Artículos
Respuestas y consecuencias compartidas en la elección de contingencias de altruismo parcial
Shared responses and consequences on choosing partial altruism contingencies
Respuestas y consecuencias compartidas en la elección de contingencias de altruismo parcial
Acta Comportamentalia: Revista Latina de Análisis de Comportamiento, vol. 26, núm. 1, pp. 29-52, 2018
Universidad Veracruzana

Recepción: 10 Octubre 2017
Aprobación: 17 Noviembre 2017
Resumen: Se planeó un estudio para evaluar el efecto de las respuestas y las consecuencias compartidas o no compartidas (en sus cuatro combinaciones posibles) sobre la elección entre contingencias no compartidas o contingencias compartidas de altruismo parcial bajo dos condiciones de intercambio: intercambio de trabajo e intercambio de recursos y trabajo. La situación experimental consistió en la resolución de rompecabezas virtuales en la pantalla de dos computadoras interconectadas. Dieciséis estudiantes universitarios fueron distribuidos al azar en 8 díadas experimentales. En las condiciones experimentales, cada uno de los participantes de la díada pudo observar la ejecución de su compañero y colocar piezas tanto en su rompecabezas como en el de su compañero. Todas las díadas fueron expuestas a condiciones experimentales sucesivas de respuestas no compartidas y respuestas compartidas. Los grupos difirieron entre sí en función de si las consecuencias por responder eran compartidas entre los participantes de cada díada (Grupo 1) o no compartidas (Grupo 2). Los resultados obtenidos muestran que la operación sincrónica de las respuestas y las consecuencias compartidas favorece la elección sistemática de contingencias compartidas de altruismo parcial. Los resultados son discutidos en términos de las relaciones interindividuales relativas al intercambio establecidas.
Palabras clave: contingencias compartidas, respuestas compartidas, consecuencias compartidas, altruismo parcial, intercambio de trabajo, intercambio de recursos y trabajo.
Abstract: A study was conducted to assess the effect of responses and shared or non-shared consequences (in their four possible combinations) over the choice between shared or non-shared contingencies of partial altruism under two exchange conditions: labor exchange and resources and labor exchange. The experimental situation consisted on solving virtual puzzles on two computers connected in a network. Sixteen university students were randomly assigned to 8 experimental dyads. During the experimental conditions, each one of the participants in the dyad was able to see their partner’s performance and place the pieces on their own puzzle (own) as well as on their partner’s (remote). All dyads were exposed to successive experimental conditions of non-shared and shared responses under a labor exchange procedure during experimental phases and a resources and labor exchange procedure during interpolated survey sessions between each phase. Groups differed according to whether the response consequences were shared between each dyad participants (Group 1) or not (Group 2). Results show that synchronous operation of responses and shared consequences favor the systematic choice of shared contingencies of partial altruism to the detriment of the choice of non-shared contingencies on concurrent presentation. Results are discussed in terms of established interindividual relations relating to the exchange.
Keywords: shared contingencies, shared responses, shared consequences, partial altruism, labor exchange, resources and labor exchange.
Ribes (2001, 2010) planteó un programa de investigación para explorar de manera sistemática los factores que modulan las relaciones de intercambio entre individuos. Esta formulación distingue entre contingencias, respuestas y consecuencias, mismas que pueden ser individuales o no compartidas, y sociales o compartidas. Aunque tradicionalmente el término de contingencia ha sido equívocamente equiparado con los términos de contigüidad o de consecuencia (e.g., Morse & Skinner, 1957; Skinner, 1948), ser contingente “…significa ser dependiente de, circunstancial a, o condicional a…” (Ribes, Rangel & López, 2008, pp. 50-51). Toda interacción entre individuos constituye un sistema de relaciones contingentes o interdependientes en cuanto su ocurrencia y su funcionalidad (Ribes, 1997). En esa medida, todo sistema de relaciones entre individuos puede ser examinado en términos de contingencias compartidas o no compartidas.
Las contingencias compartidas tienen que ver con que la respuesta de un individuo afecte las circunstancias y consecuencias de la respuesta de otro individuo en situación. En cambio, las contingencias no compartidas se refieren a las que afectan solo al comportamiento individual: la respuesta de un individuo y sus consecuencias solo afectan a ese individuo en particular. Mientras que las contingencias no compartidas requieren solamente el comportamiento de un individuo, las contingencias compartidas implican la interdependencia del comportamiento de cuando menos dos individuos.
Se considera que las respuestas son no compartidas cuando se requiere la participación de un solo individuo para cumplir con los requerimientos de la tarea en turno, y son compartidas cuando se requiere la participación conjunta de por lo menos dos individuos. De la misma manera, las consecuencias son no compartidas cuando las retribuciones por responder son apropiadas de manera individual, y son compartidas cuando son apropiadas (equitativamente o no) de manera conjunta por al menos dos individuos.
Ribes (2001) propuso una preparación experimental de elección concurrente entre contingencias no compartidas y contingencias compartidas. La tarea experimental específicamente planteada consiste en el armado de rompecabezas virtuales en una situación diádica. Se presentan simultáneamente dos rompecabezas: uno denominado “Propio” (asignado al participante 1 de cada díada) y otro denominado “Del compañero” (asignado al participante 2 de cada díada). Los participantes de cada una de las díadas pueden elegir entre responder colocando piezas en el rompecabezas propio o local (contingencia no compartida), responder colocando piezas en el rompecabezas del compañero o remoto (contingencia compartida) o responder colocando piezas en ambos rompecabezas (contingencias mixtas)
Los participantes reciben puntos por cada pieza colocada que pueden ser intercambiados al final de cada fase experimental por tangibles (i.e., juguetes, comestibles, discos musicales, o artículos de papelería). Las piezas colocadas en el rompecabezas propio o local (contingencia no compartida) suman puntos únicamente para ese participante. Los puntos otorgados por las piezas colocadas en el rompecabezas del compañero o remoto (contingencia compartida) varían dependiendo de la situación de intercambio manipulada en cada caso. En la situación de altruismo parcial (dar y recibir), las piezas colocadas por el participante bajo la contingencia compartida otorgan puntos para él y para su compañero de díada; en la situación de altruismo total (dar sin recibir) otorgan puntos únicamente para su compañero de díada; por último, en la situación de competencia (tomar sin dar), otorgan puntos únicamente para el participante
La tarea experimental permite representar distintas contingencias de intercambio como relaciones entre individuos relativas a la producción-apropiación. Por ejemplo, las respuestas para la colocación de piezas en el tablero del rompecabezas representan la producción como trabajo; las piezas que componen el rompecabezas representan los recursos disponibles para la producción como trabajo, y los puntos y su intercambio por tangibles representan los bienes producidos.
Se han examinado experimentalmente dos tipos de procedimientos de intercambio: el llamado “intercambio de trabajo” (e.g., Ribes y Rangel, 2002; Ribes et al., 2005) y el llamado “intercambio de recursos y trabajo” (Pulido, Rangel, Ávila, Mérida y Ribes, 2014). El procedimiento de intercambio de trabajo implica como condición básica no poder colocar las piezas del rompecabezas propio en el rompecabezas del compañero y viceversa. Por lo tanto, el único intercambio posible es el intercambio del propio trabajo puesto que las posibilidades de los participantes se reducen a: (a) colocar sus piezas en el rompecabezas propio, o (b) colocar las piezas de su compañero en el rompecabezas del compañero (e.g., Ribes y Rangel, 2002; Ribes, Rangel, Casillas et al., 2003; Ribes et al., 2005; Ribes et al., 2006). Los estudios conducidos bajo dicho procedimiento exploraron relaciones de intercambio de trabajo bajo contingencias concurrentes compartidas y no compartidas.
Por su parte, el procedimiento de intercambio de recursos y trabajo implica como condición básica no poder acceder al conjunto de piezas del compañero (Pulido, Rangel, Ávila et al., 2014). Por lo tanto, el único intercambio posible es de los propios recursos a la par del propio trabajo implicado en su uso práctico, de modo que las posibilidades de los participantes se reducen a: (a) colocar sus recursos (piezas) en el rompecabezas propio o (b) colocar sus recursos (piezas) en el rompecabezas del compañero. Al elegir responder en el rompecabezas del compañero (contingencia compartida), los participantes intercambian sus recursos (las piezas de su propio rompecabezas) y, simultáneamente, su trabajo (la colocación de sus piezas en el tablero del compañero).
