suelen ser más comprensivas o tolerantes con las condiciones laborales, pues a través de la historia se ha visto que antes la mujer no trabajaba y el solo hecho de hacerlo las hace sentir incluidas y aceptadas dentro de la sociedad como personas capaces de aportar a la productividad de un país [16]. Sin embargo, en otro estudio reportado por Fatima et al. [17], en Pakistán se hallaron mejores satisfacciones en hombres que en mujeres debido quizás a que en Pakistán hay una sociedad dominada por el hombre y las mujeres tienen menos posibilidades de salir adelante por sí solas. En Pakistán, normalmente la sociedad les da importancia a los trabajadores masculinos para los cargos altos, porque se cree que las mujeres poseen un bajo poder de decisión y confianza. Por lo tanto, en las sociedades dominadas por el machismo, esto se convierte en un gran obstáculo para el género femenino. Y en Colombia, al ser un país donde el machismo impera [18], es posible que se presente este mismo fenómeno.
También se encuentran relaciones de la satisfacción laboral con las condiciones financieras. El odontólogo al egresar de la universidad, tiene elevadas expectativas con respecto a la remuneración económica por su trabajo [19]. Kaipa et al. [20], en Srikakulam, India, enfatizan la importancia de esta variable en los dentistas en general. De igual modo, Al-Zubair et al. [21], expresan que uno de los factores por los cuales un odontólogo en Yemen sufre de estrés dentro y fuera del consultorio es por el bajo nivel de ingreso recibido mensualmente. Por otra parte, otros autores como Uribe et al [22], en Chile, reportan satisfacción de los odontólogos con la remuneración recibida. Belmar indica que la práctica odontológica en Chile es un negocio muy conveniente, donde se ve una oferta y demanda que crece directamente proporcional a la densidad poblacional. Es una profesión que no debería presentar recesión económica alguna, puesto que siempre habrá cuidados dentales que atender y, en caso de urgencia, se necesitará un dentista. Además, los precios manejados por procedimiento siguen una tendencia al alza, pero no dejan de ser accesibles para los clientes, debido al apoyo de entidades privadas encargadas de financiar las atenciones y beneficios de salud denominadas Isapres [23]. De igual modo, la satisfacción laboral respecto a la remuneración en Chile puede soportarse en lo referido por Saavedra [24] en su artículo, donde explica que Chile muestra altas fortalezas institucionales en lo económico y político, las que, unidas, han sido capaces de crear las condiciones para el crecimiento sostenido y la consecuente reducción de la pobreza, que ha bajado desde un 38,4% el año 1990 a 14.4% en el año 2011. Al contrario, en Colombia se observan abusos salariales por parte de las IPS (Instituciones Prestadores de Salud) hacia los odontólogos como lo reporta Ramirez [25]: al manifestar que se observa una saturación del mercado por causa de la marcada sobreoferta odontológica derivada de un modelo de mercado en el que la relación entre la oferta y la demanda se autorregula y evoluciona como una especie de selección natural donde el más adaptado persiste y el menos adaptado perece. Además, todo lo anterior es coadyuvado por la concentración de odontólogos en zona urbana, dejando de lado toda posibilidad de emigrar o retornar a la zona rural.
Otra variable relacionada con la satisfacción laboral son las jornadas laborales en relación al número de horas de trabajo; Gyllensten et al. [26], en Suecia, encontraron que entre más horas de laborales más efectos negativos se tendrán en el estado de ánimo de los trabajadores, pues ellos también necesitan realizar su vida personal y/o familiar. No obstante, en la presente investigación, los odontólogos encuestados que trabajaban más de 8 horas demostraron poseer menos insatisfacción que los que trabajaban de 4 a 8 horas. Esto puede explicarse por la relación con la remuneración, ya que entre más trabaje más posibilidad hay de ganar más dinero [27]. Aun así, esto demarca diferencias con lo reportado por Cui X et al. [28], en su estudio realizado en un hospital dental metropolitano en China donde se demostró que los dentistas que trabajan más horas por semana no pueden cumplir con todos los niveles de responsabilidades laborales, debido a fatiga o agotamiento y generando bajos índices de satisfacción por no poder cumplir con los compromisos de su vida personal. A su vez, en esta investigación se halla significancia estadística entre la satisfacción laboral y el estado civil, reportando que los odontólogos casados están más satisfechos laboralmente. Dehghanmehr et al. [29], en un estudio en Irán, concluye que el matrimonio y la duración del mismo conllevan a cierta saturación, por lo tanto el trabajo suele verse como un escape a tal estrés, resultado similar al reportado por Olatunji y Mokuolu [30] en una investigación en Etiopía, donde los trabajadores casados presentaron niveles superiores de satisfacción laboral que los solteros.
