Artículos de investigación
La Geometría en la Arquitectura de la vivienda tradicional Arhuaca
Geometry in the Architecture of the traditional Arhuaco home
La Geometría en la Arquitectura de la vivienda tradicional Arhuaca
Revista Latinoamericana de Etnomatemática, vol. 10, núm. 1, 2017
Universidad de Nariño

Recepción: 16 Octubre 2016
Aprobación: 20 Diciembre 2016
Resumen:
Se presentan los resultados de una investigación que tenía como objetivo analizar los elementos geométricos utilizados por los miembros de la comunidad arhuaca de la Sierra Nevada de Santa Marta, Colombia, en el diseño y la construcción de su vivienda tradicional, la cual es un lugar sagrado, que está relacionada con su espiritualidad y conocimiento ancestral. Esta investigación utilizó la metodología de etnografía Vivencialista/Experiencialista y la información fue recolectada por medio de entrevistas y observación participante. Finalmente se encontró que para los integrantes de la comunidad arhuaca la construcción de su vivienda tradicional gira en torno a su cosmovisión, cosmogonía y cosmología, las cuales regulan el entorno natural, el ordenamiento universal y el ciclo vital respectivamente, que representan los tres niveles de significación del universo arhuaco. En consecuencia, para esta comunidad la vivienda es un lugar sagrado; el sitio de construcción es escogido por el mam s (sabio de la comunidad), sus dimensiones están asociadas con la altura del jefe de la familia y su base debe ser cuadrada porque según la cosmología arhuaca representa la figura perfecta, la cual se relaciona con el cuatro que es un número mágico para esta comunidad. Esperamos que este trabajo contribuya al estudio de la etnogeometría arhuaca y sus resultados aporten al desarrollo de currículos en varios contextos más pertinentes para las comunidades.
Palabras clave: Cosmovisión, Cosmología, Etnogeometría, Prácticas Tradicionales, Arhuaco, Construcción de Vivienda.
Abstract: This article presents the results of a study that analyzed the geometric elements used by members of the arhuaco community of the Sierra Nevada of Santa Marta, Colombia, in the design and construction of their traditional dwelling, which is a sacred place related to their spirituality and ancestral knowledge. This research utilized the Lived/Experienced ethnographic methodology and the information was obtained through interviews and participant observation. The results show that, for the members of the arhuaco community, the construction of their traditional home is based on their cosmovision, cosmology, and cosmogony, which regulate the natural realm, the order of the universe, and the life cycle, that respectively refer to the three levels of meaning in the arhuaco universe. In this way, for this community home is a sacred place; the construction site is chosen by the mamᵾs (community wise men), its dimensions are associated with the height of the head of the household, and its base must be square because according to arhuaco cosmology this represents the perfect figure, which relates to the number four—the magical number for the community. This research is a contribution to the study of ethnogeometry and its results can be applied to development of curriculum pertinent to the community in many contexts.
Keywords: Worldview, Cosmology, Ethno-geometry, Traditional Practices, Arhuaco, Home construction.
1. Introducción
Este estudio se enfoca en las ideas matemáticas y geométricas utilizadas por la comunidad arhuaca de la sierra nevada de Santa Marta en la construcción de la vivienda tradicional, y da cuenta de un patrón matemático indicativo de sus conocimientos matemáticos único y útil. En las últimas décadas la etnomatemática ha surgido, como una nueva tendencia de investigar el saber matemático desde el entorno sociocultural, intentando rescatar los valores que el pueblo y su cultura tienen. Algunos la miran con cierto escepticismo y otros como una nueva alternativa para el aprendizaje de la matemática. En realidad, ambas posturas reconocen la existencia de formas alternas (a la occidental) de concebir el mundo matemáticamente, pero difieren en el valor que otorgan a estos conocimientos, su preservación, y su difusión. Después de leer a los más prominentes impulsores de este debate hemos llegado al convencimiento de que explorar y dialogar desde diferentes lógicas puede ser de beneficio común y que, además, la aproximación de la etnogeometría puede proveer un foro apropiado para hablar de esas lógicas en términos de la búsqueda de patrones un objetivo compartido por varios académicos y sabios entre diversas disciplinas y hasta ámbitos sociales.
El propósito de esta investigación es mostrar algunos elementos teóricos y prácticos de la geometría y los conceptos geométricos aplicados por los miembros de la comunidad arhuaca en la construcción de la vivienda tradicional arhuaca con la finalidad de que los elementos encontrados sirvan como referente conceptual, para futuras investigaciones en etnomatemática (especialmente etnogeometría) y la educación matemática. El hecho de presentar y analizar estos conocimientos espaciales y matemáticos de los arhuacos dentro del marco de la etnogeometría es un proceso de traducción en el cual sus conocimientos se dan a entender por una audiencia más amplia y permite que se conozca que nuestros pueblos originarios (antes de la invasión de los españoles y el silenciamiento de los procesos coloniales) tenían desarrollos científicos y matemáticos que aplicaban en algunas de sus prácticas socioculturales y tradicionales.
