Recepção: 15 Julho 2015
Aprovação: 26 Outubro 2015
Resumo: O presente estudo compara duas condições no tratamento de um casal. Os participantes foram um casal e sua terapeuta. O delineamento consistiu em duas condições de tratamento: A e B. Na condição A, estratégias de terapia comportamental de casais convencionais foram priorizadas, enquanto que na condição B, a Psicoterapia Analítica Funcional (FAP) foi introduzida com ênfase na estratégia de evocar e consequenciar comportamentos vulneráveis à punição. As condições foram comparadas segundo a Functional Analytic Psychotherapy Rating Scale (FAPRS) em termos de frequências e da análise de probabilidade transicional entre as categorias. Os resultados indicaram aumento de comportamentos de melhora de ambos os parceiros nas duas condições, havendo melhoras mais sensíveis nas condições B. O comportamento vulnerável à punição de ambos ocorreu somente nas condições B. Discute-se a ênfase nas estratégias de evocar comportamentos vulneráveis à punição no tratamento de casais e sugere-se que estudos randomizados sejam conduzidos para avaliar seu potencial terapêutico para o tratamento de casais em crise.
Palavras-chave: terapia de casais, intimidade, Psicoterapia Analítica Funcional.
Abstract: The study compares two conditions in a couple treatment. The participants were a couple and their therapist. The design consists in two treatment conditions: A and B. In condition A, traditional couple behavior therapy strategies were employed, and in the condition B, Functional Analytic Psychotherapy (FAP) strategies were introduced, emphasizing evoking and reinforcing behavior vulnerable to interpersonal punishment. Conditions were compared according to the Functional Analytic Psychotherapy Scale (FAPRS) in terms of the frequencies and of the transitional probability analysis among the categories. The results indicated the increasing in the clinical improvement behaviors for the partners in both conditions (A and B) and the improvement was more expressive in conditions B. The behavior vulnerable to interpersonal punishment was observed only in theconditions B. The focus on evoking vulnerable behavioris discussed and randomized studies are suggested in order to evaluate the therapeutic properties of such evoking in treatment of couples in crisis.
Keywords: Couple therapy, intimacy, Functional Analytic Psychotherapy.
As interações íntimas são alvo frequente dos tratamentos analítico-comportamentais para casais em crise. Jacobson e Christensen (1996) caracterizam a crise de um casal pela polarização, pela coerção e pela visão negativa do parceiro, de modo que, os comportamentos de um casal em crise costumam concorrer com a intimidade entre o par. O Comportamento Interpessoal Vulnerável à Punição (CIVP), conforme definido por Córdova e Scott (2001), é uma operacionalização da intimidade entre as pessoas, fundamentada na Análise do Comportamento. Quando estas pessoas são um par afetivo, cada um dos parceiros emite comportamentos vulneráveis à punição em relação ao outro, o que constitui a intimidade do casal. Por exemplo, uma parceira, cujo comportamento de pedir ajuda foi punido em outros contextos, solicita o apoio de seu companheiro. Ao fazer isto, ela estaria emitindo um comportamento vulnerável à punição concorrente com os que caracterizam a crise, mantendo-se próxima de seu companheiro e agindo de forma cooperativa.
O contexto clínico apresenta interações que permitem supor a possibilidade de o próprio terapeuta emitir comportamentos vulneráveis à punição na presença do casal, de forma calculada no tratamento. Caso o terapeuta venha a empregá-lo como intervenção no tratamento de um casal, este comportamento pode ser; 1) prescrito como tarefa de casa para que os parceiros o pratiquem (instrução); 2) modelado pelo terapeuta durante a sessão com os parceiros (modelagem) ou 3) oferecido como modelo, valendo-se o terapeuta da própria interação com os parceiros para emiti-lo (modelação). Pouco, entretanto, tem sido documentado sobre o uso deste comportamento como intervenção terapêutica para promover a melhora clínica de casais em tratamento (Hawkins, Stanley, Blanchard, & Albright, 2012).
Historicamente, a terapia comportamental de casal (aqui considerada qualquer terapia fundamentada em princípios de aprendizagem respondente e operante) pode ser dividida em três momentos quanto ao foco das intervenções em tratamentos de casais. Em um primeiro momento, marcado pelo surgimento da Terapia Comportamental de Casal (BCT, do inglês Behavioral Couple Therapy) (Falloon & Lilie, 1988), os procedimentos foram consistentes com a premissa de que os casais em conflito apresentavam déficits em habilidades para relacionar-se (Baucom et al., 2008). Assim, o foco das intervenções foi na solução de conflitos, nas mudanças de comportamento, no treino de comunicação e no apoio mútuo entre os parceiros (Baucom et. al, 2008; Jacobson & Holtzworth-Monroe, 1986). Além disso, o pressuposto da erosão do reforço, segundo o qual, cada parceiro iria deixando de gratificar um ao outro, com o decorrer do tempo, levou à preferência por procedimentos para aumentar trocas positivas entre o par, em detrimento dos que buscavam a diminuição de comportamentos considerados inadequados (Jacobson & Holtzworth-Monroe, 1986; Vandenberghe, 2006).
No estudo de Jacobson (1979), os casais foram submetidos a procedimentos-padrão de solução de problemas (detalhados por Jacobson, 1977b, 1977c), nos quais problemas particulares do relacionamento receberam a intervenção. Cinco dos seis casais que receberam a terapia comportamental apresentaram melhoras durante o curso da terapia e mudanças que puderam ser atribuídas às estratégias específicas. Para esses casais que tiveram mudanças no decorrer da terapia, em três instâncias, a solução de problemas foi o ingrediente ativo, ao passo que em outras quatro a solução de problemas aliada às instruções contribuíram para a mudança.
Em 1984, Jacobson realizou um estudo no qual casais que passaram pelos procedimentos de comunicação e solução de problemas (do inglês, communication/ problem-solving training, CPT), bem como pelo tratamento completo que incluiu os procedimentos anteriores aliados à troca comportamental (do inglês, Behavior Exchange, BE), tiveram melhores resultados se comparados ao pós-teste e foram aqueles que continuaram a reduzir e eliminar problemas durante o período do follow-up em um índice equivalente ao período de terapia. Em comparação, casais que passaram apenas pelo BE tiveram melhora de 44% se comparados ao pós-teste, indicando alguma deterioração. Entretanto, casais que passaram pelo CPT não obtiveram aumento nos índices de comportamentos positivos imediatamente após a terapia e casais que passaram pelo pacote completo (CO) de intervenção, mostraram maior redução dos problemas com seis meses de follow-up do que eles tiveram no pós-teste, o que confirma que a troca comportamental apresenta diferenças se comparada aos outros tratamentos.
