Artículo de Investigación
Analysis of the nutritional status of adolescents in the state of Pará, Brazil
Análisis del estado nutricional de adolescentes en el estado de Pará, Brasil
Analysis of the nutritional status of adolescents in the state of Pará, Brazil
Archivos de Medicina (Col), vol. 21, núm. 2, pp. 335-336, 2021
Universidad de Manizales
Recepción: 13 Enero 2021
Corregido: 10 Abril 2021
Aprobación: 27 Abril 2021
Abstract: Objective: to analyze the nutritional status of adolescents in the state of Pará, Brazil, in order to observe the trends in the Height x Age and BMI x Age indexes. Material and Methods: it was a quantitative, retrospective, and cross-sectional study from 2010 to 2019. The female and male sex were evaluated in each nutritional status index "Height x Age" and "BMI x Age". The collected data were organized in Microsoft Excel 2010 software and statistics was performed in the Action Stat 3.7 program. The ethics and investigation committee’s assessment was not necessary. Results: in "Height x Age", a total of 132,114 adolescents, age ≥ 10 and < 20 years, were registered and the female gender prevailed (65.8%), normality in the distribution of data was observed and no difference was noted in this category. In the "BMI x Age", 132,204 were reported, a normal distribution was found, but there was a statistical difference between sexes in the categories: "overweight", "obesity", "severe obesity" and "eutrophy", which represented the largest percentage (73.4%).Conclusion: the population is mostly female, and the distribution of records is heterogeneous. Both sexes were shown to be of adequate height for their age and eutrophic. However, it was noticed the nutritional scenario is changing, which may lead, in the future, to public health problems, such as the increase in the number of patients with chronic non-communicable diseases.
Keywords: public health, food consumption, anthropometry, nutritional transition.
Resumen: Objetivo: analizar el estado nutricional de los adolescentes en el estado de Pará, Brasil, con el fin de observar las tendencias en los índices Talla x Edad e IMC x Edad. Material y Métodos: fue un estudio cuantitativo, retrospectivo y transversal de 2010 a 2019. Se evaluó el sexo femenino y masculino en cada índice de estado nutricional "Altura x Edad" e "IMC x Edad". Los datos recopilados se organizaron en el software Microsoft Excel 2010 y las estadísticas se realizaron en el programa Action Stat 3.7. No fue necesaria la evaluación del comité de ética e investigación. Resultados: en "Talla x Edad" se registró un total de 132.114 adolescentes, edad ≥ 10 y <20 años y predominó el género femenino (65,8%), se observó normalidad en la distribución de los datos y no se notó diferencia en esta categoría. En el "IMC x Edad" se reportaron 132.204, se encontró una distribución normal, pero hubo diferencia estadística entre los sexos en las categorías: "sobrepeso", "obesidad", "obesidad severa" y "eutrofia", que representaron el mayor porcentaje (73,4%). Conclusión: la población es mayoritariamente femenina y la distribución de registros es heterogénea. Se demostró que ambos sexos tenían una estatura adecuada para su edad y eran eutróficos. Sin embargo, se advirtió que el escenario nutricional está cambiando, lo que puede generar, en el futuro, problemas de salud pública, como el aumento del número de pacientes con enfermedades crónicas no transmisibles.
Palabras clave: salud pública, consumo de alimentos, antropometría, transición nutricional.
Introduction
In view of the idea of economic development adopted by Brazil, which has urbanization as apriority, changes in the Amazonian community’s life style have emerged, bringing with it the “nutritionaltransition” phenomenon, which consists in a new dietary pattern adoption, by means of the inclusion of consumption of industrialized products, rich in carbohydrates and fat, replacing those of natural origin [1].
This new model, which is consolidated through cultural and physical transformations, and strongly impact the behavioral aspects ofindividuals, sets precedents for instability in thenutritional situation of the population, exposing them to greater epidemiological risks, suchas overweight, diabetes and cardiovascular diseases [2].
In this sense, it is observed that changes resulting from modernity, brought a new meaningof “eating” through the distancing of individuals from the food production process, keeping the consumer in a secondary role to their habits, which become defined based on what is offered by the market, replacing the use of organicproducts for processed products [3].
At the same time, adolescents tend to be the most impacted and influenced by these transformations, with this life stage being in the greatest risk for the installation of dietary problems, due to significant physical and psychological changes, with increased caloric, proteinand vitamin needs, which present singularities according to sex, therefore, the relevance of monitoring and implementing preventive actions[4,5].
