Artículos de reflexión
Recepción: 20 Enero 2018
Aprobación: 21 Junio 2018
Resumen: El modelamiento matemático ha permitido dar respuesta a muchas problemáticas en diferentes ramas del conocimiento, en el campo de la biomecánica y el deporte también ha sido así. Este artículo se propone analizar algunas de las técnicas de pateo en el Taekwondo en un caso más específico la patada Dollyo Chagui ya que es una de las más ejecutadas en este deporte. También se introduce y se relaciona la idea de sistemas de control y sistemas dinámicos, en donde su evolución se da a través del tiempo y de otras variables dependientes a esta, tales como el desplazamiento y demás. Este artículo presenta una modelación computacional y experimental a través de videos grabados con taekwondistas y no taekwondistas analizados por medio de Tracker, donde a partir de estos resultados se halla una deducción matemática con el fin de lograr un código en C++ el cual permitirá realizar predicciones con tan solo unas condiciones iniciales y así mismo optimizar la ejecución de las patadas. A través de estos análisis fue posible reconocer usos de las tecnologías en el proceso de modelación y las contribuciones de los modelos y la modelación en comprensión de prácticas deportivas.
Palabras clave: Magnitud de Posición, Sistemas de Control, C++, Tracker, Trayectoria, Patada Dollyo Chagui, Desplazamiento.
Abstract: Mathematical modeling has allowed to respond to many problems in different branches of knowledge, in the field of biomechanics and sports has also been. This article aims to analyze some of the kicking techniques in Taekwondo in a more specific case the Dollyo Chagui kick since it is one of the most executed in this sport. It also introduces and relates the idea of control systems and dynamic systems, where its evolution occurs through time and other variables dependent on it, such as displacement and others. This article presents a computational and experimental modeling through videos recorded with taekwondistas and non taekwondistas analyzed by means of Tracker, where from these results a mathematical deduction is found in order to achieve a code in C ++ which will allow to make predictions with just a few initial conditions and likewise optimize the execution of the kicks. Through these analyzes it was possible to recognize uses of technologies in the modeling process and the contributions of the models and the modeling in understanding of sports practices.
Keywords: Magnitude of Position, Control Systems, C ++, Tracker, Trajectory, Dollyo Chagui Kick, Displacement.
1. INTRODUCCIÓN
Todo deportista siempre ha soñado con mejorar sus técnicas por medio de la práctica de las mismas, siempre se esmera en tener el mejor rendimiento con cada movimiento o con cada estrategia planteada a la hora de competir, y en este caso el Taekwondo no es la excepción. La correcta ejecución de una técnica de pateo siempre ha sido el objetivo primordial de los practicantes de este arte marcial, entonces si se llegase a plantear un modelo matemático que permita la optimización de la trayectoria que debe seguir una técnica, incluso la ubicación que debe tener el cuerpo para mejorar la patada conllevaría a la corrección de muchos aspectos a nivel competitivo, como mejorar la eficacia y alcance de su patada en un combate, la correcta postura y ejecución de cualquier técnica en el momento de elaborar una figura (Poomsae), facilitar al artista marcial el aprendizaje de la técnica desde sus inicios e incluso hacer predicciones en la ejecución de la patada.
Este problema genera un gran interés investigativo aplicable al campo de la modelación matemática ya que incorpora aspectos como el análisis de trayectorias y además motiva la implementación de saberes matemáticos en otros campos y en el mismo entorno de entrenamiento. De igual manera, las características de este problema le permiten al docente de matemáticas disminuir las problemáticas existentes en la transferencia del conocimiento en matemáticas utilizando estrategias como la modelación matemática.
