Artículo de Investigación
Positive education in college students: the effects of the “self-knowledge and soul care” workshop on the emotions and character strengths
Educación positiva en estudiantes universitarios: efectos del taller “autoconocimiento y cuidado del alma” sobre las emociones y fortalezas del carácter
Positive education in college students: the effects of the “self-knowledge and soul care” workshop on the emotions and character strengths
Archivos de Medicina (Col), vol. 21, núm. 2, pp. 386-402, 2021
Universidad de Manizales
Recepción: 11 Diciembre 2020
Corregido: 12 Abril 2021
Aprobación: 17 Abril 2021
Abstract: Objective: most healthy and unhealthy behaviors are acquired or consolidated during youth, thus a good investment in the future of any nation, should be to promote the de- velopment of young people, incorporating them into projects and programs that aspire to increase their subjective wellbeing and personal health. The Psycho-Educational Intervention (PEI) presented here has been shown to have effects on the health and wellbeing of students as well as on their academic performance. However, its effects on strength of character, emotional balance and emotional intelligence are unknown. Materials and methods: in this paper it was shows the effects of this PEI on positive education in a group of 18 students through three questionnaires: VIA-240, PANAS-20 and PIEMO. To estimate the effects of the PEI, a comparison was made between the scores obtained on the three questionnaires before and after the PEI sessions. Results: the results show that not only did character strengths, positive affect and emotional intelligence improve with PEI, but that also the character strengths and the emotional bearings arranged in a network topography changed with intervention. Also, there were some changes in the most connected nodes of the network. Conclusions: these results show that PEI improved the previous reported variables, they also show the way in which the balance of the positive and negative affects, the development of emotional intelligence and the enhancement of character strengths give access to the three pillars of positive psychology.
Keywords: welfare, health promotion, development, emotional intelligence, health education.
Resumen: Objetivo: las conductas más saludables y no saludables se consolidan durante la juventud, por lo que una buena inversión de futuro de cualquier nación, debe ser promover su desarrollo, incorporándolos en proyectos que aspiren a incrementar su bienestar subjetivo y su salud. Se ha demostrado que la Intervención Psicoeducativa (IPE) que aquí se presenta tiene efectos en la salud y el bienestar de los estudiantes, así como en su rendimiento académico. Sin embargo, se desconocen sus efectos sobre las fortalezas de carácter, el equilibrio emocional y la inteligencia emocional. Materiales y métodos: en este trabajo se muestran los efectos de esta PEI en la educación positiva en un grupo de 18 estudiantes a través de tres cuestionarios: VIA- 240, PANAS-20 y PIEMO. Para su estimación, se realizó una comparación entre las puntuaciones obtenidas en los tres cuestionarios antes y después de las sesiones de la PEI. Resultados: los resultados muestran que no solo mejoraron las variables analizadas, sino que también las fortalezas del carácter y las emociones que están dispuestos en una topografía de red, cambiaron con la intervención. Además, hubo algunos cambios en los nodos más conectados de la red. Conclusiones: estos resultados muestran que la PEI mejoró las variables reportadas anteriormente, también muestran la forma en que el balance de los afectos positivos y negativos, el desarrollo de la inteligencia emocional y la potenciación de las fortalezas del carácter dan acceso a los tres pilares de la psicología positiva.
Palabras clave: bienestar, promoción de la salud, desarrollo, inteligencia emocional, educación en salud.
Introduction
In traditional educational practice it is very common to see a separation between the “academic” curriculum and the personal and social development of students, more so in a university environment. This separation occurs despite the fact that several studies have shown that this personal and social development, not only forms people with better skills but has implications in their formal learning [1]. Further- more, educational practices not only divide the academic curriculum from individual development, but a high percentage of approaches in education are essentially cognitive, even when learning involves other skills such as technical, relational and emotional skills [1]. This is important since the fragmented education of our educational system, which is transmitted from generation to generation, has a major impact on many areas of our world (i.e., political, religious, environmental, social).
A pedagogical response to this fragmen- ted education and through the incorporation of emotional competencies in learning, is an integral education, which is a “perspective of intentional learning, aimed at strengthening a responsible, ethical, critical, participative perso- nality, feelings of solidarity, and with the ability to recognize and interact with the environment in order to build a cultural identity. Seeks to promote human growth through a process which involves a multidimensional view of the person, and tends to develop aspects such as the emotional, intellectual, social, material and ethical-value-related intelligences” [2].
From this perspective, learning a profession involves not only the acquisition of a specific body of knowledge and of the procedures pertaining to the profession, but also the adoption of values, attitudes and behaviors that contribute to student participation in the transformation and improvement of the conditions of the social environment and personal wellbeing. That is, the formation and development of human beings then comprise “the development of the spirit through culture; the intellect, through academic life; the feelings and emotions, through conviviality and artistic life; the physical integrity, through sport and guid- ance to health; and the social life through civic activities” [2]. Thus, human development, even when it is essential for a viable society, should be focused mainly on the conscious pursuit of individual happiness.
In this regard, throughout the history of hu- manity, happiness and wellbeing have been states that many human beings desire, but it is still confused as to how to get to those treasured goods, and it understands even less how they could be linked to education. In general, as Arguís-Rey, et al. [3] said “there is a belief that the wellbeing and happiness of their students will automatically occur in the future by having had a formal education, a job and a family. But teachers do really help their students to learn how to be happy? And if happiness and wel- fare are the goods that humans most desire, why not cultivate them on a daily basis in the classroom?”
It is therefore evident that universities have a new challenge to face, in addition to that of training competent professionals, and it is to improve education and build an environment that propitiates healthy behavior in students and teachers and that will in turn be reflected in the degree of happiness and the quality and styles of their lives. That is, without a college education for human development, it would be unlikely to achieve a better society.