Respecto a la edad se encontró que aunque en todos los rangos de edades hay presente una insatisfacción, los más jóvenes tienden a estar más satisfechos que los más adultos; probablemente esto guarde relación con el trabajo de Castaño-Ragavli en el 2017 [31], donde se afirma que los jóvenes y las jóvenes tienen la capacidad de reinventarse, de adaptarse bien a los cambios, y esto, sumado a la vulnerabilidad socioeconómica de los mismos, hace que cuando estos empiezan a tener recursos económicos propios ven una proyección a futuro desde los procesos de formación que pueden emprender. Por consiguiente, al darse la transición de la universidad al mercado laboral por los jóvenes se evidencia una etapa de satisfacción comparable con la de los odontólogos de mayor edad. En este mismo sentido, se encontró significancia estadística entre la satisfacción laboral y la competencia laboral. Esto lo intenta explicar Villalobos [32], en Bogotá, con las inadecuadas condiciones laborales en que ha caído la profesión respecto al salario y la remuneración, ya que en todos los interrogados de su estudio exteriorizaban que existe una profunda desunión entre los odontólogos referente a la negociación de las ofertas laborales actuales.
Por último, se observan relaciones con significancia estadística entre la satisfacción laboral y el desempleo, teniendo en cuenta que la mayoría de los encuestados no sólo refirió haber estado sin empleo alguna vez, sino que admitió conduce a sentir frustración y tristeza frente a esta situación. Todo profesional en condición de desempleo se afecta negativamente en su identidad, impidiéndole independizarse y lograr su realización personal, afectando su proyecto de vida. Además, los obstáculos habidos para encontrar empleo por parte de los jóvenes forjan sensaciones de inutilidad y desidia que puede devenirse en deserciones profesionales, alteraciones de salud mental, uso de drogas, violencia, así como también en procesos migratorios fuera del país [33]. Todo lo anterior se traduce en miedo y estrés que puede empezar a generarse, inclusive, desde antes de culminar los estudios en el pregrado, como bien fue explicado por Bhagwani et al. [34], en la India, al reportar que las pocas oportunidades de trabajo en aquel país representan un estrés para los estudiantes de odontología. Dicho estrés consiste en las perspectivas futuras y el temor al desempleo de los estudiantes y los profesionales de la salud. De igual modo queda en evidencia el escaso logro de las expectativas trazadas previamente por los odontólogos, y más de la mitad admite que no volvería a escoger la odontología como su profesión. Lo anterior puede servir como referencia y evidencia para futuras investigaciones representando este estudio un aporte al perfeccionamiento del diagnóstico de la situación actual de la odontología, que daría lugar a la posibilidad de saber dónde enfocar el análisis para mejorar el ejercicio de esta profesión.
Conclusiones
Las diversas perspectivas acerca de la odontología recomiendan analizar la satisfacción y las condiciones laborales de quienes la ejercen, y conocer sus opiniones al respecto. Emprender un acercamiento multidimensional fue una de las intenciones del presente trabajo, observándose que la satisfacción de los odontólogos se relaciona con diversos factores, que pueden verse alterados por distintas variables. A su vez, en esta investigación se decidió inquirir acerca del cumplimiento de expectativas planteadas al salir al mercado laboral por parte de los odontólogos encuestados, obteniendo un resultado con predominancia negativa teniendo en cuenta condiciones laborales, financieras y calidad de vida, lo cual indica que la odontología no representa una excepción respecto a los demás campos laborales que se ejercen en Colombia [35]. No obstante, se requiere explorar más este campo, replicando este estudio en distintitas partes del país e implementando una mejor metodología. De este modo, se podrían obtener más resultados que permitan no solo analizar la situación actual, sino identificar y demostrar idóneamente las raíces del problema, e intentar inferir el advenimiento de las situaciones futuras de la odontología en el contexto nacional. Así mismo, es importante emprender seguimiento constante de los resultados de estudios referentes a la presente temática, ya que estos permitirían tomar decisiones gubernamentales en beneficio de la labor de la odontología en el país, evitando complicaciones asociadas al desconocimiento de la situación actual de la misma.