Biembengut (como se citó en Vera y Díaz, 2015) distingue tres concepciones de modelación matemática: como método de enseñanza y de investigación, como alternativa pedagógica de la matemática y como ambiente de aprendizaje. Se piensa no solo en el esquema de enseñar matemáticas para poder aplicarlas, sino que se instala otro esquema, correspondiente a utilizar la modelación para el aprendizaje de las matemáticas o la generación de diversas capacidades u otros propósitos en la escuela.
En la perspectiva de este artículo, se hace la modelación como un método para la investigación de una práctica deportiva. El proceso que se realiza en este artículo identifica y analiza las variables de una práctica real y, a partir de los resultados matemáticos, busca comprender el fenómeno tal práctica y proponer maneras de mejorar las técnicas de los deportistas. En ese sentido, este tipo de experiencias podría convertirse en una posibilidad de hacer modelación matemática escolar pues, en términos de Villa-Ochoa, Castrillón-Yepes y Sánchez-Cardona (2017) daría cuenta de una situación en un contexto y actividad auténtica. La modelación matemática de esta práctica deportiva involucra una complejidad que hace que su estudio involucre el uso de tecnologías digitales. En ese sentido, se convierten en un ejemplo que, al interior del aula, integra el uso con sentido de herramientas computacionales para hacer la modelación; es decir, un uso no domesticado de las tecnologías en los procesos de modelación (Borba y Villarreal, 2005; Villa-Ochoa, González-Gómez y Carmona-Mesa, 2018); para el caso particular de este estudio se utilizó el software Tracker.
2. ALGUNOS ANTECEDENTES TEÓRICOS
La modelación matemática aparece hacia los años sesenta como una manera de dar respuesta a las inquietudes que tenían algunos estudiantes de ingeniería sobre las posibles aplicaciones existentes en las matemáticas que aprenden durante su formación (Vera y Díaz, 2015). Este hecho también realiza aportes en el campo de la didáctica matemática, en el proceso de enseñanza de otros contenidos cuando se busca que el estudiante encuentre una relación entorno y escuela. Con este propósito el Ministerio de Educación Nacional de Colombia (MEN, 1998) proponen el desarrollo del pensamiento matemático a partir de la implementación de la modelación matemática y de otros cuatro procesos; a saber: el razonamiento; la resolución y planteamiento de problemas; la comunicación y la elaboración, comparación y ejercitación de procedimientos.
Dado que el objetivo principal del presente estudio es realizar una modelación matemática y computacional, atribuimos a Giordano, Weir y Fox (como se citó en Villa-Ochoa, 2007) que define un modelo matemático como una construcción matemática dirigida a estudiar un fenómeno particular del “mundo-real”. Este modelo puede incluir gráficas, símbolos, simulaciones y construcciones experimentales. A través de este estudio se perfila una posibilidad para relacionar la matemática con la biomecánica a través de la modelación. La biomecánica es el conjunto de conocimientos interdisciplinares generados a partir de utilizar, con el apoyo de otras ciencias biomédicas, los conceptos de la mecánica y distintas tecnologías en: primero, el estudio del comportamiento de los sistemas biológicos y, en particular, del cuerpo humano; segundo, en resolver los problemas que le provocan las distintas condiciones a las que puede verse sometido (Instituto de Biomecánica de Valencia, como se citó en Izquierdo, 2008). Una subdisciplina de la biomecánica se encarga de la actividad física y deportiva ya que en muchas ocasiones, detrás de una actividad deportiva, hay aspectos mecánicos que explican algunas situaciones deportivas tales como calcular el ángulo adecuado en un lanzamiento de peso para un deportista determinado o para que su alcance sea máximo o… En otras ocasiones, el conocimiento de estos aspectos mecánicos proporciona una base científica y en muchas ocasiones demuestran cómo pueden obtenerse ventajas en el análisis de técnicas deportivas, en los implementos utilizados y/o los objetos que el deportista golpea o lanza, etcétera (Izquierdo, 2008), así pues se logra un vínculo entre una rama de la ciencia matemática y el deporte.