Given the importance of an integral education, several universities have developed programs to improve the health and wellbeing of their students [4]. However, most programs or interventions focus on individual behavior, putting aside several findings that document the prevalence of multiple risk behaviors among young people [4,5]. From this perspective, addressing health and wellbeing in their multidimensional aspects among youngsters, not only requires a greater number of programs, which makes them expensive, but may be less attractive and less effective than programs that ad-dress the complexity of the healthy behavior [6].
In the educational domain, this interest has evolved into the domain of “Positive Education”, a growing area that aims to integrate positive psychology elements with educational practices in order to encourage wellbeing and improve mental health [7]. In that respect, since 2000, there have been some widespread community-based positive psychology initiatives and interventions at primary and secondary schools, colleges and universities have also adopted them [8].
White and Murray [9] have distinguished that, “Positive education programs in schools appear in three forms: empirically validated and scientifically informed well-being intervention programs that have impact on well-being; scientifically-informed proactive strategies for the whole school mental health programs in schools; and specific virtues or values and character-based education lessons based on philosophy or values-based learning (p. 14)”. For example, Martin Seligman developed a model called “PERMA” (positive emotions, engagement, positive relationships, meaning, and achievement), this highlights five enabling conditions for wellbeing in children and adults, and he demonstrated the model’s applicability in school and classroom settings [10]. This model has recently become the theoretical foundation for the development of the Maytiv program (the Hebrew term for “Doing Good”), which was approved by the Israeli Ministry of Education, and has served over 5000 teachers and 50,000 children and adolescents in the Israeli educational system [11].
An alternative initiative is The Penn Resiliency Program (PRP), which is a program designed for the prevention of and resistance to the epidemic of depression among youngsters. The theoretical foundation for this program is the concept of optimism-pessimism elaborated by Seligman, which has a decisive impact on the total functioning of humann beings [12].
Another kind of positive intervention is the “Three Blessings” program for supporting positive emotions. This initiative elaborated by Frederickson [13] showed that children in a positive frame of mind learn faster, and because of their positive emotions, their intellectual resources are increased, their social skills rise, and their physical fitness improves [12].
Lastly, Marrero et al., [14] designed a positive psychology intervention (PPI) with cognitive behavioral therapy (CBT) techniques. The goal was to promote both hedonic and eudaimonic components of wellbeing as well as some positive functioning variables, and these have been shown to be related to wellbeing in college students.
There are claims about the benefits of positive education which sometime exceed the existing evidence on the effectiveness of such programs. These emphasized the need for more rigorous research and stronger empirical evidence of the feasibility and effectiveness of positive psychology school-based interventions [11].
With all this in mind, a psycho-educational intervention (PEI) was built and incorporated into the “academic” curriculum of the Universidad Veracruzana, which considered the integral education and the three pillars of Positive Education [7]: the promotion of positive emotions and positive traits in the students (personal virtues and strengths) and creates positive institutions that facilitate the development of positive emotions and traits. Thus, the objectives of the PEI are aimed at improving the academic performance and to promote healthy lifestyles through the development of life skills and self-knowledge [15].
In addition, PEI includes strengthening their sense of life and their meaning of suffering because, according to Seligman [16], health and wellbeing includes the achievement of three pillars: the “pleasant life”, in which life is an experience of positive emotions, focusing mainly on the sensory and emotional plea-sures, which are ephemeral and dependent on external circumstances; the “committed life”, which is the result of using personal strengths to obtain benefits in key areas of life, and the “meaningful life”, which is the use of personal strengths, virtues and characteristics to serve a purpose that transcends individual concerns [17,18].
Until now it has been measured the effects of PEI on several aspects of health and wellbeing [15,19,20]. In summary it was found that PEI significantly improves student behavior, which also leads to a better state of health and wellbeing. In addition, the analysis indicated that not only the level of development of each response variable was of considerable magnitude and was statistically significant after PEI, but that it had a hierarchy of importance in the variables of the health and wellbeing inventory; by first influencing the physical variables, followed by mental and emotional, and finally by those relative to the being and sense of existence [15]. Based on previous findings it was proposed a hierarchy that goes according to the hierarchy of human needs by Maslow [21].
In addition, as a way to test the multidimensional properties of health and behavior [22,23,24,25,26], it was considered whether the variables analyzed in the five questionnaires were dependent or independent variables before and after IPE, hoping to reveal the existence of a network running the psycho-emotional state of an individual [19]. It was found that the correlation values of psycho-emotional variables measured by the five questionnaires, are organized as a network in which the most important variables or the most connected nodes (hubs) are thought (S7), communication (S9), intimacy (S10), purpose of life (PIL) and risk behaviors (R), both in women and men; while breathing (S2), transcendence (S12), find meaning (S11), play/ work (S8) and self-responsibility and love (S1), are secondary nodes that connect with the rest of the variables. It was proposed that PEI first activate the network by thought and communication, which in turn activate the secondary centers and then the rest of the variables; thus determining the psycho-emotional state of the person [19], which is in line with the famous proverb “Mind precedes all things; mind is their chief, mind is their maker. If one speaks or does a deed with a mind that is pure within, happiness then follows along like a never departing shadow” (Dhammapada 1) and also in line with the cognitive-behavioral approach [27] in which, thinking, when translated into emotion or action, can promote happiness or suffering, depending on the nature of thought itself, like love or hate, respectively.
