Recepción: 18 Junio 2015
Aprobación: 15 Diciembre 2015
Resumen: Tres ratas fueron expuestas sucesivamente a la entrega de agua no contingente (NK), contingente (K) y contingente condicional (KC) utilizando programas definidos temporalmente y tonos agregados al subciclo tD. El comportamiento bajo tales arreglos de contingencia se estimó utilizando índices de ajuste específicos a cada condición de entrega de agua, así como por medio de un índice de ajuste generalizado. Todos los índices calculados bajo la condición de entrega de agua NK fueron más altos que los índices calculados bajo la condición K, que a su vez fueron más elevados que los índices calculados bajo la condición KC. Los resultados concuerdan con los supuestos de complejidad e inclusividad progresiva de la propuesta taxonómica de Ribes y López. Se discuten las ventajas del índice de ajuste generalizado sobre los índices de ajuste específicos.
Palabras clave: discriminación condicional, índices de ajuste, reforzamiento no contingente, reforzamiento contingente, ratas.
Abstract: Three rats were successively exposed to non-contingent (NK), contingent (K) and conditional-contingent (KC) water delivery using temporally-defined schedules and tones added to the tD subcycle. Behavior under such contingency arrangements was estimated using specific adjustment indexes for each condition of water delivery as well as by means of a generalized adjustment index. All indexes calculated under the NK condition of water delivery were higher than indexes calculated under the K condition, which in turn were higher than indexes calculated under the KC condition. These results agree with the assumptions of progressive complexity and inclusiveness of behavioral functions recognized in Ribes and Lopez´s taxonomical proposal. The advantages of the generalized adjustment index over specific adjustment indexes are discussed.
Keywords: adjustment indexes, non-contingent reinforcement, contingent reinforcement, conditional discrimination, rats.
La propuesta taxonómica de Ribes y López (1985) divide el comportamiento psicológico en cinco tipos de organización funcional, definidos por el número de elementos de estímulo y de respuesta involucrados, el elemento mediador que los articula, así como por el nivel de desligamiento funcional y el criterio de ajuste a satisfacer en cada caso. De acuerdo con dicha propuesta taxonómica, los tipos de organización funcional del comportamiento que agotan la plasticidad psicológica de los organismos no lingüísticos son la función contextual, la función suplementaria y la función selectora (véase también Ribes, 2004).
La evolución del comportamiento al nivel de las funciones recién mencionadas puede inferirse tentativamente a partir de lo observado bajo situaciones experimentales en las que hayan estado vigentes las contingencias de ocurrencia (Ribes, 1997) que auspician dichas funciones. Las áreas de investigación sobre condicionamiento clásico (e.g., Pavlov, 1927), condicionamiento operante (e.g., Skinner, 1938) y la llamada discriminación condicional (e.g., Cumming & Beryman, 1961), respectivamente, constituyen parcelas del conocimiento psicológico pertinentes para rastrear los factores de los que depende la configuración de las funciones contextual, suplementaria y selectora.
No obstante, dado que las variables dependientes en las áreas de investigación aludidas se basan en preguntas no necesariamente coincidentes con las que se pueden formular desde el marco conceptual de la propuesta taxonómica de Ribes y López (1985), estas últimas por lo general son respondidas parcial e insatisfactoriamente (Carpio, Flores, Bautista, González, Pacheco, Páez & Canales, 2001; Ribes & Carpio, 1991). En la medida de que los datos en ciencia son siempre teóricos, es necesario que los registros derivados de la investigación experimental sean ajustados a la lógica de la taxonomía de referencia, puesto que de otra manera difícilmente podrán constituirse como datos y evidencia de los hechos en ella reconocidos (Hanson, 1977).
Tras un razonamiento como el anterior, y con la finalidad de contrastar empíricamente los supuestos de complejidad e inclusividad progresivas que caracterizan a la propuesta taxonómica ya señalada, Serrano (2009) propuso que la configuración de las funciones contextual, suplementaria y selectora debería cuantificarse según tres diferentes índices, basados en el criterio de ajuste a satisfacer en cada caso y la clasificación de propiedades funcionales de respuesta de Ribes y Montes (2009): a) respuesta requerida (RR) o segmento que satisface el criterio de ajuste; b) respuesta contingente (RK) o segmento en torno de los estímulos contextualizadores (Ex); c) respuesta compatible (RC) o segmento que facilita RR y RK; d) respuesta incompatible (RI) o segmento que interfiere con RR y RK; y e) respuesta irrelevante (Ri) o segmento que no facilita ni interfiere con RR ni con RK.