Los resultados obtenidos hasta la fecha bajo dicha preparación experimental (bajo los dos tipos de procedimientos de intercambio descritos) sugieren que: (a) bajo condiciones de elección, los participantes prefieren responder bajo contingencias no compartidas que bajo contingencias compartidas, sin importar si estas últimas son de altruismo total, altruismo parcial o competencia, a pesar de que ello implique una reducción considerable en las ganancias –de hasta el 50 %- (Ribes, 2001; Ribes, & Rangel, 2002; Ribes, Rangel, Carbajal et al., 2003; Ribes, Rangel, Casillas, et al., 2003; Ribes, Rangel, Juárez, et al., 2003). Sin embargo, se ha encontrado también que la programación de consecuencias compartidas entre los participantes facilita la elección de contingencias compartidas de altruismo parcial. Lo anterior sugiere que cuando las ganancias se obtienen, y se apropian de manera conjunta se favorece en mayor medida la elección de la contingencia compartida, a diferencia de cuando se obtienen y apropian de manera individual, y (b) el establecimiento de acuerdos verbales por parte de los participantes del tipo “tú respondes en mi rompecabezas y yo respondo en el tuyo” resulta crucial en la elección de alternativas compartidas de altruismo parcial. Una vez que los participantes acuerdan responder en el rompecabezas de su compañero, lo mantienen de manera casi exclusiva durante todo el experimento. En cambio, en ausencia de acuerdo los participantes responden predominantemente en su propio rompecabezas (e.g., Pulido, Rangel & Ortiz, 2014; Ribes et al., 2005; Ribes et al., 2006; Ribes, Rangel, Ramírez, et al., 2008).
Resta sin embargo explorar el efecto del grado de división o fragmentación del trabajo representado en el procedimiento de respuestas compartidas-no compartidas sobre la elección de contingencias no compartidas o compartidas de altruismo total, altruismo parcial o competencia. Por lo pronto, los estudios de Ribes, Rangel, Pulido, Jiménez y Cano (en preparación) y Ribes, Rangel, Pulido, Jiménez, et al. (en preparación) apuntan a que las respuestas compartidas promueven la apropiación equitativa de las ganancias, aunque no aportan evidencia respecto de la elección de contingencias, pues no fueron conducidos bajo el paradigma de elección concurrente (i.e., en dichos estudios se presentaba un solo rompecabezas en el que los participantes tenían que trabajar conjuntamente).
El presente estudio se propuso explorar el efecto de la intersección y aislamiento funcional de las respuestas y las consecuencias compartidas o no compartidas. Aunque estudios anteriores (e.g., Johnson & Libecap, 1982; Mithaug & Burges, 1967, 1968; Ribes et al., 2006) sugieren que la programación de respuestas o de consecuencias compartidas favorece en algún sentido la elección de contingencias compartidas, se carece de un estudio que reporte el efecto de su interacción, y de su escisión funcional en contraste con sus opuestos funcionales (i.e., respuestas y consecuencias individuales), en un arreglo con comparación intra y entre participantes y dentro de una situación de elección concurrente. Tales disposiciones permitirían evaluar el efecto de las respuestas compartidas en comparación con las respuestas individuales, de las consecuencias compartidas en comparación con consecuencias individuales, o de la combinación de ambas sobre la elección de contingencias compartidas o no compartidas.
Con este planteamiento, se pretendió explorar el efecto de las respuestas y las consecuencias compartidas o no compartidas (en sus cuatro combinaciones posibles) sobre la elección entre contingencias no compartidas o contingencias compartidas de altruismo parcial bajo dos condiciones de intercambio, a saber, intercambio de trabajo e intercambio de recursos y trabajo. Además, el estudio se propuso analizar el tipo de interacciones verbales establecidas entre los participantes a lo largo de las sesiones experimentales, y su probable efecto modulador en los patrones de respuesta interindividuales.
Se puede suponer que cuando las ganancias se obtengan de manera conjunta (respuestas compartidas) y se apropien de manera conjunta (consecuencias compartidas), se favorezca la elección de contingencias compartidas, en comparación a cuando se obtengan de manera individual (respuestas no compartidas) y se apropien de manera individual (consecuencias no compartidas), sin importar si el intercambio es únicamente de trabajo o de recursos y trabajo en concordancia con lo reportado por Pulido, Rangel, Ávila, et al. (2014). A la par, de acuerdo con lo reportado por autores como Marwell y Schmitt (1975), Ribes et al. (2006) y Pulido, Rangel y Ortiz (2014) a este respecto, se espera que durante la resolución de la tarea los participantes establezcan intercambios verbales (i.e., acuerdos respecto de la contingencia bajo la cual responder), y que estos modulen los patrones de interacción entre individuos reportados momento a momento privilegiando la elección de la contingencia compartida sobre la no compartida.
Método
Participantes
Participaron voluntariamente 16 estudiantes universitarios (2 hombres y 14 mujeres), con edades entre los 20 y 24 años, a cambio de discos musicales.
Aparatos y situación experimental
Se utilizaron dos equipos de cómputo con procesador Pentium Dual Core, interconectados y sincronizados en red, con monitor cromático, teclado y mouse para responder. Las instrucciones y la tarea experimental (armado de rompecabezas) se presentaron en la pantalla de la computadora. Las respuestas de los participantes fueron registradas automáticamente por el programa de cómputo que fue diseñado en el lenguaje Java 7.0 y fue ejecutado en el sistema Windows 7. Los datos se analizaron con el programa SPSS versión 17.0 y se graficaron con el programa Sigma Plot versión 11.0. Una grabadora de voz registró las interacciones verbales establecidas entre los participantes.
Las sesiones se realizaron en el Centro de Estudios e Investigaciones en Conocimiento y Aprendizaje Humano durante 5 días consecutivos. El primer día se realizaron dos sesiones de exposición a la tarea y cuatro experimentales y, a partir del segundo día, los participantes fueron expuestos a cuatro sesiones experimentales diarias. Los participantes de cada una de las díadas trabajaron en un cubículo sonoamortiguado y libre de distractores
Diseño experimental
Se utilizó un diseño experimental con comparación intra y entre participantes bajo la misma y bajo distintas condiciones experimentales. Los participantes se distribuyeron al azar en dos grupos, cada uno conformado por cuatro díadas (ver Tabla 1). El estudio se realizó durante cinco días consecutivos y estuvo compuesto por una sesión de demostración, una sesión de exposición a la tarea A (ejecución independiente), una sesión de exposición a la tarea B (ejecución simultánea) y quince sesiones experimentales agrupadas en cinco fases de tres sesiones cada una bajo un procedimiento de Intercambio de Trabajo (IT). Entre cada una de las fases se programó una sesión de sondeo interpolado bajo un procedimiento de Intercambio de Recursos y Trabajo (IRT).
Durante las cinco fases experimentales, el Grupo 1 (G1) fue expuesto a un procedimiento de IT con Consecuencias Compartidas (CC) y alternación entre fases de Respuestas No Compartidas (RNC) y Respuestas Compartidas (RC). Se programaron cinco fases a fin de alcanzar la reversión en la Fase 5 a la condición inicial de la Fase 1 (RNC) después de la alternación con RC. Entre cada una de las fases se programó una sesión de sondeo bajo un procedimiento de IRT, empleando RC o RNC conforme a lo programado en la fase inmediatamente anterior a la sesión de sondeo. El Grupo 2 (G2) fue expuesto a la misma alternación de fases experimentales y sondeos interpolados, con la única salvedad de que las consecuencias programadas transversalmente a todas las fases y sondeos fueron Consecuencias No Compartidas (CNC).
| Grupo | De-mo | Sesión de exposición A | Sesión de exposición B | Fase 1 | Fase 2 | Fase 3 | Fase 4 | Fase 5 | ||||||
| 1 (n = 4 díadas) CC | Demostración | Sesión de exposición A (ejecución indepen-diente) | Sesión de exposición B (ejecución simultá-nea) | RNC IT | R N C I R T | RC IT | R C I R T | RNC IT | R N C I R T | RC IT | R C I R T | RNC IT | R N C I R T | |
| 2 (n = 4 díadas) CNC | RNC IT | RC IT | RNC IT | RC IT | RNC IT | |||||||||
| Sesiones | 1 | 1 | 1 | 3 | 1 | 3 | 1 | 3 | 1 | 3 | 1 | 3 | 1 | |
| Días | 1º. | 1º. | 1º. | 1º. | 2º. | 3º. | 4º. | 5° | ||||||
Procedimiento
Se utilizó una tarea experimental consistente en la resolución de rompecabezas virtuales. La pantalla mostró dos rompecabezas de 50 piezas cada uno (con excepción de la SE1 en donde apareció únicamente un rompecabezas de 50 piezas). En la parte izquierda de la pantalla apareció un rompecabezas denominado “Propio”, mientras que en la parte derecha apareció otro rompecabezas denominado “Del compañero”. Dependiendo del grupo experimental aparecieron uno (G1) o dos (G2) contadores, que registrarán los puntos obtenidos por los participantes. Los participantes pudieron ver la imagen del rompecabezas a armar en la sesión durante un minuto, posteriormente esta desapareció y los participantes pudieron empezar a armar los rompecabezas. La Figura 1 muestra el arreglo de la pantalla de la computadora durante las distintas fases experimentales y la sesión de exposición a la tarea B. La Figura 2 muestra ejemplos de las imágenes de los rompecabezas de 50 piezas utilizados en este experimento.

