Recepção: 11 Junho 2015
Aprovação: 11 Novembro 2015
Resumo: O presente estudo teve como objetivo verificar se a probabilidade de reforço para relatos precisos interfere na frequência de distorções em um jogo de cartas, no qual, em geral, relatos distorcidos aumentam a probabilidade de vitória. Dez crianças com idades entre seis e oito anos participaram do estudo. Cada participante jogou três partidas contra um oponente em igualdade de condições (linhas de base 1, 2 e 3), uma partida de alta probabilidade de ganho de relatos precisos (PA), e uma em probabilidade baixa de ganhos com relatos precisos (PB). Metade dos participantes jogou primeiro PA e a outra metade jogou primeiro PB. Foi observado que oito dos 10 dos participantes distorceram mais em PB que PA, mas em alguns participantes o resultado foi o inverso ou a diferença nas distorções em função da probabilidade foi muito baixa. Os resultados demonstraram que outros fatores podem ter afetado a correspondência além da probabilidade de reforço para relatos precisos, como a magnitude do reforço de ganhar a partida, a frequência de distorções do oponente e a ordem de exposição às condições experimentais.
Palavras-chave: Comportamento verbal, correspondência verbal, probabilidade de reforço para relatos precisos, jogo de cartas, crianças.
Abstract: The present study aimed to verify whether the probability of reinforcement for accurate reports interferes in the frequency of distortion in card game in which inaccurate reports generally enhance the chances of winning. Ten children in the 6-8 age participated in the study. Each subject played three matches against one opponent under equal conditions (baselines 1, 2 and 3), a match with high probability (PA) of winning emitting accurate reports, and a low probability (PB) of winning emitting accurate reports. Half of the participants played first under PA situations and the remaining participants played first with PB. Eight among 10 participants distorted more in PB than in PA condition, though some participants had opposite results or the difference between distortions frequency under both conditions was low. The results suggested that other factors might affect correspondence beyond the probability of reinforcement in inaccurate reports, such as the magnitude of reinforcement of winning the match, the frequency of the opponent’s distortions and the order of exposure to experimental conditions.
Keywords: verbal correspondence, verbal behavior, reinforcement probability for accurate verbalizations, card games, children subjects.
No campo da correspondência verbal, estudos têm sido realizados para tentar compreender fatores que interferem na relação entre o que as pessoas fazem e o que as pessoas dizem a respeito do que fazem (Brino & de Rose, 2006; Brito, Medeiros, Medeiros, Antunes & Souza, 2014; Cortez, de Rose & Montagnoli, 2013; Luciano, Herruzo & Barnes-Holmes, 2001; Medeiros, 2013; Paniagua & Baer, 1982; Ribeiro, 1989; Souza, Guimarães, Medeiros & Antunes, 2014). As pesquisas sobre esse tema investigam as variáveis que interferem nas relações entre comportamentos verbais e não verbais (Beckert, 2005; Catania, 1998/1999; Lloyd, 2002; Paniagua & Baer, 1982).
O comportamento verbal é definido por Skinner (1957) como um comportamento operante que atua indiretamente no ambiente, ou seja, afeta o comportamento de um ouvinte, sendo este quem promove as mudanças no ambiente. Para tanto, de acordo com Skinner, o ouvinte deve ter passado por um treino comum ao falante que propicie as interações verbais entre eles. Esse treino se daria numa comunidade verbal, que pode ser definida como o grupo de pessoas que atuam como falantes e ouvintes de acordo com as mesmas práticas de reforçamento (Skinner, 1957).
As práticas de reforço da comunidade verbal tendem a estabelecer relações correspondentes entre as topografias das respostas verbais e as suas variáveis controladoras (Ribeiro, 1989; Skinner, 1957; Baum, 2005/2006). Entretanto, Skinner sugere que as consequências específicas ou generalizadas às respostas verbais específicas podem interferir na relação de controle verbal, conforme descrito por Medeiros (2013a).
Para Wechsler (2008), Beckert (2005) e Lloyd (2002), são passíveis de estudo três tipos de correspondência verbal: dizer-fazer; fazer-dizer; e dizer-fazer-dizer. A correspondência fazer-dizer, foco desse estudo, foi abordada em diversos experimentos (Brino & de Rose 2006; Cortez & cols., 2013; Ribeiro, 1989). Entretanto, o presente trabalho, como os estudos de Brito e cols. (2014), Medeiros, Oliveira e Silva (2013), Medeiros (2013) e Souza e cols. (2014), utilizou um procedimento no qual o estímulo relatado não é o comportamento do falante, e sim, uma ou mais cartas que ele compra num jogo de cartas com um baralho especial criado especificamente para investigar a correspondência verbal entre o relato de um evento e o evento em si. Desse modo, esse procedimento pode ser considerado uma variação daqueles utilizados tradicionalmente para investigar a correspondência fazer-dizer, já que o que se relata é um estímulo composto (i.e., uma carta com um número, um animal e uma cor de fundo) que não é o comportamento do participante da pesquisa.
Ribeiro (1989) investigou a correspondência fazer-dizer em um estudo com oito crianças de ambos os sexos com idades de três a cinco anos. As sessões experimentais diárias envolviam uma fase de brincar, em que as crianças podiam brincar com até seis brinquedos, e uma fase de relatar, em que lhes era perguntado mediante fotos individuais dos brinquedos com quais deles haviam brincado. Ao longo de cinco condições, foram manipuladas as consequências aos relatos e o modo como foi conduzida a entrevista após a fase de brincar.
