Recepção: 05 Agosto 2015
Aprovação: 02 Dezembro 2015
Resumo: Este estudo avaliou um procedimento para ensinar rudimentos de leitura musical baseado no procedimento de pareamento ao modelo e no paradigma de equivalência de estímulos. Ensinaram-se, a quatro universitárias, relações entre sequências de notas tocadas (A) e respectivas notações em Clave de Sol (B), Clave de Fá (C) e figura do teclado musical (D), com o procedimento de pareamento ao modelo. Na Fase 1, as sequências ensinadas foram dó-mi-sol e mi-sol-dó e na Fase 2 , as sequências foram Ré-Fá-Lá e Fá-Lá-Ré. Avaliou-se a emergência das Relações BC, CB, BD, DB, CD e DC, e do desempenho de tocar teclado no final de cada fase. Todos os participantes aprenderam as 12 relações ensinadas. Os desempenhos em todos os testes aumentaram em cada fase e entre fases experimentais. Todas as participantes desenvolveram classes de estímulos equivalentes na Fase 2. Três participantes mostraram leitura recombinativa e transferência de controle de estímulos para tocar teclado. Os resultados confirmam a utilidade do procedimento de pareamento ao modelo e do paradigma de equivalência para ensinar e avaliar a aprendizagem de repertório simbólico complexo e podem contribuir para o desenvolvimento de tecnologia alternativa para ensinar leitura musical.
Palavras-chave: equivalência de estímulos, discriminação condicional, estímulos musicais, leitura musical, leitura recombinativa, tocar teclado, estudante universitário.
Abstract: This study assessed a procedure for teaching rudiments of musical notation reading based on matching-to-sample procedure and stimulus equivalence paradigm. Four college students were taught conditional discriminations with matching to sample procedure. Relations between sequences of played notes (A) and respective notations in Treble Clef (B), notation in Bass Clef (C), and musical keyboard picture (D) were taught in Phase 1. AB, AC and AD relations were taught separately and mixed in the same session. Do-mi-sol and re-fa-la sequences were stimuli trained in Phase 1 and Re-fa-la and fa-la-re, in Phase 2. Tests, before and after the training sessions of each phase, assessed the emergency of BC, CB, BD, DB, CD and DC relations, and keyboard playing in the presence of A, B, C and D stimulus set. All participants showed accurate performances at the end of training AB, AC and AD relations. Performances in all tests increased along the experimental phases and between phases. Most participants developed ABCD stimulus equivalence classes in Phase 2. Tests with new sequences of notes used in the training showed different degrees of recombinative reading between subjects. Three participants showed transfer of A, B and C control to keyboard playing. Results confirm the utility of matching to sample procedure and equivalence paradigm to teach and assess learning of complex symbolic repertoire. This study may contribute for future development of alternative technology for teaching musical notation reading.
Keywords: stimulus equivalence, conditional discrimination, musical stimulus, musical reading, recombinative reading, keyboard playing, undergraduate.
A escrita musical foi criada e aperfeiçoada ao longo dos tempos possibilitando o registro, o repasse e a reprodução do conhecimento adquirido na área da música a futuras gerações. Lerpartitura musicalé uma habilidadeimportantepara quemse dedica à atividade musical.A leitura musical é bastante complexa por possuir vários tipos de símbolos para representar os sons, como letras (no caso das cifras) e partituras com diferentes claves. O sistema de notação envolve não só a especificação das notas, mas também do ritmo, tempo e escala, estímulos aos quais o músico deve responder (tocando, lendo oralmente as notas, cantando, etc.) sob controle de vários aspectos que são apresentados conjuntamente. No entanto, aquantidade deestudos sobre leituramusicalrealizados por professores, pedagogos e psicólogostemsidopequena (Sloboda, 2005).
O presente trabalho pretende contribuir para a compreensão da aprendizagem de leitura musical e, para isso, utilizou o paradigma de equivalência de estímulos que vem sendo investigado mais frequentemente em estudos sobre leitura textual (e.g., de Rose, de Souza, & Hanna, 1996; Matos, Avanzi, & McIlvane, 2006; Sidman, 1971). O desenvolvimento de classes de estímulos equivalentes tem sido considerado a base do comportamento simbólico (de Rose, 2005; Sidman & Tailby, 1982). Os estímulos são equivalentes quando se tornam intercambiáveis, ou seja, substituíveis uns pelos outros no controle do comportamento, como ocorre, por exemplo, com palavras faladas, impressas e figuras correspondentes.
Um número relativamente pequeno de estudos tem utilizado o procedimento de pareamento ao modelo (tradução do inglês matching-to-sample - MTS) e o paradigma de equivalência para compreender e planejar condições de ensino de rudimentos de leitura musical (Acín, García, Zayas, & Dominguez, 2006; Arntzen, Halstadtro, Bjerke, & Halstadtro, 2010; Hayes, Thompson, & Hayes, 1989; Perez & de Rose, 2010; Tena & Velázquez, 1997). Em um procedimento de MTS arbitrário, por exemplo, dado um estímulo A1 como modelo e os estímulos B1 e B2 como escolhas, a seleção (escolha) de B1 e não B2 será considerada correta e, dado A2 como modelo, somente a seleção de B2 será considerada correta (Sidman & Tailby, 1982). Nestes estudos, a leitura musical é entendida como uma rede de relações entre, por exemplo, os sons (notas ou fragmentos musicais), algum tipo de representação musical (partitura, cifra, nome das notas) e as teclas correspondentes do instrumento (piano, cravo, acordeão). Tais estudos apresentaram resultados positivos e confirmaram a eficácia do procedimento de pareamento ao modelo para o ensino direto de relações arbitrárias e para gerar novas relações sem treino direto. Além disso, esses estudos demonstraram desempenhos de uma atividade nova que exigia respostas diferentes das ensinadas como ler partitura e tocar um instrumento. Por exemplo, Hayeset al. (1989) ensinaram as relações condicionais a universitários, utilizando os conjuntos de estímulos (A) padrões rítmicos tocados com uma nota; (B) representação dos padrões rítmicos; (C) nomes dos padrões rítmicos (e.g., semibreve); (D) pentagrama com “x” indicando a posição da nota; (E) quatro teclas brancas do sintetizador aparentes - para o participante apontar a tecla com o dedo; (F) dedos da mão direita do participante que deveria ser usado para tocar a nota; e (G) cifras que representam as notas musicais. A partir do treino das relações AB e AC e/ou DE, DF e DG todos os participantes demonstraram equivalência de estímulos entre representação dos padrões rítmicos e nomes de padrões rítmicos (BC) e/ou entre as teclas do sintetizador e os dedos correspondentes às teclas, bem como as cifras (EF). Além disso, foram capazes de tocar teclado diante da apresentação de partituras, ou seja, apresentaram um novo padrão de atividade.