Algunos interrogantes que dirigen nuestro trabajo son los siguientes: ¿Cuáles son los conceptos geométricos presentes en la práctica sociocultural en la construcción de la vivienda tradicional arhuaca?, ¿Cuáles son las ideas geométricas que caracterizan la cosmogonía y cosmología de los indígenas arhuacos, en la práctica sociocultural de la construcción de la vivienda tradicional, que permitían hacer una aproximación a su pensamiento geométrico?, ¿Qué papel juega la arquitectura de la vivienda arhuaca en la construcción del pensamiento geométrico y matemático de los indígenas arhuacos?
El objetivo general de nuestro trabajo es contestar estas preguntas, específicamente al presentar los conceptos y representaciones geométricas utilizadas por la comunidad arhuaca en la construcción de su vivienda tradicional. Se alcanza este propósito a través de identificar y caracterizar los aspectos de la Etnogeometría que se utilizan en la arquitectura, diseño y elaboración de la vivienda tradicional y analizar la enseñanza de geometría en la comunidad indígena arhuaca (que se imparte a través de práctica sociocultural y tradicional, como es la construcción de la vivienda). Esta práctica laboral arhuaca preserva los conocimientos cosmológicos y espaciales de esta comunidad y al identificar sus patrones geométricos se puede entender mejor su propia epistemología y lógica.
2. Antecedentes: la Etnomatemática y la Etnogeometría
Situamos nuestra investigación dentro del campo de la etnomatemática, precisamente porque es un enfoque que aborda los estudios matemáticos teniendo en cuenta el contexto sociocultural. Para D’Ambrosio (1990) el enfoque etnomatemático no se agota en entender el conocimiento (saber y hacer) matemático de las culturas periféricas solamente; también procura entender el ciclo de la generación, organización intelectual y difusión de ese conocimiento. La etnomatemática no sólo es el estudio de las matemáticas de las diversas comunidades indígenas; esto lo refuerza D’Ambrosio (2005, p. 112) cuando expresa: “He creado esta palabra en el sentido de que hay varias formas, técnicas, habilidades (ticas) para explicar, entender, para hacer frente y vivir con (matema) diferentes contextos naturales y socioeconómicos de la realidad (ethnos)”. La matemática y la antropología les resulta imposible construir un discurso por separado que explique el conocimiento matemático presente en las prácticas sociales de los grupos bien diferenciados, la metodología de la investigación de la matemática no logra capturar los aspectos socioculturales y tradicionales que circundan el desarrollo matemático de las personas, y a su vez la antropología es una disciplina estudiosa de la cultura, pero debido a la naturaleza de su objeto de estudio le impide visualizar los conceptos matemáticos que circulan la cotidianidad de las comunidades. Para intentar dar respuesta a esta problemática surge la etnomatemática, considerada como la relación simbiótica de la matemática y la antropología que ha construido su propia metodología de investigación y desarrollos teóricos (Blanco-Álvarez, 2006). Así mismo, D’Ambrosio (1990, p. 17-18) define la etnomatemática como “etno+matema+tica, eso es, su entorno natural y cultural [=etno]. Explicar, enseñar, comprender, manejar, lidiar [=matema]. Las artes, técnicas, maneras, estilos [=ticas] [cita original en mayúsculas].” Desde la descomposición semántica de la palabra, se hace un análisis del significado de cada uno de sus componentes, es así que el prefijo “etno” hace referencia al entorno natural y cultural en el que ha vivido el hombre durante todas las épocas hasta la actual y la manera como ha actuado cotidianamente en su contexto circundante y circunstancial. El sufijo “ticas” está relacionado con las “artes, técnicas, maneras, estilos” resaltando la importancia de todas las formas de expresión o satisfacción mental y espiritual hecha realidad desde su saber ancestral que se manifiestan desde: poesía, gráfica, pictórica, petroglifos, danzas tradicionales y bailes típicos. La raíz “Matema” significa trasmitir o compartir cualquier experiencia con otras personas para que se aprenda los métodos y los productos intelectuales que las comunidades han desarrollado para su bienestar y supervivencia desde sus prácticas socioculturales.
En este contexto teórico, la etnomatemática es el análisis de conocimientos matemáticos desde un marco sociocultural y la etnogeometría provee un foro para la presentación y análisis de los patrones espaciales dentro del mismo marco sociocultural, que toma las formas inmateriales y abstractas de la geometría y las vuelve materiales y concretas al contextualizarlo dentro de una práctica y tradición cultural específica. Dentro del campo de la etnogeometría, por ejemplo, es común explorar las formas geométricas presentes en los tejidos, cerámicas, tallados de madera, etc., las cuales se tienen que entender como parte de la materialidad del artesano/producto mismo, y por extensión, del pensamiento social y cultural del artesano y su ámbito. Cada diseño es creado en la mente de quien elabora el objeto, y tales objetos pueden revelar otra lógica de la construcción del pensamiento matemático y numérico.