In addition, the transition of habits and nutritional needs associated with decreased physical activity and other behaviors linked to sedentarism, exposes adolescents to thepossibility of also acquiring chronic non-com-municable diseases [6], that can be associated with psychological disorders originating from dissatisfaction with their own body, leading to the idea of impaired self-image, in both sexes, besides eating disorders [7,8,9].
Therefore, there are public policies that present as some of its objectives, assistance to adolescent nutritional condition, such as the School Health Program and the National School Health Survey (PeNSE), although, even so, overweight persists as a growing public health problem among this population, with a tendency to remain throughout adulthood, since it is at this stage that eating patterns are consolidated [10]. However, the maintenance of the vulnerability scenario is perpetuated, since health suffers interference from socioeconomic contexts and ineffective public policies in the national territory [11].
In this perspective, as a way of monitoring the nutritional situation of the Brazilian population, the Food and Nutritional Surveillance System (SISVAN), through notifications, aims to identify nutritional risks and tries to carry outactions in advance, in addition to having the objective of standardizing the diagnostic indicators for eating disorders [12]. Theoretically, the system must receive data on anthropometric assessment and food consumption by filling out forms, and the collection, for each individual registered in SISVAN, aged two years and over, should be performed at least once a year [13].
Therefore, in view of the risk situation faced by the adolescent population, the changes occurring in the Amazon scenario and the roleplayed by SISVAN, the objective of the present research was to analyze the nutritional status of adolescents, both female and male, in the state of Pará, Brazil, in order to observe the trends of the categories of the Height x Ageand Body Mass Index (BMI) x Age indexes,in a decade.
Material and methods
This study consisted of a quantitative, retrospectiveand cross-sectional approach. There search was carried out in Pará state, Brazil(Figure 1), a federative unit with 1,245,870.798Km², located in the Brazilian northern region[14]. Data were extracted from the Food and Nutrition Surveillance System (SISVAN), administered by the Ministry of Health, in line with the Secretariat of Primary Health Care,which allows public access to reports on nutritional status, food consumption and nutritional monitoring.

The used data comprised the range from 2010 to 2019, for all thirteen health regions presented on the platform citing: Araguaia,Baixo Amazonas, Carajás, Lago de Tucuruí,Marajó I, Marajó II, Metropolitana I, MetropolitanaII, Metropolitana III, Rio Caetés, Tapajós,Tocantins, Xingu. Life stage chosen for the analysis was adolescence, comprising age ≥10 and < 20 years. In this sense, regardless ofrace/color, education, people and community, both female and male were assessed in each nutritional status index: “Height x Age” and “BMIx Age”. At the same time, registered follow-upswere adopted, using only the data from SISVAN- Web, in absolute numbers.
All categories, for each index, were included. They are for “Height x Age”: very low heightfor age (VLHA), low height for age (LHA) and appropriate height for age (AHA); and for the“BMI x Age”: marked thinness (MT), thinness(T), eutrophy (E), overweight (OW), obesity (O)and severe obesity (SO). The collected datawere organized with the aid of Microsoft Excel2010 software, which allowed the productionof graphs and tables for the explanation of the records.
In the statistical processing, the Action Stat3.7 software was used. Shapiro-Wilk test was calculated at 5% probability for normality, arithmetic mean, standard deviation and the T testat 5%, with a normal distribution. These procedures were adopted, in an attempt to avoid data duplication and incorrect interpretations ofthe categories referring to the indexes, whichconfigured, together with the tabulation of thenumbers, the risks of the analysis.
Furthermore, as this is data present on apublic access platform, the research was not sent to the ethics and investigation committee for evaluation, following the determination of law 12,527/2011, which regulates access to public data throughout the national territory in accordance with the Brazilian Federal Constitution [15]. No participant was interviewed, who are identified in the database just as numbers, therefore, maintaining confidentiality.
No data related to the indexes and their respective categories observed was excluded, and any complications were described, when identified.
Results
Data were collected from the 13 health regions, which comprise the 144 municipalities that make up the state of Pará. Of these, Metropolitana III concentrated the largest numberof cities, 22, while Metropolitana I, has only 5 locations.
Analysis of the “Height x Age” Index:
A total of 132,114 adolescents were registered in this index, with females representing approximately 65.8%, and males 34.2% of the total notifications. The health regions that most reported to SISVAN were Baixo Amazonas and Carajás, with 17.8% and 16.7%, respectively. However, the regions of Marajó II and Tapajós had the lowest records, 0.18% and 0.17%,respectively, in ten years (Table 1).