No presente estudo, ensinaram-se relações com sequências compostas pelas notas Dó, Mi e Sol e sequências com Ré, Fá e Lá, e não notas isoladas ou padrões rítmicos, como nos estudos anteriores (Acín et al., 2006; Hayes et al., 1989; Perez & de Rose, 2010; Tena & Velázquez, 1997). Após o ensino das relações, avaliou-se a formação de classes de estímulos equivalentes compostas por sons, notação em Clave de Sol e Fá e figura das sequências de notas tocadas no teclado musical. Avaliou-se também, como no trabalho de Hayes et al. (1989), se o aprendiz era capaz de tocar em um teclado as teclas correspondentes aos sons, partituras em Clave de Sol e Fá e apresentadas nas figuras do piano. A partir do ensino de relações condicionais entre estímulos compostos por sequências de três notas, o presente trabalho investigou se classes de estímulos se formariam e se ocorreria transferência de controle discriminativo dos estímulos para a resposta de tocar teclado. Note que o uso do termo transferência não está sendo utilizado para se referir a algum processo comportamental novo de transferência de função entre estímulos (Dymond & Barnes, 1994), mas para se referir ao controle discriminativo estabelecido para a resposta de seleção em tarefa de pareamento ao modelo que subsequentemente é observado para uma resposta não requerida no treino. Em estudos sobre leitura textual é comum ensinar relações condicionais com procedimentos de pareamento ao modelo e subsequentemente avaliar a emergência de novas relações com o mesmo procedimento e a extensão do controle estabelecido pelo texto para a resposta de ler oralmente que não foi requerida do treino. Os resultados desses estudos mostram que escores nos testes MTS são superiores aos que requerem a oralização na presença da palavra (e.g., de Rose et al., 1996; de Souza, de Rose, Faleiros, Bortoloti, Hanna, & McIlvane, 2009; Matos et al., 2006; Sidman, 1971).
Método
Participantes
Participaram voluntariamente do experimento quatro estudantes da Universidade de Brasília com 18 (Rute), 19 (Rita) ou 20 anos (Cora e Mara). As universitárias relataram não ter frequentado curso sobre leitura musical e não saber tocar qualquer instrumento musical, critérios esses para inclusão no estudo. Utilizou-se também o critério de desempenho de no máximo 50% de acertos na avaliação inicial (Pré-Teste MTS da Fase 1) de relações envolvendo sequências de notas tocadas em um teclado, notação em Claves de Sol, notação em Clave de Fá e o desenho das sequências de notas no teclado musical e 30% de acertos no Pré-teste de Tocar Teclado da Fase 1(descrito em mais detalhes abaixo).
Local, Material e Equipamento
A coleta de dados foi realizada em uma sala do Laboratório de Aprendizagem Humana da Universidade de Brasília. A sala possuía isolamento acústico e iluminação com lâmpadas fluorescentes e um sistema de ventilação com exaustão. Havia duas mesas lado a lado, com um microcomputador e duas cadeiras, na primeira, e na outra, o teclado e uma câmera fotográfica (com recurso de filmar) digital Sony Cyber-Shot DSC-P200, fixada em um tripé.
Para a programação das sessões foi utilizado um microcomputador com processador AMD Duron™, 857 MHz, 128 MB de RAM, com sistema Microsoft Windows XP Professional Versão 2002, com dois autofalantes, um teclado e um mouse. Para as avaliações de tocar teclado foi utilizado um teclado musical Cássio Casio tone MT-220 desligado. O teclado foi encapado com papel branco, ficando à mostra somente sete teclas brancas e cinco teclas pretas (terceira oitava). O software Contingência Programada, desenvolvido para o experimento por L. A. Batitucci, J. Batitucci e E. S. Hanna (2007), controlava a apresentação das instruções e das contingências e registrava as respostas de escolha.
Acordo entre Observadores
Foram feitos registros das respostas dos participantes nas 16 sessões de Pré-teste e Pós-teste de Tocar Teclado pelo experimentador e um observador treinado. O índice de acordo (número de acordos dividido pelo total de registros de cada sessão) para esses registros foi de 97,25%, com percentuais nas sessões variando entre 90% e 100%.
Estímulos
Foram utilizados quatro conjuntos de estímulos: um auditivo e três visuais, constituídos por sequências de três ou quatro notas musicais (Tabela 1).

Os estímulos do conjunto A eram notas musicais reproduzidas em som de piano com duração total de 1,5s (sequência de três notas) ou 2s (sequência de quatro notas), gravados em formato wave, com qualidade de 44kHz estéreo, e editados no software WavePad. Os conjuntos B e C eram desenhos de pentagramas (Figura 1) com cinco linhas paralelas horizontais e quatro espaços intermediários onde foram escritas as três ou quatro notas musicais (representadas graficamente como sinais na forma oval). O conjunto B tinha o sinal que caracteriza a Clave de Sol no início do pentagrama. O conjunto C tinha, no início do pentagrama, o sinal que caracteriza a Clave de Fá. Neste último grupo havia também o número oito com traços em cima da sequência de notas indicando que as mesmas estavam representadas uma oitava abaixo. Este é um artifício utilizado em notação musical para evitar que as notas sejam representadas fora do pentagrama, em linhas suplementares. Os estímulos do conjunto D eram desenhos de três ou quatro teclados sobrepostos (Figura 1), com sete teclas brancas e cinco pretas e, em cada teclado, o desenho de uma mão com o dedo indicador apontando uma nota.

Procedimento
Delineamento Experimental. Foram realizadas duas fases experimentais compostas pelos treinos entre fragmentos musicais do Conjunto A e os estímulos visuais dos Conjuntos B, C e D (AB, AC e AD) e Testes de Seleção e de Tocar Teclado, antes e depois dos treinos, esquematizados na Figura 1. Na figura, as setas contínuas mostram as relações ensinadas e as setas tracejadas, as relações testadas. Foram realizados também testes de todas as relações mostradas na figura com estímulos novos, compostos pela recombinação das notas dos estímulos de treino.
A sequência das atividades de cada fase do estudo foi listada na Tabela 2. Cada fase teve início com o Pré-teste que avaliava: (1) as relações entre sequências de notas tocadas em um teclado (A), notação em Clave de Sol (B), notação em Clave de Fá (C) e a figura das sequências de notas no teclado musical (D); (2) a resposta de tocar teclado na presença de estímulos dos conjuntos B, C e D; e (3) as relações de identidade com os estímulos visuais. Em seguida, eram treinadas duas relações AB e AC, separadamente (Treino AB e Treino AC) e misturadas (Treino Misto AB/AC), e testava-se a emergência das relações BC/CB. Treinavam-se, por último, as duas relações AD separadas (Treino AD) que eram, então, misturadas com as outras relações (Treino AB/AC/AD). Por fim, eram feitos os Pós-testes para avaliar a emergência das relações CD/DC, BC/CB e BD/DB, e tarefas de tocar teclado.