El deporte objeto de estudio será el Taekwondo que, según Ramos (2002), puede definese como:
La palabra deriva de los vocablos Tae que significa pie, Kwon quiere decir mano y Do el camino, que literalmente significa “camino de los pies y de las manos”. Es decir, “Arte de la defensa con pies y manos”. El Taekwondo es un arte, porque la belleza de su conjunto de movimientos de defensa y contraataque, realizados con fuerza, precisión, efectividad y armonía, así lo demuestra. El Taekwondo es disciplina, ya que forja en todo aquel que lo práctica un carácter sólido y firme. El Taekwondo es deporte, puesto que fomenta la superación del individuo mediante el ejercicio físico (p.17).
La patada Dollyo Chagui una de las patadas más ejecutadas en la práctica del deporte taekwondo y por tanto la más criticada, se define como un movimiento progresivo de flexión de la articulación de la cadera, flexo-extensión de la rodilla y flexión plantar del tobillo mientras simultáneamente el tronco rota y la articulación de la cadera realiza un movimiento de abducción para golpear en la cara del adversario (Hwang y Kim, extraído de Torres, I., 2009). Dada la descripción de esta patada es posible pensar en el análisis de la trayectoria, es decir, “el conjunto de puntos del espacio que va ocupando sucesivamente el cuerpo a medida que transcurre el tiempo” (Prodanoff, s.f., p.4). En esta trayectoria se podría considerar el desplazamiento que hace referencia a un vector determinado por las posiciones inicial y final de la partícula respecto a un sistema de coordenadas (Prodanoff, s.f.). Ya sea vertical, horizontal o ambos desplazamientos, al estudiar los recorridos a la par se podrá hablar de posición y así mismo de una magnitud.
Para lograr la modelación de la patada Dollyo Chagui es necesario contar con un software, por lo tanto, Tracker que es una herramienta gratuita de análisis y modelado de video basada en el framework Java Open Source Physics (OSP). Está diseñado para ser utilizado en la educación física. Su uso facilita el análisis de movimientos de una forma detallada a partir de fotogramas.
3. METODOLOGIA
La patada Dollyo Chagui es una de las patadas más ejecutadas en la práctica del deporte taekwondo y, por tanto, la más criticada. Se define como un movimiento progresivo de flexión de la articulación de la cadera, flexo-extensión de la rodilla y flexión plantar del tobillo mientras simultáneamente el tronco rota y la articulación de la cadera realiza un movimiento de abducción para golpear en la cara del adversario (Hwang y Kim, extraído de Torres, 2009). Este movimiento tiene un comportamiento complejo e interesante, por ello, se pretende modelar matemática y computacionalmente.
El trabajo actual requirió para el análisis de las trayectorias la colaboración de algunos practicantes y no practicantes de este deporte, los cuales fueron grabados ejecutando la patada Dollyo Chagui por medio de una cámara de video; posteriormente, se pasaron dichos videos al software Tracker el cual facilitó el análisis de la patada por medio de fotogramas, es decir se logró un estudio detallado y preciso del movimiento en instantes de tiempo muy cortos. Además de una observación minuciosa a la patada Dollyo Chagui, el Tracker ofrece muchas más herramientas. El principal objetivo fue el análisis de los ajustes a los desplazamientos que realiza la trayectoria de la patada en interés; un primer desplazamiento horizontal 𝑥(𝑡) y un segundo desplazamiento vertical 𝑦(𝑡) serán los primordiales en este estudio; visto de otra manera, se tienen dos componentes que el programa genera al realizar la trayectoria del movimiento; sin embargo, cabe la posibilidad de pensar en una tercera componente, a la cual llamaremos magnitud de posición 𝑟(𝑡), la cual hace referencia a la norma del vector generado entre el origen del eje coordenado y el punto de posición en un instante dado (el eje coordenado se sitúa en el origen de la trayectoria trazada por la patada Dollyo Chagui).