Para analizar la geometría contextualizada es necesario conceptualizar estas formas como patrones en vez de arte. Según la científica de textiles Kerstin Kraft (2004), el estudio del patrón se enfoca en las ideas de ritmo, simetría, repetición, y dimensión. De esa manera permite ser analizado desde las humanidades y las ciencias naturales ya que ambas tradiciones intelectuales se preocupan por describir y analizar patrones (humanos y naturales, respectivamente).
Los patrones sirven como maneras de codificar conocimiento en formas abstractas y repetibles. Implican un proceso epistemológico que depende de un entender de las formas, las planas, los ángulos, y los movimientos de los objetos del proceso. Así que, al tratar estos patrones como figuras epistemológicas, se puede entender la adquisición y la producción de conocimientos de un grupo humano (Kraft, 2004). El profesor Paulus Gerdes, uno de los precursores de la etnogeometría, estudió estas formas epistemológicas en varias culturas colonizadas y tempranas al contextualizar sus relaciones geométricas dentro actividades de importancia social: “La capacidad de reconocer orden y formas regulares espaciales en su naturaleza ha sido desarrollada a través de labor activa” (Gerdes 2003, p. 168, traducción nuestra).
Nuestro principal interés es conocer el pensamiento geométrico-espacial y variacional, y su uso en las prácticas comunitarias porque consideramos que el espacio cotidiano relacionado con la aplicación de las matemáticas en su entorno, puede ser una fuente directa para el conocimiento de los procesos matemáticos y geométricos utilizados por los indígenas arhuacos antes de la misión capuchina.[1] Partiendo de la premisa que el conocimiento matemático y geométrico es una construcción cultural e histórica, además de una cuestión de equidad social (Bishop, 1999; Aroca, 2008), en tanto que a través de él se desarrollan habilidades que contribuyen a la mejora de la calidad del trabajo realizado en diversos ámbitos en los que se desempeñan las personas, al que deberían tener acceso por igual todos los jóvenes de la comunidad arhuaca. Sin embargo, no se trata de una imposición de la geometría occidental sobre los conocimientos geométricos de la cultura arhuaca, se trata de establecer algunas relaciones entre los dos sistemas, para establecer comparaciones de los conocimientos matemáticos y geométricos, a partir de su propia cosmogonía, cosmología y su contexto del universo.
Desde esta perspectiva la etnomatemática es una matemática situada y contextualizada en las categorías referenciales propias de cada cultura incluyendo su cosmovisión, cosmogonía y cosmología. Por ser estos conceptos fundamentales para el desarrollo de nuestra investigación, los definimos a continuación, de acuerdo a Zalabata (2000); los indígenas de la Sierra Nevada de Santa Marta tienen tres niveles de significación del mundo, los cuales se definen a continuación de acuerdo a su ley de origen.
La cosmogonía. Regula el ciclo vital, social y religioso. Como acto social de conocer las leyes de la madre tierra y prepararse para la vida, la influencia del pensamiento cosmogónico en el indígena tiene una marcada trascendencia en las prácticas socioculturales. Comprenderemos su influencia partiendo del principio: “toda cultura indígena y civilizada tiene una visión del universo, del mundo, la naturaleza y la sociedad, interpretada desde su propia mirada cultural que le permite organizar su sociedad y territorio de acuerdo con su experiencia de vida”). La visión cosmogónica indígena determina su organización social, su estilo de vida que se refleja en el sector etnoeducativo y en las manifestaciones de su cultura “De la misma manera, debemos comprender que la tierra es la madre porque da origen a todo cuanto existe”
La Cosmovisión . Se trata del mundo físico, sobre el “entorno natural y social, representación de la iconografía natural”
La Cosmología . Expresa los conceptos de orden, número y ritmo cohesionando lógica y orgánicamente a las concepciones del espacio, una visión integral del todo y sus partes, reflejado en la unidad de multiplicidad de la composición. Es como una forma de abstracción de las leyes del ordenamiento universal.
Las categorías anteriores están presentes en las prácticas socioculturales y tradicionales de las cuatro comunidades (arhuacos, koguis, wiwas y kankuamos), que le han permitido lograr saberes matemáticos, que ayudan a la interpretación del universo y cumplir con la misión asignada por dioses de proteger la sierra nevada de Santa Marta desde su ley de origen. D’Ambrosio (2011) expresa que el conocimiento se desarrolla esencialmente para sobrevivir y trascender, como personas y como comunidad en distintos ambientes naturales y culturales. El conocimiento es el resultado de la búsqueda de la sobrevivencia y trascendencia, y la constante relación con la naturaleza y con los otros, se produce así el origen de las técnicas y los estilos de comportamiento. Hay una relación entre conocimiento y ambiente, por eso, al examinar otras lógicas y prácticas, es necesario estudiar sus propios contextos socioculturales ya que la lógica occidental (como referente geográfico y cultural) no se aplica. El contenido que presentamos a continuación es el avance de la investigación realizada en la comunidad arhuaca de la sierra nevada de Santa Marta, Colombia, sobre la geometría en la arquitectura de la vivienda tradicional de esta comunidad.