Se o participante acertasse menos de 90% nos Testes de Equivalência (CD/DC, BC/CB, BD/DB) da Fase 1, essas relações eram treinadas antes de iniciar a Fase 2.A mesma sequência de testes e treinos era realizada na Fase 2 com novos estímulos dos conjuntos A, B, C e D (Tabela 1).
Em uma das fases do estudo foram utilizadas as notas Dó, Mi e Sol para compor os estímulos ensinados; na outra fase as notas foram Ré, Fá e Lá (Tabela 1). As participantes Cora e Rita aprenderam as sequências Dó-Mi-Sol e Mi-Sol-Dó na Fase 1e as participantes Mara e Rute aprenderam as sequências Ré-Fá-Lá e Fá-Lá-Ré. Este balanceamento foi realizado com intuito de controlar o efeito das sequências de notas musicais específicas.
Pré-teste. O objetivo do Pré-teste foi avaliar o conhecimento dos participantes sobre as relações que seriam treinadas e testadas durante o experimento, selecionar os participantes e obter a linha de base. Antes de iniciar a sessão o participante lia uma instrução no papel sobre os estímulos e como olhar para eles. A instrução especificava que as partituras em Clave de Sol e fá (Conjuntos B e C) representam três sons e deveriam ser olhadas da esquerda para direita. As figuras dos teclados sobrepostos (Conjunto D) deveriam ser olhadas de cima para baixo e mostravam as teclas do piano (indicadas pelo desenho do dedo) que deveriam ser pressionadas para produzir os sons. Na tela do computador apresentava-se uma instrução geral sobre a tarefa “Serão apresentados sons e/ou figuras que os representam. Algumas vezes você ouvirá sons e verá um retângulo branco na tela. Clique no retângulo e então, escolha uma das figuras que serão apresentadas abaixo. Outras vezes você verá uma figura na tela. Clique na figura e então, escolha uma das figuras que serão apresentadas abaixo. Você não será avisado se acertar ou errar, mesmo assim procure fazer o melhor que puder”.
Nos Testes de Pareamento ao Modelo (MTS) era apresentado um estímulo modelo na janela central superior da tela do computador. Pressionar o botão do mouse com o cursor sobre o estímulo modelo produzia a oportunidade de escolher uma figura dentre três que apareciam nas janelas inferiores. A resposta (clique) sobre uma das figuras encerrava a tentativa e iniciava um intervalo entre tentativas de 1,5s (ITI). Durante o ITI a tela ficava cinza e nenhuma janela estava operativa. O Pré-teste iniciava com tentativas que avaliavam em ordem aleatória as relações entre os conjuntos A, B, C e D (exceto as relações com o Conjunto A como comparação - BA, CA e DA, que não foram avaliadas). Nessas tentativas foram utilizados todos os estímulos. Dois dos estímulos com três notas foram em seguida utilizados nos treinos, doravante denominados estímulos de treino. Os estímulos restantes, formados por rearranjos dos elementos dos estímulos de treino, foram utilizados apenas nos testes, e serão chamados de estímulos de teste. Os estímulos de comparação negativos (incorretos) utilizados em cada tentativa do teste (e treino também) eram formados pelas mesmas notas rearranjadas ou por notas com disposição espacial semelhante à da sequência correta. Por exemplo, quando o estímulo correto era Dó-Mi-Sol, as comparações negativas eram Mi-Sol-Dó e Ré-Fá-Lá.
No Pré-teste do desempenho de tocar no teclado, um estímulo era apresentado pelo experimentador no centro superior da tela do computador para que o participante observasse durante o tempo que quisesse. Quando o estímulo era auditivo, um retângulo branco permanecia na janela central superior. Após o participante indicar que já havia observado o estímulo, o experimentador retirava o estímulo da tela clicando sobre ele e o participante pressionava as teclas do teclado musical a sua frente que julgasse corresponder à sequência de notas do estímulo apresentado. Esta tarefa também ocorria sem consequência diferencial e, por esse motivo, o teclado ficava desligado (não emitia som). Nesse teste foram utilizados os estímulos de treino (dois em cada fase) e três dos cinco estímulos de teste.
As últimas tentativas do Pré-teste avaliavam as Relações de Identidade BB, CC e DD em tarefas de MTS, também com três comparações. Caso algum erro ocorresse nestas tentativas, era realizado um ou mais blocos de tentativas com consequência diferencial, até que o participante obtivesse 100% em cada relação de identidade.
Treinos AB, AC e AD. Nos treinos, foi também utilizado o procedimento MTS e todos os estímulos modelos eram sonoros (Conjunto A, Figura 1). Após ler a instrução geral na tela, o participante clicava na tela para iniciar a tentativa. O computador tocava uma das sequências de três notas musicais do Conjunto A, enquanto a tela mostrava um retângulo branco na janela central superior. Pressionar o botão do mouse com o cursor sobre o retângulo branco produzia os estímulos de comparação na parte inferior da tela. Um clique sobre a figura correta produzia por 1,5 s: (1) som de aplausos ou elogio (“Muito bom!”, “Isso!”, etc.); (2) um desenho de presentes, balões ou estrelas; e (3) a figura correta. Respostas incorretas produziam a apresentação do desenho de um X vermelho que ocupava toda a tela, durante 1,5s. Erros implicavam na repetição da tentativa. A posição dos estímulos correto e incorretos variava a cada tentativa. Um ITI de 1,5s com a tela cinza separava todas as tentativas de treino.
Em cada fase foram ensinadas duas relações entre sequências de três notas (Tabela 2) de cada tipo - AB, AC e AD, totalizando seis relações (A1B1, A2B2, A1C1, A2C2, A1D1, A2D2). Todos os treinos simples possuíam a mesma estrutura, composta por oito blocos de tentativas. Ensinava-se a primeira relação nos três primeiros blocos, aumentando-se o número de comparações de 1 para 3. Introduzia-se a segunda relação nos Blocos 4 e 5 com 1 e 2 comparações. Antes de aumentar o número de comparações para três, misturava-se no Bloco 6 as duas relações com duas comparações e programava-se, em seguida, o Bloco 7 com três alternativas. O número de comparações era aumentado quando cada S+ havia sido apresentado em todas as janelas ativas inferiores (esquerda e direita, no caso de 2 comparações, e adicionalmente no centro, no caso de três comparações). A exceção a essa regra era o Bloco 7 que, para igualar o número de tentativas de cada relação, programava duas tentativas da primeira relação e cinco da segunda relação. Finalizava-se a programação no Bloco 8 que misturava aleatoriamente tentativas das duas relações com três comparações, três vezes cada.
Para prosseguir para o próximo bloco o participante deveria apresentar “n” acertos consecutivos, sendo “n” o número de tentativas do bloco. Por exemplo, um bloco composto por quatro tentativas requeria quatro acertos consecutivos. Se o erro ocorresse na terceira tentativa, a mudança para o próximo bloco dependia de quatro acertos seguidos a partir desta tentativa e implicava na repetição das tentativas do bloco corrente para complementar as tentativas requeridas pelo critério. Cada bloco poderia ser realizado no máximo três vezes. Se mesmo assim o critério não fosse atingido, a programação do treino era repetida desde o início em sessão subsequente.