Luego, de la Figura 1 se deduce que:
[1]Como ya se mencionó, se resaltaran los ajustes generados por el programa, en la Figura 2 se evidencia el ajuste horizontal de una patada ejecutada por parte de un deportista y la Figura 3 muestra el ajuste vertical de la misma patada. Para poder elegir las ecuaciones que mejor se ajustaban a la trayectoria arrojada por el programa, se tomó el coheficiente 𝑅2 (coheficiente de correlación) que más se acercara a 1. De este modo se eligió el ajuste para la función 𝑥(𝑡) cómo:
[2]Al reemplazar (2) y (3) en (1) se obtiene:
[3]


Seguido a esto, se desarrolló un código en el lenguaje de programación C++ con la finalidad de generar datos que posteriormente se exportaron a un software graficador llamado Gnuplot y así comparar la gráfica generada por el código con la trayectoría generada por Tracker. Dentro del código se generaron las siguientes variables:


Como consecuencía de esto, surgió la necesidad de generalizar las expresiones que harían parte de las funciones de entrada al modelo; por consiguiente se construyeron las siguientes expresiones:

Se consideraron dos puntos para la construcción de las variables 𝐴1, 𝐵1, 𝐶1, 𝐷1 Sean son los punto 𝑃1(0,0) y 𝑃2(𝑡𝑓, 𝑥) donde 𝑡𝑓 es el tiempo que tarda en llegar la superficie de impacto el pie al final de la trayectoria trazada y 𝑥 la distancía horizontal recorrida en el instante 𝑡𝑓. Dado a que es una función cúbica pasa por el origen podemos deducir que:

Por lo tanto,
tenemos que 

Se consideraron dos puntos para la construcción de las variables 𝐴2, 𝐵2, 𝐶2
Sean son los punto 𝑃1(0,0) y 𝑃2(𝑡𝑓, 𝑦) donde 𝑡𝑓 es el tiempo que tarda en llegar la superficie de impacto el pie al final de la trayectoria trazada y 𝑦 la distancía vertical recorrida en el instante 𝑡𝑓. Dado a que es una función cuadrática que pasa por el origen podemos deducir que:

Por lo tanto,
tenemos que 
A partir de estos resultados computacionales fue mucho más factible pensar en una modelación matemática, así como en la creación de un sistema de control que según Marcaida y Zaballa (s.f.) “es una combinación de componentes (físicos o conceptuales) que actúan juntos y realizan un objetivo determinado” (p.3).
4. RESULTADOS
· Caso 1:
Se realizó una modelación de la patada Dollyo Chagui ejecutada por un practicante de Taekwondo cinturón negro primer Dan. Para el modelo se tuvo en cuenta los ajustes de 𝑥(𝑡) e 𝑦(𝑡) con la siguiente tabla de valores:

Al reemplazar los valores en el código de C++ y superponerlo con los puntos de trayectoria proporcionados por Tracker como se puede observar en la figura 5 (línea continua: modelo generado por C++, puntos de trayectoria: valores generados por Tracker).

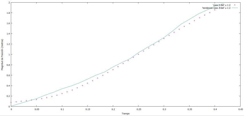
· Caso 2
Se realizó una modelación de una patada ejecutada por un practicante de Taekwondo principiante con las siguientes tablas de valores:

Nuevamente se implementó el código de C++ y se modelaron los datos del modelo planteado con la trayectoria generada por el programa Tracker, tal y como se puede ver en la Figura 6.

· Caso 3:
Para el siguiente caso se decidió predecir el modelo de una técnica de pateo adecuando las condiciones requeridas por el modelo. Se situó a un practicante de Taekwondo de grado avanzado a una distancia horizontal 𝑥 = 1.68 𝑚 situando un elemento de entrenamiento utilizado para practicar las técnicas de pateo, situado a una altura 𝑦 = 1.70 𝑚. El tiempo de duración de la técnica es de 𝑡𝑓 = 0.384 (el practicante fue grabado realizando la ejecución del movimiento). Luego se realizó el trazado de trayectoria en Tracker para compararlo con el modelo predictivo del código en C++ obteniendo la gráfica de la Figura 7.