Finally, it was also tested if PEI had any effect on the academic performance of students. By comparing the students’ grades, it was found that there was an improvement in their academic performance after PEI [20]. This concurs with the main tenant of Positive Education, happiness and wellbeing are linked to improve learning. That is, PEI indirectly served as a means of promoting happiness through the development of skills and strengths that lead individuals to enjoy things, to achieve a balance, and feel satisfied with life [3,7].
So far it has been have provided evidence that PEI improves student’s health and well- being, the integration of the individual multidimensions and its functions by its feedbacks, and their academic performance. However, it does not know if there are specific changes in their affects, character strengths or in their emotional intelligence. According to positive psychology and education, to know this not only could be the key to understand in detail the process of change and the phase in which the individual is, but the mechanisms to improve the students’ reactions to PEI and their lives [7]. Thus, the purpose of this research was to measure the effects of PEI in positive and negative affects, character strengths and emotional intelligence, and also in the degree of association of these variables.
Materials and methods
Experimental Design and Selection of Participants
The present study had a pre-post test design. The participants were recruited from students registered in a professional career at Universidad Veracruzana and of 19-30 years of age. Sample size was limited to a maximum of 30 students, since the effectiveness decreases if the number of participants is above thirty [28].
In this way, 18 participants were registered in the Group and finished the PEI, 12 of which were women and 6 were men. The average age was 22 years, and 9 were studying Nursing and 9 were from other faculties.
All of the students (n=18) were invited to take part in the study and then asked to sign a form of Informed Consent if they volunteered to participate. The College of Researchers at the Nursing School of the UV reviewed and approved the protocols used to gather the data.
Instruments of Measurement: Questionnaires
Values in Action Inventory of Strengths (VIA- 240) [29]. This instrument consists of 240 items distributed in 24 subscales: kindness, fairness, love, gratitude, integrity, open-mindedness, curiosity, love and learning, appreciation of beauty, citizenship, hope, leadership, humor, social intelligence, persistence, bravery, for- giveness, creativity, humility, perspective, prudence, vitality, self-regulation and spirituality. Each character strength is assessed by 10 items, using a 5-point Likert scales ranging from 1= very much like me to 5= very much unlike me. The explained variance of VIA-240 was 68.62%. Cronbach’s alpha for all scales are a > .70, with test–retest correlations over four months indicating good test–retest reliability, allrs ≈.70. Scale scores are however negatively skewed (mean scores typically range from 3.5 to 4.0 on a potential 1–5 range), although they are still variable (standard deviations range from .5 to .9) [30]. This instrument has been validated for the Mexican population with very similar reliability [31].
Positive Affect and Negative Affect Schedule (PANAS-20) [32]. Contains 20 words describing different feelings or emotions. Each person selects an answer in order to rate to what extent she/he generally has experienced these feelings, using a 5-point Likert scale (1= very slightly, 5 = extremely). The 20 items are distributed in two factors: Positive Affect (PA) and Negative Affect (NA); in turn the NA is divided into fear/shame and anger/disgust. The 10-item PA scale includes adjectives such as strong, proud, and interested. The 10-item NA scale includes adjectives such as afraid, ashamed and nervous. Cronbach’s were .87 for PA and .89 for NA in the present study. The explained variance was 48.98%. Five groups were created from combinations of affect and determined by the participants’ positive and negative affect scores. Those subjects with scores above the mean are considered high in positive and negative, those who scored below average were considered low in affect and those who scored in the average were considered medium. The low level for positive affect was = < 2.77 and for negative affect = < 1.44, the medium level for positive affect was from 2.78 to 3.78 and for negative affect from1.45 to 2.45, and the high level for positiveaffect was = > 3.79 and for negative affect = >2.46 [33]. Finally, the emotional balance was calculated dividing the average of the positive scores between the mean of the negative scores [33]. This instrument has been validated for the Mexican population [34].
Intelligent Emotional Profile (PIEMO) [35]. This questionnaire has 161 items grouped in 8 scales: Impulse inhibition, empathy, optimism, social skills, emotional expression, achievement acknowledgment, self-esteem and noble. Its answers are dichotomous true/false. The Cronbach alpha was 0.894. This instrument has been validated for the Mexican population [35].
Procedure
The three questionnaires were applied during the first day and the day before the end of the PEI (on the fourteenth session). The PEI “Self- knowledge and Care of the Soul” was taught in the inter-semestral period of summer (between May and July) 2015, every day of the week, in a garden of the Ecologic Park near the Veracruz Region campus of the UV.
The PEI consists of a total of 15 sessions, one per day from Monday to Friday, for a period of three weeks. PEI includes different methodologies, which offer the participants an opportunity to engage in their personal introspection and knowledge [36].
These methodologies consisted of exercises of Deep Ecology, breathing and meditation techniques with elements of the Spiritual Self Schema Therapy (3S), body exercises, narrative therapy exercises (For more details on the nature, sequence and duration of PEI’s activities see Romo-González and González- Ochoa [36]).
PEI registers as response variables: char- acter strengths, positive and negative affects, and their emotional intelligences, which were scored for individual participants before and after the PEI.
Data Analysis
Before applying the statistical tests, it was verified that all the variables fulfilled the assumption of normality and homogeneity of variances. The statistical significance of the before and after comparison was done with the t-test for paired samples and independent data [37]. A Principal Components Analysis was conducted for the ten variables (wisdom, courage, humanity, justice, temperance and transcendence of VIA-240; positive affect, negative affect andemotional balance of PANAS-20 and the emotional coefficient of PIEMO) before PEI, after PEI, and the factor score of the components associated with linear regression models. All analyses were performed in Statistica 7.0 StatSof, Inc. 1984-2004.