3. Métodos y trabajo de campo en el contexto de la comunidad Arhuaca
3.1 Contextualización de la comunidad arhuaca
La comunidad arhuaca de la Sierra Nevada de Santa Marta, antes de la invasión de los españoles lograron avances fundamentales en matemáticas, desde sus actividades diarias y prácticas comunitarias (De la Hoz Molinares, Pacheco Fernández, & Trujillo Varilla, 2016). La cosmovisión y cosmología de estos permitieron estructurar conceptos etnomatemáticos tales como sus calendarios y sistemas de numeración propios; dentro de estos también podemos contar los conceptos geométricos utilizados en la construcción de la vivienda tradicional.
Es fundamental anotar que para los arhuacos la vivienda, más que un lugar para vivir, es un lugar sagrado que se encuentra relacionado con la parte espiritual y ancestral desde su cosmovisión, cosmología y cosmogonía. Pese a que la geometría no hace parte del currículo escolar de los arhuacos, sí es fundamental en la construcción de su vivienda por las relaciones, figuras y teoremas geométricos implícitos en la construcción de la vivienda. No es un proceso que se realice al azar, debido a que es una decisión tomada por los mayores ( mam
s son quienes poseen una sabiduría y un entendimiento místico que supera a los demás, siendo su responsabilidad mantener el equilibrio del universo), con la finalidad de respetar la madre tierra; debido a que los arhuacos utilizan todos los productos que les brinda la naturaleza y deben realizar pagamentos por ellos para mantener el equilibrio y la armonía.
Las vivienda son de distintos tipos, según su uso: viviendas de uso comunitario, ceremoniales ( kankuruas o casas sagradas) y familiares. La vivienda familiar la conforma un conjunto de tres viviendas: una para la cocina, una para la mujer y otra para el hombre. También hay una casa matrimonial, la cual se construye antes del matrimonio y es bendecida o bautizada por el mam
antes de ser habitada. La comprensión de todo esto tiene un significado ancestral muy ligado a su entorno social y a la forma de vida del arhuaco relacionado con lo espiritual, lo sagrado, la visión del universo y la armonía con la madre naturaleza. Actualmente los mayores (mam
s ) enseñan a la comunidad, en sus prácticas socioculturales y tradicionales, su visión cosmogónica y cosmovisión del pensamiento geométrico y espacial.
3.2 Metodología
La etnografía en esta investigación es una herramienta fundamental, porque permite estudiar y comprender las culturas de la Sierra Nevada de Santa Marta, mediante la caracterización de sus contextos, es decir, conocer sus ideas, creencias, valores, sus comportamientos y las prácticas socioculturales y tradicionales en que utilizan pensamiento matemático. La metodología específica de este estudio es la del método Experiencialista/Vivencialista, que según Padrón (2007) es un enfoque epistemológico orientado al desentrañamiento de significados socioculturales, a la traducción introspectiva de simbolismos micro y macro-grupales, a la crítica de las interacciones humanas, y a las herramientas hermenéuticas de base etnográfica los cuales implican la convivencia del investigador dentro del contexto donde ocurren los fenómenos estudiados. Se investigan la realidad y los procesos de interacciones sociales que ocurren en ella, aplicando el concepto de otredad. El investigador hace parte de la comunidad a investigar, en ésta debe definir su escenario de investigación, entendiendo el escenario, como el lugar y los integrantes de la comunidad.
Dentro de este
marco, los dos primeros autores de este artículo llevaron a cabo un estudio
etnográfico con la comunidad arhuaca durante un año,
trabajando con miembros de la comunidad y autoridades. Los principales participantes de este proyecto son la
comunidad indígena arhuaca ubicada en la Sierra Nevada,
representada por las máximas autoridades como: el cabildo gobernador, los mam
s , los estudiantes, y los profesores de las escuelas
tradicionales y del Centro Indígena de Educación Diversificada (CIED) ubicado en
Nabusimake, capital sagrada del resguardo indígena arhuaco en la Sierra Nevada de Santa Marta. En adelante presentamos las fases en que se realizó la
investigación.