Las limitaciones encontradas al realizar este estudio corresponden a la poca disponibilidad de horarios por parte de algunos odontólogos para diligenciar el instrumento. Además, la dificultad para ubicarlos geográficamente según lo reportado por el REPS fue también una limitante para recoger los datos. Sin embargo, estas limitantes se minimizaron al resaltar la importancia de la investigación a la población de estudio y recordándole que estos resultados no repercutirían en su desarrollo profesional.
Conflictos de interés: los autores declaran no tener conflictos de interés.
Fuentes de financiación: no se contó con financiación externa para la elaboración de este manuscrito.
Literatura citada
1. Beltrán-Neira RJ. Historia y Filosofía de la Odontología. Rev Estomatol Herediana. 2013; 23(3):167-170.
2. González-Sandoval J, Martínez AM, Brand RP, Torres RS, Román GI, Mendizabal RE. Mapeo cromático dental a partir de imágenes digitales. ReCIBE. 2015; 4(3):1-22.
3. Ternera-Pulido JH. Planificación de Talento Humano en Salud Oral en Colombia. Acta Odontol Col. 2011; 1(1):77-92.
4. Ley 30 de Diciembre 28 de 1992. (Diario Oficial No. 40.700, 29 de diciembre de 1992).
5. Ley 100 de 1993, de Seguridad Social. (Diario Oficial, número 41.148 de 23-12-93).
6. World Health Organization. Working together for health: the World Health Report 2006. Geneva: WHO; 2006.
7. Estai M, Kruger E, Tennant M. Will producing more dentists solve all the workforce issues in rural and remote areas. Australian Dental Journal. 2016. 61:262-263. DOI: 10.1111/adj.12423
8. Raziq A, Maulabakhsh R. Impact of Working Environment on Job Satisfaction. Procedia Economics and Finance. 2015. 23:717-725. https://doi.org/10.1016/S2212-5671(15)00524-9
9. Moreno S, Vergara C, Murcia C, Moreno F. Caracterización del estudiante de medicina de la Pontificia Universidad Javeriana de Cali: aspectos sociodemográficos.Universitas Médica. 2016. 57(4):450-466. http://dx.doi. org/10.11144/Javeriana.umed57-4.cedm
10. Kumar-Sing J, Jain M. A study of employees’ job satisfaction and its impact on their performance. Journal of Indian Research. 2013. 1(4):105-111. DOI: 10.5296/jmr.v9i1.10420
11. Seraj B, Ghadimi S, Mirzaee M, Ahmadi R, Bashizadeh H, Ashoftech-Yazdi K, et al. Job satisfaction and its influential factors in dental academic members in Tehran, Iran. Ann Med Health Sci Res. 2014. 4(2):192-197. DOI: 10.4103/2141-9248.129035
12. Flórez-Acosta JH, Atehortúa-Becerra SC, Arenas-Mejía AC. Las Condiciones Laborales de los Profesionales de la Salud a partir de la Ley 100 de 1993: Evolución y un estudio de caso para Medellín.Rev Gerenc Poli. Salud. 2009; 8(16):107-131.
13. Goetz K, Campbell SM, Broge B, Dorfer CE, Brodowski M, Szecsenyi J. The impact of intrinsic and extrinsic factors on the job satisfaction of dentists. Community Dentistry and Oral Epidemiology. 2012. 40(5):474-480. https://doi.org/10.1111/j.1600-0528.2012.00693.x
14. Mann S. Is work satisfaction dependent on wage levels? Insights from a cross-country study. International Journal of Happiness and Development. 2018(4): 317-326. DOI 10.1504/IJHD.2018.096427.
15. Decharat S, Piriyalux P, Supandee M. Prevalence of Musculoskeletal Symptoms among Dental Health Workers, Southern Thailand. Advances in Preventive Medicine. 2016; (18):1-6. DOI: 10.1155/2016/5494821
16. Beri Y. A Study On Female Domestic Workers In India. Journal of Interdisciplinary Cycle Research. 2020. 12(6):1394-1403. DOI: 18.0002.JICR.2020.V12I6.008301.3171140
17. Fatima N, Iqbal S, Akhwand SY, Suleman M, Ibrahim M. Effect of gender differences on job satisfaction of the female employees in Pakistan. 2015. Int J of Econ , Fin and Man Sciences. 2015. 3(1):27-33. DOI: 10.116487/j.ijefm.20150301.14
18. Garcia-Orozco PA. Estereotipos de género en Colombia: una mirada desde lo Jurídico. Cali: Pontificia Universidad Javeriana Cali; 2016.