Na linha de base do estudo de Ribeiro (1989), o experimentador ouvia o relato da criança, sem qualquer manifestação para, em seguida ao relato, entregar uma ficha independentemente da correspondência de relatos de ter brincado ou não. No reforçamento individual do relato de brincar, o experimentador manifestava aprovação e entregava uma ficha para cada relato de ter brincado sendo este correspondente ou não. O reforçamento de relato de brincar em grupo ocorria nas mesmas condições da fase anterior, porém era feita em grupos de quatro elementos homogêneos quantos ao sexo. O reforçamento de correspondência era feito em grupo e ela liberada uma ficha para cada relato correspondente. O reforçamento não contingente ocorria como a linha de base, porém as crianças recebiam as fichas antes de relatarem. As fichas de todas as fases poderiam ser trocadas por guloseimas e por pequenos objetos em uma loja (Ribeiro, 1989).
Foi observado no estudo de Ribeiro (1989) que, nas condições de linha de base, as crianças relataram com alta precisão. Na segunda condição, apenas duas crianças passaram a relatar terem brincado com brinquedos que não haviam brincado. Na condição de reforçamento do relato de brincar em grupo, outras três crianças passaram a relatar sem correspondência, principalmente após as crianças que já distorciam na fase anterior as instruírem a fazê-lo. No reforçamento de correspondência em grupo, todas as crianças voltaram a relatar com precisão. Neste estudo ficou evidenciado que as crianças mudaram o seu relato diante do reforço aos relatos específicos e correspondentes. Também foi possível observar o controle por regras sobre a correspondência de seus relatos (Ribeiro, 1989).
Ferreira (2009) replicou o trabalho de Ribeiro (1989) investigando a correspondência fazer-dizer das crianças entre as operações matemáticas que elas faziam, e as que diziam ter feito. Participaram do experimento cinco crianças com idades entre oito e nove anos. Como em Ribeiro (1989), cada sessão tinha duas fases, só que em Ferreira (2009), inicialmente as crianças resolviam operações matemáticas e depois relatavam quantas operações haviam resolvido. As condições experimentais foram às mesmas de Ribeiro (1989), com a exceção de que nas de linhas de base, as fichas não eram entregues, além do número de fichas ser dobrado no treino de correspondência para relatos correspondentes.
Os resultados mostraram que houve correspondência para os relatos nas diferentes condições do experimento para a maioria dos participantes (Ferreira, 2009). Estes dados não corroboraram o relatado por Ribeiro (1989). Alguns aspectos procedimentais podem ter interferido nos resultados segundo Ferreira (2009): Com o registro escrito, as crianças podem ter se comportado como se em algum momento ocorresse alguma checagem de seus relatos e, consequentemente, possíveis punições para relatos não correspondentes. O uso de perguntas abertas pode ter contribuído para a emissão de relatos precisos, sendo menor a probabilidade de discriminação de quais respostas verbais correspondentes ou não seriam reforçadas.
Aparentemente, no estudo de Ferreira (2009), as contingências que favoreceriam a emissão de relatos distorcidos ou não correspondentes não exerceram controle sobre o comportamento dos participantes, como ocorreu com aqueles participantes de Ribeiro (1989) que só passaram a distorcer após terem sido especificamente instruídos a fazê-lo. Esse parece ser um aspecto relevante no caso de crianças em que o treino de correspondência oriundo da comunidade verbal exerceria mais controle sobre o comportamento verbal do que as contingências arbitrárias dos experimentos nas condições de reforçamento para relatos específicos.
Brino e de Rose (2006), por outro lado, encontraram resultados diferentes em seu estudo com alunos do Ensino Fundamental de idade entre sete e 11 anos, todos com histórico de fracasso escolar. Neste experimento, os participantes deveriam ler uma palavra na tela do computador e, em seguida, tocar um ícone nesta tela, para ouvir a pronúncia correta da palavra. A seguir deveriam tocar a tela em uma janela verde ou vermelha, indicando se acertaram ou não a leitura da palavra respectivamente.
No estudo de Brino e de Rose (2006) foi registrada a precisão do relato de acerto e erro de leitura pelas seguintes manipulações experimentais: Na presença e ausência do experimentador e com reforço de relatos correspondentes ou não. Foi observada que a presença do experimentador e o reforço contingente a relatos correspondentes aumentaram a precisão do relato em relação às condições em que o experimentador não estava presente ou que o reforço não era contingente à correspondência.No estudo de Brino e de Rose (2006) foi registrada a precisão do relato de acerto e erro de leitura pelas seguintes manipulações experimentais: Na presença e ausência do experimentador e com reforço de relatos correspondentes ou não. Foi observada que a presença do experimentador e o reforço contingente a relatos correspondentes aumentaram a precisão do relato em relação às condições em que o experimentador não estava presente ou que o reforço não era contingente à correspondência.
Ao contrário do estudo de Ferreira (2009) e Ribeiro (1989), no experimento de Brino e de Rose (2006) foi verificada a alta incidência de emissão de relatos distorcidos na condição de linha de base, os quais ocorrem, principalmente, quando os participantes liam as palavras de modo incorreto, relatando terem lido corretamente. Os autores argumentam que essa alta incidência de relatos distorcidos, diferentemente do observado em Ribeiro (1989), se deu pelo fato de que o comportamento relatado (leituras incorretas) provavelmente foi punido no passado, ao passo que o comportamento de brincar, não. Os relatos distorcidos para Brino e de Rose (2006), portanto, teriam função de esquiva de possíveis punições pela leitura incorreta. Brino e de Rose (2006) também observaram um aumento na correspondência entre a resposta de leitura e autorrelato na presença do experimentador e diante do reforço da correspondência, demonstrando o efeito das variáveis manipuladas no estudo.