Para la función contextual, cuyo criterio de ajuste consiste en la adecuación de la actividad del organismo respecto de los parámetros temporoespaciales de la actividad del ambiente, se propuso que un índice de diferencialidad (ID) podría calcularse como

donde T es tiempo y s sesión experimental. En el caso de la función suplementaria, en la que el criterio de ajuste consiste en la adecuación espacial y temporal de la actividad del organismo para mediar el contacto con los eventos de estímulo, se propuso que un índice de efectividad (IE) podría calcularse como
(2)donde 1 y 2 se refieren a producidos y programados, respectivamente. En tercer lugar, para la función selectora, cuyo criterio de ajuste implica la adecuación del responder efectivo dado uno u otro evento selector, se propuso que un índice de precisión (IP) podría calcularse como
(3)donde A y B se refieren a las relaciones suplementarias mediadas selectoramente.
Estudios previos en los que los registros se transformaron según las fórmulas 1, 2 y 3 apoyaron los supuestos de complejidad e inclusividad progresivas para los que fueron ideadas. Específicamente, utilizando ratas como sujetos experimentales y programas definidos temporalmente (Schoenfeld & Cole, 1972) en los que se entregó agua de manera no contingente (NK), contingente (K) y de acuerdo con una situación de discriminación condicional de dos opciones (KC), en tales estudios se observó que los ID calculados bajo la condición NK superaron a los IE calculados bajo la condición K, los que a su vez superaron a los IP calculados bajo la condición KC. Cuando las tres condiciones de entrega de agua fueron enfrentadas sucesivamente por los sujetos experimentales, se observó que los ID disminuyeron progresivamente entre las condiciones NK, K y KC, así como que los IE disminuyeron de la condición K a la condición KC (Serrano, 2009; 2013; 2014a; 2014b; Serrano, Castellanos, Cortés-Zúñiga, De la Sancha Villa & Guzmán-Díaz, 2011).
in ánimo de demeritar el valor de los resultados antes descritos en torno de los supuestos de complejidad e inclusividad progresivas de la propuesta taxonómica de Ribes y López (1985), en los índices propuestos por Serrano (2009) se pueden identificar cuando menos cuatro problemas. El primero de ellos es que en el caso del ID y del IE, RI no se refiere a aquellos segmentos de actividad que interfieren con RR y RK, como ocurre en el caso del IP, sino a segmentos que impiden que ambos índices alcancen el valor máximo. Un segundo problema radica en que mientras en el caso del IE y el IP el rango de valores posibles va de 0.0 a 1.0, en el caso del ID la variable puede tomar valores negativos, cuestionado la comparabilidad de los índices. El tercer problema se relaciona precisamente con esta comparabilidad. Los tres índices implican diferentes relaciones aritméticas entre registros igualmente distintos y, no obstante, se establecen comparaciones directas entre ellos. El cuarto problema, probablemente el más importante, tiene que ver con la ausencia de criterios para asignar tal o cual relación aritmética a uno u otro índice, así como con la correspondencia de tales relaciones aritméticas con el concepto de ajuste.