When analyzing the categories “VLHA”,“LHA” and “AHA” per year, across the stateand for each sex, normality was observed in the distribution of data for both females (pvalue= 0.1198; 0.1159; 0.7838), and for males(p-value = 0.1731; 0.0993; 0.5738), respectively. Furthermore, there were no statistical differences between the means of the sexes for the following categories: “VLHA” (p-value =0.9224), “LHA” (p-value = 0.2646) and “AHA”(p-value = 0.0648).
The category that registered the most notifications was “AHA”, with approximately 80.9%(106,852) of the total number of registered individuals, regardless of gender. Here, for females and males, the averages were 7,243 and 3,442.2 individuals reported per year on the platform and the standard deviations were 2,308.07 and 1,650.98, respectively, showing that in both sexes, data dispersion over the evaluated decade is quite heterogeneous, sometimes with highs, sometimes with casualties.

Where: VLHA = Very Low Height for Age; LHA= Low Height for Age; AHA = Appropriate Height for Age; F = Female; M = Male.
Ministry of Health/Secretariat of Primary Health Care - Food and Nutritional Surveillance System (SISVAN)This pattern was perceived in the graphic explanation of the records (Figure 2 - AHA),in which the female sex was also noticeable, representing 67.8% (72,430) of the total of thiscategory, exceeding in all years the number of notifications in comparison to the male portion, which comprised 32.2% (34,422). In addition, 2012 had the highest records, equivalent to16.7% (17,887). However, comparing this yearto 2019, in both sexes, which was 8.6% (9,192), there was a decrease of approximately 51.4%. Although, timidly, the number of new adolescents has increased since 2016.
Then, the “LHA” category represented 13.8%(18,201) of the total records, with females also prevailing in this category with 60.6% (11,023), an average of 1,102.3 and a standard deviation of 491.4. The male gender was equivalent to 39.4% (7,178) of the records, average of 717.8 and standard deviation of 419.3 (Figure 2 -LHA). Finally, the category that registered the least number of adolescents in ten years in the state of Pará, was “VLHA”, representing 5.3%(7,061) of the total number of notifications, but here the male gender surpassed the female gender, denoting 50.9% (3,593) at the expense of 49.1% (3,468). The graphic distribution showed a downward trend in records in this category (Figure 2 - VLHA).

Where: AHA = Appropriate Height for Age; LHA = Low Height for Age;VLHA = Very Low Height for Age.
Ministry of Health/Secretariat of Primary Health Care - Foodand Nutritional Surveillance System (SISVAN).Analysis of the “BMI x Age” Index:
132,204 adolescents were reported in thisindex (Table 2). However, the 90 more individuals who appeared in this nutritional status assessment index, but who were not reported in the “Height x Age” index, did not significantly interfere in the survey dynamics of the studied decade, although the equality of the totals, in both indexes, presumably, had to be perceived. These new measured adolescents showed aclose distribution between sexes, since there were 44 new girls and 46 boys, being the Baixo Amazonas health region, the one that most concentrated these records, with 38 new girlsand 39 boys.
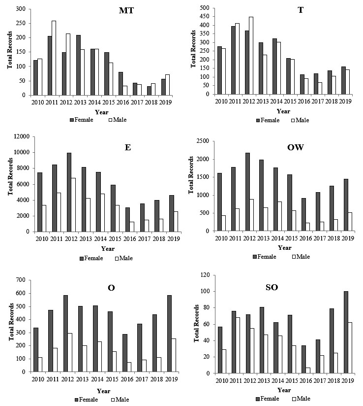
Regarding the analysis of the evolution ofthe index across the state, a normal distribution of data was noted in both sexes and in each category, but there was a statistical difference in the mean between sexes in the categories:“eutrophy” (p-value = 0.0080), “overweight”(p-value = 0.000029), “obesity” (p-value =0.0000015) and “severe obesity” (p-value =0.0050). Furthermore, the “eutrophy” category represented the highest percentage in relation to the total number of notifications from the state for this index, approximately 73.4%, with girls being 64.5% (62,591) and boys 35.5%(34,384), of the total records identified in this category (Table 2). When observing the graphic distribution, the period from 2010 to 2015 concentrated the largest records, followed by an increasing trend, but which did not exceedthe previous numbers (Figure 3 - E).

Where: MT = Marked Thinness; T = Thinness; E = Eutrophy; OW = Overweight; O = Obesity; SO = Severe Obesity.