Arreglo de la pantalla de la computadora durante las distintas fases
experimentales y la sesión de exposición a la tarea B.

Ejemplos de las imágenes de los rompecabezas de 50 piezas utilizados en este experimento.
Los intercambios verbales entre los participantes de las diferentes díadas experimentales se clasificaron (posterior a su registro y transcripción) en dos rubros de acuerdo con su contenido. La confiabilidad de este análisis se realizó por consenso entre cuatro observadores con la debida experticia en el área (100 %):
a) Intercambios verbales referidos a propiedades específicas de piezas particulares o grupos de piezas.
b) Intercambios verbales referidos a acuerdos o estrategias para la resolución conjunta de la tarea.
Demostración
Antes de iniciar con la tarea experimental se expuso a los participantes a una demostración interactiva, tipo tutorial, en la cual se ensayaron las distintas funciones del programa de armado de rompecabezas (i.e., cómo seleccionar, mover y colocar las piezas del rompecabezas, identificación de aciertos o errores en su ejecución, consulta de los contadores).
Sesión de exposición a la tarea A: Ejecución independiente sin retroalimentación
En esta sesión apareció solamente un rompecabezas en pantalla que debió ser completado de manera individual por cada uno de los participantes trabajando en dos computadoras independientes. El tiempo para resolver el rompecabezas fue ilimitado. Los participantes no recibieron puntos por la colocación de las piezas, por lo que no se presentó ningún contador.
Sesión de exposición a la tarea B: Ejecución simultánea sin retroalimentación
En esta sesión aparecieron dos rompecabezas en la pantalla. En el lado izquierdo apareció un rompecabezas denominado “Propio” y en el lado derecho otro rompecabezas denominado “Del compañero”. El participante únicamente pudo colocar, de manera individual, las piezas de su propio rompecabezas, mientras que el otro rompecabezas fue resuelto por el programa de computadora colocando una pieza de manera correcta cada 5 segundos. El tiempo de resolución fue ilimitado. Cuando el participante terminó de armar el rompecabezas “PROPIO” (local) se activó el botón llamado “FIN”, que podía presionar para terminar la tarea para él y su compañero. Los participantes no recibieron puntos por la colocación de las piezas, por lo que no se presentó ningún contado
Fases Experimentales Respuestas No Compartidas con Consecuencias Compartidas bajo un procedimiento de Intercambio de Trabajo (RNC-CC-IT)
En esta condición aparecieron dos rompecabezas en la pantalla. En el lado izquierdo apareció un rompecabezas denominado “Propio” y en el lado derecho otro rompecabezas denominado “Del compañero”. Los participantes pudieron responder de manera individual en cualquiera de los dos rompecabezas que aparecieron en la pantalla, colocando las piezas de su rompecabezas en su propio tablero o colocando las piezas del rompecabezas del compañero en el tablero del compañero. Los participantes recibieron puntos por cada pieza colocada correctamente. Los puntos fueron registrados progresivamente en un contador denominado “Puntos compartidos” ubicado en la parte central de la pantalla. Cuando colocaron una pieza en su propio rompecabezas obtuvieron 10 puntos, cuando colocaron una pieza en el rompecabezas de su compañero obtuvieron 20 puntos. Al final de la sesión, los puntos acumulados se dividieron en partes iguales entre los dos participantes de cada una de las díadas. Dichos puntos pudieron ser intercambiados por discos musicales elegidos previamente por los participantes de acuerdo a un procedimiento de intercambio diferencial por rango de puntos: si obtenían menos de 1582 puntos no recibían ningún disco; si obtenían de 1583 a 2400 puntos se llevaban un disco; por último, si obtenían más de 2401 puntos se llevaban dos discos. Los puntos acumulados pudieron visualizarse en cualquier momento de la sesión al presionar el botón denominado “Puntos Compartidos”.
Respuestas No Compartidas con Consecuencias No Compartidas bajo un procedimiento de Intercambio de Trabajo (RNC-CNC-IT)
Esta condición fue idéntica a la inmediatamente anterior a excepción de que los puntos por responder fueron asignados y registrados de manera individual. Para ello, se presentaron dos contadores ubicados en la parte inferior de cada uno de los rompecabezas, uno denominado “Puntos Propios” y otro denominado “Puntos del Compañero”. Cuando los participantes colocaron una pieza en su propio rompecabezas obtuvieron 10 puntos para sí mismos que se registraron en el contador “Puntos Propios”, cuando colocaron una pieza en el rompecabezas de su compañero obtuvieron 10 puntos para sí mismos que se registraron en el contador “Puntos propios” y le dieron 10 puntos a su compañero que se registraron en el contador “Puntos del Compañero”.
Respuestas Compartidas con Consecuencias Compartidas bajo un procedimiento de Intercambio de Trabajo (RC-CC-IT)
Esta condición fue idéntica a la de “Respuestas no compartidas con consecuencias compartidas bajo un procedimiento de Intercambio de Trabajo”, con la única excepción de que la colocación correcta de las piezas en el tablero requirió la respuesta conjunta de los dos participantes para la selección de la pieza deseada y su respectivo lugar en el tablero: Para poder colocar cada una de las piezas ambos participantes tuvieron que seleccionar la misma pieza con sus respectivos cursores así como el mismo lugar el tablero. Los participantes tuvieron 15 segundos para completar la selección conjunta de la pieza y 15 segundos más para completar la selección conjunta de la ubicación de la respectiva pieza en el tablero. En caso de no coincidir en la selección de pieza o lugar o en caso de presentarse la omisión en alguna de las dos selecciones anteriores por parte de alguno de los participantes, los ensayos fueron registrados como desacuerdos por comisión u omisión en seis rubros: (a) desacuerdo en la selección de pieza (ambos participantes seleccionan una pieza del conjunto de piezas, pero la pieza seleccionada por cada uno es diferente); (b) desacuerdo en la selección de lugar (ambos participantes seleccionan un lugar en el tablero para la colocación de una pieza determinada, pero el lugar seleccionado por cada uno es diferente); (c) desacuerdo de pieza y lugar (ambos participantes seleccionan piezas y lugares para su colocación en el tablero diferentes); (d) desacuerdo por omisión de pieza (uno de los participantes realiza la selección de una pieza, el otro participante no selecciona ninguna pieza dentro del intervalo de 15 segundos de duración por ensayo de selección); (e) desacuerdo por omisión de lugar (uno de los participantes realiza la selección de un lugar en tablero para la colocación de una pieza determinada, el otro participante no selecciona ningún lugar dentro del intervalo de 15 segundos de duración por ensayo de colocación). Dado que en este procedimiento se requirió de la respuesta conjunta de ambos participantes para la selección y colocación de las piezas en el tablero, estas se contabilizaron como piezas colocadas en el rompecabezas propio o del compañero dependiendo de la combinación de los siguientes factores: (a) cuál de los dos participantes inició la selección de pieza, (b) el banco de procedencia de dicha pieza (propio o compañero) y (c) el tablero en el que fue finalmente colocada la pieza (propio o compañero). Así por ejemplo, una pieza era contabilizada como colocada en el rompecabezas propio cuando: (a) el Participante 1 iniciaba la selección de una pieza del banco de su propio rompecabezas y el Participante 2 secundaba dicha selección, y (b) el Participante 1 seleccionaba un lugar en el tablero de su propio rompecabezas para la colocación de dicha pieza y el participante 2 secundaba tal selección. En cambio, una pieza era contabilizada como colocada en el rompecabezas del compañero cuando: (a) el Participante 1 iniciaba la selección de una pieza del banco del rompecabezas del compañero y el Participante 2 secundaba dicha selección, y (b) el Participante 1 seleccionaba un lugar en el tablero del compañero para la colocación de dicha pieza y el participante 2 secundaba tal selección (y también viceversa para selecciones iniciadas por el Participante 2).
