Artículos
Efeito de três tipos de conteúdos de feedback no desempenho em tarefa
Effect of Three Types of Feedback Contents on Task Performance
Efeito de três tipos de conteúdos de feedback no desempenho em tarefa
Acta Comportamentalia: Revista Latina de Análisis de Comportamiento, vol. 26, núm. 1, pp. 53-69, 2018
Universidad Veracruzana

Recepción: 18 Diciembre 2016
Aprobación: 20 Noviembre 2017
Resumo: O uso de feedbacks é um recurso popular nas organizações, embora não sejam claros os efeitos das variáveis que os constituem. O objetivo desta pesquisa foi avaliar o efeito de diferentes conteúdos do feedback no desempenho em tarefas. Foi realizado um experimento utilizando delineamento experimental de linha de base múltipla entre sujeitos com 12 universitários. Foi utilizada uma atividade de reconhecimento de emoções em expressões faciais em um software de escolha de acordo com o modelo. Os conteúdos de feedbacks “Percentual de acertos”, “Comparação de percentual de acertos com tentativas anteriores” e “Pontuação” foram apresentados em gráficos e em mensagem textual. Foram analisadas as variações de desempenho entre grupos, intra-sujeitos e de seus relatos verbais. Os resultados indicam aumento da média de desempenho em todos os participantes após a inserção de qualquer um dos tipos de feedback. O feedback do tipo “Percentual de acertos” foi o que produziu maior variação no desempenho. O feedback “Pontuação” produziu maior instabilidade no desempenho dos participantes entre as rodadas. Desse modo, observou-se que os resultados fortalecem a relevância do uso de feedbacks para a promoção de desempenho em tarefas, mas não evidenciam diferenças claras no desempenho a partir de diferentes conteúdos de feedback.
Palavras-chave: Feedback, Conteúdo de Feedback, Desempenho em Tarefas, Gestão de Desempenho, Avaliação de Desempenho.
Abstract: Given the importance of promoting and maintaining performance at appropriate levels of productivity, quality and safety, the indication to managers to use the strategies, principles and procedures of the field called Performance Management is recurrent. In this context, the presentation of performance feedback to employees is a popular feature in the organizational environment, however there are many feedback variables that are still not clear. The objective of this research is to verify the effect of different types of feedback content on task performance. The experiment was designed in a multiple baseline within subjects, with twelve participants divided into three groups. The participants from each experimental group received feedback with a different type of content. An emotion recognition in facial expressions task was carried out using a matching to sample software. The feedback contents “Percentage of correct answers", "Comparison of percentage of correct answers regarding previous attempts" and "Score" were presented at the end of each ten attempts through graphic presentation combined with a descriptive message. Data analysis involved inter-group and intra- subject performance variations and their verbal reports. The results indicate higher average performance for all participants after the insertion of any type of feedback. The feedback “percentage of correct answers”, considered the most frequent in the organizational context, showed the greatest variation between baseline and experimental stage performance. The feedback “score” showed greater instability in participants’ performance between the rounds. The results reinforce the relevance of feedback use to improve task performance, but they do not show clear differences in performance according to the different types of feedback content.
Keywords: Feedback, Feedback content, Task performance, Performance Management, Performance Appraisal.
Comportamento humano é o componente central em qualquer organização (Vasconcelos-Silva, Todorov & Silva, 2012). Empresas com definições claras acerca de seus objetivos, com estratégias para ampliar sua competitividade no segmento em que atuam e que disponham de recursos humanos e materiais apropriados para suas operações têm boas condições para produzir os produtos ou serviços que delimitam seus objetivos. Entretanto, mesmo com todas essas condições, se os trabalhadores não apresentarem os comportamentos requeridos em suas funções em níveis adequados de desempenho, não haverá como produzir os resultados esperados para a sociedade que delimitam a razão social de a organização existir (Gusso & De Luca, 2017). Diante da importância de promover ou manter o desempenho em níveis apropriados de produtividade, qualidade e segurança, é recorrente a indicação a gestores que utilizem as estratégias, os princípios e os procedimentos do campo denominado Gestão de Desempenho (Daniels & Bailey, 2014). Um dos procedimentos identificados como tradicionalmente popular e, sobretudo, eficaz em diversos ambientes é a apresentação de feedbacks aos desempenhos dos trabalhadores (Alvero, Austin & Bucklin, 2001; Gil & Carter, 2016; Mangiapanello & Hemmes, 2015). No entanto, apesar da popularidade, há muitas variáveis ainda pouco conhecidas para a compreensão das características e dos processos envolvidos no uso de feedback em contextos aplicados (Johnson, Rocheleau & Tilka, 2015; Palmer, Johnson & Johnson, 2015).