Ministry of Health/Secretariat of Primary Health Care - Food and Nutritional Surveillance System (SISVAN).

Where: MT = Marked Thinness; T =thinness; E = Eutrophy; OW = Overweight;O = Obesity; SO = Severe Obesity.
Ministry of Health/Secretariat ofPrimary Health Care - Food and NutritionalSurveillance System (SISVAN).However, it was noted tha the categories "overweight" and "obesity", presented higher percentages when compared to the condition of “marked thinness” and “thinness”, about 15.8% and 4.7%, to the detriment of 1.8% and 3.5%, respectively, in relation to the state total, for the index. When analyzing the percentage of “overweight” and “obesity”, considering the total number of notifications in these categories(Table 2), the female gender, also, surpassed in all years, 74.7% (15,560) and 72.7 % (4,543),respectively, male, who registered 25.3%(5,279) and 27.3% (1,705).
Regarding the graphic distribution of “overweight”, “obesity”, as well as “severeobesity”, which among all categories was the one that represented the lowest percentage (equivalent to 0.8% of the entire state), it was observed the variations between years, in each sex, were few, being noticeable in the analyzed interval, the beginning of an increasing curve in the records, from the year 2016 (Figure 3 -OW, O, SO). On the contrary, the categories “marked thinness” and “thinness”, denoted a negative exponential, where data from 2010 to 2019 showed a reduction, even with some annual increases, but not significantly (Figure3 - MT, T), in face of the trend seen in the overweight charts.
Discussion
Taking into account the discrepancy regarding the availability of data by region, this issue can be associated with the fact that SISVAN, despite theoretically encompassing the entire Brazilian territory, suffers interference to the detriment of the availability of resources and political issues, such as coverage by Community Health Agents (CHA) and commitment by health managers to apply nutritional surveillance[16]
The consequences of such logistical deficiencies were perceived in Metropolitana III, since, although it has the largest number of locations among the rest and a population contingent of 937,643 individuals, it is not at least among the three with the highest records in both indexes(“Height x Age” and “BMI x Age”), which may have as one of its reasons the availability of CHA in the region, consisting of 1,661, while, incomparison, the Baixo Amazonas, even with a smaller population, 448,357 inhabitants, has a greater number of agents (1,932) and records in the system [17,18].
Likewise, it should be considered the population contingent in the state of Pará, while divided into health regions, presents great numerical variability, which can impact the number of notifications, as it is the case of the Carajás region, with seventeen municipalities and an estimated population of 875,232 inhabitants, compared to Tapajós, which encompasses 6 cities in Pará state and has only 212,896 in-habitants[17].
At the same time, access to primary carein the Brazilian Amazon presents numerous barriers due to organizational problems, which impede completeness of care, with no actual monitoring of the system user’s health [19].Therefore, even though there are government programs that direct medical professionals to the region, aiming to provide medical assistance to the most remote locations, the lackof resources and professionals in rural and/orriverine areas still represents a challenge in the provision and establishment of health servicesfor the entire Amazon region [20].
In this sense, the impacts of this reality experiencedfor decades, especially by the most vulnerable populations, are decisive for the underreporting present in the Food and Nutrition Surveillance (VAN) platform, since the system essentially depends on data collected from actions promoted by the Unified Health System (SUS) [21]. However, despite the aforementioned facts, the Situational Report on Foodand Nutrition and Health Promotion Programsin Primary Care pointed to a timid increase, inthe coverage of SISVAN in Pará, from 20.2%in 2014, to 22.2% in 2017 [22].
This expansion, in turn, was partly due to the efforts of the Ministry of Health, through the publication of the Food and Nutrition Surveillance Framework of Reference in Primary Care, the greater implementation of Family Health Strategies and the association of VAN with public policies, such as “Bolsa Família”, an incometransfer policy, and the School Health Program[21,23]. However, due to VAN’s involvement with such policies, the target audience for fee-ding the system, which aims to have data for the implementation of future actions, ends up being pregnant women and children, under the logic of presenting themselves as more vulnerable to malnutrition and obesity [23].
In contrast, Brazil’s nutritional transition brings a new perspective on this reality and, regardless of social class and age, there was an increase in the consumption of processed foods, gradually replacing the problem of malnutrition with obesity [24], which was also possible to observe in the results of a decade of this research. In this context of transition, the Brazilian adolescent is inserted by the tendency to have a traditional food consumption, with rice and beans, but associated with the unhealthy, with high intake of sodium, sugar and fats and absence of micronutrients, culminating in excessof weight [25].