Em um procedimento diferente dos demais estudos na área, Souza e cols. (2014) realizaram um estudo do qual participaram seis crianças com idade entre sete e oito anos e seis adultos com idade entre 20 e 49 anos. Este experimento envolveu um jogo de cartas com o intuito de verificar se diferentes tipos de perguntas influenciam na precisão do relato dos indivíduos adultos e crianças. O jogo utilizado durante todo o experimento envolvia dois oponentes, que eram participantes do estudo. Cada participante recebia uma pilha de cartas no início de jogo que era dividido em rodadas. A cada rodada, os jogadores retiravam a carta de cima de sua pilha e precisavam relatá-las. Cada carta continha uma cor, um animal e um número de 1 a 5. Em cada condição experimental, quais elementos da carta que deveriam ser relatados variava de acordo com a condição. Vencia a rodada, independentemente da condição experimental, quem relatasse o maior valor, sendo este relato correspondente ou não ao valor da carta. Os participantes se alternavam ao longo das rodadas quanto à ordem de quem relatava primeiro. Após relatarem as suas cartas numa rodada, um dos participantes deveria jogar um dado de seis faces. Caso o dado caísse com o número seis voltado para cima, os participantes precisavam mostrar as suas cartas (i.e., checagem), caso contrário, o participante que tivesse dito o maior valor ou que venceria a rodada (i.e., condição de pergunta fechada) e descartava a sua carta em uma pilha de descarte enquanto que o outro embaralharia a sua carta na própria pilha. Quando o dado caia em seis e algum participante havia distorcido o seu relato (i.e., dito um valor superior ao de sua carta), este deveria comprar as cartas já descartadas, diminuindo a probabilidade de vencer a partida. Casos os dois tivessem distorcido, deveriam dividir a pilha de descarte. Vencia o jogo o participante que, ao final de 20 rodadas, tivesse menos cartas em sua pilha inicial.
O experimento de Souza e cols. (2014) envolveu duas condições experimentais, sendo a primeira realizada com duas partidas jogadas com relatos evocados por perguntas fechadas e a segunda com duas partidas jogadas com relatos evocados por perguntas abertas. Nas partidas de pergunta fechada (PF), o primeiro jogador relatava com precisão ou não o valor de sua carta e o segundo respondia a pergunta: “Você ganha?” com as topografia de resposta “sim” ou “não”, podendo distorcer o relato. Nas partidas de pergunta aberta (PA), o relato exigido de ambos os jogadores era uma descrição precisa ou não dos três elementos da carta (i.e., animal, cor e número).
Os resultados obtidos por Souza e cols. (2014) mostraram uma maior frequência de distorções entre os adultos do que em relação às crianças, que praticamente não distorceram, conforme o relatado em Ferreira (2009). As maiores distorções entre os dois grupos ocorreram na condição de pergunta fechada. Porém, quando primeiros a relatar, os adultos distorceram com alta frequência quando compravam cartas de valores baixos, situação na qual seus relatos precisos teriam baixa probabilidade de reforçamento. Portanto, ficou evidenciado que o tipo de pergunta pode influenciar na precisão do relato, assim como a probabilidade de reforçamento de relatos precisos.
A pesquisa de Medeiros (2013) também investigou a correspondência verbal utilizando praticamente o mesmo jogo empregado por Souza e cols. (2014), com a diferença de que foi verificado o efeito das contingências de reforçamento positivo e punição negativa na correspondência verbal. Participaram do estudo 16 universitários de ambos os sexos, com faixa etária entre 18 e 30 anos de idade. Neste experimento, o participante jogava contra o computador em três condições experimentais de acordo com as consequências aos relatos precisos e distorcidos nas rodadas. A primeira foi o Pré-jogo (PJ) com um número menor de rodadas para estabelecer os repertórios dos jogadores necessários para as partidas seguintes. Em PJ não havia consequências diferenciais para os relatos precisos ou não em rodadas com checagem. Na condição de Reforçamento positivo (R+), os relatos correspondentes eram reforçados com três pontos e os não correspondentes não produziam pontos. Na condição de Punição negativa (P-), os participantes perderiam três pontos por relato não correspondente quando havia checagem. No caso de relatos precisos, não haveria ganho ou perda de pontos. Ao final do experimento, os pontos obtidos nas partidas aumentavam a chance de o participante ganhar o sorteio de um vale brinde em uma livraria da cidade.
As tentativas foram programadas de modo que, em metade delas, o computador que sempre relatava antes do participante, relatava cartas maiores do que as dos participantes. Estas situações foram chamadas por Medeiros (2013) de Sd para relatos distorcidos, porque na presença delas, apenas estes poderiam resultar em pontos. As situações em que as pontuações dos participantes fossem maiores que as do computador, foram chamadas de S∆ para relatos distorcidos, pois os relatos precisos produziriam reforço.
Os participantes de Medeiros (2013) distorceram muito mais em Sd, evidenciando a maior probabilidade de relatos distorcidos quando os relatos precisos têm baixa probabilidade de reforçamento. Foram observadas mais distorções do que os estudos com metodologia similar sem o uso do computador. As condições de R+ e P- produziram resultados heterogêneos entre os participantes dos grupos, em que a frequência de distorções não tinha grande diferença entre o efeito das duas variáveis. De acordo com o autor, a variabilidade encontrada nos resultados sugere que a correspondência verbal é mais complexa do que simplificações conceituais.
O presente trabalho, como os demais, teve como objetivo investigar as variáveis que afetam a correspondência de relatos verbais. Para tanto, foi utilizado um jogo semelhante ao dos estudos de Souza e cols. (2014) e Medeiros (2013). Diferentemente dos estudos anteriores, a probabilidade de ganho para relatos precisos foi a principal variável investigada. As pilhas de cartas que cada participante recebia foram manipuladas, o que permitiu comparar a precisão dos relatos dos valores das cartas em função das probabilidades alta e baixa de ganhos por meio da emissão de relatos precisos em diferentes condições experimentais.
Foi esperado que, de acordo com o observado em Souza e cols. (2014) e Medeiros (2013), quanto menor a probabilidade de o relato preciso ser reforçado, maior a probabilidade de emissão de relatos distorcidos. A despeito da presença ou ausência de instruções não ter sido manipulada no estudo, era esperada, devido ao uso de instruções acerca da possibilidade de emissão de relatos distorcidos, uma frequência maior de relatos distorcidos entre as crianças participantes, diferentemente do que fora relatado Ferreira (2009) e por Souza e cols. (2014).