Hahlweg e Markman (1988) conduziram uma meta-análise da Behavioral Marital Therapy (BMT) e de estudos de intervenção pré-matrimonial (do inglês, Premarital Intervention Studies, BPI) nos Estados Unidos e na Europa. Ambos tratamentos incluíram treinamentos de comunicação, solução de problemas e reestruturação cognitiva. A BMT foi considerada mais efetiva do que ausência de tratamento em reduzir a crise dos casais e, esta mudança, permaneceu estável por, pelo menos três meses chegando a 12 meses após a terapia. Além disso, BMT foi igualmente efetiva para norte-americanos e europeus, o que indica a generalidade da BMT. Da mesma forma, a BPI também foi considerada mais efetiva do que ausência de tratamento em melhorar o relacionamento de parceiros prestes a casarem-se e a prevenir problemas futuros, entretanto, os resultados da BPI não são tão fortes quanto os da BMT, o que pode acontecer devido às diferenças de casais felizes/infelizes, bem como aos problemas metodológicos. Algo semelhante ocorreu no estudo de Baucom (1982), o qual mostrou que a BMT (em suas diferentes condições treinamentos de comunicação e solução de problemas mais contrato de contingência, apenas treinamentos de comunicação e solução de problemas e apenas contrato de contingência), foi mais efetiva do que ausência de tratamento em aliviar a crise do casal. Os resultados deste estudo replicam achados prévios nos quais casais em crise que receberam um programa de tratamento que incluía treinamentos de comunicação e solução de problemas seguido de contrato de contingência melhoraram mais do que aqueles que estavam na lista de espera. A comparação entre as três condições de terapia comportamental não teve diferenças significativas.
No estudo de Silva e Vandenberghe (2009), casais do grupo que participou da intervenção com treino de comunicação apresentaram mudanças, mantendo-se na discussão do problema e sua solução, isto é, mantiveram-se por mais tempo discutindo o problema escolhido, além de reduzirem as fugas/esquivas da discussão, o que indica a efetividade desta estratégia. No caso dos casais do grupo submetido a intervenções com a apresentação do roteiro de solução de problemas, dois deles aumentaram a frequência da mesma categoria e todos apresentaram diminuição na frequência de contestar (discordância do parceiro, com função de punir ou contracontrolar), o que também indica que estratégias de solução de problemas podem ser efetivas na diminuição de interações aversivas entre casais.
Retomando a história da terapia de casais, em um segundo momento, as intervenções mantiveram-se voltadas para a reatividade dos parceiros e não apenas para seus déficits de habilidades (Vandenberghe, 2006). O estudo marcante publicado por Jacobson e colaboradores em 1984, indicou limitação que resultados alcançados pela Terapia Comportamental de Casais Tradicional (TBCT, do inglês Traditional Behavioral Couple Therapy), cujas intervenções baseavam-se em trocas comportamentais, no treinamento de habilidades de comunicação e na solução de problemas – a eficácia foi limitada, uma vez que um terço dos casais não apresentou avanços no relacionamento, após o tratamento com a TBCT (Jacobson et al., 1987), e muitos tiveram recaída em até dois anos (Jacobson et al., 1984, 1987) e, segundo Snyder, Wills e Grady-Fletcher (1991), outros se divorciaram dentro de quatro anos após o tratamento (Christensen, Wheeler, & Jacobson, 2009). Para dar conta desta limitação, ganharam destaque as intervenções que contemplavam a parcela de casais não beneficiados com a TBCT. Assim, na década de 90, surgiu a Terapia Comportamental de Casais Integrativa (IBCT, do inglês Integrative Behavioral Couple Therapy, de Dimidjan, Martell, & Christensen, 2008), que evitou o foco exclusivo nas estratégias de mudanças, dividindo-o com as estratégias de aceitação entre os parceiros (Jacobson & Christensen, 1996). A IBCT propõe que o conflito entre o par seja originado em formas destrutivas por meio das quais o casal lida com suas incompatibilidades inevitáveis (Dimidjan, Martell, & Christensen, 2008). Então, destacaram-se as intervenções focadas em estratégias de aceitação, como por exemplo, a união empática em torno do problema, tornando as incompatibilidades entre os parceiros, oportunidades para aceitar o desconforto (Jacobson & Christensen, 1996). Vale destacar que estratégias que focavam não apenas a diminuição de interações prejudiciais, mas também o aumento de trocas positivas, fizeram parte dos tratamentos no intuito de promover melhora na satisfação conjugal, conforme descreveram Arias e House(2007).
O terceiro momento da terapia comportamental para casais se estende até o presente e tem sido marcado pela influência notável do contextualismo e das estratégias de aceitação (Vandenberghe, 2006; Vandenberghe & Pereira, 2005). A Psicoterapia Analítica Funcional (FAP, do inglês Functional Analytic Psychotherapy), uma eminente estratégia psicoterápica deste período, preconiza a ênfase na interação entre o terapeuta e o cliente durante uma sessão de terapia, admitindo que o mecanismo de mudança clínica seja a resposta contingente do terapeuta aos comportamentos clinicamente relevantes (CRBs do inglês Clinical Relevant Behavior), os quais são analisados funcionalmente de maneira semelhante ao que é realizado em uma terapia individual. De acordo com a FAP, o reforço contingente de comportamentos alternativos ao comportamento-problema é o processo que torna possível a mudança do cliente (Busch, Kanter, Callaghan, Baruch, Weeks, & Berli, 2009; Callaghan, Follette, Ruckstuhl, & Linnerooth, 2008; Callaghan, Naugle, & Follette, 1996;Kanter, Landes, Busch, Rusch, Brown, Baruch, & Holman, 2006). Neste caso, o terapeuta responde ao comportamento do cliente e faz uso disto para prover o reforço natural que se supõe facilitar a generalização para ambientes extraconsultório (Busch, Kanter, Callaghan, Baruch, Weeks, & Berli, 2009; Callaghan, Follette, Ruckstuhl, & Linnerooth, 2008; Kanter, Landes, Busch, Rusch, Brown, Baruch, & Holman, 2006). O terapeuta, ao praticar a FAP, evita o reforço arbitrário de comportamentos do cliente (conforme C. Ferster já havia preconizado em 1972).
Mais recentemente, pesquisas, cujos clientes não foram casais, vêm sugerindo o efeito terapêutico do responder contingente do terapeuta na mudança de comportamento do cliente (Freitas, 2011; Landes, Kanter, Weeks, & Busch, 2013; Lizarazo, Muñoz-Martínez, Santos, & Kanter, 2015; Mangabeira, 2014; Meurer, 2011; Oshiro, 2011; Villas Bôas, 2015). Diversos procedimentos empregados nestes estudos requerem a emissão do CIVP, por parte do terapeuta, para evocar o comportamento íntimo do cliente, o que geraria ocasião para o responder contingente a ele (Tsai, Callaghan, & Kohlenberg, 2013; Tsai, Plummer, Kanter, Newring, & Kohlenberg, 2010). As intervenções pressupõem que à medida que o comportamento do terapeuta fica sob controle daquele emitido pelo cliente no aqui/agora, acaba por reforçá-lo naturalmente (Rosenfarb, 1992; Tsai, Kohlenberg, Kanter, Holman, & Loudon, 2012), o que tende a promover mudanças clínicas desejáveis. Este procedimento é estratégico principalmente, quando o objetivo é a evocação e a modelagem do CIVP do cliente, ou, dito de outro modo, do comportamento de intimidade. Este é notadamente um comportamento ligado à melhora clínica e sua importância tem motivado o desenvolvimento de medidas das respostas de intimidade do cliente tratado na FAP (Leonard, Knott, Lee, Singh, Smith, Kanter, et al., 2014). Quanto às respostas do terapeuta que funcionam naturalmente como reforçadores para o comportamento do cliente, elas costumam incluir o relato de seus eventos privados, fazendo autorrevelações planejadas ou não respondendo ao comportamento emitido pelo cliente no aqui/agora da interação, sem fazer uso de estratégias em que o cliente faça uso de algum tipo de simulação (Guenzen, 2014; Tsai, Yard, & Kohlenberg, 2014; Tsai, Plummer, Newring, & Kohlenberg, 2010).