Network Analysis
Pearson’s correlations of the response variables within each questionnaire and between questionnaires were calculated before and after PEI as a measure of the association among the variables. Subsequently, Pearson correlations obtained were plotted by UCINET 6 for Windows software [38]. This methodology assumes that the way the members of a group communicate with each other affects some important properties of the group (such as performance, leadership, work satisfaction, etc.). Herein it was studied the chain of behavioral changes of the response variables, which occurred within each of the participants after PEI.
Ethical considerations: the project was ap- proved by the ethics and research committee of the Nursing faculty of the Universidad Veracruzana. All students were invited to participate in the study, the purpose was explained to them and they signed an informed consent. The requirements of the Helsinki declaration and local regulations on research ethics were met.
Results
Character strengths, positive affect and emotional intelligence improve with PEI
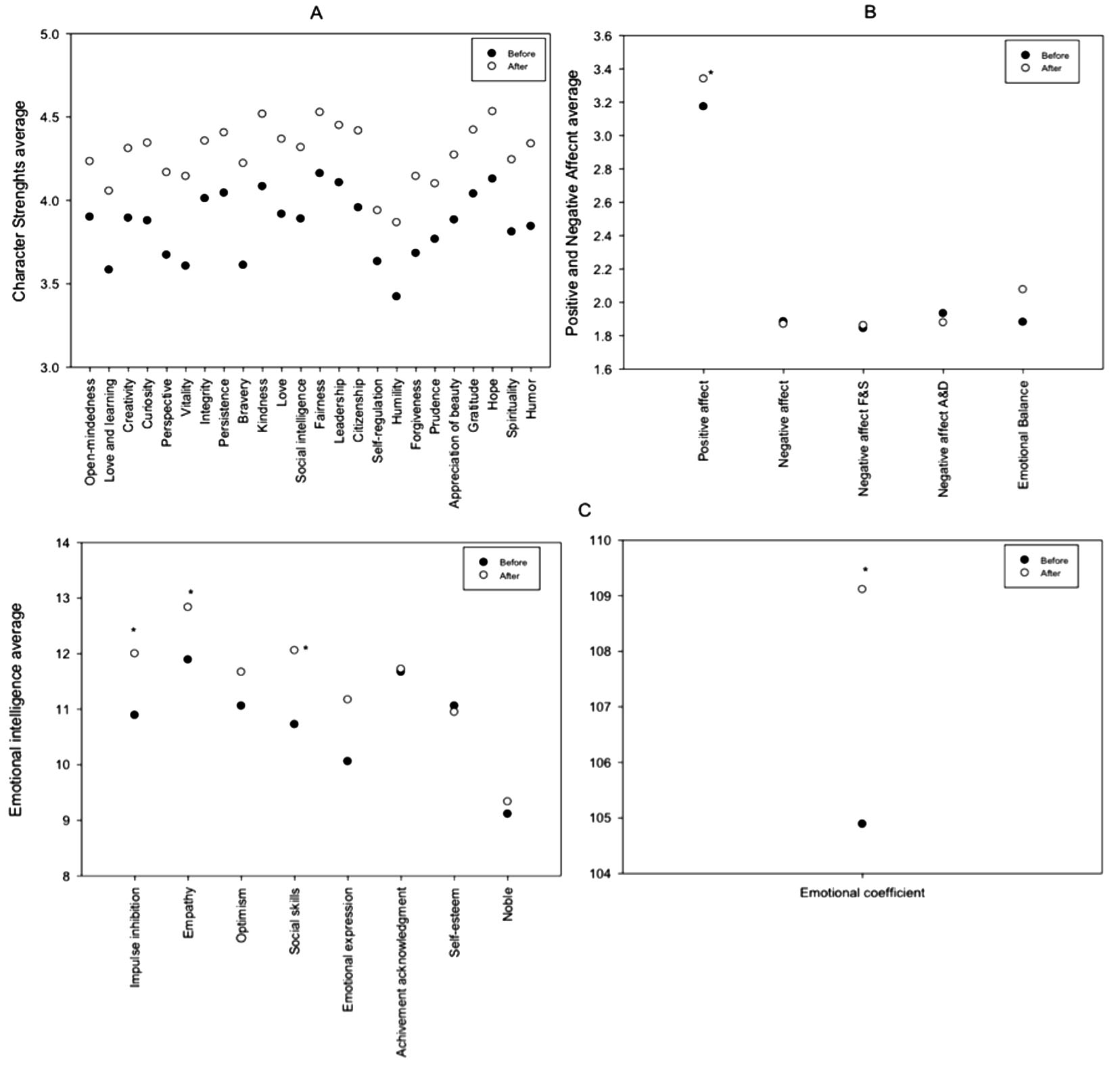
Figure 1 shows the average scores before and after PEI of all the analyzed variables. As can be seen the twenty-four character strengths have a statistically significant improvement after PEI. In addition, when it was compared the scores in the sub-scales of PANAS, only positive affect changed significantly, and its affective profile was “average” before and after PEI. Finally, only the emotional coefficient, impulse inhibition, empathy and the social skills of the emotional intelligence profile showed statistically significant differences after PEI.

In addition, although most of the analyzedvariables showed statistically significant differences before and after PEI, not all of them were equally affected by it. To that respect, it is interesting that bravery, vitality and perspective were the three most affected variables by PEI (Table 1).

**P<0.0001, *P<0.05
project “positive education in college students”It was conducted Principal Components Analysis (PCA) to explore the interaction of the variables of the three instruments (VIA-240, PANAS-20, PIEMO). The variables of VIA-240obtained were: wisdom, courage, humanity, justice, temperance and transcendence; the variables of PANAS-20 were: positive affect, negative affect and emotional balance; and theemotional coefficient of PIEMO; having a total of 10 variables.