Respuestas Compartidas con Consecuencias No Compartidas bajo un procedimiento de Intercambio de Trabajo (RC-CNC-IT)
Esta condición fue idéntica a la inmediatamente anterior, a excepción de que las consecuencias programadas fueron no compartidas. Por lo tanto, se presentaron dos contadores independientes en pantalla, uno para cada participante, en donde se registraron progresivamente los puntos obtenidos.
Sondeos interpolados bajo un procedimiento de Intercambio de Recursos y Trabajo (IRT)
A cada una de las cuatro condiciones descritas dispuestas como fases experimentales (RNC-CC-IT; RNC-CNC-IT; RC-CC-IT y RC-CNC-IT) le siguió una sesión de sondeo interpolado, en la que se replicaron las condiciones experimentales vigentes en la fase inmediata anterior, pero empleando un procedimiento de IRT. Los participantes pudieron responder de manera individual o conjunta en cualquiera de los dos rompecabezas que aparecieron en la pantalla, colocando las piezas de su rompecabezas en su propio tablero o colocando sus piezas el tablero del compañero. Los participantes no tuvieron acceso al conjunto de piezas de su compañero, pero sí a su tablero, de manera tal que de elegir responder en el tablero del compañero, tenían que intercambiar las piezas de su propio rompecabezas además del trabajo implicado en su colocación. Para el caso de la operación de respuestas compartidas, el criterio para contabilizar una pieza como colocada en el rompecabezas propio o del compañero fue idéntico al descrito en la condición de RC-CC-IT, bajo la única salvedad de que el banco de procedencia de tales piezas únicamente pudo ser el del propio rompecabezas.
Resultados
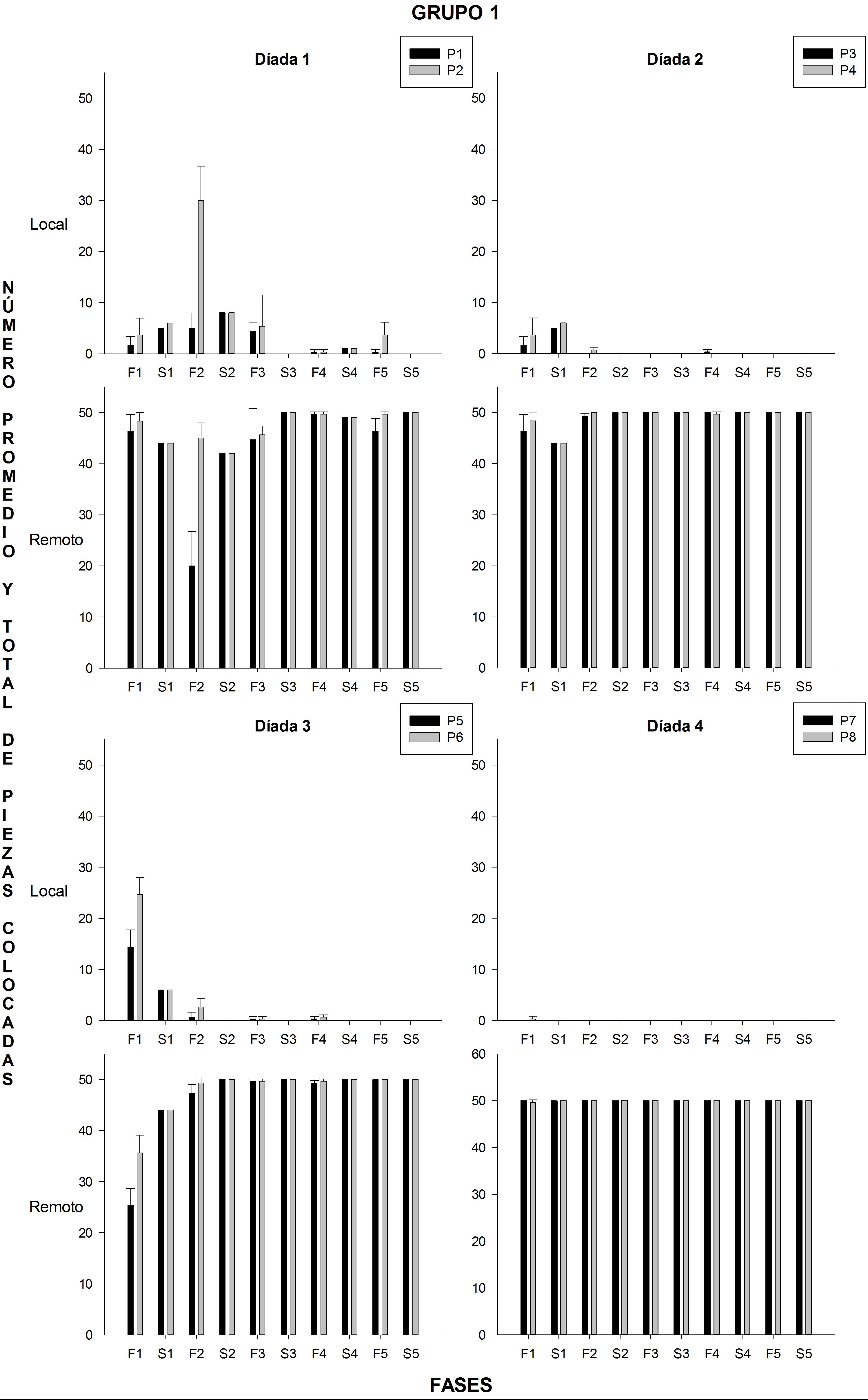
La Figura 3 muestra el número promedio de piezas colocadas en el rompecabezas local (propio) y en el rompecabezas remoto (compañero) durante las tres sesiones de cada una de las fases experimentales bajo el procedimiento de intercambio de trabajo, y el total de piezas colocadas durante la sesión de sondeo interpolada entre cada fase bajo el procedimiento de intercambio de recursos y trabajo por los participantes del Grupo 1. En general, puede observarse que los participantes de las cuatro díadas respondieron sistemáticamente en el rompecabezas remoto (contingencia compartida de altruismo parcial) durante todas las fases experimentales y sondeos interpolados a las mismas, independientemente de si se trataba de fases/sondeos con respuestas no compartidas (F1, F3 y F5) o respuestas compartidas (F2 y F4). Con la única excepción del P2 de la Díada 1, durante la Fase 2 de respuestas compartidas, todos los participantes colocaron la mayoría o la totalidad de sus piezas en el rompecabezas remoto.

Muestra el promedio de piezas colocadas en el rompecabezas local y en el rompecabezas remoto durante las tres sesiones de cada una de las fases experimentales bajo el procedimiento de intercambio de trabajo y el total de piezas colocadas durante la sesión de sondeo interpolada entre cada fase bajo el procedimiento de intercambio de recursos y trabajo por los participantes del Grupo 1.