Em suma, intervenções terapêuticas focadas na interação terapeuta/cliente com uso do reforço natural podem facilitar a generalização, a versatilidade do repertório aprendido pelo cliente e a promoção de intimidade nas relações entre o cliente e pessoas importantes de sua vida. Assim, supõe-se que a inclusão da modelagem e da modelação de intimidade por meio da emissão do CIVP do terapeuta em um tratamento para um casal influencia positivamente os efeitos terapêuticos. Portanto, o presente estudo se propôs a comparar dois tipos de intervenção em um tratamento de um casal: a) procedimentos convencionais da terapia comportamental de casais (Condição A) e b) a FAP, incluindo a modelagem e a modelação de Comportamento Interpessoal Vulnerável à Punição (Condição B).
Método
Delineamento da pesquisa
O delineamento consistiu na apresentação alternada de duas condições, A e B, na ordem ABAB, cada qual com duas sessões. A condição A, consistiu de duas sessões nas quais as intervenções da terapeuta focaram em treinamentos de comunicação, solução de problemas e procedimentos de aceitação conforme a IBCT (Arias & House, 2007; Bonet & Castilla, 2007; Bolsoni-Silva, 2008; Christensen, Wheeler, & Jacobson, 2009; Cordova & Jacobson, 1999; Dimidjian, Martell, & Christensen, 2008; Jacobson & Christensen, 1996). A condição B consistiu de duas sessões contendo a FAP com ênfase especificamente de relatos que, conforme a conceituação de caso para cada membro do casal, caracterizaram-se como comportamentos vulneráveis à punição. Durante a condição B, os procedimentos da condição anterior não foram apresentados. É importante ressaltar que os princípios de aprendizagem operante estiveram presentes nas duas condições, mas, admite-se no presente estudo, que na condição B, o reforço do comportamento vulnerável à punição foi consideravelmente diferente da condição A, uma vez que na condição A o reforço estava programado para outros comportamentos.
Participantes
Participaram do estudo a terapeuta/pesquisadora e um casal, com nomes fictícios de Rui e Vani. Os clientes foram cegos quanto à variável do estudo e às suas condições do delineamento da pesquisa, porém, a terapeuta/pesquisadora teve ciência de ambas as informações.
Vani (33 anos) com ensino médio completo e Rui (35 anos) com ensino superior completo, possuíam renda de aproximadamente 1,700 reais mensais, estavam casados há sete anos e tinham uma filha de seis anos. Vani trabalhava como corretora imobiliária e Rui como analista de sistemas. Ambos eram protestantes. Vani foi quem buscou tratamento psicológico para o casal. Eles já haviam recebido nove sessões com a terapeuta/pesquisadora antes do início da coleta de dados. Rui queixava-se da pressão que sofria por parte de Vani e ela queixava-se da passividade do marido. De um ponto de vista analítico-comportamental, cada um mantinha o comportamento-problema do outro de tal modo que Vani costumava tomar decisões prontamente pelo casal, removendo a condição que para Rui era aversiva e ele, por sua vez, reforçava negativamente a esquiva de Vani de mostrar-se frágil, vulnerável e dependente de iniciativa de outros. O comportamento de intimidade de Vani esperado no tratamento foi apresentar fragilidade (chorando, por exemplo), enquanto que o de Rui foi relatar eventos privados e tomar decisões.
Colaboradoras
Colaboraram com o estudo duas transdutoras, estudantes de Psicologia, as quais realizaram as transcrições das sessões filmadas, conforme indicações do manual da Functional Analytic Psychoterapy Rating Scale (FAPRS). Colaborou também uma categorizadora treinada, também estudante de Psicologia, a qual desconhecia a ordem em que as condições foram apresentadas ao longo do tratamento, que atribuiu os códigos do FAPRS para as verbalizações registradas.
Aspectos éticos
A presente pesquisa foi aprovada pelo Comitê de Ética em Pesquisa do Setor de Ciências da Saúde da UFPR sob o protocolo CAAE 26474814.6.0000.0102.
Instrumentos
Os seguintes instrumentos foram utilizados:
a) Roteiro para conceituação de caso de Tsai et al. (2009) que contém questões norteadoras para a formulação do caso baseada na FAP, a saber, o histórico relevante de cada cliente, a identificação dos problemas da vida diária (Os1), as vantagens e os pontos positivos, a identificação dos problemas que ocorrem em sessão (CRBs1), as metas da vida diária (Os2), os progressos que ocorrem em sessão (CRBs2), as intervenções planejadas e os comportamentos-problema do terapeuta em sessão (T1) e os comportamentos-alvo do terapeuta em sessão (T2).
b) Escala de categorização da Functional Analytic Psychotherapy Rating Scale (FAPRS; Callaghan & Follette, 2008) para a categorização das sessões. A FAPRS é uma escala validada e suas propriedades psicométricas indicaram o kappa de 0.62 a 0.74 referentes aos códigos dos clientes e de 0.67 a 0.82 referentes aos códigos dos terapeutas; ambos realizados em pares, isto é, não foi identificado kappa abaixo de 0.60. A concordância entre categorizadores na segunda classificação funcional foi aceitável (porcentagem de concordância de 0.93 e kappa de 0.74), o que indica a confiabilidade do instrumento (Busch, Callaghan, Kanter, Baruch, & Weeks, 2010).
c) Inventário de Habilidades Sociais Conjugais (IHSC; Villa & Del Prette, 2012) – que consiste em 32 questões que tratam de situações vivenciadas na relação conjugal e o comportamento de um parceiro em relação ao outro. Para este instrumento foi verificado um Alfa de Cronbach = 0.81, indicando boa consistência interna. Foram também realizados estudos de correlação teste-reteste (r=,641, p=,000) assegurando a adequação da estabilidade temporal do instrumento.
Local
As sessões foram realizadas em uma sala de uma policlínica onde a terapeuta/pesquisadora presta atendimentos. O treinamento dos colaboradores e as supervisões foram feitas em uma sala reservada de uma universidade pública do sul do Brasil.
Procedimentos
Treino de categorizadores
A categorizadora recebeu um treino que consistiu nas seguintes etapas: a) Introdução à FAP e à FAPRS que consistiu em um treinamento conjunto no qual foi realizada a explicação da Racional da FAP e uma breve explicação dos principais códigos da FAP: terapeuta evoca CRB (ECRB), relatos de comportamentos-problema (O1), relatos de melhora (O2), comportamento clinicamente relevante do tipo um, isto é, o comportamento-problema que ocorre em sessão (CRB1), comportamento clinicamente relevante do tipo dois, isto é, o comportamento de melhora que ocorre em sessão CRB2, terapeuta consequencia CRBs (TCRB) e terapeuta perder a oportunidade de consequenciar um CRB (M), e com uma introdução à FAPRS como um instrumento para categorizar relações entre terapeuta e cliente; b) Leitura do manual da FAP com a explicação de cada código do cliente e do terapeuta; c) Categorização de sessão modelo, na qual a categorizadora e a terapeuta/pesquisadora categorizaram uma sessão após a explanação da conceituação do caso; d) Aferição da Concordância Inter observadores que consistiu no cálculo do kappa (k, Cohen, 1960). O Kappa foi 0,6 – valor considerado aceitável (Cohen, 1960)
Supervisões
A terapeuta/pesquisadora foi supervisionada e orientada em relação ao caso atendido, a fim de que fossem seguidas as diretrizes para cada condição do delineamento da pesquisa. A supervisora, também orientadora do presente estudo, foi uma terapeuta com mais de 20 anos em experiência clínica. A supervisão focou no refinamento da conceituação de caso e no planejamento de intervenções terapêuticas com a devida distinção para as duas condições aplicadas no delineamento.