This condition was confirmed by the 2015 National School Health Survey (PeNSE), which stated that approximately a quarter of Brazilian adolescents were overweight [26]. However, although the Northern region of Brazil is also impacted by the transition phenomenon, Alveset al. [27], identified that its adolescent portionis the one that most maintains the traditional Analysis of the nutritional status of adolescents in the state of Pará, Brazil pp 335-346 dietary pattern which, due to the geographical and environmental characteristics of the region, tends to have a higher consumption of fruits, vegetables, tubers and fish.
In this regard, if, on the one hand, analyzing populations distant from large centers provides scientific support for the general model of nutritional transition, on the other, this observation denotes numerous regional peculiarities of thecountry. Thus, from the bioanthropological pointof view, documenting this phenomenon and its diversity of configurations, at both regional and local scales, is of significant relevancefor understanding populations in different age groups, because when addressing biocultural perspectives it is possible to reveal the spatialand temporal plurality of human behavior [28].
However, it is also worth noting the best socioeconomic level is not a predictor of better nutrition among adolescents, which is reflected in dietary differences between public andprivate schools. While in private institutions, soft drinks and foods classified by PeNSE as “treats” (sweets, chocolates, among others) obtained higher rates, the public ones showeda greater tendency only for the intake of “industrializedsnacks”, which can be attributed tothe offer of meals through the National SchoolFeeding Program (PNAE) in public institutions, while private ones have greater availability of unhealthy options through sale in canteens and alternative points [26].
With regard to BMI, the results showed a greater proportion of individuals with eutrophic profile, but those with overweight or obesity stood out, with the female sex predominating. However, these results diverge from a survey carried outamong students aged 14 to 19 years from private schools in urban areas of the Amazon, in which higher numbers of overweight prevalence(29.5%) and a predominance of males were identified [29]. In dissonance, a study carried out in the same location, but involving only public schools, observed a prevalence of 17.6% of overweight, with the majority being female [30].
As for the height of adolescents in Pará, it was possible to observe, over the years, a tendency to reduce LHA and VLHA, which can also be perceived at the national level, as shown by Jaime and Santos [24] and the Family Budget Survey(POF), conducted by the Brazilian Instituteof Geography and Statistics (IBGE) [31], which identified the same trend as the present studyfor both sexes, but more accentuated amongfemale adolescents compared to male adolescents. Accordingly, studies carried out in Paraná reaffirm the reduction of the deficit, as well as its lower proportion among females [32, 33].
In this sense, it should be considered that growth is intrinsically related to nutritional conditions, therefore, considerable responsibility for the short stature problem lies on dietary deficiencies, and what has occurred since the late 1990s is a gradual change in the social context and access to quality food, which was possible due to the economic transformations that occurred in Brazil, that brought an improvement in the purchasing power associated with the expansion of access to health services,in addition to the implementation of income transfer programs, such as the “Bolsa Família”Program (BFP) [34].
From all these factors, there was a reduction in food insecurity and, consequently, in height deficit [33], however, in a study carried out with adolescents in the urban area of municipalities in the Amazon, on the situation of food and nutritional insecurity from direct and indirect indicators, it was concluded that the households surveyed were in a situation of food and nutritional insecurity and the consumption of unhealthy foods by adolescents could trigger nutritional and body impairment [35].
Nevertheless, it is necessary to point out that although the BFP contributes to the access to a greater quantity and variety of foods, it does not necessarily indicate nutritional quality, because an income that is destined in favor offood and health can also be directed towards the purchase of consumer goods, such as electronics, which may enable the increasing of the consumption of foods with higher caloric valueand, therefore, the increase of malnutrition,overweight and implantation of chronic noncommunicable diseases [36,37,38]
In this bias, a study by Freitas et al. [39] in relation to adolescents indicated that income transfer is not sufficient for nutritional security, and broader strategies are needed, which also involve health education for BFP users, since among the program’s beneficiaries the overweight problem is juxtaposed to malnutrition. A similar result, addressing00 families participating in the program, was found in asurvey conducted in the Territory of Marajó, in the state of Pará [40].