3.3. Fases de la investigación
3.3.1 Primera fase: Recolección de datos
En esta se recolectó la información, realizando observaciones participativas en las prácticas comunitarias desarrolladas, y analizando las viviendas tradicionales (en el proceso de construcción y las ya construidas). Esta recolección de datos se realizó en la comunidad arhuaca de las siguientes tres formas:
- Teniendo en cuenta al marco teórico organizamos unos cuestionarios y unas preguntas abiertas para realizar en las diferentes entrevistas a miembros de comunidad (docentes tradicionales). Una de las preguntas guiadoras fue: ¿cuáles son los aspectos que tienen en cuentan los integrantes de la comunidad arhuaca en la construcción de sus viviendas tradicionales? Al hacer esto, fue importante tener un conocimiento previo sobre la cultura y tradiciones ancestrales, para no transgredir su ley de origen en el momento de compartir con la comunidad arhuaca, la cual es muy cerrada respecto a su conservación de la cultura (como suele pasar) en comunidades muy tradicionales como es el caso de Donachuwi y Sabana Crespo.
- Inicialmente se
realizaron visitas a comunidades tradicionales muy alejadas y cerradas para personas no-integrantes de la
comunidad (Bunachis); estas son el caso del sector de
la Cruz de Cristal (la granja), Seymu , Donachuy y Dowinduga, pero aun
así se aprovecharon estas visitas para realizar las entrevistas y algunas
conversaciones con diferentes integrantes de la comunidad, con el propósito de
conocer la cosmogonía de la geometría aplicada en la construcción de la
vivienda tradicional arhuaca. Se le realizaron a los docentes
Juan Izquierdo, Luis Mestre y Jeremías Torres quienes
aportaron diferentes conocimientos sobre los conceptos aplicados en la
construcción de la vivienda, además de explicarnos que la vivienda para el arhuaco, más que un lugar de vivir, es un lugar sagrado que
debe ser respetado y bautizado por el mam
antes de habitarlo.
- También se diseñaron entrevistas semi-estructuradas, revisadas por los miembros de los diferentes asentamientos de la comunidad antes de ser aplicadas, con la finalidad de analizar y conocer los conceptos geométricos aplicados por los arhuacos en la construcción de la vivienda tradicional arhuaca, además de analizar si la geometría no se encuentra presente en el currículo escolar de los arhuacos o si los jóvenes adquieren esos conceptos geométricos solamente desde sus prácticas socioculturales y tradicionales.
3.3.2 Segunda fase: Procesamiento de datos
Se procesa y categoriza la información recolectada por medio de las entrevistas principalmente realizadas a profesores tradicionales y las observaciones de la práctica sociocultural de la vivienda tradicional arhuaca, se identificaron las siguientes categorías: forma y dimensiones de la vivienda tradicional arhuaca que está asociada con la geometría, y la otra es la selección del sitio de construcción, relacionado con la cosmogonía de acuerdo a su ley de origen.[2]
3.3.3 Tercera fase: Interpretación de datos
En esta última fase se interpreta la información y se hace la construcción teórica que permite establecer los conocimientos geométricos presentes en la construcción de la vivienda tradicional de la comunidad indígena arhuaca.
4. Resultados
El siguiente informe describe de forma detallada los resultados cualitativos y cuantitativos obtenidos. Es un análisis de los datos que se recopilaron con diferentes instrumentos que se utilizaron como las entrevistas. Al responder las preguntas en cuestión, las personas mayores entrevistadas dieron a conocer su larga trayectoria donde enumera todas las actividades desarrolladas desde su niñez hasta los momentos actuales, entre las que se destacan, la agricultura, el comercio, la explotación de arena y piedra, la crianza de cabra, la educación, y el trabajo de familia. Nos enfocaremos en la información que se recolectó y que se analizó sobre la construcción de la vivienda tradicional y los conceptos geométricos que utilizan los arhuacos.
En entrevistas realizadas a los docentes tradicionales Luis Mestre, Juan Izquierdo & Jeremías Torres (2013) exponen que:
La casa de los arhuacos
hasta donde nosotros hemos escuchado (de los mayores) es cuadrada, la
casa tradicional necesariamente debe ser cuadrada, porque el cuadrado
representa para nosotros la perfección y está relacionado con los cuatro padres
y madres del universo, … si va hacer una casa para la familia, el tamaño de la
base depende del pensamiento del matrimonio tradicional y eso se mide en pasos
… hasta dónde nosotros hemos acompañado a construir esas casas, hacen medidas
con una braza del hombre del hogar y la cantidad de pasos de las dimensiones de
la bases, son el resultado del trabajo tradicional y consultado al padre Dios
padre Kakuserankua por parte del mam
experto en la construcción de la vivienda, la
altura de la casa dónde inicia el techo depende del hombre de la familia
(padre) se coloca de pie y estira su brazo y es la altura ….para verificar que
la base sea cuadrada se utiliza el hilo ( kuso ) que Kakuserankua
otorgó al padre de la medida (Timarwa), con esta se
trazan la diagonales y deben medir iguales… si esto no es así entonces la casa
va tener problemas queda imperfecta, la base tiene el mismo tamaño del
techo….nuestras viviendas antes de ser habitadas deben ser bautizada, debido a
que representa uno de nuestros cuatro ciclos (nacer, crecer, reproducir y
morir).