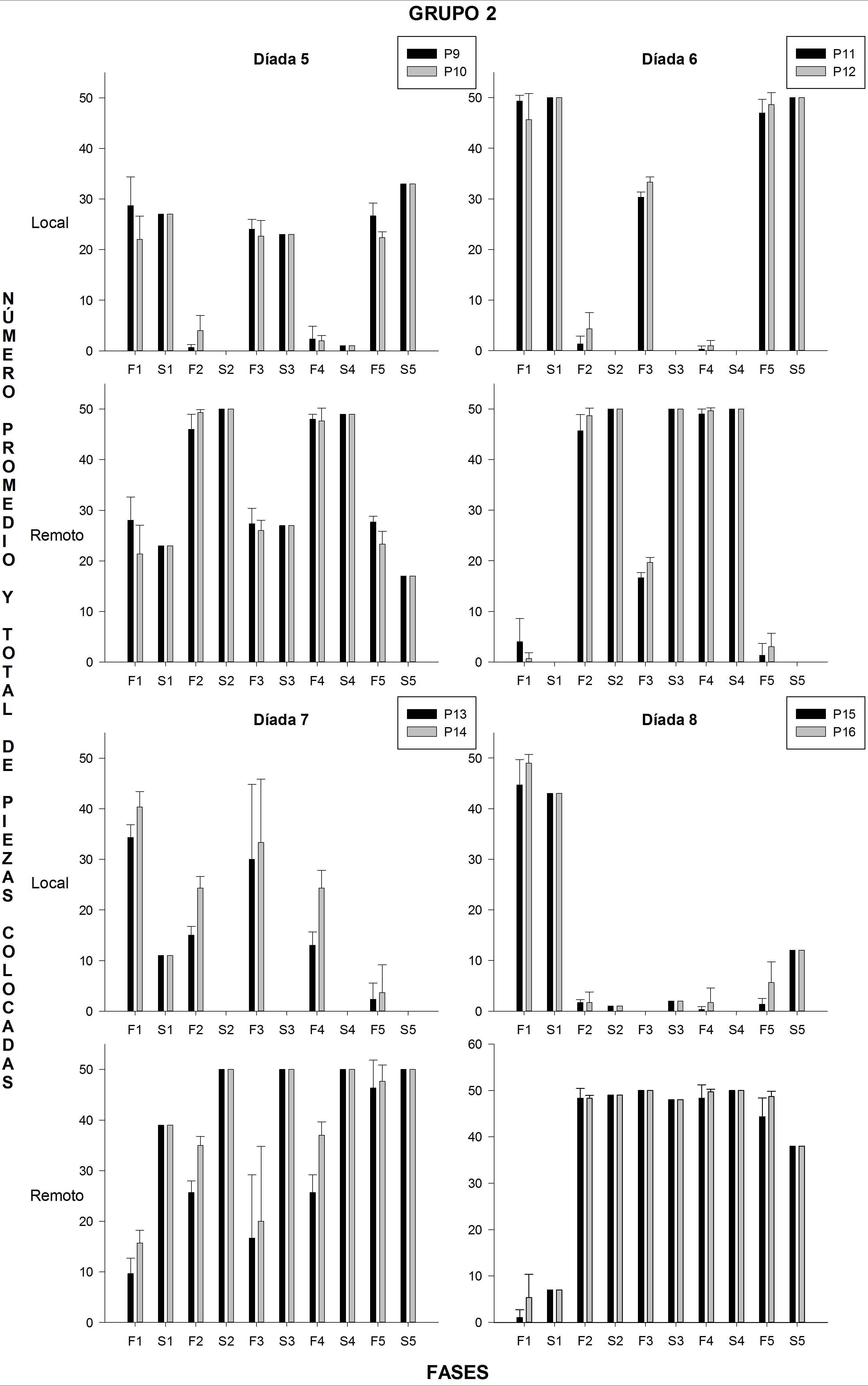
La Figura 4 muestra el número promedio de piezas colocadas en el rompecabezas local (propio) y en el rompecabezas remoto (compañero) durante las tres sesiones de cada una de las fases experimentales bajo el procedimiento de intercambio de trabajo, y el total de piezas colocadas durante la sesión de sondeo interpolada entre cada fase bajo el procedimiento de intercambio de recursos y trabajo por los participantes del Grupo 2. En general, puede observarse que, con excepción de los dos participantes de la Díada 8 (P15 y P16) durante la Fase 3 y Sondeo 3 de respuestas no compartidas y de los participantes de la Díada 6 durante el Sondeo 3, los participantes de todas las díadas colocaron un número de piezas considerablemente mayor en el rompecabezas local (contingencia no compartida) y considerablemente menor en el rompecabezas remoto (contingencia compartida de altruismo parcial) durante las tres fases de respuestas no compartidas (F1, F3, y F5) y sus respectivos sondeos (S1, S3 y S5), en comparación con el número de piezas colocadas respectivamente bajo las mismas alternativas durante las fases de respuestas compartidas (F2 y F4) y sus respectivos sondeos (S2 y S4).

Muestra el promedio de piezas colocadas en el rompecabezas local y en el rompecabezas remoto durante las tres sesiones de cada una de las fases experimentales bajo el procedimiento de intercambio de trabajo y el total de piezas colocadas durante la sesión de sondeo interpolada entre cada fase bajo el procedimiento de intercambio de recursos y trabajo por los participantes del Grupo 2.
En un análisis caso por caso, puede observarse que los participantes de la Díada 5 (P9 y P10) colocaron alrededor del 50 % en promedio de las piezas disponibles en el rompecabezas local durante las tres fases de respuestas no compartidas, destinando el 50 % restante al rompecabezas remoto, mientras que en las fases de respuestas compartidas colocaron apenas un 10 % en promedio de piezas en el rompecabezas local, colocando el 90 % restante en el rompecabezas remoto. Los participantes de la Díada 6 (P11 y P12) replicaron en lo general el mismo patrón de respuesta en tanto que colocaron la mayoría o la totalidad de sus piezas en el rompecabezas local durante las fases de respuestas no compartidas (F1, F3, y F5) y sus respectivos sondeos (con excepción del sondeo 3). En cambio, estos participantes, en las fases de respuestas compartidas (F2 y F4) y sus respectivos sondeos (2 y 4) colocaron apenas un 5 % en promedio de piezas en el rompecabezas local, destinando el 95 % restante al rompecabezas remoto. Los participantes de la Díada 7 (P13 y P14) colocaron la mayor parte de sus piezas en el rompecabezas local durante las dos primeras fases de respuestas no compartidas (F1 y F3), mientras en la última fase de respuestas no compartidas (F5), colocaron prácticamente todas las piezas disponibles en el rompecabezas remoto.
En los sondeos interpolados posteriores a las fases de respuestas no compartidas (S1, S3 y S5), se observó que los participantes colocaron la mayoría o la totalidad de las piezas disponibles en el rompecabezas remoto. Durante las fases de respuestas compartidas (F2 y F4) y los sondeos posteriores, los participantes colocaron la mayoría o totalidad de las piezas disponibles en el rompecabezas remoto.
Por último, los participantes de la Díada 8 (P15 y P16) colocaron el 90 % de las piezas en el rompecabezas local y el 10 % restante en el rompecabezas remoto durante la Fase 1 y su respectivo sondeo (S1) de respuestas no compartidas. A partir de la Fase 2 de respuestas compartidas los participantes colocaron el 95 % en promedio de las piezas disponibles en el rompecabezas remoto, observándose un ligero aumento de las piezas colocadas en el rompecabezas local únicamente durante la Fase 5 y su respectivo sondeo (S5) de respuestas no compartidas (pasando de un 3 % en promedio a un 12 % en promedio de piezas colocadas en el rompecabezas local).
La Figura 5 muestra el número promedio de puntos obtenidos durante las tres sesiones de cada una de las fases experimentales bajo el procedimiento de intercambio de trabajo, y el total de puntos obtenidos durante la sesión de sondeo interpolada entre cada fase bajo el procedimiento de intercambio de recursos y trabajo por los participantes del Grupo 1 y del Grupo 2

Muestra el promedio de puntos obtenidos durante las tres sesiones de cada una de las fases experimentales bajo el procedimiento de intercambio de trabajo y el total de puntos obtenidos durante la sesión de sondeo interpolada entre cada fase bajo el procedimiento de intercambio de recursos y trabajo por los participantes de los grupos 1 y 2.