Feedback é considerado o procedimento de intervenção mais utilizado no campo da Análise do Comportamento nas Organizações (OBM), com efetividade demonstrada em pesquisas básicas e aplicadas (Moon, Lee, Lee & Oah, 2017). Embora seja um procedimento amplamente disseminado, não há consenso quanto à definição de feedback na literatura (Alvero et al., 2001). Enquanto na pesquisa aplicada tipicamente o termo feedback designa o nome de um pacote de intervenção utilizado para mudança de um comportamento, na pesquisa básica em Análise Experimental do Comportamento é utilizado frequentemente como sinônimo de estímulo reforçador apresentado após uma resposta (Deitz et al., 1987).
Na literatura geral em Psicologia, alguns autores criticam o uso do termo feedback como sinônimo de estímulo reforçador, indicando que o conceito feedback contém em sua definição uma “quantidade de informação” sobre o comportamento apresentado que garantiria sua efetivamente como procedimento (Deitz, Gaydos, Lawrence, Quinn, Brasher & Frederick, 1987). A discussão sobre isso na década de 1980 centrava na falta de clareza acerca de quanta “informação” é necessária para constituir um feedback para além da indicação de que a resposta apresentada produzirá reforçadores ou não (Parsons, 1982).
Embora o termo feedback eventualmente ainda seja utilizado contemporaneamente no contexto da pesquisa básica como sinônimo de estímulo reforçador, nas pesquisas aplicadas em Análise do Comportamento o termo feedback tem sido utilizado em sentido mais estrito, de forma similar ao seu uso na literatura mais geral em Psicologia. O conceito tem sido definido como uma “descrição verbal (escrita ou vocal) do desempenho, fornecendo informações acerca da qualidade ou da quantidade do comportamento de alguém” (Aljadeff-Abergel, Peterson, Hagen, Wiskirchen & Cole, 2017, p.1). Tal descrição possibilitaria manter ou alterar a probabilidade da pessoa que o recebeu apresentar esse desempenho futuramente (Daniels & Bailey, 2014). Em síntese, o destinatário (pessoa que recebe o feedback) não receberia apenas a descrição de seu desempenho ou a indicação de que a resposta produzirá ou não reforçadores, mas também descrições que o ajudam a identificar aspectos relevantes de seu comportamento sobre os quais deve ficar sob controle ao voltar a apresentar o desempenho.
Ainda relacionado à definição de feedback, a falta de clareza acerca dos processos comportamentais envolvidos é destacada nas pesquisas aplicadas que envolvem o conceito (Mangiapanello & Hemmes, 2015). Alvero et al. (2001) identificaram pesquisas que argumentam que feedback pode exercer função de estímulo antecedente (Daniels, 1994), de estímulo reforçador (Komaki, Barwick, & Scott, 1978) ou com múltiplas funções, tanto discriminativas como reforçadoras (Sulzer-Azaroff & Mayer, 1991). Outros autores afirmam que feedback pode funcionar como uma operação estabelecedora ou operar como regra orientadora de comportamentos verbalmente governados (Agnew, 1998; Agnew & Redmon, 1992; Aljadeff-Abergel, Peterson, Hagen, Wiskirchen & Cole, 2017). O estudo conduzido por Mangiapanello e Hemmes (2015) avaliou 356 estudos sobre feedbacks na literatura analítico-comportamental. Os autores concluíram não ser possível identificar claramente a função que feedbacks apresentam nas contingências comportamentais a partir dos resultados das pesquisas já publicadas.