Categorização
As categorizações foram realizadas após o registro em vídeo de oito sessões de terapia com o casal e foram norteadas pelo manual da FAPRS (Callaghan & Follette, 2008). A colaboradora realizou as categorizações, conforme o manual da escala e, a partir dessas categorizações a terapeuta/pesquisadora identificou dentre os comportamentos de melhora, os CRBs2, aqueles que se referiram à subcategoria dos comportamentos de intimidade, nomeados CRB2I (comportamentos clinicamente relevantes tipo dois com intimidade). A categorização obedeceu à conceituação de caso.
Por se tratar de uma interação que envolveu três falantes, adotou-se o lag6 (isto é, dado um código da FAPRS, seu efeito poderia ser considerado até seis tuns subseqüentes, por exemplo, dado um CRB1 o TCRB1 poderia ser categorizado até 6 falas após), no intuito de captar mais precisamente as interações de um indivíduo em relação aos demais.
Coleta de dados
No momento em que os parceiros iniciaram a pesquisa, assinaram o TCLE e responderam individualmente ao IHSC, da mesma forma que o fizeram ao final da pesquisa. A coleta de dados foi realizada por meio de gravação audiovisual de oito sessões que foram realizadas semanalmente, tendo havido uma falta do casal entre as sessões dois e três. As sessões foram todas conjuntas e tiveram em média 90 minutos. Todas as sessões foram gravadas e transcritas integralmente para posterior categorização.
Análise dos dados
Foram comparados os escores do IHSC antes do início do delineamento e após a oitava sessão, a fim de verificar se houve diferença no repertório de habilidades interpessoais dos parceiros.
Com relação às categorias da FAPRS, foram analisadas as diferenças nas frequências absolutas entre as categorias nas condições A (total de quatro sessões) e B (total de quatro sessões) para ambos os parceiros, a saber: comportamentos clinicamente relevantes ligados ao problema clínico, o CRB1, ligados à melhora clínica, o CRB2, o CRB2I (leia-se comportamentos de melhora exclusivos de intimidade), TCRB2 (leia-se a consequência fornecida pela terapeuta aos CRBs2 do parceiro), ECRB-CRB2 (leia-se ECRB seguido por CRB2, sejam relacionados ao comportamento de intimidade ou não) e ECRB-CRB2I (leia-se ECRB seguido por CRB2 de intimidade exclusivamente). Para as sequências ECRB-CRB2, ECRB-CRB2I, CRB1-TCRB1, TCRB1-TCRB2, TCRB1-CRB2(I), CRB2-TCRB2, CRB2(I)-TCRB2(I), TCRB2-CRB2, TCRB2-CRB2(I), ECRB-CRB1 foi conduzida uma análise de probabilidade transicional, isto é, para uma dada condição inicial, verificam-se o total de transições que decorrem a partir dela. Uma vez que a partir dessa condição inicial, pode-se dar origem a várias outras condições, verifica-se a frequência que a primeira pulou para o estado de interesse, e divide pelo total de transições que decorrem da condição inicial (Gabadinho et al., 2011). Assim, a análise de probabilidade transicional calcula todas as possibilidades de transição entre os códigos, no caso, aqueles citados acima. Os valores apresentados indicam a probabilidade de ocorrência de um evento X, dada uma condição Y, isto é, a probabilidade de um ECRB seguido por um CRB2, por exemplo.
Resultados e Discussão
Ao longo das oito sessões analisadas, 3630 verbalizações foram registradas – 1216 de Rui e 1249 de Vani. As verbalizações nas condições A, totalizaram 2016, enquanto que as das condições B, totalizaram 1614. Considerando que o tempo médio das sessões de 90 minutos foi o mesmo em ambas as condições, é possível inferir que durante as condições B, as verbalizações tiveram maior duração. Quando este dado é colocado ao lado do exposto mais adiante, o qual indica que neste conjunto de sessões houve mais verbalizações de melhora e de intimidade, parece razoável supor que o menor número de verbalizações relacionou-se com mais detalhamento e profundidade no tratamento dos temas.
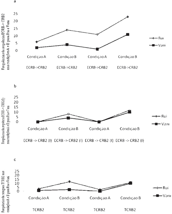
O presente estudo supôs que na condição B, em que a terapeuta introduziu a FAP, evocando e consequenciando os CRBs dos parceiros, haveria mais comportamentos de melhora do que na condição A, que apresentou intervenções convencionais da terapia comportamental de casais. As categorias ECRB e TCRB indicam que a terapeuta evocou e consequenciou CRBs, respectivamente. A Figura 1 contém três gráficos indicando respectivamente, para Rui e Vani: o número de vezes em que a sequência ECRB-CRB2 ocorreu ao longo das sessões e das condições, isto é, número de vezes em que uma evocação foi seguida por um comportamento de melhora; o número de vezes em que a evocação foi seguida de melhora com intimidade, ou seja, que houve CIVP (ECRB-CRB2-I) e o número de vezes em que uma melhora foi consequenciada pela terapeuta (CRB2-TCRB2).

Conforme indica a Figura 1, ambos os parceiros tiveram aumento de CRBs2 na condição B, os quais também ocorreram, em menor quantidade, na condição A. Ou seja, a condição A, que compreendeu intervenções com foco na comunicação e solução de problemas agregadas a estratégias de aceitação, de algum modo, evocou CRBs2 dos parceiros. Nesta condição, os CRBs2 puderam ocorrer durante os treinos de comunicação e de solução de problemas, por exemplo, quando Vani conseguiu expressar sentimentos, ao invés de acusar Rui ou, dando a ele oportunidade para tomar decisões. Já na condição B, os CRBs2 e CRBs2(I) foram emitidos em um processo de modelagem direta. De forma semelhante ao que discutem Dimidjan, Martell e Christensen (2008), a terapeuta aparentemente passou a fazer parte do contexto de interações do casal e, com isso, em vez de ensinar como os parceiros deveriam se comportar, ela modelou tais comportamentos, favorecendo um contexto para essas interações na sessão. Assim, os dados sugerem que a FAP também pode ser uma estratégia promissora e merece investigação em estudos randomizados para o tratamento de casais. Além disso, os dados deixam pistas de que os terapeutas analítico-comportamentais, ao atenderem casais com dificuldades na emissão de CIVP podem, eventualmente, agregar estratégias da FAP às convencionais da terapia comportamental de casais.

A condição A evocou um único comportamento de intimidade de Rui (CRB2I). A análise de probabilidade transicional, conforme mostra a Tabela 1, indicou que, na condição A, a probabilidade de um ECRB preceder a categoria de CRB2 foi de 25%, enquanto que na condição B, a probabilidade foi de 16% para o CRB2 e 26% para o CRB2I. A análise de probabilidade transicional indicou que a relação de dependência entre CRB1-TCRB1 foi de 30% na condição A e de 65% na condição B. Para a transição entre TCRB1-CRB2, foi de 17% na condição A e de 8% na condição B e a sequencia TCRB1-CRB2I foi de 12% na condição B, não tendo havido TCRB1-CRB2I na condição A. Esse dado vai ao encontro do pressuposto na Regra 2 para a técnica da FAP, segundo a qual, os CRBs precisam ser evocados, para que os CRBs2 possam ser reforçados. Isto é, a interação com a terapeuta parece ter evocado no casal, o CRB1 de evitação da intimidade (Kohlenberg & Tsai, 2004), mas, então, forneceu condições para que comportamentos de aproximação fossem emitidos e reforçados. Segundo Tsai et al. (2010) um terapeuta que é genuíno e capaz de focar nas sutilezas das reações do cliente a seu comportamento, tem mais probabilidade de evocar CRBs.