5. CONCLUSIONES
Tracker, como herramienta de análisis, brindó oportunidades para la visualización y descripción de las patadas y de su trayectoria; estas oportunidades trascendieron usos que solo favorecen la disminución de carga operatoria o una mejor forma de presentar una gráfica. En ese sentido, las tecnologías utilizadas se convirtieron en un medio para re-crear el comportamiento de fenómeno de estudio, establecer datos, organizarlos para su análisis, y promover su análisis. En términos de Villa-Ochoa et al. (2018), las tecnologías utilizadas no fueron neutras en la producción de conocimiento sobre el fenómeno, esto pudo evidenciarse en la mediación que ofrecieron para la generación de una curva de tendencia al coeficiente de correlación y, por tanto, la comprensión de este sistema dinámico.
Conforme se evidenció en el proceso de modelación descrito en este artículo, no solo se usó un tipo de software. El uso articulado de varias herramientas surgió como respuesta a la necesidad de ajustar un movimiento a una expresión matemática conocida. Como puede observarse en la sección anterior, esta necesidad generó la delimitación de constantes que guiaron hacia la conformación de un código en 𝐶 + +. A partir de la conjunción de estas tecnologías se logró, además de comprender el movimiento, realizar predicciones sobre la ejecución de las patadas, tales como alcance máximo, duración de la patada, velocidad, aceleración, entre otros.
El software 𝐶 + + logró comprobar que los ajustes realizados en Tracker se acercaron a la trayectoria del movimiento de manera satisfactoria, y es útil con tan solo dar unos cuantos valores o condiciones iniciales tales como la altura del deportista, la distancia horizontal del objetivo y el tiempo de ejecución empleado en la patada, encontrando así la altura máxima de la patada. Se hace énfasis en que en las técnicas de pateo del Taekwondo, siempre lo primordial será realizar la técnica de manera que se vea bella, fuerte, y lo más importante que logre golpear su objetivo sin interesar que tan lejos se encuentre, todo ello será fructífero para los deportistas del taekwondo, pues a la hora de combatir podrán calcular una distancia media o de ejecución en la cual pueden lanzar su patada y así lograr golpear a su contrincante, y de esta manera se está logrando la optimización de la trayectoria de la técnica Dollyo Chagui. En coherencia con los planteamientos de Villa-Ochoa y Berrío (2015), los resultados de este estudio muestran una oportunidad de reconocer la importancia de los modelos y de la modelación en la compresión y el conocimiento de un fenómeno y de los contextos en los cuales ocurre; en el caso de este artículo se muestra que la modelación contribuyó a la comprensión y mejoramiento de una práctica deportiva; esta forma de hacer modelación permite que no solo se use como una manera de re-crear o ejemplificar la presencia de la matemática en una situación extramatemática, sino que, más allá de ello, posibilita ver el uso, pertinencia y aportes de la matemática en la solución de problemas reales.
La metodología utilizada en el presente artículo no solo ofrece información para que un deportista optimice las patadas a la hora de combatir, sino que también posibilita una manera de vincular el mundo del deporte con el de la matemática, la informática, la biomecánica y otras ramas del conocimiento, cual aporta a una visión más amplia sobre el rol de las matemáticas en otras áreas del conocimiento.