Treinos Mistos. Estes treinos foram realizados em cinco momentos de cada fase experimental: 1) após treinar as relações AB e AC (Treino Misto CRF 1); 2) antes de iniciar o Teste BC/CB (Treino Misto Intermitente 1); 3) após o treino das relações AD (Treino Misto CRF 2); 4) antes do Teste de Equivalência (Treino Misto Intermitente 2); e 5) antes dos Pós-testes (Treino Misto Intermitente 3) (Tabela 2).
Os Treinos Mistos CRF visavam apresentar, em um mesmo bloco, as relações previamente treinadas em separado e eram compostos por um bloco com uma tentativa de cada relação ensinada até aquele momento, havendo consequência para todas as escolhas nos dois blocos. Os Treinos Mistos Intermitentes tinham como objetivos revisar as relações ensinadas anteriormente e preparar para a situação de teste sem consequência, reduzindo a taxa de reforçamento. Esses testes foram compostos por dois blocos com uma tentativa de cada relação ensinada até aquele momento. No primeiro bloco havia consequência para todas as escolhas e no segundo as consequências ocorriam em média a cada duas tentativas.
Em todos os treinos intermitentes erros implicavam na repetição da tentativa. A passagem de um bloco para o seguinte e a finalização do treino seguiam os mesmo critérios descritos para os treinos simples.
Testes de equivalência. Concluídos os treinos das relações AB e AC, avaliava-se a emergência das relações entre notações em Clave de Sol e notações em Clave de Fá e entre notações em Clave de Fá e notações em Clave de Sol (Teste BC/CB, Tabela 2), com os estímulos de treino. Foram realizados dois blocos com seis tentativas BC e seis CB misturadas. Apresentava-se como modelo nas tentativas BC, um pentagrama em Clave de Sol e, como comparações, pentagramas em Clave de Fá, e o contrário nas tentativas CB. O teste era realizado em extinção, com três estímulos de comparação (um S+ e dois S-).
Após o Treino Misto Intermitente 2, avaliava-se a emergência de todas as relações visuais – BC, CB, BD, DB, CD e CD - (Teste de Equivalência, Tabela 2), conduzidos de forma semelhante ao Teste BC/CB. O teste foi composto por dois blocos com três tentativas de cada relação, totalizando 36 tentativas por bloco.
Pós-testes. Ao final de cada fase experimental, realizou-se o Pós-teste de MTS com Estímulos de Teste e o Pós-teste de Tocar Teclado com todos os estímulos da fase. Essas avaliações continham as mesmas tentativas do Pré-teste. O Teste de Identidade não foi repetido porque todos os participantes ou alcançaram 100% de acertos no Pré-teste ou realizaram o treino de identidade até desempenho perfeito. A avaliação das relações emergentes com estímulos de treino foi feita no Teste de Equivalência recente e por isso também foi omitida do Pós-teste.
Treino das relações de equivalência. Quando um participante acertava menos de 90% em algum tipo de relação dos Testes de equivalência (CD/DC, BC/CB ou BD/DB), realizava-se o treino de todas as relações antes de iniciar a segunda fase. O procedimento foi planejado para garantir a formação das classes de estímulos como linha de base igual para todos os participantes antes que o procedimento fosse repetido com novos estímulos na Fase 2. As tentativas eram as mesmas utilizadas no Teste de Equivalência, porém com consequências para acertos e erros, repetição da tentativa em caso de erro e os blocos eram apresentados somente uma vez, ou seja, os participantes finalizavam o treino após passar por todas as tentativas programadas.
As sessões foram realizadas individualmente, com uma frequência média de três vezes por semana, entre segunda-feira e sexta-feira, com duração máxima de 60 min.
Resultados
O número médio de sessões para cada participante concluir o estudo foi 6,5. Uma sessão foi suficiente para concluir cada treino AB, AC e AD nas duas fases, exceto para a participante Rute que repetiu os treinos AB e AC na Fase 1 e precisou de 10 sessões para concluir o estudo. O número de erros nos treinos foi pequeno para a maioria das participantes (exceto no Treino AB) e diminuiu ao longo dos treinos. Os erros foram mais frequentes no primeiro treino (AB) do que nos treinos subsequentes. Os números de erros (médios) nos treinos AB, AC e AD foram 24, 5 e 3 para a Fase 1, e 1, 1 e 0 para a Fase 2, respectivamente. Em geral, as participantes apresentaram nenhum ou poucos erros (um ou dois) nos três treinos mistos intermitentes das duas fases, exceto Rute na Fase 1 que errou 24 vezes no primeiro, mas apenas 2 e 3 erros nos treinos mistos intermitentes subsequentes.
Nos Testes de Identidade, os participantes apresentaram poucos (1 ou 2) ou nenhum erro nas duas fases do estudo. As participantes que apresentaram erro nesse teste realizaram o Treino de Identidade sem apresentar erros.
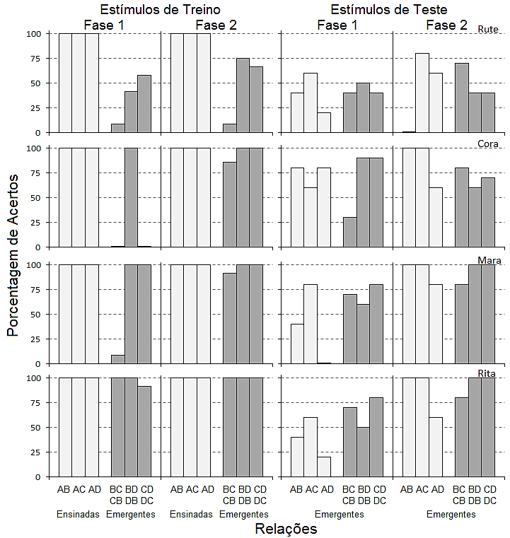
A Figura 2 apresenta os escores (porcentagem de acertos totais) de cada participante nos Testes de MTS e de Tocar Teclado em cada fase experimental. Uma vez que no Pós-teste MTS não foram programadas tentativas com estímulos de treino, utilizou-se para o cálculo das porcentagens das relações ensinadas AB, AC e AD o último bloco do Treino Misto Intermitente 3 (6 tentativas) e, para as relações BC/CB, BD/DB e CD/DC, o último bloco do Teste de Equivalência (36 tentativas). O cálculo de cada ponto nos gráficos inclui todos os tipos de relações com Estímulos de Treino e de Teste.