Assim, pode-se inferir que para estabelecer ou aumentar de frequência do comportamento de intimidade, estratégias focadas na interação com o terapeuta podem ser mais eficazes, se comparadas com estratégias de treino de comunicação, resolução de problemas ou instruções para trocas positivas entre o par. Segundo Diamond (2014) estudos indicam que o relato de emoções vulneráveis primárias e necessidades de apego está associado a mudanças positivas nas interações. Na condição B, esse tipo de relato de emoções esteve mais frequente, o que pode também explicar parte do aumento de CRB2 e CRB2I, sugerindo melhora nas interações do casal.
Pode-se supor que os procedimentos de modelagem e a modelação dos comportamentos de intimidade dos parceiros foram evocativos para os comportamentos de melhora, especificamente para a variável sob observação no presente estudo (comportamento de intimidade), isto é, à medida que os parceiros apresentaram um comportamento de intimidade, conforme definido por Cordova e Scott (2001) sem um evento punidor, o CIVP passou a ser emitido em maior frequência sendo, portanto, passível de modelagem direta. Conforme afirmam Kohlenberg, Kohlenberg e Tsai (2011), em uma psicoterapia, o comportamento de intimidade tem condições adequadas para ser apresentado, modelado e reforçado, porque a interação terapeuta/cliente preserva mais eventos reforçadores do que punidores de respostas íntimas. Portanto, o uso desses procedimentos pelo clínico – realizados por meio da interação terapeuta/cliente – parece uma estratégia promissora para aumentar interações íntimas entre os parceiros.
Para ser naturalmente reforçador na sessão, é importante que o terapeuta se conecte de forma autêntica com seu cliente, sem evitar a intimidade, o desconforto, sentimentos intensos e a possibilidade de riscos na relação terapêutica (Kohlenberg et al., 2012). Para isso, o terapeuta pode compartilhar, expressar-se, fazer autorrevelações ou amplificar reações ao comportamento do cliente. Com relação a esses comportamentos do terapeuta, Tsai et al. (2010) afirmam que as interações mais intensas e íntimas ocorrem geralmente quando os clínicos aprimoram sua autoconsciência e usam suas experiências privadas (pensamentos e sentimentos) de maneira terapêutica com cada cliente para promover CRB2 (Tsai, Yard, & Kohlenberg, 2014). A terapeuta emitiu CIVP, oferecendo assim, modelo deste comportamento. Tsai, Yard e Kohlenberg (2014) afirmam que é difícil para o terapeuta reforçar comportamentos de melhora de abertura e vulnerabilidade se o próprio terapeuta estiver se esquivando, ou seja, à medida que o clínico faz uso de seus próprios eventos privados, tornando-se também, de alguma forma vulnerável aos parceiros, aumentam as chances de reforçar naturalmente comportamentos de melhora nas interações terapeuta/parceiros e entre os próprios parceiros. Além disso, o terapeuta, ao emitir tais comportamentos, pode servir de modelo para as interações do casal.
Considerando o total de ocorrências de melhoras para ambos os parceiros nas diferentes condições, a terapeuta consequenciou CRBs2 em 41,8% das vezes. Na condição A, essa consequência ocorreu em 18,7% do total de ocorrências de ambos os parceiros. Especificamente em relação ao comportamento de Rui nessa condição, a terapeuta forneceu consequência aos seus comportamentos de melhora em 19,2% das vezes e para o comportamento de Vani em 16,7% das ocorrências. Para o total de CRBs2 de ambos os parceiros na condição B, a terapeuta forneceu consequência para os comportamentos (TRCB2) em 53% das vezes em que ocorreram as verbalizações com este código. Considerando todas as vezes em que Rui apresentou um comportamento de melhora, a terapeuta consequenciou 48,9% e com relação a Vani, a terapeuta consequenciou 63,1%. A partir desses dados, pode-se afirmar que a consequência fornecida aos comportamentos de melhora dos clientes esteve mais presente na condição em que a terapeuta esteve sob controle dos eventos do aqui/agora durante a sessão, isto é, dos CRBs2, do que na condição em que foram implementadas estratégias como o treinamento de comunicação e solução de problemas, nas quais o foco esteve nos relatos de melhora (O2). Portanto, a forma como a terapeuta consequenciou o comportamento dos parceiros pareceu relacionada com a melhora, o que corrobora os argumentos de Callaghan, Naugle e Follette (1996); de Kohlenberg et al., 2012 e de Kohlenberg et al., (2004). A mudança no comportamento do cliente na psicoterapia depende fortemente da conseqüência que o terapeuta fornece às respostas durante a sessão, isto é, do reforçamento contingente de comportamentos alternativos (Rosenfarb, 1992). Esses dados indicam que priorizar o aqui/agora, estando atento aos avanços dos parceiros em sessão e, consequentemente, reforçando estes avanços, em detrimento de relatos de melhora, parece mais interessante para promover as mudanças clínicas desejadas. Mais recentemente, tem havido a preocupação de mensurar as melhoras clínicas fora da sessão, em tratamentos com a FAP (Villas-Bôas, 2015). Mais informações sobre as melhoras do casal também fora da sessão são bem-vindas em estudos futuros.

De acordo com a matriz de transição, indicada na Tabela 2, a probabilidade de um CRB2 ser seguido de um TCRB2 na condição A foi de 16%, enquanto que, na condição B essa probabilidade aumentou para 31% para o CRB2 e 65% para o CRB2I. No caso em que o TCRB2 precedeu o CRB2, a probabilidade da transição na condição A, foi de 17% e na condição B, foi de 6% para o CRB2 e 23% para o CRB2I.
No estudo de Guenzen (2014), uma frequência maior de CRB2 foi seguida de um TCRB2 da terapeuta, que, muitas vezes ocorreu como uma autorrevelação acerca do que a terapeuta estava pensando ou sentindo em relação aos CRBs2 dos clientes (o que pode ter funcionado também como modelação). Com relação à revelação da terapeuta, Tsai et al. (2010) afirmam que a revelação corajosa e estratégica pode aumentar a intimidade do relacionamento terapêutico e estabelecer a relação terapêutica como mais semelhante às relações externas, facilitando assim a generalização (Tsai et al., 2010).
A Figura 2 indica o número de CRBs1 ao longo das oito sessões e das duas condições, para Vani e para Rui.

A análise de probabilidade transicional indicou que, dado um ECRB, a probabilidade de ocorrer um CRB1, foi de 64% (considerando ambos os parceiros). Os CRBs1 de Rui tiveram aumento na condição B, o que pode ser explicado pela característica do CRB1 de Rui – relacionado à esquiva de questionamentos da terapeuta, principalmente quando se tratou de descrever eventos privados. Na condição B, esse tipo de questionamento foi mais frequente, o que pode ter ocasionado um aumento de CRBs1. Segundo Kohlenberg, Kohlenberg e Tsai (2011) uma ocasião para a autorrevelação pode ser aversiva, o que aumenta a chance de comportamento de fuga/esquiva. Outra possível explicação para o aumento de CRB1 de Rui na condição B parece ir ao encontro do estudo de Popovitz (2013), que observou que interações com confrontação pareceram relacionadas ao aumento do CRB1, talvez em decorrência de mais oportunidades de evocação. Nesse caso, a condição B pode ter tido mais funções evocadoras para o CRB1 de Rui, uma vez que os questionamentos acerca de seus eventos privados foram mais frequentes nessa condição, podendo ter função semelhante à da confrontação. Além disso, possivelmente houve idiossincrasia com relação ao tratamento, indicando que quando os protocolos são aplicados para o casal, o comportamento individual pode ficar menos evidente. Esse talvez seja um dos motivos pelos quais alguns pesquisadores (Benson, McGinn, & Christensen, 2012; Sher, 2012) sugeriram a aplicação de princípios básicos para qualquer tipo de terapia de casal, em detrimento de manuais específicos para assuntos peculiares.