Sobre la base de las definiciones recuperadas por Serrano (2009) en torno de los criterios de diferencialidad, efectividad y precisión (Carpio, 1994), se sigue que el término ajuste puede entenderse como la serie de cambios en las actividades del organismo y el ambiente, tendentes a la satisfacción de los criterios vigentes en la situación interactiva conforme a las magnitudes y parámetros en ella estipuladas. Dado que el ajuste así entendido implica, por un lado, un rango entre lo que es posible hacer en la situación y lo que en efecto el organismo realiza al respecto y, por el otro, el grado de correspondencia entre las propiedades dinámicas de ambos elementos, es posible suponer que la relación aritmética más pertinente para relacionarlos sea la sustracción, toda vez que en última instancia todo ajuste implica un incremento progresivo de RR y RK (y por implicación RC), en concomitancia con una disminución de RI y respuestas persistentes (RP), es decir, respuestas no funcionales pautadas por RR y RK . De aceptarse este razonamiento, un índice de ajuste generalizado que resolvería los problemas ya señalados, podría calcularse como
(4)En el contexto de lo hasta aquí señalado, en el presente estudio se exploró la viabilidad de esta nueva fórmula para estimar la configuración del comportamiento al nivel de las funciones contextual, suplementaria y selectora recocidas en la propuesta taxonómica de Ribes y López (1985). Para el efecto, se expuso a ratas a la entrega de agua NK, K y KC entre fases sucesivas. Se esperaba que en correspondencia con los índices calculados según las fórmulas 1, 2 y 3, el índice de ajuste generalizado calculado según la fórmula 4 disminuyera entre condiciones de entrega de agua.
Método
Sujetos
Se utilizaron tres ratas Wistar macho, experimentalmente ingenuas y de aproximadamente tres meses de edad al inicio del experimento. Las ratas fueron sometidas a un régimen de privación de agua con acceso libre al alimento (Purina Rodent Lab Chow 5001 ®). Después de cada sesión experimental, las ratas recibieron 30 min de acceso libre al agua en sus jaulas hogar, las cuales se ubicaron en una colonia con temperatura controlada y un ciclo luz-oscuridad 12:12.
Aparatos
Se utilizaron tres cámaras de condicionamiento operante construidas a partir de hieleras para días de campo de la marca Coleman® [Modelo M5248A7186 (45.43 litros)]. Cada hielera se dividió en dos secciones mediante una pieza de hierro forjado, conformada por un ángulo de 25.7 cm de largo y ocho soleras de 27 cm. Las soleras, soldadas al ángulo, sirvieron para conformar cuatro bastidores en los que se colocaron los módulos de estímulo y de respuesta necesarios para conducir el experimento. En la sección derecha de cada hielera se abrió un orificio de 12 cm x 12 cm y se colocó un ventilador de la marca Steren ® (Modelo VN6-117M). El ventilador facilitó la circulación del aire y proporcionó ruido blanco constante. La sección izquierda de cada hielera sirvió como espacio experimental, el cual midió 26.7 cm de ancho x 25.7 cm de largo y 27 cm de altura. El piso de rejilla correspondiente se elaboró mediante malla metálica (calibre 18) y cuatro ángulos de hierro forjado similares al utilizado como base para los bastidores. En los bastidores centrales, a 12 cm de ambas paredes laterales y a 2 cm del piso de rejilla, se colocó un dispensador de agua (MED ENV-202M-S) provisto con un detector de entradas (MED ENV-254). En cada activación, el dispensador dio acceso a 0.01 cc de agua durante 4 s. Dos centímetros encima del dispensador se colocó un sonalert (MED ENV-223HAM) que emitió un tono de 4500 Hz en cada activación. Un segundo sonalert (MED ENV-223AM) que emitió un tono de 2900 Hz por activación se colocó encima del primero. Una palanca retráctil (MED ENV-110M) se colocó al lado derecho y otra al lado izquierdo del dispensador de agua y ambas requirieron una fuerza de 0.2 N para el cierre del microinterruptor. La programación y registro de los eventos experimentales se realizó mediante una computadora de escritorio convencional (HP Compac Pro 6305), provista con una interfaz (MED SG-6080D) y software (MED-PC ® IV) especializados.
Procedimiento
Las ratas fueron expuestas directamente a las condiciones de entrega de agua NK, K y KC, en ese orden. Ninguna rata recibió moldeamiento de las respuestas de aproximarse al bebedero o de apretar las palancas. En todos los casos se utilizó un programa definido temporalmente de 60-s. Los primeros 30-s correspondieron al subciclo tD y los 30-s restantes al subciclo t∆. Los subciclos se correlacionaron con probabilidades de entrega de agua de 1.0 y 0.0, respectivamente. El subciclo tD se correlacionó de forma aleatoria con el tono de 4500 Hz (Tono A) o bien con el tono de 2900 Hz (Tono B), mientras el subciclo t∆ no se correlacionó con tono alguno.