Método
Participantes
Participaram do estudo 10 alunos do 2º e 3º ano do Ensino Fundamental, sendo cinco do sexo feminino e cinco do sexo masculino, com idades entre seis e oito anos, escolhidas aleatoriamente em uma escola da Secretaria de Estado de Educação do Distrito Federal. A participação na pesquisa foi voluntária, mediante a assinatura do Termo de Consentimento Livre e Esclarecido – TCLE pelos responsáveis, com Termo de Assentimento para cada participante.
Local
O experimento foi realizado em uma sala da própria escola com dimensões de 15,6 m2, onde havia três janelas, duas portas, dois murais, um arquivo, três armários de aço, duas mesas, oito cadeiras, um ventilador de teto e luz artificial.
Materiais
Foram utilizadas regras do jogo impressas, dois quadros brancos de 30X30 cm, dois pincéis para quadro branco, para anotação do valor da carta no quadro branco, apagador para quadro branco, para os participantes apagarem o valor anotado no quadro a cada rodada, um baralho confeccionado para o experimento com cartas medindo 5x7cm2. As cartas continham um animal, uma cor de fundo e a numeração que ia de 1 a 5.
Procedimento
Este experimento foi realizado durante três dias e contou com cinco condições experimentais: linhas de base 1, 2 e 3 (LB 1, LB 2 e LB 3), probabilidade baixa (PB), probabilidade alta (PA). Os participantes realizaram uma sessão para cada uma das cinco condições experimentais.
Em todas as condições antes do início de cada partida, a experimentadora lia as regras do jogo e esclarecia as dúvidas dos participantes. As instruções eram as mesmas independentemente das condições. As regras do jogo lidas para os participantes os orientavam em relação às pilhas de cartas e as suas funções, como por exemplo, em caso de distorção, quando deveriam descartar ou voltar suas cartas para o final de suas pilhas 1, quando o jogador ganharia ou perderia a rodada, a possibilidade de checagem, possíveis punições para relatos distorcidos e ganhos para relatos precisos e também eram informados de que não necessariamente precisariam escreve no quadro branco o valor igual ao da carta que tinham em mãos. Esse último aspecto da instrução tinha a função de aumentar a probabilidade de que as contingências favorecedoras de relatos distorcidos exercessem controle sobre o comportamento verbal dos participantes ao longo das partidas.
Um participante sentava de frente para o outro e cada um recebia duas pilhas de cartas, a pilha 1 e a pilha 2. O jogo era iniciado com cada jogador pegando uma carta da sua pilha 1. Ao verificarem o valor de sua carta, anotavam um valor igual ou não ao da carta em seu quadro branco. Após o comando da experimentadora, mostravam seus quadros, apagando-os em seguida. Os valores anotados pelos participantes em seus quadros brancos eram registrados nos protocolos de registro pela experimentadora. O jogador que tivesse relatado o maior valor deveria lançar o dado. Se o dado caísse nos valores de 1 a 5, o jogador que relatasse o maior valor venceria a rodada, o que lhe permitiria descartar a sua carta com a face virada para baixo no centro da mesa. O jogador que perdesse a rodada, deveria retornar a sua carta para o final da sua pilha 1. No caso de empate, ambos retornariam suas cartas para o final das suas pilhas 1.
Caso o dado caísse no número 6, ambos deveriam revelar as suas cartas. Se ambos tivessem escrito os valores iguais aos das suas cartas, havendo empate, ambos deveriam devolver as suas cartas para o final das suas pilhas 1. Caso os valores das cartas fossem diferentes, ganharia a rodada o jogador que relatasse com precisão, o maior valor, descartando sua carta no centro da mesa. O jogador que tivesse a carta com o menor valor deveria retornar sua carta para o final da sua pilha 1. Se um jogador tivesse escrito um valor maior que o de sua carta (i.e., emitisse um relato distorcido), perderia a rodada, voltando a sua carta para o final da sua pilha 1. Em seguida, pegaria mais duas cartas da sua pilha 2 e também as colocaria no final da sua pilha 1. Caso os dois jogadores tivessem escrito valores diferentes dos de suas cartas, ambos deveriam retornar suas cartas para o final das suas pilhas 1. Em seguida, cada jogador pegaria mais uma carta da sua pilha 2 e também a colocaria no final da sua pilha 1.
As pilhas 1 de cartas que os participantes recebiam eram embaralhadas e os valores das cartas eram sequencialmente anotados nos protocolos de registros, para que a experimentadora pudesse ter acesso prévio aos valores das cartas de cada participante em cada rodada da partida em caso de não haver checagem. Esta anotação prévia ocorreu em todas as condições e tornou possível a aplicação do experimento sem a necessidade de um experimentador ter de ficar observando as cartas dos participantes a cada rodada ou de ter que filmá-las. Esse recurso também possibilitou a aplicação do experimento por apenas uma experimentadora que simplesmente tinha a função de garantir que o jogo estivesse sendo jogado de acordo com as regras e de registrar os relatos verbais dos participantes.
A pilha 2 utilizada para que os participantes pegassem as cartas em caso de relatos distorcidos após checagem eram compostas por outras cartas do mesmo baralho das cartas da pilha 1. Porém, não tinham seus valores anotados porque as partidas foram organizadas para que o número de rodadas se encerrasse antes que fosse necessário o participante comprar em sua pilha 1 uma carta advinda da pilha 2. As cartas da pilha 2, portanto, tinham simplesmente a função de diminuir a probabilidade de ganho da partida caso compradas, ou seja, tinham a função de punir intermitentemente com probabilidade de 1/6 os relatos distorcidos. Como venceria a partida aquele participante que tivesse menos cartas na pilha 1 ao final da partida, a compra de cartas da pilha 2 em decorrência de relatos distorcidos checados diminuiria a probabilidade de ganho da partida.