Nos Testes de MTS (gráfico na porção superior), as quatro participantes apresentaram escores menores que 50% (entre 39 e 44%) no Pré-teste da Fase 1, como exigência para participar do estudo. Para todas as participantes ocorreu aumento das porcentagens de acerto no Pós-teste da mesma fase. A Fase 2 replicou o aumento observado na Fase 1 com escores mais altos na segunda fase já no Pré-teste. Os aumentos intra e entre fases variaram entre as participantes, sendo que Rute apresentou aumentos muito pequenos nas duas fases e terminou o estudo com escores próximos de 50% de acertos. As outras três participantes mostraram aumentos substanciais e terminaram o estudo (Pós-teste da Fase 2) com escores gerais acima de 87% de acertos.

O gráfico na porção inferior da Figura 2 permite avaliar o efeito dos treinos na transferência de controle dos estímulos sobre a resposta não ensinada de tocar teclado. As quatro participantes iniciaram o estudo com desempenhos mais baixos nessa habilidade (porcentagens variaram de 0 a 30% de acertos no Pré-teste da Fase 1) do que nos Testes de MTS, mas os escores aumentaram tanto em cada fase experimental quanto entre as fases.
As análises seguintes permitem avaliar se houve efeito dos treinos dependente do tipo de relação (AB, AC, etc.) e de estímulo (de treino e de teste). A Figura 3 mostra as porcentagens de acertos nos testes realizados no final de cada fase, separadas por tipo de relação e de estímulo. Nos painéis à esquerda, estão apresentados os resultados das relações AB, AC, AD com estímulos de treino (colunas cinza claro) e das relações transitivas (BC/CB, BD/DB e CD/CD, colunas cinza escuro), que seriam esperadas se classes de equivalência tivessem sido formadas em cada fase. Uma vez que as relações treinadas diretamente não foram incluídas no teste final de cada fase, os resultados dessas relações se referem ao último bloco do Treino Misto Intermitente 3 e, para as relações transitivas, ao segundo bloco do Teste de Equivalência. Para os estímulos de treino, as participantes apresentaram desempenhos precisos (100% de acerto) nas relações AB, AC e AD no último bloco do Treino Misto Intermitente 3das duas fases. Para as relações emergentes (BC/CB, BD/DB e CD/DC), na Fase1, apenas Rita apresentou resultados compatíveis com a formação de classes de estímulos equivalentes (escores acima de 80% de acertos em todas as relações). Na Fase 2, a emergência ocorreu para três participantes (Rita, Cora e Mara), o que mostra melhor desempenho das participantes na segunda fase do estudo. Escores mais baixos foram observados com mais frequência nas relações entre as Partituras em Clave de Sol e Fá (relações BC/CB).

Nos painéis à direita da Figura 3 estão as porcentagens de acertos das Relações Auditivo-Visuais (colunas claras) e das Relações Visual-Visuais (colunas cinza) com estímulos não treinados, compostos pelas notas musicais dos estímulos de treino, de cada fase experimental. As análises dos Pós-testes com Estímulos de Teste mostram que três participantes, Cora, Mara e Rita, apresentaram alguma evidência de leitura recombinativa, considerando que escores abaixo de 50% são desempenhos no nível do acaso (33,33%). Essas participantes mostraram escores acima de 50%, especialmente na Fase 2. Para Rute, os escores foram baixos e variáveis, indicando ausência de leitura recombinativa no teste com a tarefa de seleção. Os escores mais baixos foram, em geral, observados para a relação AD (Som-Teclado) e BC/CB (Partituras em Claves de Sol e Fá).
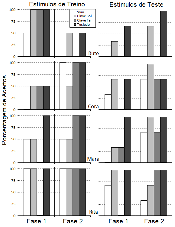
Os escores individuais nos Pós-testes de Tocar Teclado em função do conjunto de estímulos são apresentados na Figura 4. O painel à esquerda de cada gráfico apresenta os resultados da Fase 1 e o da direita, da Fase 2. As análises para Estímulos de Treino (gráficos do lado esquerdo) mostram desempenhos de tocar teclado com alta acurácia (100% de acerto) para no mínimo dois dos conjuntos de estímulos, para as quatro participantes em pelo menos uma fase do estudo.

Rita foi capaz de tocar as teclas do teclado quando eram apresentados os sons, as partituras em Clave de Sol e as figuras do teclado, nas duas fases. O controle pela Clave de Fá se estabeleceu, entretanto, apenas na Fase 2. O desempenho de Cora foi acurado para três dos 4 conjuntos de estímulos (Som, Clave de Fá e Figura do Teclado) apenas na Fase 2. Mara também só apresentou desempenho acurado (100% de acerto) na Fase 2 e apenas para dois conjuntos de estímulos: Partitura em Clave de Fá e Figura do Teclado. Rute apresentou desempenho acurado apenas na Fase 1 e para três conjuntos de estímulos: respondeu corretamente às Partituras em Clave de Sol e Fá e às Figuras do Teclado (Conjuntos B, C e D).
Nos Pós-testes de Tocar Teclado com estímulos recombinados (gráficos do lado direito da Figura 4) também houve variabilidade entre os participantes e intra-sujeito. Esta foi uma medida adicional de leitura recombinativa utilizada, mas que dependia também da transferência do controle de estímulos para a resposta não ensinada de tocar teclado. Escores mais altos tenderam a ocorrer na Fase 2 e nas tentativas que apresentavam a Partitura em Clave de Sol e a Figura do Teclado. Os desempenhos nas tentativas com os estímulos sonoros foram, em geral, os mais baixos. Desempenhos mais altos foram obtidos por Cora, Mara e Rita, que mostraram percentuais acima de 50% de acertos para todos os tipos de estímulos em uma ou nas duas fases. Rute obteve porcentagem maior que 50% de acertos em uma das partituras, além das figuras do teclado, na Fase 2.
Discussão
O presente estudo utilizou um procedimento baseado no paradigma de equivalência de estímulos (Sidman & Tailby, 1982) e no procedimento de pareamento ao modelo (Cumming & Berryman, 1961), para ensinar a estudantes universitários relações entre sequências de sons, partituras em Claves de Sol e Clave de Fá e figuras das sequências de notas tocadas no teclado musical. O procedimento de ensino, que utilizou o pareamento ao modelo para ensinar as relações básicas, foi efetivo para estabelecer as discriminações condicionais com estímulos e respostas envolvidos na leitura musical. Todos os participantes alcançaram o critério de aprendizagem de 100% de acertos nos passos de ensino que apresentavam como modelo sequências de três notas musicais em som de piano e requeria a seleção das partituras em Clave de Sol ou Fá ou Figuras do teclado correspondentes aos sons. Em cada fase experimental, as participantes aprenderam a discriminar: (1) duas sequências compostas pelas mesmas notas musicais (e.g., dó-mi-sol e mi-sol-dó) que apareciam em tentativas diferentes; (2) partituras em Clave de Sol; (3) partituras em Clave de Fá; e (4) figuras representando as notas tocadas em um teclado.