En la condición de entrega de agua NK el agua se entregó al final del subciclo tD al margen de la actividad de las ratas, la cual no tuvo consecuencias programadas. Bajo la condición de entrega de agua K, la primera respuesta sobre cualquiera de las palancas durante el subciclo tD produjo la activación del dispensador y la cancelación del tono presentado. De no emitirse respuesta alguna en el subciclo tD el tono presentado permaneció encendido hasta el final del subciclo y la entrega de agua programada para ese ciclo particular no se presentó. Durante el subciclo t∆ las respuestas sobre las palancas no tuvieron consecuencias programadas. Bajo la condición de entrega de agua KC, la primera respuesta sobre una u otra palanca durante el subciclo tD también produjo la entrega del agua y la cancelación del tono presentado. La efectividad de la respuesta, sin embargo, estuvo determinada por el tono correlacionado con el subciclo tD. El Tono A señaló la operatividad de la palanca derecha, mientras el Tono B señaló la operatividad de la palanca izquierda. Al igual que en los casos anteriores, las respuestas en el subciclo t∆ no tuvieron consecuencias programadas. Cada condición de entrega de agua estuvo vigente durante 30 sesiones experimentales consecutivas, cada una de las cuales estuvo conformada por 60 ciclos T.
Resultados
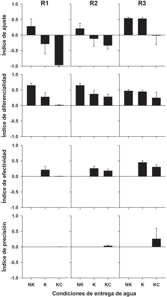
Los paneles superiores de la Figura 1 muestran el promedio del índice de ajuste generalizado en las últimas 10 sesiones de cada condición de entrega de agua para las tres ratas. De arriba hacia abajo, los paneles siguientes muestran el promedio de los índices de diferencialidad, efectividad y precisión en el mismo periodo. En la figura se observa que el índice de ajuste generalizado disminuyó de la condición de entrega de agua NK a la condición K y de ésta a la condición KC para las tres ratas. El efecto fue más notorio para las ratas 1 y 2 que para la Rata 3, principalmente de la condición de entrega de agua NK a la condición K. En la condición de entrega de agua KC, el índice de ajuste generalizado alcanzó valores negativos para las tres ratas. En los caso del índice de diferencialidad y del índice de efectividad, la Figura 1 muestra decrementos similares a los observados en el índice de ajuste generalizado entre las tres condiciones de entrega de agua. Específicamente, el índice de diferencialidad disminuyó de la condición de entrega de agua NK a la K y de ésta a la condición KC para los tres animales. Asimismo, en todos los casos el índice de efectividad disminuyó de la condición de entrega de agua K a la condición de entrega de agua KC.
Aunque parte de lo que justificó el presente trabajo fue el establecimiento de comparaciones directas entre los índices de diferencialidad, efectividad y precisión, únicamente con la finalidad de identificar similitudes con estudios anteriores, en la Figura 1 puede destacarse que para las tres ratas el índice de diferencialidad calculado en la condición de entrega de agua NK fue superior al índice de efectividad calculado en la condición de entrega de agua K, el que a su vez fue superior al índice de precisión calculado en la condición de entrega de agua KC.