The saturation factor indicated that 9 out of 10 variables concentrate the highest linear combination scores in the first two components (PC1 and PC2) in both analy- sis PRE and POST were without statistical differences; these variables accounted for 76% of the total variation for PRE analysis and 80% of the total variation for POST analysis. More specifically PRE PEI, PC1 representing all sub-dimensions of VIA (wisdom, courage, humanity, justice, temperance and transcendence) accounted for 55% of the variance; whereas PC2, representing negative affect, emotional balance and emotional coefficient, explained 21% of the variance. In the case of POST PEI, PC1 representing the same variables (wisdom, courage, humanity, justice, temperance and transcendence) accounted for 52% of the variance; whereas PC2, representing positive affect, negative affect and emotional balance, explained 28% of the variance (Table 2).

The character strengths and the emotional bearings arearranged in a network topography that changed with PEI
In order to analyze if the variables follow a network topography, Pearson’s correlations of the response variables within each questionnaire and between questionnaires were calculated before and after PEI. As can be seen on Figure 2, the variables not only are associated with each other, but they form two coherent clusters that changed with PEI. In both networks, before and after PEI, one cluster groups in its majority the character strengths and the other the emotional bearings (positive and negative affects and the emotional intelligence features). However, after PEI (panel B) the positive affect leave the character strengths cluster to balance the negative affects, which lose some of its links with the character strengths. In addition, it is interesting that self-esteem and emotional expression are the nodes that connect the two clusters and empathy is introduced to the network by the association with spirituality (Figure 2).

Also, when the intensity of the connectivity was compared before and after PEI, it is worth noting that after PEI the network lost connectivi- ty but there is a more positive arrangement of its nodes. For example, even when gratitude stays as the most connected node before and after PEI, perspective, vitality, open-mindedness and appreciation of beauty gained connectivity after PEI (from rank 22 to 3, from rank 21 to 6, fromrank 14 to 9 and from rank 15 to 6, respectively(Table 3).

Discussion
Throughout the history of humanity, happiness and wellbeing have been states that many desires, but it does not know how to get those treasured goods, and even more how they are linked to education. To that respect, it is well known that learning a profession involves not only the acquisition of a specific body of knowledge and of the professional procedures involved, but also the adoption of values, attitudes and behaviors that contribute to student participation in the transformation and improvement of the conditions of the social environment and personal wellbeing. Universities have a new challenge to face, in addition to that of training competent professionals. This new challenge consists in improving education by means of building an appropriate environment that propitiates healthy behaviors conducive to increasing happiness and quality of life.
That is, without a college education for human development focused mainly on the achievement of individual happiness within a collective framework, it will be almost impossible to build a better society.
Since 2006, it was built a psycho-educational intervention (PEI). The objectives of PEI were are aimed at improving the academic performance and to promote healthy lifestyles through the development of life skills and self- knowledge [15]. Until now it has been measured the effects of PEI in several aspects of health and wellbeing [15,19,20], but it did not know if there were specific changes in their affects, their character strengths or in their emotional intelligence. This is very important since knowing these psychological aspects not only could be the key to understand in detail the process of change and the phase in life in which the individual is, but the mechanismsismimprove the students’ reactions to PEI and their lives. Thus, the purpose of this research was to measure the effects of PEI in positive and negative affections, character strengths and emotional intelligence, and also the degree of association of these variables.
When the twenty-four character strengths were analyzed after PEI, it was interesting that not only they improve with statistical differences with the intervention, but that bravery, vitality, perspective, love and learning, humility, humor and forgiveness were the seven characters to develop the most. To that respect, it has been reported that recovery from illness may play a salutogenic role in the development of certain character strengths [18]. In addition, even when all of them were arranged in a network topography from the beginning, after PEI this rearrangement was closer and more connected, and also there were some changes in the most connected nodes of the network, being perspective, appreciation of beauty, vitality and open-mindedness those most enhanced. Thereby, since a character strength is “a disposition to act, desire, and feel that involves the exercise of judgment and leads to a recognizable human excellence or instance of human flourishing” [39, p, 13], their increase and rearrangement in its connectivity by PEI could be a sign of recovery of psychological and social problems such as depression and dysfunctional relationships but also that the individuals are satisfied with life, which promotes that these individuals be good problem–solvers, show better work per- formance, tend to be more resistant to stress, and experience better physical health [30]. It is worth noting that some character strengths also remained in the ten most connected nodes of the network, such as gratitude, hope, bravery, curiosity and social intelligence, being gratitude the most connected one before and after PEI. Thus, it could be speculated that these are grounded in biology through an evolutio- nary process that has been selected for these predispositions toward moral excellence as a means of solving the important tasks necessaryfor survival of the species [30]. Also, these marked increases in some character streng- ths could explain the previous changes on the academic performance of students by PEI [20], since some aspects of good character have been studied in relation to academic achievement. For example, certain character strengths (perseverance, self-regulation, prudence, love of learning, hope, gratitude, perspective, tea- mwork and social intelligence) have been related to positive classroom behavior and school achievement most strongly [40]. To that respect, some studies [41,42] showed the relevance of self-regulation and grit for academic achievement beyond measured intelligence; similarly, hope has been shown to relate to academic achievement [43], and gratitude exercises can improve wellbeing in academic experience [44]. That is, even if good character does directly pro- mote to high levels of academic achievement, they will predispose students to show a set of more proximate behaviors [40].