En general, puede observarse que los participantes del Grupo 1, bajo consecuencias compartidas, alcanzaron el máximo monto de puntos disponible en la mayoría de las fases y sondeos interpolados. Por su parte, la cantidad de puntos obtenida por los participantes del Grupo 2 bajo consecuencias no compartidas varía según se trate, en lo general, de fases y sondeos con respuestas no compartidas (F1, F3 y F5) o fases y sondeos con respuestas compartidas (F2 y F4). Con excepción de los participantes de la Díada 7 (P13 y P14) durante las fases 2 y 4 de respuestas compartidas, los participantes de todas las díadas del Grupo 2 obtienen el máximo monto de puntos disponible durante las fases y sondeos interpolados 2 y 4 de respuestas compartidas. En cambio, la cantidad de puntos obtenidos por los participantes durante las fases de respuestas no compartidas (F1, F3 y F5) oscila entre el 50 % de puntos disponibles (ver díadas 6 y 8 durante la Fase y Sondeo 1) y el 75 % de los mismos (ver díadas 5 y 7 durante la Fase y Sondeo 1). La Fase 3 presentó el mismo patrón general, pues los participantes de las díadas 5 a la 7 alcanzan en promedio el 75 % de los puntos disponibles, siendo la única excepción los participantes de la Díada 8, que en esa fase alcanzaron el máximo monto de puntos disponible. Durante el Sondeo 3 interpolado los participantes alcanzaron el máximo monto de puntos disponible con excepción de los participantes de la Díada 5 quienes alcanzaron apenas el 75 % en promedio. Por último, en la Fase 5 y Sondeo 5 interpolado, los participantes de las díadas 5 y 6 obtienen 72.5 % y 55 % de los puntos disponibles respectivamente, mientras que los participantes de las Díadas 7 y 8 alcanzan el 95 % en promedio de los puntos disponibles.
La Tabla 2 muestra el número total de desacuerdos (distinguidos por subtipo) entre los participantes de los grupos 1 y 2 en la selección de piezas y/o lugar, así como la omisión de alguna de estas selecciones durante las fases 2 y 4 de respuestas compartidas y sus respectivos sondeos interpolados. En general, se observó que el número de desacuerdos en la selección de una determinada pieza y/o su lugar en el tablero, o las omisiones por alguno de los participantes de la diada durante las fases de respuestas compartidas (F2 y F4) fue relativamente bajo. Los participantes de las Díadas 7 y 8 fueron los únicos que tuvieron más de 20 desacuerdos en la selección del lugar de las piezas en tablero durante las fases 2 y 4 de respuestas compartidas. Los Desacuerdos de Lugar (DL) fueron los que ocurrieron con mayor frecuencia en todas las sesiones de las fases 2 y 4 y sus respectivos sondeos interpolados en las ocho díadas experimentales (ver total por tipo de desacuerdo).
| GRUPO 1 | ||||||||||||
| Díada 1 | Díada 2 | |||||||||||
| DP | DL | DPyL | DPOL | OP | OL | DP | DL | DPyL | DPOL | OP | OL | |
| F2 S2 F4 | 6 0 0 | 8 2 8 | 2 9 0 | 0 0 0 | 0 0 6 | 6 0 0 | 3 2 5 | 3 3 4 | 1 1 0 | 0 0 0 | 0 0 3 | 0 0 0 |
| S4 Total | 0 6 | 1 19 | 0 11 | 0 0 | 1 7 | 0 6 | 0 10 | 0 10 | 0 2 | 0 0 | 0 3 | 0 0 |
| Díada 3 | Díada 4 | |||||||||||
| DP | DL | DPyL | DPOL | OP | OL | DP | DL | DPyL | DPOL | OP | OL | |
| F2 S2 | 1 0 | 2 3 | 0 0 | 6 0 | 0 0 | 2 1 | 1 0 | 0 0 | 0 0 | 0 0 | 0 0 | 0 0 |
| F4 S4 Total | 1 0 2 | 4 1 10 | 0 0 0 | 0 0 6 | 2 0 2 | 1 0 4 | 0 0 1 | 2 0 2 | 0 0 0 | 0 0 0 | 0 1 1 | 0 0 0 |
| GRUPO 2 | ||||||||||||
| Díada 5 | Díada 6 | |||||||||||
| DP | DL | DPyL | DPOL | OP | OL | DP | DL | DPyL | DPOL | OP | OL | |
| F2 S2 F4 S4 Total | 1 1 3 0 5 | 2 4 4 3 13 | 0 3 4 1 8 | 1 0 0 0 1 | 0 0 1 0 1 | 2 0 0 0 2 | 0 0 0 0 0 | 1 1 5 1 8 | 0 0 0 0 0 | 0 1 2 0 3 | 0 1 0 0 1 | 1 0 0 0 1 |
| Díada 7 | Díada 8 | |||||||||||
| DP | DL | DPyL | DPOL | OP | OL | DP | DL | DPyL | DPOL | OP | OL | |
| F2 S2 | 19 2 | 26 5 | 6 1 | 3 0 | 0 0 | 0 0 | 3 0 | 24 4 | 6 0 | 0 0 | 0 0 | 0 0 |
| F4 S4 Total | 3 1 25 | 31 4 66 | 14 3 24 | 0 0 3 | 0 0 0 | 0 0 0 | 0 0 3 | 27 7 62 | 2 2 10 | 1 0 1 | 0 0 0 | 0 0 0 |
Muestra el número total de desacuerdos (distinguidos por subtipo) dados entre los participantes de los grupos 1 y 2 para la selección de piezas y/o lugar y/o la omisión de alguna de estas selecciones durante las fases 2 y 4 de respuestas compartidas y sus respectivos sondeos interpolados.
DP = Desacuerdo de Pieza; DL: Desacuerdo de Lugar; DPyL = Desacuerdo de Pieza y Lugar; OP = Omisión Pieza; OL= Omisión LugarLa Tabla 3 muestra ejemplos de los intercambios verbales entre los participantes de las díadas de los grupos 1 y 2, clasificados en términos de su contenido referido a propiedades de piezas o a acuerdos o estrategias para la resolución de la tarea. En general, puede observarse que los participantes de todas las díadas mostraron intercambios verbales de ambos tipos. Mientras que los intercambios referidos a propiedades de piezas se presentaron, sin excepción, a lo largo de todas las sesiones experimentales, los intercambios verbales a modo de acuerdos o estrategias para la resolución de la tarea ocurrieron con mayor asiduidad al inicio de las fases experimentales o sus respectivos sondeos, relacionándose con la elección entre contingencias no compartidas (rompecabezas propio o local) y contingencias compartidas de altruismo parcial (rompecabezas del compañero o remoto). Todos aquellos participantes que acordaron responder en el rompecabezas remoto en algún momento de las sesiones experimentales, cambiaron su alternativa de respuesta del rompecabezas local a remoto, manteniéndose dicha elección durante el resto de las sesiones experimentales posteriores al acuerdo (por ejemplo, D2 durante la F1S1; D3 durante S1; ver D4 durante F1S1 y F2S1).