La construcción de la vivienda tradicional es comunitaria y se aprende desde la familia y las prácticas de la comunidad. Es caracterizada como un proceso funcional, espontánea, asistemática y poco crítica porque simplemente los padres y adultos mayores ( mam
s ) transmiten sus conocimientos a sus hijos de forma natural sin intenciones bien definidas. Aunque el proceso que se da no imita la lógica occidental, es fundamental anotar que para el arhuaco, la vivienda más que un lugar para vivir, es un lugar sagrado que se encuentra relacionado con la parte espiritual y ancestral desde su cosmovisión, cosmología y cosmogonía. Pese a que la geometría no hace parte del currículo escolar de los arhuacos, sí es fundamental en la construcción de su vivienda por las relaciones, figuras y teoremas geométricos implícitos en la construcción de la vivienda.
Ahora bien, al hacerse referencia sobre los conocimientos utilizados tanto por los alumnos como su grupo familiar y la comunidad, sobre la técnica para medir la longitud del terreno y las cantidades de materiales utilizados para la construcción de la vivienda tradicional, se pudo detectar que son semejantes los patrones aplicados en los tres contextos para medir y de esa manera determinar el pagamento[3] a realizar a la naturaleza de acuerdo a su ley de origen. La vivienda tradicional arhuaca se construye de forma cuadrada por ser la figura geométrica perfecta que representa los cuatro puntos cardinales y los cuatro elementos de la naturaleza, por los cuales se paga, por ser recibidos, para mantener el equilibrio con ella. El indígena arhuaco de la Sierra Nevada de Santa Marta ubica el fuego para calentar en el centro de la casa. La vivienda tradicional posee una sola puerta y una ventana de forma cuadrada orientada hacia donde sale el sol, para recibir la luz de kakuserankua, padre de los arhuacos.
En cuanto a las medidas y conceptos geométricos que se aplican para la construcción de la vivienda arhuaca, están dadas en brazadas y por lo general, cada una de estas viviendas tiene como medida doce brazadas que se representan estirando ambos brazos doce veces y son de base cuadrada. En cuanto a la manera como se emplea la medida y los conceptos geométricos de la vivienda tradicional para determinar el área y el largo como el ancho de la vivienda, el mam
a pesar de desconocer definiciones de medidas, posee un patrón propio de la comunidad para este cálculo representado en varas, equivalente a la distancia que hay desde la punta del dedo índice hasta la parte central de su pecho, lo cual representa aproximadamente 80 o 90 centímetros.
A continuación, se expondrán los datos cuantitativos de las proporciones utilizadas en la construcción de la vivienda matrimonial de los indígenas arhuacos. Estos datos y relaciones espaciales se ilustran con figuras y fórmulas, no para traducir los conocimientos a la lógica de la geometría occidental, sino para identificar los patrones que se establecen y se preservan en esta práctica laboral tradicional.
Según Kraft (2004) un patrón geométrico es una repetición en tiempo y espacio y las figuras a continuación son la abstracción y la visualización de ese proceso espacial repetible. En otras palabras, nuestro objetivo es abstraer y presentar las formas geométricas de la construcción de la vivienda tradicional arhuaca cuyas formas geométricas se preservan en el acto laboral (de forma viva).
La altura de la casa de los arhuacos depende de la altura alcanzada por el dueño al extender verticalmente su brazo (ver Figura 1).

Consideremos la altura alcanzada del indígena arhuaco con el brazo extendido verticalmente como la variable x (La estatura de los indígenas arhuacos oscila entre 1.50 m – 1.60 m); así la proporción encontrada es:
[Ecuación 1]La constante de proporcionalidad es k=1. La base de la casa es cuadrada y la proporción con relación a la estatura del indígena con los brazos extendido verticalmente de la casa es:
[Ecuación 2] La constante de proporcionalidad es 
Las medidas se calculan respecto a x (altura alcanzada por el indígena con el brazo extendido verticalmente). Calculemos a y (la longitud desde un vértice del cuadrado hasta el punto donde se intersectan las diagonales), esta es equivalente a la mitad de la diagonal (ver Figura 2).

Calculemos la diagonal por teorema de Pitágoras
[Ecuación 3] Este resultado también se obtiene directamente teniendo en cuenta que y es la hipotenusa en un triángulo rectángulo isósceles de lado x. El volumen del paralelepípedo que se forma en la casa se ilustra en la figura 3. Se calcula
unidades cúbicas.

Este volumen calculado es el equivalente al volumen de palma necesaria para el techo de la vivienda (ver Figura 3). La pirámide de base cuadrada que se forma en el techo de la vivienda tiene la forma presentada en la figura 4:

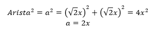
La longitud de la arista (a) de la pirámide se calcula con base en la figura que se anexa, este triángulo se dibuja en la diagonal del cuadrado de la base (ver Figura 4); el cateto del triángulo rectángulo es equivalente al valor de y calculado anteriormente.