With regard to positive and negative affect, only positive affect had a significant increase after PEI. Even when the negative affect did not change with the intervention, the Positive Affect alone reflects the extent to which a person feels enthusiastic, active, and alert and when it is high it points to a state of high energy, full concentration, and pleasurable engagement, whereas low PA is characterized by sadness and lethargy [31] which could explain our previous reported effects on well-being, health, purpose in life and meaning of suffering [15]. Furthermore, the network analysis shows that after PEI the positive affect leave the cluster of the character strengths and stay near the negative affect, the negative affect fear & shame and the emotional balance. Thus, while the negative affect and the emotional balance did not have a statistically significant change, the changes in its scores and connectivity of the positive affect makes their regulation possible. This same effect was observed in the principal component analysis in which the PC2 after PEI incorporate the positive affect in its cluster. Since negativeaffect is related to self-reported stress and poor coping [45,46], health complaints [47,48,49,50], and frequency of unpleasant events [51,52], this could also explain the previous results in the decrease of perceived stress and the improvement of health and wellness [15]. Also, it is interesting to note that in the network after PEI it is the character strength of citizenship which connects and maybe regulates the negative affect, while in the before network there are some others like leadership, creativity, bravery and social intelligence. Thus, as Fredrickson[53] has argued, positive emotion is not only a signal of wellness, but also one of the factors determining it. The feeling of happiness is not only an effect of prosperity in life, but also the basis for prosperity, and the upward spiral of positive emotions: “Positive emotions temporarily extend the repertoire of thoughts and patterns of behavior, and this extension provides the chance for durable personal resources to be accumulated. They in turn enable individual development and transformation by creating positive or adaptive spirals of emotions, cognitive acts and actions. Enrichment of personal resources diminishes vulnerability and as a consequence increases the chances of experiencing even more positive emotions” [12, pp. 6].
Lastly, the analysis of emotional intelligence shows that impulse inhibition, empathy, social skills and the emotional coefficient had a statistical increase after PEI. As many scientific reports and also some spiritual practices such as Buddhism [54] show that empathy (compassion) and impulse inhibition (equanimity) are sublime states of mind, which bring wellbeing and happiness. In addition, it is interesting that in the case of empathy, the network analysis shows that the after PEI empathy not only increased its scores but achieved connection with the character strength spirituality, while before PEI it was disconnected from the network.
All of these results show that PEI not only improved the previous reported variables, health, wellness, purpose in life and themeaning in suffering [15], but it shows the way in which the balance of the positive and negative affects, the development of emotional intelligence and the enhancement of character strengths gives access to the three pillars of positive psychology: the pleasant life, the engaged life and the meaningful life [53]. These results are similar to those showed in The Maytiv positive psychology-based program, since both have the potential to actas an integrative intervention that function as a bridge between educational approaches and practices in the field of SWB. Likewise, the Maytiv program promotes socio-emotional competencies and creates engaging and supportive school systems by translating the positive psychology approach into tangible tools and skills that can be integrated into their daily lives. Like emotion regulation training, it addresses topics such as awareness of emotional states and development of the capacity to monitor and regulate positive and negative emotions, and the cultivation of social and emotional skills. It fosters positive interpersonal relationships and supports acts of empathy [11].
It is important to say that even when the results are very intriguing, it was a small sample, and the participants were mostly women. Thus, it would be interesting to have a balanced and bigger sample in order to get more information about the effects and the way PEI works on the college students.
Also, as many theorists have postulated, despite the evidence of the growth of school- based positive psychology, positive education, and well-being programs across the world, there is a need to surpass the individual schools’ enthusiasm for positive education and to reach an integrated reform at a policy level. That is, “positive institutions” are needed, which are “organizational systems focusing on learning traditional capabilities as well as aiming to move individuals toward better citizenship, responsibility, nurturance, altruism, civility, moderation, tolerance, and work ethic” [55].
In this sense, the limitations of the study are related to the size of the sample and therefore the results are not generalizable. A future study is necessary to verify these evidences.
Conclusions
PEI improves not only several aspects of health and wellbeing but also the character strengths, the positive affect and the emotional intelligence. To that respect, it was interesting that that bravery, vitality, perspective, love and learning, humility, humor and forgiveness were the seven characters to develop the most. Also, after PEI the network rearrangement was closer and more connected, and there were some changes in the most connected nodes of the network, being perspective, appreciation of beauty, vitality and open-mindedness those most enhanced.
With regard to positive and negative affect, even when only positive affect had a significant increase after PEI, the network analysis shows that the positive affect leaves the cluster of the character strengths and stay near the negative affect, the negative affect fear & shame and the emotional balance. Thus, while the negative affect and the emotional balance did not have a statistically significant change, the changes in its scores and connectivity of the positive affect makes their regulation possible.
The analysis of emotional intelligence shows that impulse inhibition, empathy, social skills and the emotional coefficient had a statistical increase after PEI, and in the case of empathy, the network analysis shows that not only increased its scores but achieved connection with the character strength spirituality, while before PEI it was disconnected from the network.
Thus, PEI increases wellness, the character strengths, the positive affect and the emotional intelligence, but improves the balance of the positive and negative affects, the development of emotional intelligence and the enhancement of character strengths give access to the three pillars of positive psychology.
Acknowledgements
Authors would like to thank the administrative staff of the Nursing School, Region Veracruz, Universidad Veracruzana, who provided sup- port during the application and data collection. This project was partially funded by grant IN300415 (to MR Pozo-Hernández) from PA- PIIT (DGAPA, UNAM). Sara Robledo Waters proofread the manuscript.
Conflicts of interest: all authors declare that there are no conflicts of interest.