As relações Som-Clave de Sol, Som-Clave de Fá e Som-Figura dos Teclados foram treinadas separadamente e nesta ordem. Em geral, as participantes apresentaram aquisição rápida com nenhum ou pouco erro e concluíram todo o estudo em até 10 sessões de no máximo uma hora de duração (média 30 min). Esses resultados mostram que o procedimento de pareamento ao modelo, com aumento gradual no número de comparações, foi efetivo para ensinar relações arbitrárias com estímulos musicais relativamente complexos e discriminações entre estímulos similares (compostos pelas mesmas notas, com o mesmo timbre, ritmo, etc.). Além disso, cada vez que a comparação incorreta era escolhida, havia um procedimento de correção que repetia a tentativa até que o participante escolhesse corretamente, o que também pode ter contribuído para os resultados positivos.
A diminuição dos erros ao longo dos treinos de uma mesma fase e da Fase 1 para a Fase 2 mostra que a história de treino facilitou novas aquisições de relações condicionais entre fragmentos musicais e estímulos visuais correspondentes. Esses resultados replicam o efeito de história de aprendizagem de discriminações sobre a aprendizagem de novas discriminações, chamado de learning set (Harlow, 1949). Os resultados replicam também estudos anteriores sobre leitura de texto que utilizaram um procedimento de ensino semelhante e foram efetivos para ensinar relações entre palavras ditadas, palavras impressas e figuras (e.g., Serejoet al., 2007; Hanna, Kohlsdorf, Quinteiro, Fava, de Souza, & de Rose, 2008, Hanna et al., 2011). A rapidez e o baixo número de erros observados para ensinar essas habilidades, que são básicas para um leitor de partitura, sugerem que o procedimento aqui descrito pode contribuir para o avanço de tecnologia de ensino de música.
A aprendizagem das relações condicionais treinadas diretamente não é suficiente para avaliar se os estímulos se tornaram intercambiáveis. Por isso os testes com a mudança de função dos estímulos e entre estímulos visuais que não haviam sido relacionados na etapa de treino foram realizados. As quatro participantes mostraram na Fase 2a formação de classes de estímulos equivalentes (Figuras 2 e 3, Estímulos de Treino). Nesta fase, duas classes de estímulos, compostas por quatro elementos (som, partitura em Clave de Sol, partitura em Clave de Fá e figura do teclado) foram formadas. Estes achados corroboram relatos anteriores de resultados positivos utilizando procedimentos semelhantes ao presente para o ensino de leitura textual e musical (e.g., Sidman, Cresson, & Wilson-Morris, 1974; ver também Acínet al., 2006; Hannaet al., 2011; Hayes et al., 1989; Tena & Velázquez, 1997) e estende resultados anteriores para estímulos musicais mais complexos (sequências de notas). O uso de fragmentos melódicos no ensino de leitura musical pode ter maior relevância por aproximar os estímulos utilizados no procedimento às melodias (estímulos do ambiente natural), que se constituem em sequências rítmicas de sons musicais. Aprender a tocar um instrumento sendo capaz de produzir, já no início do processo, fragmentos melódicos conhecidos pode, como na leitura textual, funcionar como uma poderosa consequência natural do comportamento do aprendiz (de Souza et al., 2014; Santos & de Rose, 1999).
As relações ensinadas e emergentes, observadas no presente estudo, seriam correspondentes ao que nos experimentos de leitura é chamado de leitura com compreensão, ou seja, quando ocorre a formação de classes equivalentes entre palavras ditadas, impressas correspondentes às palavras (Sidman, 1971; Sidman et al., 1974). No caso da rede de relações correspondente à leitura musical utilizada no presente estudo pode-se questionar se as relações entre as notações em Clave de Sol e Fá e os fragmentos musicais (BA e CA) não seriam essenciais para concluir sobre a leitura com compreensão. Nenhum teste de simetria foi realizado no presente estudo por implicar em mudança de procedimento quando os estímulos de comparação são sonoros (estratégia usual na literatura). A importância das informações que seriam geradas por essas avaliações requer, entretanto, o desenvolvimento de metodologia para a realização dos testes em estudos futuros sobre leitura musical.
Na Fase 1, a maioria das participantes apresentou escores baixos nos Testes de Equivalência (Figuras 2 e 3). Os resultados mais baixos (próximos de zero) ocorreram nas relações BC/CB para quatro participantes. Quando as claves de Sol (B) e de Fá (C) eram apresentadas na mesma tentativa, a semelhança física entre estímulos modelo e comparação requeria discriminações sutis não ensinadas anteriormente. Os estímulos B e C se assemelham quanto à existência do pentagrama, os símbolos que “representavam” as notas, o espaço entre os símbolos, a posição de algumas notas no pentagrama, a disposição espacial. Estas semelhanças podem aumentar as chances de erros devido à generalização, especialmente se durante os treinos não era requerida a discriminação entre as claves. Como as claves só apareciam juntas nas tentativas de teste BC e CB, os escores baixos na Fase 1 podem ser indicadores de que os treinos AB e AC não foram suficientes para que as participantes diferenciassem os dois conjuntos de partituras (Sol e Fá). Esses resultados são desafiadores, uma vez que todas as participantes antes dos Testes de Equivalência obtiveram 100% de acertos em um bloco de tentativas que misturavam relações AB e AC. Os resultados de Cora e Mara fortalecem a hipótese de que os baixos escores decorrem da ausência de condições que exigissem a discriminação entre as partituras com diferentes claves, uma vez que na Fase 2 o desempenho dessas participantes foi muito superior do que na Fase 1. O Teste BC/CB da Fase 1 pode ter sido relevante para que elas passassem a responder diferencialmente às diferentes claves.
No experimento de Hayes et al. (1989), todos os participantes demonstraram equivalência de estímulos com os estímulos musicais. Somente foram considerados resultados positivos porcentagens de acertos maiores ou iguais a 80%. Quando o resultado não correspondia a este critério, o participante fazia novamente treinos e Testes de Equivalência. O mesmo ocorreu nos três experimentos de Acínet al. (2006), porém escores um pouco mais baixos também foram considerados como resultados positivos no Teste de Equivalência (exemplo: 69% de acerto). No experimento de Tena e Velázquez (1997) os participantes obtiveram resultados entre 40 e 100% de acertos nos Testes de Equivalência de Estímulos, entretanto quando não ocorria 100% de acerto, o teste era repetido até que este escore fosse apresentado. No presente estudo, também foram planejados treinos mistos quando as participantes apresentavam escores menores que 90% de acertos nos Testes de Equivalência da Fase 1. As participantes, exceto Rita, realizaram o treino dessas relações na Fase 1. Como neste treino eram programadas Tentativas BC e CB com consequências para acerto e erro, esta experiência pode também ter sido importante para os resultados superiores da Fase 2. Nestas tentativas as aprendizes precisaram observar e responder diferencialmente às claves para acertar as tentativas e prosseguir no treino.