| Díada | Intercambios verbales referidos a propiedades de piezas o grupos de piezas | Intercambios verbales referidos a acuerdos o estrategias para la resolución de la tarea |
| GRUPO 1 | ||
| 1 | F1S1 P2: La pieza roja va en la derecha. P1: La verde con café abajo. P1: Las piezas de las nubes me chocan. P2: Sí porque uno no las distingue. | S4 P1: ¿Y si hacemos dos y dos? P2: ¿Cómo? P1: Ajá, tú de un lado y yo del otro. P2: Sí porque si agarro tus piezas y las pongo a las dos nos beneficia. P1: Creo que sí, ¿cuál haces tú? P2: ¿Yo el tuyo y tú el mío? P1: Bien. P1: Tú apréndete la mitad izquierda y yo la derecha y ya las ponemos en espejo. P2: Bien. |
| 2 | F1S1 P4: Ok, ¿cuál pusiste? P3: La pieza del ojo. P4: ¿Las piezas están acomodadas iguales? O sea, ¿el desorden es igual? P3: No. No es igual. | F1S1 P4: Pues yo empiezo con el tuyo y tu empiezas con el mío, ¿no? P3: Ajá. P4: Para ganar esos discos. |
| 3 | F1S1 P5: Creo que esta pieza va aquí. P6: Abajo, ¿no? P5: Sí. - P5: Todas estas van juntas. P6: Sí. Luego todas las verdes a continuación. | S1 P6: ¿Y si primero hacemos uno y después hacemos el otro? P5: Sí. No puedo seleccionar tus piezas, ni tú las mías. P6: Las mías te las pongo a ti P5: Sí, y yo las mías a ti. |
| 4 | F1S2 P7: Es que hay piezas que veo prácticamente iguales. P8: No, no son iguales. P7: Sí, ya después de fijarme me doy cuenta. | F1S1 P7: ¿Yo armo el tuyo y tú el mío? P8: Ajá. F2S1 P7: ¿Con cuál empezamos? P8: Con el tuyo P7: Ok P8: Así que ¿cómo? P7: Entonces tú mueves primero mis piezas y yo te voy siguiendo P8: Ah, bueno. |
| GRUPO 2 | ||
| 5 | F1S1 P10: ¿Qué eran las piezas cafecitas? P9: Forman una roca, creo. P10: Ah, sí, ya me acordé. | F1S1 P10: ¿Te parece si trabajamos primero en un rompecabezas y luego en el otro? P9: Las dos juntas en uno y después las dos juntas en otro. P10: Sí. F1S2 P10: Si quieres yo me encargo de esta, de memorizar esta zona. P9: Bueno, yo la del otro lado. F1S4 P10: ¿Ordenamos primero el tuyo? O sea, yo te ayudo P9: Ajá, y ya luego P10: Y después tú me ayudas a ordenar a mí ¿Te parece? P9: Va, sí. F2S1 P9: Pero creo que da más puntos si tú aprietas en mi tablero y yo aprieto en tu tablero. P10: Ajá. P9: Pero primero. P10: Pero primero, exacto. Es lo que estoy viendo ¿no? P9: Sí. P10: Entonces lo que creo es que tú en mi tablero aprietas primero ¿no? P9: Sí. P10: Y luego yo te sigo. P1- Ajá, y luego… P10: Y yo en tu tablero. P9: Tú presionas primero. P10: Yo aprieto primero y me sigues. ¿no? P9: Ajá. P10: Y qué te iba a decir… cuando… porque soy malísima, más bien tú señálame cuando yo esté en tu tablero y tú sepas cuál es la pieza tú señálame la pieza y yo hago el click y luego tú ¿sí me explico? P9: Sí. |
| 6 | F2S1 P12: Esta va arriba. P11: Ajá, sí. Y luego ésta. P12: Ahora dónde ¿aquí? P11: Bueno es que aquí no hay nada de referencia… a ver, el pasto P12: Yo me acuerdo que la roja iba como por aquí. P11: La flor roja. P12: Ajá. P11: Y la azulita. P12: Sí, ok. P11: Entonces la siguiente sería… P12: El tallo. P11: ¿Aquí está bien? | F2S1 P12: ¿Y si nos ayudamos? P11: ¿Cómo? P12: Primero hacemos completo el tuyo y luego el mío. P11: Bueno. |
| 7 | P13: Las esquinas están fáciles porque tienen… P14: Ajá, puntos. P13: Por números. | F1S4 P13: ¿Me ayudas? P14: Sí. P13: es que, ya no sé, porque creo que tengo bastantes piezas, ¿no? P14: Sí, como las pusiste en el mío. P13: Ajá. F2S1 P13: Podemos intercalar, o sea, podemos poner las mismas piezas, o sea ponemos uno luego ponemos en el tuyo. P14: anda, o igual para sumar puntos las dos, nos pone… bueno yo hago el tuyo y tú haces el mío… P13: bueno, también… pero, ¿no se supone que debemos escoger el mismo? P14: Sí por eso, pero, a ver, ya ves que si yo le doy click en el mío y le doy primero, a ti no te dan nada. P1: Ajá. P2: Entonces para que las dos tengamos como el doble pues yo voy a resolver el tuyo y ya las dos al mismo tiempo. P1: Bueno. P2: Y entonces tenemos el doble. |
| 8 | F2S1 P15: A ver, entonces ésta va aquí. P16: Y esa tiene que ir acá. P15: A ver ésta. P16: ¿Y ésta? P15: Aquí abajito, ¿no? Sería como acá. | F2S1 P16: ¿Hacemos uno primero y otro después? P15: Ajá. P16: Pero tú primero. P15: ¿Mmm? P16: Dale tú primero. P15: Sí. P16: En este, le tienes que dar tú primero. P15: Ah, Ok. P16: Y en el otro le tengo que dar yo. |
Muestra ejemplos de los intercambios verbales establecidos entre los participantes de las díadas de los grupos 1 y 2 y su clasificación en términos de su contenido referido a propiedades de piezas o acuerdos o estrategias.
Discusión
En este estudio se evaluó el efecto de las respuestas y las consecuencias compartidas o no compartidas en la elección de contingencias compartidas de altruismo parcial respecto de contingencias no compartidas. Se evaluó, además, el altruismo parcial bajo dos tipos de intercambio: intercambio de trabajo e intercambio de recursos y trabajo.
En general, se encontró que la operación sincrónica de las respuestas y las consecuencias compartidas favoreció la elección sistemática de contingencias compartidas de altruismo parcial (ver Grupo 1). Las respuestas y las consecuencia compartidas favorecieron los dos tipos de intercambio altruista parcial, que implican dar a ganar al otro al tiempo que se también se gana.
Las respuestas compartidas aisladas no fueron tan efectivas en la elección de contingencias compartidas de altruismo parcial como cuando se combinaron con consecuencias compartidas (ver Grupo 2). Sin embargo tuvieron un efecto importante. Al contrastar las condiciones de respuestas no compartidas y respuestas compartidas bajo consecuencias no compartidas transversales a todas las fases, se encontró un mayor número de respuestas de altruismo parcial con respuestas compartidas que con no compartidas (ver Grupo 2).
El procedimiento de respuestas compartidas se define fundamentalmente por la colaboración inevitable entre individuos para la resolución de la tarea, al restringir la posibilidad de responder de manera individual. Mientras tanto, el procedimiento de consecuencias compartidas se define fundamentalmente por la repartición de ganancias (en este caso, de manera equitativa) entre los participantes en la tarea. La elección de contingencias de altruismo parcial durante la operación simultánea de respuestas y consecuencias compartidas, sugiere que la correspondencia directa entre trabajo conjunto y apropiación conjunta de lo ganado promueve los intercambios en los que se da y se recibe conjuntamente. El altruismo parcial tiene lugar cuando se cancelan las contingencias de trabajo y apropiación individuales. En cambio, cuando sólo una de estas es compartida, por ejemplo, cuando se combinan respuestas compartidas con consecuencias no compartidas, se rompe la correspondencia entre la manera de producir (trabajar) y la manera en la que se apropia lo producido, promoviendo la elección de cualquiera de ambas contingencias, las compartidas o las no compartidas
En estudios previos, empleando respuestas y consecuencias no compartidas, se encontró consistentemente que los participantes respondían bajo contingencias no compartidas (rompecabezas propio), a pesar de que obtenían menos ganancias que eligiendo las contingencias compartidas (Ribes & Rangel, 2002; Ribes, Rangel, Carbajal, & Peña, 2003a; Ribes et al., 2003b; Ribes et al., 2003c). El presente estudio aclara que los determinantes de la elección entre contingencias individuales y contingencias compartidas yacen en las condiciones básicas del intercambio, en tanto condiciones de producción-apropiación individuales o compartidas entre los individuos en relación. Son las condiciones de intercambio de la relación y no los individuos en relación las que favorecen la ocurrencia del altruismo parcial. Mientras que las respuestas y consecuencias no compartidas parecen favorecer, en lo general, la elección de contingencias no compartidas, individuales, la interacción entre respuestas y consecuencias compartidas promueve la elección de contingencias compartidas de altruismo parcial.
Las relaciones de altruismo parcial, cuando menos, constituyen desde esta perspectiva, el resultado de contingencias de intercambio entre individuos bajo condiciones determinantes y determinadas de trabajo/producción y apropiación de lo trabajado/producido (bienes). Estos resultados cuestionan las posturas que asumen en las consecuencias y su maximización (o en cualquier otro factor) un universal explicativo que puede aplicarse, sin distinción, a cualquier individuo, en cualquier situación (e.g., Befu, 1977; Bolton & Ockenfels, 2000; Brosig, 2002; Fehr & Schmitt, 1999; Lindsley, 1966; Vukelich & Hake, 1974). Los mismos o diferentes individuos pueden colaborar o no colaborar en una misma o distintas situaciones dependiendo de las condiciones de intercambio que operan en cada momento. Así por ejemplo, los participantes respondieron predominantemente bajo contingencias no compartidas cuando las respuestas y consecuencias operativas eran no compartidas, pero respondieron predominantemente bajo la contingencia compartida de altruismo parcial cuando las respuestas y consecuencias eran compartidas (ver Grupo 1 y 2). Estas elecciones no dependieron de las ganancias (en tanto su maximización) que se podían obtener en una u otra contingencia pues, de ser el caso, los participantes hubiesen respondido sistemáticamente bajo la contingencia compartida, que otorgaba el doble de puntos en relación con los puntos disponibles por responder bajo la contingencia no compartida, independientemente de si las respuestas o las consecuencias eran compartidas o no compartidas.