As condições de LB 1, LB 2 e LB 3 foram realizadas nos três dias de aplicação do experimento, tendo sido uma LB por dia. Nestas condições foi utilizando o baralho completo, em que cada jogador recebeu duas pilhas de cartas embaralhadas. Nessas condições, a pilha 1 continha 20 cartas, sendo composta por quatro cartas de cada um dos cinco valores. As cartas valiam de 1 a 5. A pilha 2, possuía o dobro de cartas da pilha 1, com oito cartas de cada valor. Somente nas partidas em condições de linha de base os participantes jogavam em igualdade de condições com a mesma quantidade de cartas de cada valor. A LB1 teve a função de treinar os comportamentos dos participantes de acordo com as contingências definidas nas regras do jogo. As três condições de linha de base tinham a função de servir de comparação para a precisão do relato em função das condições PA e PB.
Nas partidas da condição PB, cada jogador recebeu duas pilhas de cartas embaralhadas. A pilha 1 continha 24 cartas compostas da seguinte forma: oito cartas de valor 1, oito cartas de valor 2, quatro cartas de valor 3, duas cartas de valor 4 e duas cartas de valor 5. A pilha 2 continha 12 cartas mantida a mesma proporção da quantidade de cada carta da pilha 1. Nesta condição, o participante recebeu menos cartas de alto valor, que resultaria numa menor probabilidade de ganho caso relatasse com precisão.
Na condição PA, cada jogador recebeu duas pilhas de cartas embaralhadas. A pilha 1 foi composta de duas cartas de valor 1, duas cartas de valor 2, quatro cartas de valor 3, oito cartas de valor 4 e oito cartas de valor 5, totalizando 24 cartas. A pilha 2 continha 12 cartas mantida a mesma proporção da quantidade de cada carta da pilha 1. Nesta condição, o participante recebeu menos cartas de baixo valor, que resultaria numa maior probabilidade de ganho com relatos precisos.
Os participantes foram divididos em dois grupos de cinco participantes quanto à ordem em que jogaram as partidas (i.e., grupos PB-PA e PA-PB). Todas as partidas do experimento eram de dois oponentes, ou seja, um participante de um grupo jogava contra um participante do outro grupo. As duplas de oponentes, que até então não se conheciam e que permaneceram as mesmas em todas as condições, foram distribuídas ao longo das partidas, no sentido de que foram organizadas duplas masculinas, femininas e duplas mistas (menino x menina). Esta distribuição ocorreu apenas em nível de organização, uma vez que o presente estudo, não teve o objetivo de realizar análises de gênero.
No primeiro dia, os participantes dos dois grupos jogaram uma única partida denominada de condição de LB1. No segundo dia, os cinco participantes do grupo PB-PA jogaram recebendo as pilhas de cartas de PB contra os participantes do grupo PA-PB que receberam as pilhas de cartas de PA. Em seguida, todos os participantes jogaram novamente em igualdade de condições recebendo as pilhas de cartas de LB 2. Ou seja, os participantes do primeiro grupo jogaram primeiro em PB, contra os participantes do segundo grupo que estavam em PA, para depois todos os participantes jogarem em LB2. No terceiro dia, os participantes do grupo PB-PA receberam pilhas de cartas de PA e jogaram contra os participantes do grupo PA-PB que receberam pilhas de cartas de PB. Finalizando, no mesmo dia, todos os participantes jogaram uma segunda partida em condição de igualdade com pilhas de cartas LB3. Ou seja, os participantes que jogaram em PB, no segundo dia, agora jogaram em PA, contra os participantes do segundo grupo que estavam em PA, e agora jogaram em PB. Em seguida todos os participantes jogaram em LB3.
Os dois grupos foram criados para verificar se a ordem de exposição às condições – PA antes de PB e PB antes de PA – iria interferir nos resultados. Foram comparadas as porcentagens de distorções nas condições de PA e PB. Foi verificada a influência do valor da carta retirada da pilha 1 pelo participante sobre a porcentagem de relatos não correspondentes. As porcentagens de distorções também foram investigadas na comparação entre as condições PA, PB e as três condições de linha de base.
Resultados
De acordo com a Tabela 1, que mostra as porcentagens de relatos distorcidos em relação aos relatos totais nas condições PA e PB para os grupos PB-PA e PA-PB respectivamente, é possível observar porcentagens maiores de relatos distorcidos nas condições PB para oito dos 10 participantes dos dois grupos. As exceções foram os participantes P10 do grupo PB-PA e P3 do grupo PA-PB, que apresentaram maiores frequências de distorções em PA. As diferenças nas porcentagens também foram moderadas para os participantes P1 do grupo PB-PA e P6 do grupo PA-PB.

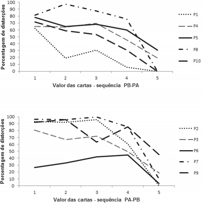
Com base na Figura 1, que mostra a porcentagem de distorções por participante, de acordo com o valor da carta retirada da pilha 1, tanto na sequência de PB-PA, quanto de PA-PB, é possível observar que houve distorções diante de cartas de maior valor como ocorreu com cartas de valores 4 e 5. No entanto, a figura mostra que na medida em que o valor da carta aumentava, as distorções dos relatos diminuíam, com algumas exceções para alguns participantes quanto a alguns dos valores, como o P10, por exemplo. É possível observar que nos valores de 1 ao 3, não houve muita diferença nos valores das porcentagens de distorções. As quedas nos valores das porcentagens foram muito mais drásticas das cartas de valor 3 para as de valor 4 e 5.