Pode-se admitir também que, na condição A, o comportamento da terapeuta esteve sob controle dos treinamentos de comunicação e solução de problemas, conversando mais sobre os comportamentos dos clientes emitidos fora do ambiente terapêutico (Os). Diferentemente, na condição B, o comportamento da terapeuta esteve sob controle de eventos observados no momento da sessão, modelando diretamente os comportamentos-problema (CRB1), em vez do relato deles (O1). É possível relacionar essas informações ao fato de que os comportamentos aprendidos e emitidos por meio das estratégias de treinamento em habilidades sociais (condição A) são funcionalmente diferentes daqueles apresentados no cotidiano do cliente, apesar de topograficamente similares (Kohlenberg & Tsai, 2004) e, portanto, pouco evocativos do comportamento problema (de Rui especialmente).
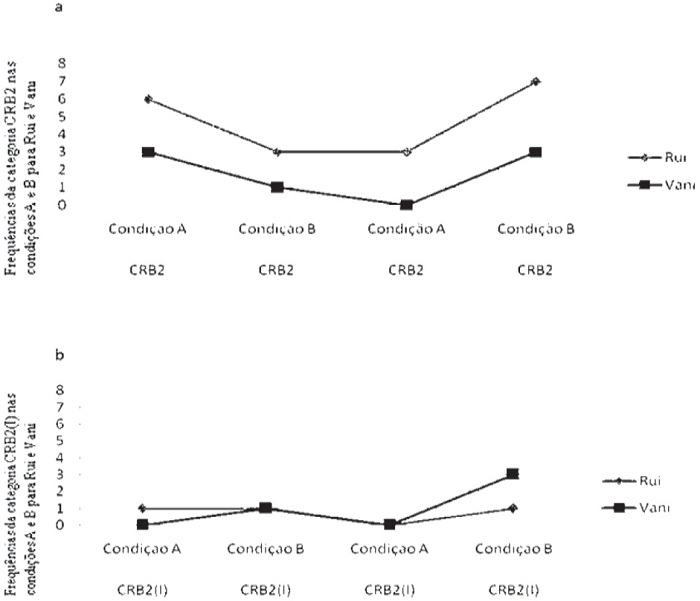
A Figura 3 apresenta dois gráficos (a e b) indicando, respectivamente, o número de CRBs2 e CRBs2 (I) ao longo das oito sessões e das duas condições, para Vani e para Rui.

Pode-se perceber que houve CRBs2 em ambas as condições, como mostra a parte (a) da Figura 3, entretanto, para ambos os parceiros, na condição B, houve um acréscimo de CRB2(I), especialmente em B2, como indica a parte (b) da Figura 3. Esse dado sugere que o foco no comportamento vulnerável à punição, eventualmente, pode acelerar processos de melhora decorrentes de diversos componentes de tratamento. Estudos com manipulação de variáveis ligadas ao foco no comportamento vulnerável podem ser planejados para esclarecer esta hipótese. Pode-se perceber que os CRBs2(I) de Vani tiveram maior frequência que os de Rui. Fleming e Córdova (2012) fazem considerações sobre diferenças em padrões de comportamento ensinados de forma diferente aos gêneros. Estudos futuros podem avaliar as diferenças de padrões de comportamento entre os gêneros e verificar se influenciam na resposta ao tratamento.
Permaneceram inalterados os escores do IHSC de Rui em quatro das cinco habilidades avaliadas, a saber, expressividade/empatia (pontos brutos 13 e 11 no pré e pós-teste, respectivamente), autocontrole reativo (pontos brutos no pré e pós-teste 9 e 12 respectivamente, permanecendo mediano), autocontrole proativo (pontos brutos no pré e pós-teste 1 e 2 respectivamente, permanecendo com repertório deficitário) e conversação assertiva (pontos brutos no pré e pós-teste 9 e 12, respectivamente, permanecendo na média) e houve piora em uma delas – autoafirmação assertiva (Rui passou de mediano no pré-teste, 20 em pontos brutos, porém, deficitário no pós-teste 17 em pontos brutos). Diferentemente do padrão de Rui, Vani apresentou melhora em duas habilidades, a saber, expressividade/empatia (pontos brutos no pré e pós-teste, 19 e 25, respectivamente, passando de um repertório deficitário para mediano) e conversação assertiva (pontos brutos no pré e pós-teste, 12 e 15, respectivamente, passando de um repertório mediano para elaborado). Permaneceram inalterados, o autocontrole reativo (pontos brutos no pré e pós-teste 4 e 6 respectivamente, permanecendo um repertório deficitário) e o autocontrole proativo (pontos brutos no pré e pós-teste 4 e 3 respectivamente, se mantendo em um repertório deficitário). Houve piora na habilidade de autoafirmação assertiva (pontos brutos no pré e pós-teste 30 e 24 respectivamente, passando de um repertório elaborado para mediano). Com isso, pode-se observar que os membros do casal tiveram resultados distintos submetidos à mesma intervenção clínica, o que indica idiossincrasia na resposta ao tratamento quanto aos escores do IHSC. Esse dado vai ao encontro dos achados de Fleming e Córdova (2012) que sugerem que o processo de mudança nos relacionamentos se dá de forma diferente, se comparados ao processo de mudança individual. Além disso, os repertórios que pioraram durante o processo terapêutico podem ser explicado devido o aprimoramento do autoconhecimento no decorrer das sessões, isto é, no momento em que os clientes responderam pela segunda vez o IHSC possivelmente discriminaram de forma mais acurada seu próprio comportamento.
Considerações Finais
Na literatura há pouca documentação de tratamentos de casais em crise com o uso da interação terapeuta/cliente (Benson, McGinn, & Christensen, 2012; Sher, 2012). A despeito disso, o presente estudo sugeriu que a interação que o terapeuta tem com os casais pode facilitar a modelagem e a modelação do comportamento de intimidade em uma terapia na modalidade casal. Por meio da interação com o casal, a terapeuta pôde usar eventos em curso no aqui/agora da sessão para evocar CRBs1, criar condições para a emissão de CRBs2 e, mais especificamente, de CRB2I e assim, consequenciar os comportamentos de melhora.
Procedimentos que envolveram diretamente a relação terapeuta/cliente foram mais evocativos para o comportamento-problema (no caso de Rui), o que possibilitou a modelagem direta, partindo deste comportamento até o comportamento de intimidade. Da mesma forma, a condição na qual houve o uso da interação terapeuta/cliente foi a que apresentou acréscimo nos CRBs2 e CRBs2I, sugerindo a função evocativa e a função reforçadora das verbalizações da terapeuta.