En concordancia con estudios anteriores (e.g., Ribes, 2001; Ribes y Rangel, 2002; Ribes, Rangel, Carbajal et al., 2003; Ribes, Rangel, Casillas, et al., 2003; Ribes, Rangel, Juárez, et al., 2003), los resultados del presente estudio sugieren que otorgar mayores ganancias por responder no es suficiente para favorecer la elección de contingencias compartidas. Así por ejemplo, los participantes del Grupo 2 bajo consecuencias no compartidas respondieron predominantemente bajo la contingencia no compartida durante las fases de respuestas no compartidas pese a que esto implicara una reducción importante de sus ganancias (de hasta el 50 %) en comparación con las que habrían podido obtener de elegir responder bajo la contingencia compartida de altruismo parcial
Las condiciones de intercambio planteadas en este estudio parecen favorecer, también, al desarrollo de interacciones verbales entre los participantes. Se encontró que todas las diadas experimentales, en distintos componentes de la secuencia experimental, establecieron acuerdos verbales de algún tipo para resolver la tarea. Estos acuerdos constituyen episodios cooperativos genuinos y pueden estar relacionados, además, con la baja incidencia de desacuerdos para la colocación de las piezas durante la condición de respuestas compartidas (ver Tabla 2). Estos resultados llaman de nuevo la atención sobre la necesidad de reconsiderar la pertinencia de las aproximaciones utilitaristas al estudio de las interacciones entre individuos. Basadas en el principio general, supuestamente racional, de la maximización de ganancias, soslayan la importancia del lenguaje como mediador de las relaciones sociales (incluidas las económicas), y pasan por alto que las interacciones entre individuos dependen fundamentalmente de factores extra-individuales relacionados con la estructura contingencial de las instituciones sociales (e.g., Skinner, 1953; Thibaut & Kelley, 1959).
Por último, se encuentra que los resultados reportados durante las fases experimentales bajo intercambio de trabajo y los sondeos interpolados bajo intercambio de recursos y trabajo sigan, en lo general, la misma tendencia. Es posible que no se trate de un efecto de arrastre entre condiciones, y que sea resultado directo de las propiedades compartidas o no compartidas de las respuestas y las consecuencias que operaron en cada condición. En cualquier caso, se requiere de estudios posteriores para esclarecer su efecto acudiendo a diseños transversales.
Se puede concluir que el trabajo y la apropiación compartidas representados en el procedimiento de respuestas y consecuencias compartidas determina la elección sistemática de contingencias compartidas de altruismo parcial, que implican dar al otro al mismo tiempo que se recibe. Nuevas perspectivas de investigación se perfilan a partir de los resultados reportados. Estas incluyen la exploración del efecto de las respuestas y consecuencias compartidas bajo condiciones de restricción de los intercambios verbales y bajo otras situaciones de intercambio, como el altruismo total o la competencia como condiciones de control o comparación.
Referencias
Befu, H. (1977). Social exchange. Annual Review of Anthropology, 6, 225-281.
Bolton, G. E., & Ockenfels, A. (2000). ERC: A Theory of Equity, Reciprocity and Competition. American Economic Review, 90(1), 166-193.
Brosig, J. (2002). Identifying cooperative behavior: some experimental results in a prisoner´s dilemma game. Journal of Economic Behavior & Organization, 47, 275-290. doi: http://dx.doi.org/10.1016/S0167-2681(01)00211-6.
Fehr, E., & Schmidt, K. M. (1999). A theory of fairness, competition, and cooperation. The Quarterly Journal of Economics, 114(3), 817-868. doi: http://dx.doi.org/10.1162/003355399556151
Johnson, R. N., & Libecap, G. D. (1982). Contracting Problems and Regulation: The Case of the Fishery. The American Economic Review, 72(5), 1005-1022.
Lindsley, O. R. (1966). Experimental analysis of cooperation and competition. En T. Verhave (Ed.), The experimental analysis of behavior (pp. 470-501). New York, NY: Appleton Century Crofts.
Marwell, G., & Schmitt, D. R. (1975). Cooperation: An experimental analysis. New York, NY: Academic Press.
Mithaug, D. E., & Burges, R. L. (1967). The effects of different reinforcement procedures in the establishment of a group response. Journal of Experimental Child Psychology, 5, 441-454.
Mithaug, D. E., & Burges, R. L. (1968). The effects of different reinforcement contingencies in the development of cooperation. Journal of Experimental Child Psychology, 6, 402-426.
Morse, W. H., & Skinner, B.F. (1957). A second type of “superstition” in the pigeon. The American Journal of Psychology, 70(2), 308-311.
Pulido, L., Rangel, N., Ávila, A., Mérida, F., & Ribes, E. (2014). Efecto del intercambio de recursos y fuerza de trabajo en la elección de contingencias compartidas. Acta Comportamentalia, 22(3), 295-314.
Pulido, L., Rangel, N., & Ortiz, G. (2014). Efecto del tipo de contingencia en el establecimiento y cualidad de intercambios verbales: su papel en la elección de alternativas compartidas. Journal of Behavior, Health & Social Issues, 6(2), 71-86.
Ribes, E. (1997). Causality and contingency: Some conceptual considerations. The Psychological Record, 47, 619-635.
Ribes, E. (2001). Functional dimensions of social behavior: Theoretical considerations and some preliminary data. Revista Mexicana de Análisis de la Conducta, 27(2), 285-306.
Ribes, E. (2010). Social interactions: Conceptual reflections and an experimental approach. En R. Schwarzer & P. A. Frensch (Eds.), Personality, human development and culture: International perspectives on psychological science, Vol. II (pp. 275-288). New York, NY: Psychology Press.
Ribes, E., & Rangel, N. (2002). Choice between individual and shared contingencies in children and adults. European Journal of Behavior Analysis, 3(2), 61-73.
Ribes, E., Rangel, N., Carbajal, G., & Peña, E. (2003). Choice between individual and shared social contingencies in children: An experimental replication in a natural setting. European Journal of Behavior Analysis, 4(1), 105-114.
Ribes, E., Rangel, N., Casillas, J., Álvarez, A., Gudiño, M., Zaragoza, A., & Hernández, H. (2003). Inequidad y asimetría de las consecuencias en la elección entre contingencias individuales y sociales. Revista Mexicana de Análisis de la Conducta, 29(2), 385-401, disponible vía: http://dx.doi.org/10.5514/rmac.v29.i2.25401
Ribes, E., Rangel, N., Juárez, A., Contreras, S., Abreu, A., Gudiño, M., & Casillas, J. (2003). Respuestas “sociales” forzadas y cambio de preferencias entre contingencias individuales y sociales en niños y adultos. Acta Comportamentalia, 11(2), 197-234.
Ribes, E., Rangel, N., & López, F. (2008). Análisis teórico de las dimensiones funcionales del comportamiento social. Revista Mexicana de Psicología, 25(1), 45-57.
Ribes, E., Rangel, N., Magaña, C., López, A. G., & Zaragoza, A. (2005). Efecto del intercambio diferencial equitativo e inequitativo en la elección de contingencias sociales de altruismo parcial. Acta Comportamentalia, 13(2), 159-179.
Ribes, E., Rangel, N., Ramírez, E. Valdez, U., Romero, C., & Jiménez, C. (2008). Verbal and-nonverbal induction of reciprocity in a partial-altruism social interaction. European Journal of Behavior Analysis, 9, 53-72.
Ribes, E., Rangel, N., Zaragoza, A., Magaña, C., Hernández, H., Ramírez, E., & Valdez, U. (2006). Effects of differential and shared consequences on choice between individual and social contingencies. European Journal of Behavior Analysis, 7, 41-56.
Skinner, B. F. (1948). “Superstition” in the pigeon. The Journal of Experimental Psychology, 38(2), 168-172. doi: http://dx.doi.org/10.1037/h0055873
Skinner, B. F. (1953). Science and human behavior. Nueva York, NY, E.U.: Macmillan.
Thibaut, J. & Kelley, H. (1959). The social psychology of groups. Nueva York, NY, E.U.: Wiley.
Vukelich, R., & Hake, D. F. (1974). Effects of the difference between self and cofactor scores upon the audit responses that allow access to these scores. Journal of the Experimental Analysis of Behavior, 22(1), 61-71.