A Figura 2 traz as porcentagens de distorções em todas as condições experimentais para os participantes PB-PA. Para este grupo as distorções foram mais frequentes em PB não só comparado a PA, mas se comparado às condições de LB também. No geral, em PA observou-se menos distorções que as emitidas em nas linhas de base (LB1, LB2 e LB3).

A Figura 3 traz as porcentagens de distorções em função de todas as condições experimentais para os participantes PA-PB. Neste grupo foram observadas maiores distorções em PB que em PA. Porém, a diferença nas distorções emitidas nas condições PA e PB e as emitidas nas condições de linha de base foi tão clara como para o participantes que jogaram primeiro em PB, principalmente ao se comparar as porcentagens de distorções emitidas em PB e com as emitidas em LB3. Mas ainda assim, foram mais observadas distorções em PB do que em PA.

Discussão
No presente experimento foram encontradas mais distorções na condição de PB que em PA, uma vez que a maioria dos participantes distorceu mais diante de cartas de valores baixos. Tal fato foi observado nas duas sequências de exposição às probabilidades de ganho do estudo (PB-PA e PA-PB).
Com o objetivo de verificar a influência da probabilidade de reforçamento com relatos precisos sobre a porcentagem de relatos distorcidos o presente estudo utilizou um jogo de cartas semelhante ao utilizado nos estudos de Souza e cols. (2014) e Medeiros (2013). Ficou evidenciado que a variável independente manipulada pareceu exercer efeito sobre o comportamento verbal dos participantes ainda que não de forma homogênea como no caso dos dois participantes que distorceram mais em PA. Desse modo, talvez o presente experimento possa dar suporte à tese de que, caso relatos precisos tenham menor probabilidade de reforço, as distorções são mais prováveis que quando relatos precisos têm maior probabilidade de serem reforçados. Medeiros (2013) também observou o mesmo efeito em seu estudo, no qual foram emitidos mais relatos distorcidos nas condições em que a carta do computador era maior que a do participante.
Outros experimentos, além de Medeiros (2013), investigaram a correspondência verbal utilizando o mesmo jogo de cartas (Brito & cols., 2014, Souza & cols., 2014, Medeiros & cols., 2013). Nesses experimentos, os relatos a cada rodada eram orais e sucessivos, e não simultâneos como no presente estudo. Neles, foi observado que, quando os participantes pegavam as cartas de baixo valor, tendiam a distorcer seus relatos, principalmente quando eram os primeiros a relatar. Os resultados desses estudos (Brito & cols., 2014, Souza & cols., 2014, Medeiros & cols., 2013), foram, portanto, corroborados pelos obtidos no presente trabalho, ainda que não tenham manipulado diretamente a probabilidade de ganho de relatos precisos em condições experimentais.
No estudo de Ferreira (2009), que também foi realizado com crianças, o reforçamento contingente aos relatos de ter realizado as operações matemáticas aparentemente não exerceu controle sobre o comportamento dos participantes, ao passo que, no presente estudo, os participantes que também eram crianças distorceram os seus relatos acompanhando as mudanças nos valores das variáveis manipuladas. Vale ressaltar que, diferentemente de Ferreira (2009), as crianças do presente estudo foram instruídas de que poderiam distorcer os seus relatos. As instruções, aparentemente, foram eficazes em aumentar o controle da contingência favorável à emissão de relatos distorcidos sobre o comportamento de relatar dos participantes. Este efeito das instruções também foi observado em Ribeiro (1989), em que regras sobre a possibilidade de distorcer o relato foram emitidas pelas próprias crianças participantes do estudo na condição de reforço de relato em grupo.
No experimento realizado por Souza e cols. (2013), os experimentadores se posicionavam atrás dos participantes para registrarem as cartas que estes haviam comprado. No presente experimento, apenas um experimentador estava presente durante a coleta, o que pode ter interferido positivamente na frequência de relatos distorcidos, além das instruções mencionadas anteriormente. Ao se comparar os diferentes estudos, parece que a presença de outros ouvintes durante a tarefa experimental é uma variável relevante. Entretanto, a não existência de uma condição realizada sem a presença do experimentador impossibilita a comparação quanto ao efeito dessa variável neste estudo. Uma sugestão para novas pesquisas seria justamente comparar a frequência de distorções em função da presença ou ausência do experimentador ao longo das sessões experimentais ou do número de experimentadores presentes durante as partidas.
O critério utilizado no presente estudo para a ocorrência de relatos distorcidos estabelecia que estes eram considerados quando os participantes tiravam uma carta de um determinado valor e relatavam um valor maior do que haviam tirado. Em decorrência disso, como nos estudos de Medeiros (2013), Medeiros e cols. (2013), Souza e cols. (2014) e Brito e cols. (2014), a correspondência investigada nesse experimento não é entre o fazer e o dizer, uma vez que o que é relatado não é um fazer e sim, um estímulo específico, no caso, o número da carta. Talvez essa diferença em relação aos demais estudos da área de correspondência verbal seja relevante de modo a justificar a elaboração de um estudo que investigue essa questão de forma sistemática. Ou seja, se há diferença quando o estímulo relatado não é o comportamento do próprio falante.
Ao analisar a frequência de distorção dos relatos das crianças nas cinco condições, pode-se avaliar que na linha de base 1 (LB1), na qual os participantes tinham cartas com os mesmos valores, a maioria das crianças distorceu os seus relatos. A exceção ocorreu com o participante P10, que apresentou 100% de relatos correspondentes, ainda que, nas demais condições, as suas frequências de distorções acompanharam as mudanças nas condições experimentais. Durante a LB1 o participante P10 emitiu a seguinte verbalização: “sei que posso dizer outro valor, mas quero fazer assim”. Aparentemente, o participante, mesmo tendo intraverbalizado a regra de que poderia distorcer, apresentou apenas relatos precisos durante a condição de linha de base.