A intervenção prevista para a condição B envolveu fortemente o uso de reforço natural, uma vez que a terapeuta respondeu aos comportamentos clinicamente relevantes a partir de seus impactos sobre ela, punindo CRBs1 ou reforçando CRBs2 e CRBs2I (Busch, Kanter, Callaghan, Baruch, Weeks, & Berli, 2009; Callaghan, Follette, Ruckstuhl, & Linnerooth, 2008; Kanter, Landes, Busch, Rusch, Brown, Baruch, & Holman, 2006).
Esse estudo possibilitou parte da compreensão da intimidade em uma relação que envolveu três falantes, entretanto, levantou diversos questionamentos para pesquisas futuras, como compreender de forma mais precisa como se deu a interação (terapeuta/parceiro A, terapeuta/parceiro B, terapeuta/parceiros A e B, parceiro A/parceiro B). Por exemplo, foi possível observar que, no momento em que se iniciou uma interação ou fala com um dos parceiros, ela tendeu a ocorrer por períodos relativamente longos, não havendo interferência do outro parceiro. Isto pode indicar que a interação gerou funções de estímulo diferentes para cada parceiro em alguns momentos e não com o casal como uma unidade.
No que se refere à questão aplicada, diretrizes podem ser extraídas no intuito de instrumentalizar os clínicos da área. Para casais que apresentam dificuldades/queixas relacionadas à intimidade, o uso da relação terapeuta/cliente pode proporcionar interações mais efetivas entre terapeuta/parceiro e, mais adiante, parceiro/parceiro, uma vez que a primeira modela novas respostas nos parceiros e serve como modelo de interação para a segunda. Além disso, pôde-se notar no presente estudo, que verbalizações do terapeuta relativas a comportamentos vulneráveis podem funcionar como ECRB, TCRB1 e TCRB2, o que chama a atenção para a necessidade de o clínico estar consciente da influência do seu comportamento no do casal.
Referências
Arias, I., & House, A. S. (2007). Tratamento cognitivo-comportamental dos problemas conjugais. (M. R. Borges Osório, Trad.). In V. Caballo (Org.), Manual para tratamento cognitivo-comportamental dos transtornos psicológicos da atualidade (Chap. 19, pp. 537-561). São Paulo: Santos Editora.
Baucom, D. H., Epstein, N., La Taillade, J., & Kirby, J. (2008). Cognitive behavioral couple therapy. In A. Gurman (Ed.), Clinical Handbook of Couple Therapy (4th ed., pp. 31-72). New York: Guilford Press.
Baucom, D. H. (1982). A Comparison of Behavioral Contracting and Problem-Solving/Communications Training in Behavioral Marital Therapy. Behavior Therapy, 13, 162-174.
Benson, L. A., McGinn, M. M., & Christensen, A. (2012). Common principles of couple therapy. Behavior Therapy, 43(1), 25-35.
Bolsoni-Silva, A. T. (2008). Intervenção em grupo para casais: descrição de procedimento analítico comportamental. In M. R. Garcia et al. (Orgs.), Sobre comportamento e cognição (Vol. 27, Chap. 12, pp. 151-181). Santo André: ESETec Editores Associados.
Bonet, J. I. C., & Castilla, C. D. S. (2007). Um protocolo cognitivo-comportamental para a terapia conjugal. (M. R. Borges Osório, Trad.). In V. Caballo (Org.), Manual para tratamento cognitivo-comportamental dos transtornos psicológicos da atualidade (Chap. 20, pp. 563-684). São Paulo: Santos Editora.
Busch, A. M., Kanter, J. W., Callaghan, G. M., Baruch, D. E., Weeks, C. E., & Berlin, K. S. (2009). A micro-process analysis of Functional Analytic Psychotherapy’s mechanism of change. Behavior Therapy, 40(3), 280-290.
Busch, A. M., Kanter, J. W., Callaghan, G. M., Kanter, J. W., Baruch, D. E., & Weeks, C. (2010). The Functional Analytic Psychotherapy Rating Scale: a Replication and Extension. Journal Contemp Psychotery, 40, 11-19.
Callaghan, G. M., Naugle, A. E., & Follette, W. C. (1996). Useful constructions of the client-therapist relationship. Psychotherapy: Theory, Research, Practice,Training, 33, 381-390.
Callaghan, G. M., Follette, W. C., Ruckstuhl, L. E., & Linnerooth, P. J. N., (2008). The Functional Analytic Psychotherapy Rating Scale: A Behavioral Psychotherapy Coding System. The Behavior Analyst Today, 9, 98-116.
Christensen, A., Wheeler, J. G., & Jacobson, B. S. (2009). Problemas do casal (R. C. Costa, Trad.). In Barlow, D. H. et al. (Orgs.), Manual Clínico dos transtornos psicológicos. Tratamento passo a passo (Ed. 6, Chap. 16, pp. 662-688). Porto Alegre: Artmed (Obra original publicada em 1993).
Cohen, J. (1960). A coefficient of agreement for nominal scales. Educational and Psychological Measurement, 20:37-46.
Cordova, J. V., & Jacobson, N. S. (1999). Crise de casais (M. R. Borges Osório, Trad.). In D. H. Barlow (Org.), Manual clínico de transtornos psicológicos (Chap. 12, pp. 535-567). Porto Alegre: Artmed. (Obra original publicada em 1993).
Cordova, J. V., & Scott, R. L. (2001). Intimacy: a behavioral interpretation. The Behavior Analyst, 24 (1) 75-86.
Diamond, G. M. (2014). Attachment-based family therapy interventions. Psychotherapy, 51 (1), 15-19.
Dimidjian, S., Martell, C. R., & Christensen, A. (2008). Integrative Behavioral Couple Therapy (M. R. Borges Osório, Trad.). In A. S. Gurman, Clinical handook of couple therapy (Ed. 4, Chap. 3, pp. 73-103). New York: Guilford Press.
Falloon, I. R. H., & Lillie, F. (1988). Behavioral family therapy: an overview. In I. R. H. Falloon (Ed.), Handbook of behavioral family therapy (Chap. 1, pp. 3-26). New York: The Guilford Press.
Ferster, C. B. (1972). Clinical Reinforcement. Seminars in Psychiatry, 4 (2), 101-111.
Fleming, C. J. E., & Córdova, J. V. (2012). Predicting relationship help seeking prior to a marriage checkup. Fam Relat., 61 (1), 90-100.
Freitas, S. T. (2011). Efeitos de procedimentos focados na relação terapêutica sobre comportamentos geralmente descritos nos quadros de depressão. Dissertação de Mestrado. Programa de Pós-Graduação em Psicologia. Universidade Federal do Paraná. Curitiba, PR.
Gabadinho, A., Ritschard, G., Müller, N. S., Studer, M. (2011). Analyzing and Visualizing State Sequences in R with TraMineR. Journal of Statistical Software, 40 (4), 1-37.
Guenzen, L. C. (2014). Os possíveis efeitos do comportamento de autorrevelação do terapeuta analítico-comportamental em um processo terapêutico. Dissertação de Mestrado. Programa de Pós-Graduação em Psicologia. Universidade Federal do Paraná. Curitiba, PR.
Hahlweg, K.. , & Markman, H. J. (1988). Effectiveness of Behavioral Marital Therapy: Empirical Status of Behavioral Techniques in Preventing and Alleviating Marital Distress. Journal of Consulting and Clinical Psychology, 56 (3), 440-447.
Hawkins, A. J., Stanley, S. M., Blanchard, V. L., & Albright, M. (2012). Exploring Programmatic Moderators of the Effectiveness of Marriage and Relationship Education Programs: A Meta-Analytic Study. Behavior Therapy, 43(1), 77–87.