[Ecuación 5]Dada la forma arquitectónica del techo, podemos realizar un gráfico donde se representen algunas líneas de la foto que nos permiten asociarlas con teoremas dados en la geometría (Figura 5).

Aplicando teorema de Thales[4] podemos establecer las siguientes proporciones:
[Ecuación 6]5. Conclusiones
Este estudio de los conceptos geométricos en la arquitectura de la vivienda tradicional de la comunidad arhuaca de la sierra nevada de Santa Marta se desarrolló en conexión con la metodología de la investigación Vivencialista/Experiencialista para lograr integrar a los miembros de la comunidad arhuaca a dicho proyecto y contar con el aval de las autoridades tradicionales. Sólo fue después de muchos acuerdos realizados con ellos que se permitió que desarrollásemos la investigación, sin embargo, fue precisamente esa cercanía intelectual lo que nos permitió transcender las limitaciones epistemológicas de ambas; la antropología y de la matemática para llegar a conclusiones más interdisciplinarias. Al ver su proceso laboral tradicional como patrones y figuras geométricas pudimos analizar sus matemáticas dentro de su propio contexto sociocultural en vez de uno ajeno, dentro de la línea de investigación de la etnomatemática y la etnogeometría.
En cuanto al pensamiento arhuaco, en general, se refiere a la comprensión que tienen los indígenas sobre la constitución del universo, ya que este, está constituido por un número o unas dimensiones y para sentirse agradecido con el universo, con la naturaleza se tiene que utilizar unos pagamentos que es la forma como le retribuyen a la naturaleza por los servicios adquiridos en la misma cantidad que está constituido, para los arhuacos no existe la resta porque es sinónimo de muerte, pueden multiplicar sumar dividir pero no restar. Las matemáticas son las que dan el orden al universo, tienen sus límites y los seres humanos como cuidadores del universo no se pueden pasar.
Los arhuacos en la construcción de la vivienda tradicional arhuaca establecen conceptos geométricos y de relaciones matemáticas como las proporciones. La casa es de base cuadrada, porque consideran que el cuadrado es perfecto; además, de forma práctica, este concepto es utilizado para maximizar el área de la vivienda en construcción. Aplican conceptos geométricos y patrones de medidas propios para la medida de los elementos y las dimensiones de la vivienda en construcción. También se pueden identificar los conceptos de paralelismo y perpendicularidad del proceso al aplicar el teorema de Thales. Otros conceptos que se aplican son los de área y volumen, siendo el volumen de la vivienda el de un paralelepípedo, como se muestra en los resultados.
La relevancia de estas conclusiones se sitúa en el campo de la educación de las matemáticas ya que esta información se puede usar, primero, como parte de un currículo de matemáticas desde una perspectiva sociocultural y, segundo, como cuestionamiento de la relación entre los conocimientos escolares y los saberes tradicionales de una comunidad. En la comunidad arhuaca, por ejemplo, pese a no poseer conocimientos escolares avanzados, las personas mayores de la comunidad sí tienen un entender geométrico preservado en la construcción de sus casas que sirve a fines prácticos y estéticos. Los jóvenes, por su parte, participan en estos conocimientos geométricos ancestrales a pesar de no tener inmerso en su currículo escolar la geometría como asignatura obligatoria. Los resultados de este trabajo, por ejemplo, podrían ayudar a integrar las dos formas del saber, a contribuir a un currículo más relacionado con la etnoeducación. Esta es legislada en Colombia por medio de la ley 115 de 1994 del Ministerio de Educación, en la cual se establece que la etnoeducación es un proceso de formación permanente, personal, cultural y social que se fundamenta en una concepción integral de la persona humana, de su dignidad, de sus derechos y de sus deberes. Prevé atención educativa para los grupos que integran la nacionalidad, con estrategias pedagógicas acordes con su cultura, su lengua, sus tradiciones y sus fueros propios y autóctonos.
Desde esta legislación las comunidades indígenas son autónomas de diseñar el modelo de educación que ellos vean adecuado para su desarrollo y conservación de la cultura. La comunidad arhuaca trabaja con el Proyecto Educativo Comunitario (PEC) donde en conjunto, la comunidad, los mam
s , los representantes, docentes, estudiantes y los padres de familia deciden qué clase de educación quieren que reciban los estudiantes.