Talvez os dados de P10 na LB 1 possam estar relacionados com o que aconteceu em Ferreira (2009) e a dois participantes do estudo de Ribeiro (1989). Ambos autores defendem a probabilidade de uma pessoa manter seu relato mesmo diante de perdas. Mesmo os procedimentos desses estudos favorecendo os relatos distorcidos pelas contingências em vigor, para alguns participantes provavelmente em decorrência da sua história pré-experimental, os relatos se mantiveram correspondentes. Entretanto, se foi o efeito da história, este não se manteve no caso de P10, pelo fato de este participante ter distorcido nas demais condições. Também pode ter ocorrido o controle instrucional verificado no estudo de Ribeiro (1989). Ainda que as crianças não se conhecessem previamente ao estudo, por pertencerem a mesma escola, poderiam ocasionalmente interagir de algum modo e comentar a cerca do estudo. Aspecto pelo qual os experimentadores não tiveram controle.
Uma das variáveis não manipuladas do estudo que pode ter afetado a probabilidade de emitir relatos distorcidos é a frequência de relatos distorcidos do oponente numa dada condição. Assim, se um jogador em PA joga com outro que está distorcendo muito em PB, provavelmente distorcerá mais do que distorceria se estivesse jogando contra um oponente também em PA. Os resultados dos participantes P3 e P4 ilustram essa questão, na qual P4 estando na condição de PB apresentou elevada frequência de distorções, o que pode ter contribuído para que seu oponente P3 apresentasse uma alta frequência de distorções mesmo jogando na condição PA. Essa variável pode estar associada à possibilidade de que vencer a rodada fosse mais reforçador do que vencer a partida, já que o reforçamento de vencer a partida era atrasado e o de vencer a rodada era imediato. Portanto, se o oponente, sistematicamente, relata valores altos, correspondentes ou não, e tem vencido as rodadas sem checagem, é provável que um participante jogando em PA passe a distorcer também para aumentar a chance de vencer a rodada, mesmo que, em longo prazo diminua as chances de vencer o jogo. Como a probabilidade de checagem era de apenas 1/6, essa hipótese se mostra plausível. Uma replicação do estudo com outras probabilidades de checagem poderia investigar essa questão.
Medeiros e cols. (2013) investigaram o efeito da probabilidade de checagem sobre a correspondência verbal enquanto os participantes jogavam um jogo semelhante ao desse estudo em partidas com diferentes probabilidades de checagem. Foi observado que, quanto maior a probabilidade de checagem, menor a porcentagem de relatos distorcidos. No presente estudo, com a checagem infrequente e como o número de cartas que os participantes deveriam comprar, caso o relato fosse distorcido, era pequeno, as distorções podem ter se tornado prováveis mesmo diante das cartas altas da condição PA.
Uma maior exposição às fases poderia demonstrar um controle maior pela variável manipulada principalmente para o grupo que jogou primeiro em PA, no qual a diferença entre as porcentagens de relatos distorcidos em PB e em LB3 foi moderada. Oito dos 10 participantes distorceram mais em PB do que em PA. Entretanto, as diferenças entre as porcentagens de distorção em função da probabilidade de ganho foram maiores para os participantes que passaram primeiramente pela condição PB. Já para os participantes PA-PB, as diferenças em favor de PB foram menores, principalmente por estes distorcerem mais em PA que os participantes PB-PA. Inclusive, para o participante P6 do grupo PA-PB, a diferença entre as porcentagens de distorções em PB e PA foi mínima. Brito e cols. (2013) que utilizaram o mesmo jogo comparando dois valores de magnitude da punição em termos de cartas compradas para relatos distorcidos checados também observaram efeito da ordem de exposição às condições experimentais como no presente estudo.
Resultados similares aos do presente estudo foram obtidos por Medeiros (2013), ao comparar o efeito do reforço positivo para relatos precisos, com punição negativa para relatos distorcidos. Medeiros (2013) observou que os participantes que passaram primeiro pela condição de reforço positivo distorceram mais nessa condição que na de punição negativa. Em Medeiros (2013) e no presente estudo, as condições iniciais de linha de base e pré-jogo podem ter sido suficientes para que as contingências complexas do jogo passassem a controlar o comportamento dos participantes. Ao serem expostos à primeira condição após a linha de base ou pré-jogo, os participantes não eram informados que jogariam outras partidas sobre outras condições. Desse modo, o controle pelo valor da variável dependente se daria exclusivamente dentro da própria condição e ao longo dela. Porém, o desempenho nas demais condições sofreria influência das contingências dessa própria condição, como também do contraste entre os diferentes valores das variáveis independentes. Essa parece ser uma limitação desses estudos porque pode ocorrer uma contaminação do efeito de uma condição sobre a outra no delineamento de sujeito único utilizado. Diante disso, o resultado para os dois estudos foram maiores porcentagens de distorções nas primeiras condições após a linha de base, o que pode ter aumentado as diferenças entre PB e PA no presente estudo para os participantes PB-PA e diminuído para os participantes PA-PB. Novos estudos deveriam expor os participantes a todos os valores da VI, para que se passasse a considerar o desempenho sobre a influência de cada um de seus valores.
O presente estudo demonstrou que não só as consequências aos relatos distorcidos afetam a correspondência verbal, mas que a probabilidade de reforço para relatos precisos também pode afetá-la. Além disso, os resultados do presento estudo sugerem que os relatos distorcidos não decorrem apenas da possibilidade de punição para relatos correspondentes. Caso relatos correspondentes tenham baixa probabilidade de reforçamento, relatos distorcidos podem ter sua probabilidade aumentada.
A despeito de conseguir demonstrar o efeito da probabilidade de reforçamento de relatos precisos sobre a distorção no relato, este estudo apresentou algumas limitações metodológicas. Uma delas foi o fato do número de rodadas em PB e PA terem sido menores que nas demais condições. Talvez os participantes terem jogado menos rodadas nestas fases que nas demais pode ter diminuído a probabilidade de a contingência ter exercido controle sobre o seu comportamento. A replicação desse estudo com mais rodadas em cada condição poderia aumentar o controle das contingências em vigor.