Jacobson, N. S. (1979). Increasing Positive Behavior in Severely Distressed Marital Relationships: The Effects of Problem-Solving Training. Behavior Therapy, 10 (2), 311-326.
Jacobson, N. S. (1984). A Component Analysis of Behavioral Marital Therapy: The Relative Effectiveness of Behavior Exchange and Communication/Problem-Solving Training. Journal of Consulting and Clinical Psychology, 52 (2), 295-305.
Jacobson, N. S., Follette, W. S., Revenstorf, D., Baucom, D. H., Hahlweg, K., & Margolin, G. (1984). Variability in outcome and clinical significance of behavior marital therapy: A reanalysis of outcome data. Journal of Consulting and Clinical Psychology, 52, 497-564.
Jacobson, N. S., & Holtzworth-Munroe, A. (1986). Marital therapy: a social learning – cognitive perspective. In N. S. Jacobson & A. S. Gurman (Eds.), Clinical handbook of marital therapy (Chap. 23, pp. 29-70). New York: The Guilford Press.
Jacobson, N. S., Schmaling, K. B., & Holtzworth-Munroe, A. (1987). Component analysis of behavior marital therapy: two-year-follow-up and prediction of relapse. Journal of Marital and Family Therapy, 13, 187-195.
Jacobson, N. S., & Christensen, A. (1996). Enhancing intimacy through acceptance. In N. S. Jacobson & A. Christensen, Acceptance and change in couple therapy: a therapist’s guide to transforming relationships (Chap. 6, pp. 103-129). New York: Norton.
Kanter, J. W., Landes, S. J., Busch, A. M., Rusch, L. C., Brown, K. R., Baruch, D. E., & Holman, G. I. (2006). The effect of contingent reinforcement on target variables in outpatient psychotherapy for depression: An investigation of functional analytic psychotherapy. Journal of Applied Behavior Analysis, 29, 463-467.
Kohlenberg, R. J., & Tsai, M. (2004). Psicoterapia analítica functional: criando relações terapêuticas intensas e curativas (R. R. Kerbauy, Org.). Santo André, ESETec Editores Associados. (Trabalho original publicado em 1991)
Kohlenberg, R. J., Kohlenberg, B., & Tsai, M. (2011). Intimidade. In Tsai, M. et al. (Orgs.), Um guia para a psicoterapia analítica funcional (FAP): consciência, coragem, amor e behaviorismo (Chap. 6, pp. 171-186). (F. Conte & M. Z. Brandão, Trad.). Santo André: ESETec (Obra original publicada em 2009).
Landes, S. J., Kanter, J. W., Weeks, C. E. & Busch, A. M. (2013). The impact of the active components of functional analytic psychotherapy on idiographic target behaviors. Journal of the Contextual Behavioral Science, 2, 49-57.
Lizarazo, N. E., Muñoz-Martínez, A. M., Santos, M. M. & Kanter, J. W. (2015). A within-subjects evaluation of the effects of Functional analytic Psychotherapy on in-session and out-of-session client behavior. The Record Psychological, 1(1), 1-12.
Leonard, R. C., Knott, L. E., Lee, E. B., Singh, S., Smith, A. H., Kanter, J., Norton, P. J., & Wetterneck, C. T. (2014). The Development of the Functional Analytic Psychotherapy Intimacy Scale. The Psychological Record. 64(4), 647–657.
Meurer, P. H. (2011). Efeito da apresentação de feedback no comportamento do terapeuta de evocar e responder aos comportamentos clinicamente relevantes. Dissertação de Mestrado. Programa de Pós-Graduação em Psicologia. Universidade Federal do Paraná. Curitiba, PR.
Mangabeira, V. C. S. (2014). Intervenções sinalizadas e não-sinalizadas da psicoterapia analítica funcional sobre comportamentos clinicamente relevantes. Tese de Doutorado. Instituto de Psicologia. Universidade de São Paulo. São Paulo, SP.
Oshiro, C. K. B. (2011). Delineamento experimental de caso único: a psicoterapia analítica funcional com dois clientes difíceis. Tese de Doutorado. Instituto de Psicologia. Universidade de São Paulo. São Paulo, SP.
Popovitz, J. M. B. (2013). A resposta contingente do terapeuta aos comportamentos clinicamente relevantes: especificação e avaliação. Dissertação de Mestrado. Programa de Pós-Graduação em Psicologia. Universidade Federal do Paraná. Curitiba, PR.
Rosenfarb, I. S. (1992). A behavior analytic interpretation of the therapeutic relationship. The Psychological Record, 42 (3), 341-354.
Sher, T. G. (2012). What, why, and for whom: couples interventions: a desconstruction approach. Behavior Therapy, 43(1), 123-131.
Silva, L. P., & Vandenberghe, L. (2009). Comunicação versus resolução de problemas numa sessão única de terapia comportamental de casal. Revista Brasileira de Terapia Comportamental e Cognitiva, 11 (1) 43-60.
Snyder, D. K., Wills, R. M., & Grady-Fletcher, A. (1991). Long-term effectiveness of behavioral versus insight-oriented marital therapy: A 4-year follow-up study. Journal of Consulting and Clinical Psychology, 59, 138-141.
Tsai, M., Kohlenberg, R. J., Kanter, J. W., Kohlenberg, B., Follette, W. C., & Callaghan, G. M. (2011). Um guia para a psicoterapia analítica functional (FAP): consciência, coragem, amor e behaviorismo (F. Conte, & M. Z. Brandão). Santo André: ESETEc Editores Associados. (Obra publicada originalmente em 2009).
Tsai, M., Plummer, M. D., Kanter, J. W., Newring, R. W., & Kohlenberg, R. J. (2010). Therapist Grief and Functional Analytic Psychotherapy: Strategic Self-Disclosure of Personal Loss. J Contemp Psychother, 40, 1-10.
Tsai, M., Kohlenberg, R. J., Kanter, J. W., Holman, G. I., & Loudon, M. P. (2012). Intimacy and attachment. In Tsai, M. et al. (Orgs.), Functional Analytic Psychotherapy. Distinctive features. (Chap. 11, pp. 41-43). New York: Routledge.
Tsai, M., Callaghan, G. M. & Kohlenberg, R. J. (2013). The use of awareness, courage, therapeutic love, and behavioral interpretation in Functional Analytic Psychotherapy. Psychotherapy, 50 (3), 366-370.
Tsai, M., Yard, S., & Kohlenberg, R. J. (2014). Functional Analytic Psychotherapy: a behavioral relational approach to treatment. Psychotherapy, 51 (3), 364-371.
Vandenberghe, L., & Pereira, M. B. (2005). O papel da intimidade na relação terapêutica: uma revisão teórica à luz da análise clínica do comportamento. Psicologia: Teoria e Prática, 7 (1), 127-136.
Vandenberghe, L. (2006). Terapia comportamental de casal: uma retrospectiva da literatura internacional. Revista Brasileira de Terapia Comportamental e Cognitiva, 8 (2), 145-160.
Villa, M. B., & Del Prette, Z. A. P. (2012). Inventário de Habilidades Sociais Conjugais: Manual de aplicação, apuração e interpretação. São Paulo: Casa do Psicólogo.
VillasBôas, A. A. (2015). Efeitos diferenciais de análise das contingências intra e extrassessão em terapia analítica funcional. Tese de Doutorado. Instituto de Psicologia. Universidade de São Paulo. São Paulo, SP.