At the same time, analyzing the quality oflife of populations based on econometric intervention programs is considered by somecritics to be unsatisfactory and unrealistic, and they should be replaced by methods that more clearly denote material and social well-being, as nutritional status or food consumption of individuals. However, in the Amazon, the panoramaof interventions in the food and nutritional sphereis quite complex, since there is no consensus on the reference populations for the nutritional diagnosis, therefore, those of the first world with different genetics and adaptive past have been adopted, which makes the parameters incoherent [41]
In this way, a new approach has been developed in the Amazon to analyze health and nutrition conditions, the so-called nutritional ecology, which is characterized by its interdisciplinary theoretical aspect and deals with the investigation of the problems that touch the nutritional theme, from the perspective of the context, associating theories and methods of the social sciences and nutrition. In the Amazon region, this new approach shows great impacton the validation of evaluation models of nutritional status and food security of the population, respecting the socioeconomic, environmental, political and historical variants [42].
Conclusion
The adolescent population notified from2010 to 2019 is mostly female, but there was an expressive number of males, with the distribution of records being quite heterogeneous among the thirteen health regions. Regarding nutritional status, both sexes showed to be of adequate height for their age and eutrophic, but numbers alert to a contrast between the decrease in underweight and the increase innumbers in the categories of overweight, deals with the “BMI x Age” index, in ten years in the state of Pará.
Furthermore, it is difficult to accurately predict the factors that may be affecting these citizens, given the unfeasibility generated by SISVAN, but it was considered that the social and economic changes in Brazil, which have occurred in recent years, may be impacting the nutritional status of these adolescents. However, it is important to point out that many gaps both in the sphere of health care and inthe scope of public policies aimed at sustaining health maintenance and advances in the stateof Pará, trigger numbers that do not represent the real nutritional condition of these individuals, but that although not representative, they raise several questions for the trends reported here.
Thus, this study, by extracting data from SISVAN, referring to the state of Pará, a federative unit of the Brazilian Amazon, made it possible to perceive a nutritional scenario that has been changing in the last ten years. From this, it can be concluded that if measures are nottaken that lead to education in health, medical and nutritional assistance effectively through SUS, the state will experience increases in the number of patients with so-called chronic noncommunicable diseases. Therefore, it is essential new research with variables that surround food choices be applied in new methodologies,in order to understand the factors behind these curious trends.
Cited literature
1. Rodrigues RAC, Oliveira FP, Santos RA. Transição nutricional e epidemiológica em comunidades tradicionais da amazônia brasileira/Nutritional and epidemiological transition in traditional communities in the brazilian amazon. Braz J of Develop. 2020; 6(3):11290-11305. https://doi.org/10.34117/bjdv6n3-120
2. Vivier E, Droulers M. Modelos alimentares em transição na Amazônia brasileira. Amazônias brasileiras, Situações locais e evoluções. 2019; 2:181-208.
3. Gomes-Junior NN, Borges BL. O varejo moderno de alimentos: modernidade e insegurança alimentar e nutricional. Retratos de Assentamentos. 2019; 22(1):11-31. DOI: 10.25059/2527-2594/retratosdeassentamentos/2019.v22i1.339
4. Filipini CB, Oliveira-Prado B, Felipe AOB, Souza-Terra F. Transformações físicas e psíquicas: um olhar do adolescente. Adolesc Saude Rio de Janeir. 2013; 10(1):22-29.
5. Santos DS, Sousa-Carneiro M, Martins SC, Aires CN, Silva-Carvalho LJ, Costa LCB. Transição nutricional na adolescência: uma abordagem dos últimos 10 anos. Revista Eletrônica Acervo Saúde. 2019; 20:e477-e477. https://doi.org/10.25248/reas.e477.2019
6. Silva RF, Lima AP, Molleta AF, Carvalho PL. Relação entre estilo de vida e índice de massa corporal de adolescentes. Arq Cienc Saúde UNIPAR. 2020; 24(1): 1-20. https://doi.org/10.25110/arqsaude.v24i1.2020.6690
7. Kessler AL, Poll FA. Relação entre imagem corporal, atitudes para transtornos alimentares e estado nutricional em universitárias da área da saúde.J bras psiquiatr. 2018; 67(2):118-125. https://doi.org/10.1590/0047-2085000000194
8. de Pinho L, Brito MFSF, Silva RRV, Messias RB, Silva CSDO, Barbosa DA, et al. Percepção da imagem corporal e estado nutricional em adolescentes de escolas públicas. Rev Bras Enferm. 2019; 72(supl.2):229-235. https://doi.org/10.1590/0034-7167-2018-0644
9. Silva RDCR, Fiaccone RL, Conceição-Machado MEPD, Ruiz AS, Barreto ML, Santana MLP. Body image dissatisfaction and dietary patterns ac- cording to nutritional status in adolescents.J pediatr. 2018; 94(2):155-161. https://doi.org/10.1016/j.jped.2017.05.005
10. Conde WL, Monteiro CA. Nutrition transition and double burden of undernutrition and ex- cess of weight in Brazil. Am J Clin Nutr. 2014; 100(6):1617S-1622S. DOI: 10.3945/ajcn.114.084764
11. Souza NP, De Lira PIC, Fontbonne A, Lima-Pinto FC, Cesse EAP. A (des) nutrição e o novo padrão epidemiológico em um contexto de desenvolvi- mento e desigualdades. Ciênc. Saúde Colet. 2017; 22(7):2257-2266. https://doi.org/10.1590/1413-81232017227.03042017
12. Ministério da Saúde. Protocolos do Sistema de Vigilância Alimentar e Nutricional – SISVAN na assistência à saúde. Brasília: Ministério da Saúde; 2008.