Sugere-se a replicação deste experimento com algumas mudanças no procedimento, como a adição de reforçadores materiais por vencer a partida. Esta alteração aumentaria o valor reforçador de ganhar a partida em relação ao valor reforçador de vencer a rodada. Essa mudança poderia diminuir ou aumentar a influência do modo de jogar do oponente sobre a correspondência verbal do participante.
A magnitude da punição para relatos distorcidos também poderia ser aumentada, uma vez que, no presente estudo, era muito vantajoso distorcer, pois além da probabilidade de checagem ter sido de apenas um 1/6, o participante teria que pegar apenas duas cartas a mais caso a sua distorção fosse checada. Esses aspectos podem ter tornado o distorcer provável mesmo na condição PA, o que poderia atenuar a diferença da VI manipulada sobre a correspondência verbal.
Também é recomendável a realização de um novo estudo em que os participantes possam jogar em condição PA versus um oponente jogando em PA, para depois jogar contra um oponente que estivesse jogando em condição PB. Diante disso, seria possível verificar se a forma como o oponente joga é uma variável importante no controle do comportamento dos jogadores.
O presente trabalho foi importante na medida em que contribuiu para verificar empiricamente como variáveis ambientais manipuláveis afetam a correspondência verbal. O tema é relevante por ampliar a chance de prever quando relatos serão correspondentes ou não, ou mesmo, como controlar a sua probabilidade de ocorrência ao se identificar em que condições ocorrem, como qualquer outro comportamento.
Referências Bibliográficas
Baum, W. M. (2006). Compreender o behaviorismo: comportamento, cultura e evolução. (Traduzido por M. T. A. Silva e cols.) Porto Alegre: Artmed. (Trabalho original publicado em 2005).
Beckert, M. E. (2005). Correspondência verbal/não-verbal: pesquisa básica e aplicações na clínica. Em J. Abreu-Rodrigues, & M. R. Ribeiro (Orgs.), Análise do comportamento: pesquisa, teoria e aplicação (pp. 229 - 244). Porto Alegre: Artmed.
Brino, A. L. F., & e de Rose, J. C. (2006). Correspondência entre autorrelatos e desempenhos acadêmicos antecedentes em crianças com história de fracasso escolar. Revista Brasileira de Análise do Comportamento, 2, 67-77.
Brito, R. L., Medeiros, C. A., Medeiros, F. H., Antunes, R. A. B. & Souza, L. G. (2014). Efeitos da magnitude da punição na correspondência verbal em situação lúdica. Em N. B. Borges, L. F. G. Aureliano & J. F. Leonardi (Orgs.). Comportamento em Foco, v. 4 (pp. 173- 188). São Paulo: ABPMC.
Catania, A. C. (1999). Aprendizagem: comportamento, linguagem e cognição. (Traduzido por Deisy das Graças de Souza, et al.) Porto Alegre: Artmed. (Trabalho original publicado em 1998).
Cortez, M. D., de Rose, J. C., Montagnoli T. A. S. (2013). Treino e manutenção de correspondência em autorrelatos de crianças com e sem história de fracasso escolar. Acta Comportamentalia, 21, 139-157.
Ferreira, J. V. (2009). Correspondência fazer-dizer em crianças na resolução de operações matemáticas. (Monografia de graduação). Retirado de: http://www.repositorio.uniceub.br/bitstream/123456789/2755/2/20531868.pdf
Lloyd, K. E. (2002). A Review of Correspondence Training: Suggestions for a Revival. The Behavior Analyst, 25, 57-73.
Luciano, M. C., Herruzo, J., Holmes, D. B. (2001). Generalization of say-do correspondence. The Psychological Record, 51, 111-130.
Medeiros, C. A. (2013a). Mentiras, indiretas, desculpas e racionalizações: manipulações e imprecisões do comportamento verbal. Em C. E. Costa, C. R. X. Cançado, D. R. Zamignani & S. R. S. Arrabal-Gil (Orgs.). Comportamento em Foco, v. 2 (pp. 157- 170). São Paulo: ABPMC.
Medeiros, C.A., Oliveira, J. A., Silva, C. O. (2013). Correspondência verbal em situação lúdica: efeito da probabilidade de checagem. Revista Fragmentos de Cultura, 23, 563-578.
Medeiros, F. H. (2013, setembro). Contingências de reforçamento positivo e punição negativa na correspondência verbal [RESUMO]. Em XXII Encontro Brasileiro de Psicologia e Medicina Comportamental, Fortaleza, Brasil. Livro de Resumos do XXII Encontro da ABPMC. São Paulo: ABPMC.
Paniagua, F. A., Baer D. M. (1982). The analysis of correspondence training as a chain reforceable at any point. Child Development, 53, 786-798.
Ribeiro, A. F. (1989). Correspondence in children’s self-report: tacting and manding aspects. Journal of the Experimental Analysis of Behavior, 51, 361-367. doi:10.1901/jeab.1989.51-361.
Souza, R.S., S.S. Guimarães, C. A. Medeiros, R. A. Antunes (2014). Correspondência verbal em um jogo de cartas: perguntas abertas e perguntas fechadas. Em N. B. Borges, L. F. G. Aureliano & J. F. Leonardi (Orgs.). Comportamento em Foco, v. 4 (pp. 189- 204). São Paulo: ABPMC.
Skinner, B.F. (1957). Verbal Behavior. Nova York: Appleton-Century-Crotts.
Wechsler, A. M., Amaral, V. L. A. R. (2010). Dizer X fazer de mães e filhos em exame médico. Revista Psicologia em Estudo, 15, 55-63.