A leitura generalizada foi avaliada nos testes com novas sequências formadas pela recombinação das notas dos estímulos ensinados. Duas participantes (Rita e Mara, Figura 2) mostraram aumentos nas duas fases nos percentuais de acertos nos Pós-testes, terminando a Fase 2 com 100% de acertos nas relações AB, AC, BD/DB e CD/DC (Figura 4).Esses resultados podem ter ocorrido como efeito do número de exemplares e quantidade de treino até o final da Fase 2,efeito este relatado também em estudos de leitura textual (e.g., de Rose et al., 1996; Hanna et al., 2008, 2011; Serejo, Hanna, de Souza, & de Rose, 2007). Na leitura textual, como as relações são totalmente arbitrárias, a leitura generalizada depende do estabelecimento de controle pelas unidades mínimas (letras ou sílabas) (Skinner, 1957) que decorre do uso de múltiplos exemplares com recombinação das unidades durante o treino (de Souza et al., 2014). Na leitura musical, apesar de a aprendizagem poder ser análoga à leitura textual em alguns aspectos, há que se considerar uma diferença importante. Na música, notas mais altas na partitura representam sons com frequência mais alta, que por sua vez correspondem às teclas mais a direita do teclado. Esta regularidade física pode ser um fator importante para explicar a generalização ocorrida para essas participantes, considerando que o número de exemplares ensinado em cada fase experimental foi pequeno para que o controle por unidades mínimas se desenvolvesse tão prontamente.
Escores mais baixos nos Testes de Leitura Recombinativa foram observados para a maioria das participantes do presente estudo, especialmente na Fase 1, quando apenas duas sequências de notas haviam sido ensinadas. Esses resultados são consistentes com os de estudos sobre leitura textual, quando as primeiras palavras são ensinadas e novas palavras são testadas (e.g., de Rose et al., 1996; Matos et al., 2006) e em estudos com pseudo-alfabeto (e.g., Hanna et al., 2011). Os escores baixos de leitura generalizada observados no presente estudo podem ter ocorrido em decorrência do ensino de um número pequeno de exemplares. Em cada fase as notas que compunham os estímulos foram diferentes e dentro de cada fase apenas dois exemplares com sobreposição dos elementos foram utilizados(e.g., dó-mi-sol e mi-sol-do). Estudos sobre leitura textual com escores altos de generalização recombinativa ensinaram mais exemplares com recombinação dos elementos que compunham os estímulos de treino (e.g., de Rose et al., 1996; Hanna et al., 2011; Matos, Hübner, Serra, Basaglia, & Avanzi, 2002). Os estudos de Hanna e colaboradores (2008, 2011), também com estudantes universitários, mostraram que o ensino de apenas dois exemplares produz nenhum ou baixo nível de leitura recombinativa de pseudopalavras escritas com um pseudoalfabeto. A leitura recombinativa aumentou substancialmente quando seis exemplares com recombinação dos elementos foram ensinados.
A leitura de partituras é especialmente importante para tocar instrumentos. O Teste de Tocar Teclado foi realizado para observar se, após os treinos e testes com a tarefa de pareamento ao modelo, ocorreria a transferência de função discriminativa dos estímulos para uma nova topografia de resposta mais semelhante à requerida no ambiente natural. Em geral os escores foram mais baixos tanto no Pré-teste quanto no Pós-teste e variáveis nas duas fases do que os observados para a resposta de seleção (Figura 2). No Teste MTS, o acerto ao acaso com três comparações é 33,3% e o controle por alguma parte do modelo e das comparações aumenta as chances de acerto mesmo que cada estímulo não controle perfeitamente o comportamento. Suponha, por exemplo, uma tentativa onde o modelo é mi-dó-sol na notação em Clave de Sol e as comparações são figuras do teclado. Se o participante aprendeu apenas o dó na partitura e na figura do teclado e ele é a segunda nota da sequência, um acerto ocorreria se apenas uma das comparações apresentasse o dó como a segunda nota. No entanto, em tentativas de tocar teclado com a mesma sequência apresentada em partitura, as chances de acertar com este controle parcial e considerando o acaso seriam bem mais baixas porque entrariam todas as combinações de três notas sendo a segunda o dó. Esta diferença sugere que o ensino a partir de uma tarefa de seleção não garante desempenho semelhante em nova tarefa que envolve os mesmos estímulos. Resultados semelhantes são comumente relatados em estudos sobre leitura textual (e.g., Serejo et al., 2007; de Rose et al., 1996; de Souza, Hanna, de Rose, Fonseca, Pereira, & Salorenzo, 1997; Hanna et al., 2008, 2011) quando se compara os escores em Testes de MTS e Testes de Leitura Oral.
Escores altos ocorreram especialmente nas tentativas de Pós-testes que apresentavam estímulos do Conjunto D (figuras do teclado) (Figura 4). Para os adultos universitários, o teclado era provavelmente um instrumento familiar mesmo para aqueles que não tinham algum instrumento com teclado em casa. Este tipo de população provavelmente já assistiu músicos tocando instrumentos, semelhantes ao utilizado no experimento, em programas na televisão, ao vivo ou em filmes. Uma vez que os participantes compreendem a tarefa, esta seria análoga a uma tarefa de cópia quando a figura do teclado com as indicações das notas está presente. Além disso, existe a possibilidade de acertar contando-se qual tecla da figura está marcada e fazendo-se o mesmo para encontrar a tecla correspondente entre as notas aparentes do teclado (compare figura do Conjunto D e do teclado na Figura 1). Importante notar que, apesar destas observações que levariam a esperar desempenhos perfeitos de estudantes universitários nessas tentativas, erros ocorreram para pelo menos uma participante em cada fase, tanto com Estímulos de Treino como de Teste (Figura 4).
Para os estímulos recombinados, incluindo os de quatro notas, ocorreram acertos em todas as tentativas para três participantes na presença de uma das partituras (Conjunto B ou C) em uma das fases. Esses resultados positivos sugerem que o procedimento utilizado foi suficiente para ampliar o repertório de leitura musical além daquele ensinado diretamente. Note que a situação de Teste de Tocar Teclado frente às partituras é a mais próxima do que se chama na linguagem ordinária de leitura musical. Note também que o desempenho apresentado pelas participantes foi obtido com no máximo 10 h de estudo, o que torna o procedimento utilizado no presente estudo promissor para o desenvolvimento de programas alternativos de ensino de leitura musical.
Estudos anteriores que ensinaram notas isoladas (Hayes etal.,1989; Tena & Velázquez, 1997) em vez de sequências relataram que os participantes foram capazes de apresentar novos desempenhos sob controle dos estímulos ensinados mais consistentemente do que ocorreu para o tocar teclado no presente estudo. Esta discrepância entre resultados sugere que o tamanho da unidade de ensino pode ser um fator importante para que o controle discriminativo se estenda para outros comportamentos, o que já está sendo investigado em estudo em desenvolvimento.