13. Ministério da Saúde. Informe situacional sobre os programas de alimentação e nutrição e de promoção da saúde na atenção básica. Brasília: Ministério da Saúde; 2017.
14. Instituto Brasileiro de Geografia e Estatística (IBGE). Brasil, Grandes Regiões e Unidades da Federação. Brasília: Instituto Brasileiro de Geografia e Estatística; 2020.
15. Presidência da República Casa Civil Subchefia para Assuntos Jurídicos. Lei nº 12.527, de 18 de novembro de 2011. Diário Oficial da União. Brasil .2011.
16. Nascimento FA, Silva AS, Jaime PC. Cobertura da avaliação do estado nutricional no Sistema de Vigilância Alimentar e Nutricional brasileiro: 2008 a 2013.Cad Saúde Pública. 2017; 33(12):1-14. https://doi.org/10.1590/0102-311x00161516
17. Instituto Brasileiro de Geografia e Estatística (IBGE). Municípios do Pará. 2020.
18. Secretaria de Saúde Pública. Plano Estadual Educação Permanente em Saúde PEEPS 2019-2022. Belém: Governo do Estado do Pará; 2018.
19. Rabelo ALR, Lacerda RA, Rocha ESC, Gagno J, Fausto MCR, Gonçalves MJF. Coordenação e longitudinalidade da atenção primária à saú- de na Amazônia brasileira. Rev Bras Enferm. 2020; 73(3):1-8. https://doi.org/10.1590/0034-7167-2018-0841
20. Pereira LL, Pacheco L. O desafio do Programa Mais Médicos para o provimento e a garantia da atenção integral à saúde em áreas rurais na região amazônica, Brasil. Interface. 2017; 21(suppl.1):1181-1192. DOI: 10.1590/1807-57622016.0383
21. Mourão E, Gallo CDO, Nascimento FAD, Jaime PC. Tendência temporal da cobertura do Sistema de Vigilância Alimentar e Nutricional entre crianças menores de 5 anos da região Norte do Brasil, 2008-2017. Epidemiol Serv Saúde. 2020; 29(2): 1-11. DOI: 10.5123/S1679-49742020000200026
22. Brasil. Ministério da Saúde. Manual Operacional para uso do Sistema de Vigilância Alimentar e Nutricional: SISVAN - 3.0. Brasília: Ministério da Saúde; 2017.
23. Brasil. Ministério da Saúde. Marco de Referência da Vigilância Alimentar e Nutricional na Atenção Básica. Brasília: Ministério da Saúde; 2015.
24. Jaime PC, Santos LMP. Transição nutricional e a organização do cuidado em alimentação e nutrição na Atenção Básica em saúde. Divulg. Saúde Debate. 2014; 51:77-85.
25. Souza ADM, Barufaldi LA, Abreu GDA, Giannini DT, Oliveira CLD, Santos MMD, et al. ERICA: ingestão de macro e micronutrientes em adolescentes brasileiros. Revista de Saúde Pública. 2016; 50(supl. 1):1-15. DOI: 10.1590/S01518-8787.2016050006698
26. Instituto Brasileiro de Geografia e Estatística (IBGE). Pesquisa Nacional de Saúde Escolar 2015. Rio de Janeiro: Instituto Brasileiro de Geografia e Es- tatística; 2016.