Discusión
En el presente trabajo se trató de evaluar la viabilidad de una nueva fórmula para estimar la configuración del comportamiento al nivel de las funciones contextual, suplementaria y selectora recocidas en la propuesta taxonómica de Ribes y López (1985). Al igual que ocurrió entre los índices de diferencialidad, efectividad y precisión en diferentes estudios previos (Serrano, 2009; 2013; 2014a; 2014b; Serrano et al., 2011), el índice de ajuste generalizado calculado según la fórmula 4 del presente escrito, disminuyó progresivamente entre las condiciones de entrega de agua NK, K y KC a las que fueron expuestos los sujetos experimentales. Asimismo, al calcular los índices de diferencialidad, efectividad y precisión planteados originalmente en esta área de investigación, en el presente estudio se observó la misma disminución progresiva entre e intra índices específicos a través de dichas condiciones. Sobre estos resultados puede señalarse que:
1) Si bien los índices de ajuste originalmente descritos por Serrano (2009) se basan en diferentes registros según cada condición experimental enfrentada por el organismo, esa característica no ha impedido que los índices calculados de acuerdo con las formulas 1, 2 y 3 mostraran resultados similares a los que se observan al transformar un mismo grupo de registros a través de las diferentes condiciones experimentales. Al margen de que el índice de ajuste generalizado parece resolver la serie de problemas identificados en la introducción en torno de los índices de diferencialidad, efectividad y precisión originalmente propuestos, la similitud en los gradientes entre los diferentes índices calculados en el presente estudio, por un lado, apoya las conclusiones vertidas en experimentos anteriores sobre los supuestos de complejidad e inclusividad progresivas de la propuesta taxonómica de Ribes y López (1985) y, por el otro, diluye la posibilidad de que en tales experimentos las diferencias entre los índices de diferencialidad, efectividad y precisión se hayan debido a las diferentes maneras de calcularlos y los registros disímiles en los que se basan;
2) Al igual que se había observado entre los índices de diferencialidad, efectividad y precisión originalmente planteados, en el presente estudio los incrementos en la complejidad operativa para la entrega del agua produjeron un decremento progresivo en el índice de ajuste generalizado a través de las diferentes condiciones experimentales. En este sentido, los resultados aquí reportados muestran que el índice de ajuste generalizado calculado según la fórmula 4 no solamente permite estimar la ejecución de los organismos de una manera más coherente con el concepto de ajuste en el ámbito de la psicología interconductual, sino adicionalmente que dicho índice generalizado es consistente con el supuesto de complejidad progresiva de la propuesta taxonómica de Ribes y López (1985); al menos en los casos de las funciones contextual, suplementaria y selectora. Nuevos estudios deberán determinar la aplicabilidad del índice de ajuste generalizado en el caso del análisis experimental de las llamadas funciones sustitutivas, así como la consistencia en el gradiente de ajuste a través de diferentes procedimientos, valores paramétricos y, en lo inmediato, diferentes secuencias de exposición a las condiciones de entrega de agua si, como se espera, dicho supuesto es generalizable a cualquier situación interactiva;
3) El índice de ajuste generalizado calculado según la fórmula 4 y los índices de ajuste particulares calculados según las fórmulas 1, 2 y 3, son independientes unos de otros. En ese sentido, la inespecíficidad en torno de un criterio de ajuste particular por parte del índice de ajuste generalizado no obliga ni cancela el cálculo de los índices de diferencialidad, efectividad o precisión (y eventualmente de congruencia y coherencia), los cuales permiten contrastar el supuesto de inclusividad progresiva entre funciones conductuales. Dado que este supuesto es corroborado como la disminución de un mismo índice particular entre contingencias de ocurrencia operativamente cada vez más complejas, debido a la subordinación de los parámetros funcionalmente relevantes de una función N-1 respecto de los correspondientes a una función N, haber observado una disminución progresiva del índice de ajuste generalizado entre las condiciones de entrega de agua igualmente podría brindar, como los índices particulares, criterios empíricos para la contrastación del supuesto de inclusividad progresiva como subordinación interfuncional. Evaluar esta posibilidad, sin embargo, requeriría no solamente cambios en la complejidad operativa de los programas de estímulo para la entrega del agua, sino adicionalmente cambios en las características temporales y espaciales de la situación experimental, los parámetros de respuesta y los correspondientes a los llamados eventos selectores. Se esperaría que el índice de ajuste mostrara cambios en direcciones correspondientes a tales manipulaciones, alterando así el gradiente de ajuste que se observaría al cambiar únicamente la operatividad de los programas de estímulo: y
4) Ya sea que el ajuste fuese calculado a partir de un mismo grupo de registros o bien de registros distintos y específicos a cada condición de entrega de agua, en el presente estudio se observó que los índices de ajuste fueron relativamente bajos en las tres condiciones experimentales. Este resultado concuerda con los encontrados en estudios previos, en los que los índices particulares revelaron niveles de ajuste incipientes o medios, incluso en el caso de la condición de entrega de agua NK. Dicha similitud entre resultados sugiere, por un lado, que los organismos difícilmente entran contacto funcional con los eventos de estímulo según criterios de maximización, o bien, por el otro, que las condiciones experimentales hasta ahora implementadas son poco favorables para actualizar lo que en última instancia es posible realizar en la situación interactiva, es decir, adecuar la magnitud de las diferentes dimensiones de su actividad a los múltiples parámetros especificados en la contingencia. En el caso particular del presente estudio los bajos índices de ajuste son de llamar la atención, ya que de acuerdo con la sabiduría convencional las ratas están en mejores condiciones reactivas en torno de los estímulos auditivos que en torno de los estímulos visuales. No obstante, al menos al nivel de los índices de diferencialidad, efectividad, precisión y del índice de ajuste generalizado, la estimulación auditiva en el presente estudio no promovió índices sustancialmente superiores a los observados con estimulación visual en experimentos previos comparables. Nuevos estudios deberán abordar esta aparente discrepancia.