Debido a las falencias que son producidas por la imposición del modelo educativo occidental, lo que ha generado la falta de continuidad en el proceso de aprendizaje de los estudiantes, esto ha llevado a que la educación no sea de forma ordenada sino que acceden a ella cada vez que pueden; partiendo de eso se sugirió presentar un currículo abierto dentro del aula (que es el principal centro del problema); en esta propuesta, el currículo es realizado y llevado a cabo por el docente a cargo en el cual le da importancia a las diferencias individuales y del contexto social, cultural y geográfico en que se aplica el programa. La evaluación de dicha iniciativa se centra en la observación del proceso de aprendizaje con la finalidad de determinar el nivel de comprensión del contenido y la utilización del mismo en situaciones nuevas. Lo que se busca es que el estudiante adquiera un aprendizaje significativo y lo más importante sin faltar a las prácticas culturales y a las costumbres de los estudiantes.
Además, llegamos a evidenciar la pertinencia de este trabajo para la educación matemática, en la medida que permite fortalecer la línea de investigación en etnomatemática en la Universidad Popular del Cesar, y desarrollar una propuesta hacia la promoción de las matemáticas contextualizadas y el encuentro académico entre estas culturas, con lo que se espera hacer un aporte, no a la educación occidental, sino a la nuestra en pro de una educación intercultural e incluyente. De esta forma, se debe de tener en la planificación de actividades de aprendizaje de las matemáticas, aspectos relacionados con la enseñanza de la geometría de los patrones propios que poseen los alumnos en cuanto a la medida de longitud y área, aplicados en las diferentes actividades socioculturales y tradicionales que se realizan en sus propios grupos familiares y en las practicas comunitarias. El concepto aportado en la escuela, generalmente es diferente al que los educandos conocen y aprenden en sus prácticas socioculturales, pero que en la práctica posee la misma intención.
Cabe destacar que por naturaleza existen en los seres humanos dos tipos de saberes que constituyen el conocimiento adoptado por naturaleza de cada persona (conocimiento lego) o la conceptualización propia del ser, y el conocimiento institucional o conocimiento científico, distinguido así de quien lo obtiene y cómo lo emplea. En general se deben establecer propuestas relacionadas con la enseñanza de los contenidos matemáticos, tomando en cuenta el área geográfica, las costumbres y las culturas dónde se desenvuelven los alumnos realizando actividades que involucran aspectos tales como: contar, medir, calcular y comparar mediante patrones de medida que establezcan un mejor entendimiento sobre lo que ya conocen y con lo que han adquirido en la institución.
Agradecimiento
A los miembros de la comunidad arhuaca y en espacial a las familias Izquierdo Gelvis, Beltrán Armenta, Mestre Mestre y Torres Mindiola, al mam mayor Norberto Torres (Zeukukuy), a los profesores tradicionales bilingües arhuacos Jeremías Torres, Luis Mestre, Juan Antonio Izquierdo, Álvaro izquierdo, Antolino Torres (rector del CIED), en especial al Comité Educativo de la Comunidad arhuaca, estudiantes, personal administrativo del CIED y a los señores Jaime Consuegra y Luis Suárez Arias, por toda su hospitalidad, información suministrada, permisos de ingreso y estancia en el resguardo y apoyo logístico durante el proceso investigativo.
Referencias
Aroca, A. (2008). Una propuesta metodológica en etnomatemática. Rev. U.D.C.A Actualidad & Divulgación Científica , 11(1), 67-76.
Bishop, A. (1999). Enculturación matemática. La educación matemática desde una perspectiva cultural. Barcelona: Paidós.
Blanco-Álvarez, H. (2006). La Etnomatemática en Colombia. Un programa en construcción. Revista BOLEMA: Boletim de Educação Matemática , 19(26), 49-75.
D’Ambrosio, U. (1990). Etnomatemáticas . São Paulo: Editora Ática.
D’Ambrosio, U. (2005). Society, Culture, Mathematics and its Teaching. Educação e Pesquisa. Revista da Faculdade Educação da USP , 9(1), 99-120
D’Ambrosio, U. (2011). Educação para umasociedade emtransição. Natal: Editora da EFRN.
De la Hoz Molinares, E., Pacheco Fernández, J., & Trujillo Varilla, O. (2016). Números y universo arhuaco. Revista Latinoamericana de Etnomatemática , 9(2), 33-52.
Gerdes, P. (2003). Awakening of Geometrical Thought in Early Culture . MEP Publications. De la University of Minnesota Digital Conservancy.
Kraft, K. (2004). Textile Patterns and Their Epistemological Functions. Textile: The Journal Of Cloth & Culture , 2(3), 274-289.
Mestre, L., Izquierdo, J., & Torres, J. (2013, diciembre 22). [Entrevista con Luis Mestre, Juan Izquierdo y Jeremías Torres: Construcción de la Vivienda Tradicional Arhuaca ]. Grabación en vídeo.
Padrón, J. (2007). Tendencias epistemológicas de la investigación en el siglo XXI. Cinta de Moebio 28, 1-28.
Zalabata, R. (2000). Cosmogonía Arhuaca, Memorias de la conferencia dictada a la Expedición Pedagógica Nacional, Pueblo Bello Cesar Editorial Universidad Pedagógica Nacional, Bogotá. Colombia.
Notas
Notas de autor