Sources of funding: this project was partially funded by grant IN300415 (to MR Pozo- Hernández) from PAPIIT (DGAPA, UNAM)
Cited literature
1. Chabot D, Chabot M. Emotional Pedagogy. To feel in order to learn: Incorporating emotional intelligence in your teaching strategies. Victoria: Trafford; 2004.
2. Ruiz-Lugo L. Formación integral: desarrollo intelectual, emocional, social y ético de los estudiantes. Revista Universidad de Sonora. 2007; 19:11-13.
3. Arguís-Rey R, Bolsas-Valero AP, Hernández-Paniello S, Salvador-Monge M. Programa aulas felices psicología positiva aplicada a la educación. 2da edición. Zaragoza: SATI; 2012.
4. The American College Health Association [ACHA]. American College Health Association–National College Health Assessment Spring 2008 Reference Group Data Report (Abridged): the American College Health Association. J Am Coll Health. 2009; 57:477-488.DOI: 10.3200/JACH.57.5.477-488
5. Prochaska JJ, Spring B, Nigg CR. Multiple behavior change research: an introduction and overview. Prev Med. 2008; 46:181-188.DOI: 10.1016/j.ypmed.2008.02.001
6. Benson PL, Scales PC, Hamilton SF, Semsa A Jr. Positive youth development: Theory, research, and applications. In ed. Lerner RM. Theoretical models of human development. Hoboken, NJ: Wiley; 2006. DOI: 10.1002/9780470147658.chpsy0116
7. Seligman ME, Ernst RM, Gillham K, Linkins M. Positive Education: positive psychology and classroom interventions.Oxford Review of Education. 2009; 35(3):293-311. https://doi.org/10.1080/03054980902934563
8. Huppert F, Cooper C. Wellbeing: A Complete Reference Guide. Wiley; 2014
9. White MA, Murray AS. Evidence-Based Approaches in Positive Education: Implementing a Strategic Framework for Well-being in Schools. New York: Springer; 2015.
10. Seligman ME. Flourish: A Visionary New Undertanding of Happiness and Well-being. New York: Free Press; 2011.
11. Shoshani A, Steinmetz S, Kanat-Maymon Y. Effects of the Maytiv positive psychology school program on early adolescents’ well-being, engagement, and achievement. J Sch Psychol. 2016; 57:73-92. http://dx.doi.org/10.1016/j.jsp.2016.05.003
12. Pluskota A. The application of positive psychology in the practice of education. Springerplus. 2014; 3(147):1-7. DOI: 10.1186/2193-1801-3-147
13. Fredrickson B, Tugade MM, Waugh CE, Larkin GR. What Good Are Positive Emotions in Crises? A Prospective Study of Resilience and Emotions Following the Terrorist Attacks on the United States on September 11th, 2001. J Pers Soc Psychol. 2003; 84(2): 365–376.DOI: 10.1037//0022-3514.84.2.365
14. Marrero RJ, Carballeira M, Martín S, Mejías M, Hernández JA. Effectiveness of a positive psychology intervention combined with cognitive behavioral therapy in university students.An de Psicol. 2016; 32(3):728-740. http://dx.doi.org/10.6018/analesps.32.3.261661
15. Romo-González T, Enríquez-Hernández CB, Riego-Azuara NA, Sánchez-Gracida OD, López- Mora G, Gantiva C, Larralde C. Body and Health, Mind and Wellness I: Effects of a Psycho-Educative Intervention for Healthy Human Devel- opment in Students of Nursing. RPBS. 2013; 1(2):16-30. DOI: 10.12691/rpbs-1-2-2
16. Seligman M. Positive psychology. Washington, DC: American Psychological Association; 2002.
17. Seligman M. La auténtica felicidad. Barcelona: Ediciones B; 2003.
18. Linley PA, Joseph S, Harrington S, Wood AM. Positive psychology: Past, present, and (possible) future. J Posit Psychol. 2006; 1(1):3-16. https://doi.org/10.1080/17439760500372796
19. Romo-González T, Enríquez-Hernández CB, Riego- Azuara NA, Sánchez-Gracida OD, López-Mora G, Gantiva C, Larralde C. Body and Health, Mind and Wellness: II. The Mechanisms Behind the Effects of a Psycho-Educative Intervention. RPBS. 2013; 1(5): 67-76. DOI:10.12691/rpbs-1-5-2
20. Romo-González T, Ehrenzweig Y, Sánchez-Gracida OD, Enríquez-Hernández CB, López-Mora G, Martínez AJ, Larralde C. Promotion of individual happiness and wellbeing of students by a positive education intervention. JBHSI. 2013; 5(2):79- 102. DOI: 10.5460/jbhsi.v5.2.42302
21. Maslow AH. A Theory of Human Motivation. Psychol Rev. 1943; 50(4): 370-396. https://doi.org/10.1037/h0054346
22. Nakken C. The Addictive Personality: Understanding the Addictive Process and Compulsive Behavior. Minnesota: Hazelden; 1998.
23. Bradshaw J. La Familia. México: Selector; 2000.
24. Becoña-Iglesias E. Bases Científicas de la Prevención de las Drogodepencias. Madrid: Delegación del Gobierno Nacional sobre Drogas; 2002
25. De León G. La Comunidad Terapéutica y las Adicciones. Teoría, Modelo y Método. España: Desclée de Brouwer; 2004.
26. Velasco-Fernandez R. Las Adicciones: manual para maestros y padres. México: Trillas; 2006.
27. Rachman S. A cognitive theory of obsessions. Behav Res Ther. 1997; 35(9): 793-802. DOI: 10.1016/s0005-7967(97)00040-5
28. Ayala-Velazquez HE, Cárdenas-López. Manual de autoayuda para personas con problemas en su forma de beber. México: Editorial Porrúa; 1998.