Mesmo sem clareza acerca dos processos comportamentais envolvidos nos procedimentos de feedback utilizados em contextos aplicados, os resultados das pesquisas indicam que o seu uso tipicamente produz mudanças importantes nas situações em que são utilizados (Mangiapanello & Hemmes, 2015). Ao revisar dez anos (1977-1986) de publicação do Journal of Organizational Behavior Management (JOBM), principal revista de publicações relacionadas ao trabalho em OBM, Balcazar, Daniels, Hopkins, Mawhinney e Shupert (1989) identificaram que feedback foi utilizado como pacote de intervenção em mais de 50% das pesquisas em relação ao comportamento organizacional publicadas em nove dos dez anos revisados, com evidências de efetividade do feedback nas intervenções realizadas. Essa revisão e outros trabalhos no campo da OBM indicam o feedback como eficaz para a manutenção ou melhora do desempenho (Alvero et al., 2001; Balcazar, Hopkins & Suarez, 1986;Ford, 1980).
Uma das características observadas nos usos de feedbacks em ambientes aplicados é a ampla variação de arranjos como tal procedimento é manejado (Mangiapanello & Hemmes, 2015). Isso provavelmente é decorrência da grande quantidade de variáveis que constituem o uso de feedbacks (Fox & Sulzer-Azaroff, 1990; Johnson, Rocheleau & Tilka, 2015; Milano & Strapasson, 2016). Em revisão de intervenções no campo da OBM com uso de feedbacks, Fairbank e Prue (1981) sistematizaram as principais variáveis constituintes dos procedimentos de feedback: o conteúdo do feedback (e.g. comparação do desempenho de um indivíduo com o seu desempenho anterior), a fonte que fornece o feedback (e.g. o supervisor), o mecanismo utilizado para fornecer a informação (e.g. relatório escrito), os destinatários (um grupo ou um indivíduo) e a frequência com que o feedback é apresentado (e.g. diariamente). A diversidade de arranjos possíveis entre essas variáveis pode explicar a ampla diversidade de procedimentos utilizados, todos sob o nome de feedback. Isso é o que faz com que pesquisadores da área denominem feedback como um pacote de intervenção (Ward-Horner & Sturmey, 2010).
O uso de pacotes é justificado em intervenções profissionais e em pesquisas aplicadas pela necessidade de considerar as múltiplas variáveis nos processos de mudanças comportamentais. A dimensão analítica das intervenções analítico-comportamentais evidencia que pesquisadores precisam identificar os componentes específicos do manejo de contingências que produz as mudanças de comportamento (Baer, Wolf & Risley, 1968). Nesse sentido, um procedimento importante são as análises de componentes, definidas como uma avaliação sistemática das variáveis independentes que compõem um pacote de intervenção (Ward-Horner e Sturmey, 2010).
Entre as variáveis componentes dos feedbacks, o seu conteúdo é considerado nuclear, por ser o “tipo de informação fornecida ao destinatário do feedback” que altera a probabilidade de ocorrência futura do comportamento (Moon, Lee, Lee & Oah, 2017, p.63). Na revisão de Balcazar et at. (1986), foram identificados oito tipos de conteúdos manipulados como variáveis independentes em intervenções. O conteúdo que apresentou maior consistência de efeito foi do tipo comparação do desempenho do sujeito com o próprio desempenho anterior. Na revisão realizada posteriormente, Alvero et al. (2001) identificaram 12 tipos de conteúdos, mantendo alta consistência de efeito nas manipulações experimentais em que o desempenho de pessoas ou grupos eram comparadas apenas com seus próprios desempenhos anteriores. Os autores também identificaram alta consistência de efeito nas situações em que o feedback era constituído apenas pela informação de que a resposta apresentada estava correta. Em síntese, nas revisões de intervenção com feedback, quando o conteúdo era constituído por simples indicação de que a resposta está correta, e quando desempenho é comparada com próprio desempenho nas ocasiões anteriores, as intervenções sistematicamente produzem melhora no desempenho.