27. Alves MDA, Souza ADM, Barufaldi LA, Tavares BM, Bloch KV, Vasconcelos FDAGD. Padrões alimentares de adolescentes brasileiros por regiões geográficas: análise do Estudo de Riscos Cardiovasculares em Adolescentes (ERICA). Cad Saúde Pública. 2019; 35(6):1-14. https://doi.org/10.1590/0102-311X00153818
28. Da-Gloria P, Piperata BA. Modos de vida dos ribeirinhos da Amazônia sob uma abordagem biocultural.Ciênc Cult. 2019; 71(2):45-51. DOI: 10.21800/2317-66602019000200014
29. Silva-Júnior LM, Santos APD, Souza OFD, Farias EDS. Prevalência de excesso de peso e fatores associados em adolescentes de escolas privadas de região urbana na Amazônia. Rev Paul Pediatr. 2012; 30(2):217-222. https://doi.org/10.1590/S0103-05822012000200010
30. Souza OF, Farias ES. Underweight and overweight in school children from Rio Branco, Acre State, BraziL. J Hum Growth Dev. 2011; 21(3):878-882.
31. Instituto Brasileiro de Geografia e Estatística. Pesquisa de Orçamentos Familiares 2008-2009 - Antropometria e Estado Nutricional de Crianças, Adolescentes e Adultos no Brasil. Brasília: Instituto Brasileiro de Geografia e Estatística; 2010.
32. Amorim STSP, Rodrigues AGM, Stolarski MC. Estatura de adolescentes matriculados em escolas da rede pública no estado do Paraná, Brasil. Rev Nutr. 2009; 22(2):195-205. https://doi.org/10.1590/S1415-52732009000200002
33. Costa MCD, Barreto ADC, Bleil RAT, Osaku N, Ruiz FS. Estado nutricional de adolescentes atendidos em uma unidade de referência para adolescentes no Município de Cascavel, Estado do Paraná, Brasil. Epidemiol Serv Saúde. 2011; 20(3):355-361. http://dx.doi.org/10.5123/S1679-49742011000300010
34. Monteiro CA, Benicio MHDA, Conde WL, Konno SC, Lima ALLD, Barros AJDD, et al. Desigualdades socioeconômicas na baixa estatura infantil: a experiência brasileira, 1974-2007. Estud Av. 2013; 27(78):38-49. https://doi.org/10.1590/S0103-40142013000200004
35. Guerra LDS, Martínez-Espinosa M, Dinucci-Becerra AC, Guimaraes LV, Soares- Martins MSA. Desafios para a Segurança Alimentar e Nutricional na Amazônia: disponibilidade e consumo em domicílios com adolescentes. Ciên Saúde Colet. 2018; 23:4043-4054. https://doi.org/10.1590/1413-812320182312.26352016
36. Cotta RMM, Machado JC. Programa Bolsa Família e segurança alimentar e nutricional no Brasil: revisão crítica da literatura. Rev Panam Salud Pública. 2013; 33(1):54-60.
37. Reinehr SGM, Coutinho RE. Consumo alimentar e estado nutricional de crianças de 0 a 7 anos beneficiárias do programa Bolsa Família de uma unidade básica de saúde de Porto Alegre. Porto Alegre. 2017.
38. Filgueiras LA. Crianças ribeirinhas e quilombo- las da Amazônia: crescimento, determinantes sociais de saúde e políticas públicas. Tese de Doutorado. Belém: Programa de Pós-Graduação em Antropologia, Universidade Federal do Pará; 2016. 128 p.
39. Freitas LKP, Cunha-Júnior ATD, Knackfuss MI, Medeiros HJD. Obesidade em adolescentes e as políticas públicas de nutrição. Ciênc Saúde Colet. 2014; 19(6):1755-1762. https://doi.org/10.1590/1413-81232014196.12382013
40. Nascimento EC, Cruz BEV, Calvi MF, Carvalho JPL, Reis CC, Gomes DL. A influência do Programa Bolsa Família nas práticas alimentares das famílias do Território do Marajó, Pará, Brasil. Scientia Plena. 2016; 12(6):1-11. https://doi.org/10.14808/sci.plena.2016.069931
41. Murrieta RSS. O dilema do papa-chibé: consumo alimentar, nutrição e práticas de intervenção na Ilha de Ituqui, baixo Amazonas, Pará. Rev Antro- pol. 1998; 41(1):97-150. https://doi.org/10.1590/S0034-77011998000100004
42. Adams C, Piperata B. Ecologia Humana, Saúde e Nutrição na Amazônia. In: Vieira ICG, Toledo PM e Santos Jr RAO. Ambiente e Sociedade na Amazônia: Uma Abordagem Interdisciplinar. 1. Ed. Garamond; 2014: 341-378.
Enlace alternativo
https://revistasum.umanizales.edu.co/ojs/index.php/archivosmedicina/article/view/4134 (html)