29. Peterson C, Seligman ME. Character strengths and virtues: A classification and handbook. New York: Oxford University Press/Washington, DC: American Psychological Association; 2004.
30. Park N, Peterson C, Seligman ME. Character strengths and well–being strengths of character and well–being. J Soc Clin Psychol. 2004; 23(5): 603-619. https://doi.org/10.1521/jscp.23.5.603.50748
31. Góngora-Coronado EA, Vásquez-Velázquez II, Hernández-Pozo MR, Romo-González T, González- Ochoa R, Gallegos-Guajardo J, et al. Explorando la Vida Buena en México. Las Fortalezas del Carácter y su Relación con la Felicidad. Rev Latin Medicina Conductual. 2019; 9(2):43-55
32. Watson D, Clark LA, Tellegan A. Development and validation of brief measures of positive and negative affect: The PANAS scales. J Pers Soc Psychol. 1988; 54(6):1063–1070.DOI: 10.1037//0022-3514.54.6.1063
33. Schutz E, Sailer U, Nima AA, Rosenberg P, Anderson-Arnten AC, Archer T, et al. The affective profiles in the USA; happiness, depression, life satisfaction, and happiness-increasing strategies. PeerJ. 2013; 1:e156. DOI:10.7717/peerj.156
34. Robles R, Francisco Páez F. Estudio sobre la traducción al español y las Propiedades Psico- métricas de las Escalas de Afecto Positivo y Ne- gativo (PANAS).Salud Mental. 2003; 26(1):69-75.
35. Cortés-Sotres JF, Barragán-Velásquez C, Vázquez- Cruz ML Perfil de inteligencia emocional: construcción, validez y confiabilidad. Salud Mental. 2000; 25(5):50-60.
36. Romo-González T, González-Ochoa R. Manual para el cuidado del alma. Quince sesiones de desarrollo humano saludable. México: Herder; 2017
37. Zar JH. Biostatistical analysis. Pearson Education India; 1999.
38. Borgatti SP, Everett MG, Freeman LC. UCINET 6 for Windows: Software for social network analysis. Harvard, MA: Analytic Technologies; 2002.
39. Yearley LH. Mencius and Aquinas: Theories of virtue and conceptions of courage. Albany, New York: State University of New York Press; 1990.
40. Wagner L, Ruch W. Good character at school: positive classroom behavior mediates the link between character strengths and school achievement. Frontiers in Psychology. 2015; 6:1-13. DOI: 10.3389/fpsyg.2015.00610
41. Duckworth AL, Seligman ME. Self-discipline outdoes IQ in predicting academic performance of adolescents. Psychological Science. 2005; 16(12):939-944.DOI: 10.1111/j.1467-9280.2005.01641.x
42. Duckworth AL, Peterson C, Matthews MD, Kelly DR. Grit: perseverance and passion for long-term goals. Journal of Personality and Social Psychology. 2007; 92(6):1087-1101. https://doi.org/10.1037/0022-3514.92.6.1087
43. Levi M, Moore KT, Castillejos CF, Kubitza D, Berkowitz SD, Goldhaber S. et al. Comparison of three-factor and four-factor prothrombin complex concentrates regarding reversal of the anticoagulant effects of rivaroxaban in healthy volunteers. J Thromb Haemost. 2014; 12(9):1428- 1436. DOI: 10.1111/jth.12599
44. Emmons RA, McCullough ME. Counting Blessings Versus Burdens: An Experimental Investigation of Gratitude and Subjective Well-Being in Daily Life. J Pers Soc Psychol. 2003; 84(2):377–389. DOI: 10.1037/0022-3514.84.2.377
45. Clark LA, Watson D. Diurnal variation in mood: Interaction with daily events and personality. Paper presented at the meeting of the American Psychological Association, Washington, DC. 1986.
46. Wills TA. Stress and coping in early adolescence: Relationships to substance use in urban school samples. Health Psychol. 1986; 5:503-529. https://doi.org/10.1037/0278-6133.5.6.503
47. Beiser M. Components and correlates of mental well-being. JHSB. 1974; I5(4):320-327.
48. Bradburn NM. The structure of psychological well-being. Chicago: Aldine; 1969.
49. Tessler R, Mechanic D. Psychological distress and perceived health status. J Health Soc Behav. 1978; 19(3):254-262. https://doi.org/10.2307/2136558
50. Watson D, Pennebaker JW. Health complaints, stress, and distress: Exploring the central role of negative affectivity.Psychol Rev. 1989; 96(2): 234-254. DOI: 10.1037/0033-295x.96.2.234
51. Stone AA. The association between perceptions of daily experiences and self- and spouse-rated mood. J Res Pers. 1981; 15(4):510-522. https://doi.org/10.1016/0092-6566(81)90047-7
52. Warr P, Barter J, Brownbridge G. On the indepen- dence of positive and negative affect.J Pers Soc Psychol. 1983. 44(3):644-651. https://doi.org/10.1037/0022-3514.44.3.644
53. Seligman M, Steen TA, Park N, Peterson C. Positive Psychology Progress: Empirical Validation of Interventions. Am Psychol. 2005; 60(5):410-421. DOI: 10.1037/0003-066X.60.5.410
54. Thera N. The Four Sublime States: Contemplations on Love, Compassion, Sympathetic Joy and Equanimity. Malaysia: Inward Path; 1994.
55. White M. Why won’t it Stick? Positive Psychology and Positive Education. Psych Well Being. 2016; 6:1-16. DOI: 10.1186/s13612-016-0039-1
Enlace alternativo
https://revistasum.umanizales.edu.co/ojs/index.php/archivosmedicina/article/view/4098 (html)