Em estudo piloto o Teste de Tocar Teclado utilizava o teclado ligado. Durante os testes com estímulos auditivos, os participantes deste estudo piloto demonstravam aprendizagem, uma vez que comparavam o som ouvido antes da resposta com aquele produzido pela pressão na tecla e corrigiam suas respostas. Essa aprendizagem no Pré-teste provavelmente influenciava também as etapas subsequentes do estudo que dependiam da aprendizagem de discriminações auditivo-visuais. Em função disso os testes foram modificados, sendo conduzidos com o teclado desligado. Esta mudança, entre outras, foi um refinamento metodológico que permitiu retratar melhor o grau de familiaridade dos participantes com os estímulos apresentados e controlar os efeitos do treino sobre o desempenho nos testes subsequentes.
Apesar dos ganhos observados para três das quatro participantes do presente estudo, a generalização dos resultados aqui obtidos ainda necessita de outras investigações. Além do ganho muito pequeno da participante Rute, dois universitários que não fizeram parte do estudo por apresentarem desempenhos altos no pré-teste, mas que quiseram continuar as sessões, não mostraram aumento do desempenho em todos os Pós-testes.
Referências
Acín, E. E., García, A. G., Zayas, C. B., &Domínguez, T. G. (2006). Formación de clases de equivalencia aplicadas al aprendizaje de las notas musicales. Psicothema, 18(1), 31-36.
Alessi, G. (1987). Generative strategies and teaching for generalization. The Analysis of Verbal Behavior, 5, 15-27.
Arntzen, E., Halstadtro, L.,Bjerke, E., & Halstadtro, M. (2010). Training and testing music skills in a boy with autism using a matching-to-sample format. Behavioral Interventions, 25, 129-143.
Batitucci, L.A., Batitucci, J., & Hanna, E.S (2007). Contingência Programada. Software sem registro, Universidade de Brasília, Brasília, DF.
Cumming, W. W., & Berryman, R. (1961). Some data on matching behavior in the pigeon. Journal of the Experimental Analysis of Behavior, 4(3), 281–284.
de Rose, J. C. (2005). Análise comportamental da aprendizagem de leitura e escrita. Revista Brasileira de Análise do Comportamento, 1(1), 29-50.
de Rose, J. C., de Souza, D. G., & Hanna, E. S. (1996). Teaching reading and spelling: Exclusion and stimulus equivalence. Journal of Applied Behavior Analysis, 29, 451-469.
de Souza, D. G., de Rose, J. C., Faleiros, T. C., Bortoloti, R., Hanna, E. S., & McIlvane, W. J. (2009). Teaching generative reading via recombination of minimal textual units: A legacy of Verbal Behavior to children in Brazil. International Journal of Psychology and Psychological Therapy, 9, 19-44.
De Souza, D. G., Hanna, E. S., Albuquerque, A. R., Hübner, M. M. C. (2014). Processos recombinativos: algumas variáveis críticas para o desenvolvimento de leitura. Em J. C. de Rose, M. S. C. A. Gil, & D. G. de Souza (Eds.), Comportamento simbólico: Bases conceituais e empíricas (pp. 421-462). Marília: Cultura Acadêmica; São Paulo: Cultura Acadêmica.
de Souza, D. G., Hanna, E. S., de Rose, J. C., Fonseca, M. L., Pereira, A. B, &Sallorenzo, L. H. (1997). Transferência de controle de estímulos de figuras para texto no desenvolvimento de leitura generalizada. Temas em Psicologia, 5, 33-46.
Dymond, S. & Barnes, D. (1994). A transfer of self-discrimination response functions through equivalence relations. Journal of the Experimental Analysis of Behavior, 62(2), 251-267.
Goldstein, H. (1983). Training generative repertoires within agent-action-object miniature linguistic systems with children. Journal of Speech and Hearing Research, 26(1), 76-89.
Hanna, E. S., Kohlsdorf, M., Quinteiro, R. S., Fava, V. M. D., de Souza, D. G., & de Rose, J. C. C. (2008). Diferenças individuais na aquisição de leitura com um sistema linguístico em miniatura. Psicologia: Teoria e Pesquisa, 24(1), 45-58.
Hanna, E. S., Kohlsdorf, M., Quinteiro, R. S., Melo, R. M., de Souza, D. G., de Rose, J. C. C., & McIlvane, W. J. (2011). Recombinative reading derived from pseudoword instruction in a miniature linguistic system. Journal of the Experimental Analysis of Behavior, 95(1), 21-40.
Harlow, H. F. (1949). The formation of learning sets. Psychological Review, 56, 51-65.
Hayes, L. J., Thompson, S., & Hayes, S. C. (1989).Stimulus equivalence and rule following. Journal of the Experimental Analysis of Behavior, 52, 275-291.
Matos, M. A., Avanzi, A. L., & McIlvane, W. J. (2006). Rudimentary reading repertories via stimulus equivalence and recombination of minimal verbal units. The Analysis of Verbal Behavior, 22, 3-19.
Matos, M. A., Hübner, M. M. C., Serra, V. R. B. P., Basaglia, A. E., &Avanzi, A. L. (2002). Rede de relações condicionais e leitura recombinativa: Pesquisando o ensinar a ler. Arquivos Brasileiros de Psicologia, 54, 285-303.
Medeiros, J. G., Fernandes, A. R., Simone, A. C. S., & Pimentel, R. G. (2004). A função da nomeação oral sobre comportamentos emergentes de leitura e escrita ensinados por computador. Estudos de Psicologia, 9, 249-258.
Perez, W. F., & de Rose, J. C. C. (2010). Recombinative generalization: An exploratory study in musical reading. The Analysis of Verbal Behavior, 26, 51-55.
Santos, J. A., & de Rose, J. C. (1999). A importância do reforço natural na formação do hábito de leitura. Revista Olhar, 1, 37-42.
Serejo, P., Hanna, E. S., de Souza, D. G., & de Rose, J. C.C. (2007). Leitura e repertório recombinativo: Efeito da quantidade de treino e da composição dos estímulos. Revista Brasileira de Análise do Comportamento, 3(2), 191-215.
Sidman, M. (1971). Reading and auditory-visual equivalences. Journal of Speech and Hearing Research, 14(1), 5-13.
Sidman, M., Cresson, O. J., &Willson-Morris, M. (1974). Acquisition of matching to sample via mediated transfer. Journal of the Experimental Analysis of Behavior, 22(2), 261-273.
Sidman, M., &Tailby, W. (1982).Conditional discrimination vs. matching to sample: An expansion of the testing paradigm. Journal of the Experimental Analysis of Behavior, 37, 5-22.
Skinner, B. F. (1957). Verbal Behavior. New Jersey: Prentice-Hall Inc.
Sloboda, J. A. (2005). Exploring the musical mind: Cognition, emotion, ability, function. Oxford: Oxford University Press.
Suchowierska, M. (2006). Recombinative generalization: Some theoretical and practical remarks. International Journal of Psychology, 41(6), 514-522.
Tena, R. O., & Velázquez, H. A. (1997). Estudio exploratorio de la enseñanza de la lectura de notas musicales a través del modelo de discriminación condicional. Revista Mexicana de Psicología, 14(1), 13-29.
Notas