Otros estudios pueden desarrollarse a partir de este artículo; por ejemplo, posible pensar en relacionar la trayectoria de la ejecución de la patada Dollyo Chagui con algún otro tipo de técnicas en este mismo deporte, y así comparar las aproximaciones que se han generado. También se podría llevar este proyecto a zonas donde el acceso a objetos virtuales de aprendizaje es escaso, logrando analizar la eficacia que tiene este estudio en el aprendizaje de las matemáticas y su correcta aplicación en la realidad.
Conforme informa la literatura en modelación matemática, este tipo de actividades aporta en el desarrollo de un espíritu investigativo en los estudiantes (Bassanezi, 2002). Este aporte se fundamenta en la identificación de resolver problemas de interés (en este caso para deportistas) y en buscar métodos y herramientas para su indagación de forma sistemática. Otro aspecto que se resalta, es que a través de este tipo de modelación, puede vincularse en el deporte con otros dominios o disciplinas; conforme se mostró en este artículo, el Taekwondo, la matemática y otras disciplinas interactúan con un fin común; en este caso, comprender y mejorar una práctica deportiva.
REFERENCIAS
Arrieta Vera, J. y Díaz, L. (2015). Una perspectiva de la modelación desde la socioepistemología. Revista Latinoamericana de Matemática Educativa, 18(1), 19- 48. Doi: 10.12802/relime.13.1811
Bassanezi, R. C. (2002). Ensino-aprendizagem com modelagem matemática: uma nova estratégia. São Paulo: Contexto.
Borba, M. C., & Villarreal, M. E. (2005). Humans-with-Media and the Reorganization of Mathematical Thinking. New York: Springer.
Izquierdo, M., (2008). Biomecánica y Bases Neuromusculares de la Actividad Física y el Deporte. Madrid, España: Médica Panamericana. 2. Visualizado en https://books.google.com.co/books/about/Biomecánica_y_bases_neuromusculares_ de.html?id=F4I9092Up4wC&redir_esc=y
Marcaida, S. y Zaballa, I. Capítulo 1. Introducción ¿Qué es control? Teoría de Control. Recuperado de http://www.ehu.eus/izaballa/Control/Apuntes/lec1.pdf (p. 3).
Ministerio de Educación Nacional (1998). Lineamientos curriculares. Área de Matemáticas.
Prodanoff, F., (s.f.). Física Unidad 4 Cinemática. Seminario Universitario. Material para estudiantes. (s.f.). Recuperado de https://es.scribd.com/document/360088336/Unidad-4-fisica-pdf
Ramos, H., (2002). Lesiones en el Taekwondo: Incidencia y prevención (Tesis para obtener el grado de Cinta negra 1er. Dan en Taekwondo). Moo Duk Kwan de México. Moo Duk Kwn “Imán”. México. Extraído de https://es.slideshare.net/mobile/gabogaby/tesis-tkd-hgrr-lesiones-en-el-taekwondo
Torres I., (2009). Estudio sobre parámetros mecánicos y autoeficacia física percibida en la patada ‘Dolio Chagui’ de Taekwondo. (Tesis doctoral). Universitat de Valencia, Facultad de Medicina y Odontología, Departamento de Fisiología. Valencia. (p. 42). Extraído de https://www.tdx.cat/handle/10803/9923
Villa-Ochoa, J. A, (2007). La modelación matemática como un proceso en el aula de matemáticas: un marco de referencia y un ejemplo, Tecno Lógicas, 19, 63-66.
Villa-Ochoa, J. A., Castrillón-Yepes, A., y Sánchez-Cardona, J. (2017). Tipos de tareas de modelación para la clase de matemáticas. Espaço Plural, 18(36), 219-251.
Villa-Ochoa, J. A., González-Gómez, D., y Carmona-Mesa, J. A. (2018). Modelación y Tecnología en el Estudio de la Tasa de Variación Instantánea en Matemáticas. Formación Universitaria, 11(2), 25–34. Doi: 10.4067/S0718-50062018000200025
Villa-Ochoa, J. A., y Berrío, M. J. (2015). Mathematical Modelling and Culture: An Empirical Study. In G. A. Stillman, W. Blum, & M. S. Biembengut (Eds.), Mathematical Modelling in Education Research and Practice, International Perspectives on the Teaching and Learning (pp. 241–250). Cham: Springer. https://doi.org/10.1007/978-3-319-18272-8_19
Notas de autor