Referencias
Carpio, C. (1994). Comportamiento animal y teoría de la conducta. En L. Hayes, E. Ribes & F. López-Valdés (Eds.), Psicología interconductual: Contribuciones en honor a J. R. Kantor (pp. 45-68). México: Universidad de Guadalajara.
Carpio, C., Flores, C., Bautista, E., González, F., Pacheco, V., Páez, A. & Canales, C. (2001). Análisis experimental de las funciones contextual y selectora. En: G. Mares & Y. Guevara. (Eds.), Psicología Interconductual. Avances en investigación básica (pp. 9-36). México: Universidad Nacional Autónoma de México.
Cumming, W. W., & Beryman, R. (1961). Some data on matching behavior in the pigeon. Journal of the Experimental Analysis of Behavior, 4, 281-284.
Hanson, N. R. (1977). Observación explicación: Guía de la filosofía de la ciencia. Patrones de descubrimiento: Investigación de las bases conceptuales de la ciencia. Madrid: Alianza editorial
Pavlov, I. P. (1927). Conditioned reflexes: An investigation of the physiological activity of the cerebral cortex. Oxford: Oxford University Press.
Ribes, E. (2004). Acerca de las funciones psicolígicas: Un post-scriptum. Acta Comportamentalia, 12, 117-127.
Ribes, E. (1997). Causality and contingency: Some conceptual considerations. The Psychological Record, 47, 619-639.
Ribes, E., & Carpio, C. (1991). Análisis de los parámetros de estímulo que regulan la conducta animal. En V. Colotla (Ed.), La investigación del comportamiento en México (pp. 185-210). México: Universidad Nacional Autónoma de México.
Ribes, E., & López, F. (1985). Teoría de la conducta: Un análisis de campo y paramétrico. México: Trillas.
Ribes, E., & Montes, E. (2009). Interacción de la privación de agua y los estímulos correlacionados con la entrega de agua en programas de reforzamiento continuo y de intervalo. Revista Mexicana de Análisis de la Conducta, 35 (MONO), 61-85.
Schoenfeld, W. N., & Cole, B. (1972). Stimulus schedules: The t-τ systems. New York: Harper and Row.
Serrano, M. (2014a). Análisis experimental y descripción matemática del comportamiento intrasituacional: Avances y tareas pendientes. En C. J, Torres Ceja & C. J. Flores Aguirre (Eds.), Tópicos selectores de investigación: Paradigmas experimentales en conducta animal (pp. 133-152). México: Interactum.
Serrano, M. (2014b). Avances en el análisis experimental de la interconducta: índices de ajuste y medidas molares. En M. Serrano (Ed.), La investigación del comportamiento animal en México: Teorías y estudios contemporáneos (pp. 181-203). México: Interactum.
Serrano, M. (2013). Efectos de tres tipos de entrega de agua sobre el ajuste comportamental. Acta Comportamentalia, 21, 273-283.
Serrano, M. (2009). Complejidad e inclusividad progresivas: Algunas implicaciones y evidencias empíricas en el caso de las funciones contextual, suplementaria y selectora. Revista Mexicana de Análisis de la Conducta, 35 (MONO), 161-178.
Serrano, M., Castellanos, B., Cortés-Zúñiga, A., De la Sancha Villa, E. O., & Guzmán-Díaz, G. (2011). Ajuste del comportamiento bajo programas definidos temporalmente de diferente complejidad concurrentemente disponibles. Acta Comportamentalia, 19, 137-147.
Skinner, B. F. The behavior of organisms: An experimental analysis. New York: Appleton Century Crofts.
Notas de autor