19. Al Jazairy YH, Halawany HA, Al Hussainan NA, Al Maflehi N, Abraham NB, Jacob V. Factors Affecting Job Satisfaction and Their Correlation with Educational Standards among Dental Assistants. Industrial Health. 2014; 52(4):324-333. DOI: 10.2486/indhealth.2014-0005
20. Kaipa S, Pydi SK, Krishna-Kumar RV, Srinivasulu G, Kumar-Darsi VR, Sode M. Career satisfaction among dental practitioners in Srikakulam, India. J. Int Soc Prev Community Dent. 2015; 5(1):40-46. DOI: 10.4103/2231-0762.151976
21. Al- Zubair NM, Sultan- Al-ak’halib M, Ghandour IA. Stress among dentist in Yemen. The Saudi Journal for Dental Research. 2015; 6(2):140-145. https://doi.org/10.1016/j.sjdr.2014.09.003
22. Uribe SE, Ide-Olivero J, Castro-Caro V. Factores que explican la satisfacción laboral de odontólogos en Chile.Rev Clin Periodoncia Implantol Rehabil Oral. 2014. 7(3):128-135. DOI: 10.1016/j.piro.2014.07.001
23. Belmar-Oviedo SA. Plan de negocios clínica dental de procesos estandarizados Tesis de maestría. Santiago de Chile: Universidad de Chile, Santiago de Chile; 2018.
24. Saavedra E. El Modelo Económico-Político de Chile: Desarrollo 115 Institucional en la Encrucijada. Economía y política. 2014; 1(1):115-146.
25. Ramírez, LM. Odontología y Ética: sobreoferta y sobreterapia. Int. J. Odontostomat. 2018; 12(1):57-75. http://dx.doi.org/10.4067/S0718-381X2018000100057
26. Gyllensten K, Andersson G, Muller H. Experiences of reduced work hours for nurses and assistant nurses at a surgical department: a qualitive study.BMC Nursing. 2017. 16(16):1-12. DOI 10.1186/s12912-017-0210-x
27. World Bank. World Development Report 2013: Jobs. Washington, DC: World Bank; 2012 DOI: 10.1596/978-0-8213-9575-2
28. Cui X, Dunning DG, An N. Satisfaction among early and mid-career dentists in a metropolitan dental hospital in China. J Health Leadersh. 2017; 9:35-45. DOI: 10.2147/JHL.S137071
29. Dehghanmehr S, Balouchi A, Shahdadi H, Bandadni E. The Relationship between Job Satisfaction and Marital Satisfaction in Nurses working in Amir Al-Momenin Hospital, Zabol, Iran in 2015. Scholars Research Library. 2016. 8(13):251-255.
30. Olatunji S., Mokuolu B. The Influence of Sex, Marital Status, and Tenure of Service on Job Stress, and Job Satisfaction of Health Workers in a Nigeria Federal Health Institution.African Research Review. 2014. 8(1):126-133. http://dx.doi.org/10.4314/afrrev.v8i1.10
31. Castaño-Ravagli M, Álvarez-Giraldo CM. El trabajo: concepciones de jóvenes que laboran en Call Centers en una ciudad intermedia colombiana. Rev latinoa cien soc niñez juv. 2017. 15(2):1223-1236. DOI: 10.11600/1692715x.1522929072016
32. Villalobos-Castro MJ. Limitaciones de la autonomía de los odontólogos en el sistema de salud colombiano actual. tesis de magister. Bogotá: Universidad Javeriana; 2011.
33. Golpe V. La experiencia laboral: ¿determina para las organizaciones la contratación de Jóvenes recién graduados y les acarrea repercusiones? Tesis de grado. Montevideo: Universidad de la República; 2015.
34. Bhagwani H, Kumar-Mishra S, Yadav N. Choosing dentistry as a career: A matter of concern – a survey. N Niger J Clin Res. 2017; 6(9):16-20. DOI: 10.4103/nnjcr.nnjcr_20_16
35. Zambrano M, Durán-Urrea MM. El efecto espejo: sexo, género y cuidado en las trayectorias profesionales y las jerarquías morales y laborales de la antropología en Colombia.Revista Colombiana de Sociología. 2017. 40(2):87-106. http://dx.doi.org/10.15446/rcs.v40n2.66386
Enlace alternativo
https://revistasum.umanizales.edu.co/ojs/index.php/archivosmedicina/article/view/3864 (html)