São raros os estudos que avaliam os efeitos específicos de diferentes conteúdos de feedback tipicamente utilizado em contextos organizacionais na literatura em pesquisa aplicada, em análogos experimentais ou na pesquisa básica. Em pesquisa recente, Moon et al. (2017) conduziram investigação sobre conteúdos de feedback, comparando os efeitos de conteúdos com informações apenas sobre o próprio desempenho e dos com informações comparativas do sujeito em relação a outros. Os resultados indicaram que o feedback com comparação social foi mais efetivo apenas aos participantes que apresentavam desempenho considerados alto em linha de base. Os autores indicam como importante que mais pesquisas avaliando propriedades específicas de conteúdos de feedback sejam realizadas.
Feedbacks são o pacote de intervenção mais utilizado por analistas do comportamento no campo das organizações (Moon, Lee, Lee & Oah, 2017), embora os processos comportamentais envolvidos ainda não estejam claro (Mangiapanello & Hemmes, 2015). Embora em alguns estudos, especialmente na pesquisa básica, o termo feedback seja eventualmente utilizado como sinônimo de estímulo reforçador (e.g. sinalização de ganho de pontos em arranjos experimentais), a literatura no campo da pesquisa aplicada indica a necessidade de mais “informações” acerca do desempenho para que seja utilizado como um pacote de intervenção para promover melhores desempenhos (Deitz, et al., 1987). Entre as variáveis que o constituem, o conteúdo do feedback é considerado uma das mais importantes. Entre os conteúdos mais frequentemente utilizados, os que comparam o desempenho do sujeito com seu próprio desempenho anterior e a simples indicação de que a resposta está correta, são os que produzem maiores consistências de efeito (Alvero et al., 2001; Balcazar et al., 1986). O objetivo desta pesquisa foi avaliar os efeitos de três tipos de conteúdo de feedback, similares aos indicados pela literatura como com maior consistência de efeito: apresentação de percentual de acertos na tarefa; comparação entre percentual de acertos na tarefa com as tentativas anteriores pelo mesmo participante; e pontuação imediata após cada resposta do participante. A avaliação proposta tem como possível decorrência o aperfeiçoamento dos procedimentos de feedback para a manutenção ou melhoria de desempenhos humanos no contexto do trabalho.
Método
Participantes e local de coleta de dados
Após a aprovação pelo Comitê de Ética para Pesquisa com Seres Humanos da universidade em que foi realizado (CAAE 23324013.0.0000.0093), o estudo foi divulgado em salas de aula, informando que os alunos participariam de uma pesquisa para aprendizagem de reconhecimento das expressões faciais. Os interessados se voluntariaram, informando dados para contato como e-mail e telefone. Após a divulgação, foi feito contato com os estudantes voluntários e agendado o primeiro encontro. Participaram do estudo doze estudantes do primeiro ano do curso de Psicologia de uma universidade particular brasileira, sendo oito mulheres e quatro homens. Todos tinham entre 18 e 22 anos e sem histórico de participação em experimentos ou em atividades de reconhecimento de emoções em expressões faciais. A coleta de dados ocorreu em salas no Centro de Psicologia da universidade em que o estudo foi realizado. Cada sala continha um computador, mesa e cadeira.
Instrumentos
Foi utilizado o software Stimulus Control, versão 2.0 (Torres, Torres & Gusso, 2014 adaptado de Picorone & Velasco, n.d.). Esse software possibilita apresentação de atividades de escolha de acordo com o modelo e fornece relatórios contendo as respostas apresentadas pelo participante, a quantidade de acertos, o tempo de execução e quais os erros cometidos em cada tentativa.
A atividade realizada no experimento foi um aperfeiçoamento do programa de ensino “Identificação de Emoções em Expressões Faciais” (Fagundes, Lobo & Gusso, 2013). A atividade foi constituída de uma apostila didática acerca da identificação de emoções em expressões faciais, elaborada a partir dos livros de Ekman (2011) e Darwin (1872/2009) e pela programação do software, no qual o participante realizava atividade de identificação de emoções em fotos de expressões faciais. O programa apresentava o nome de uma emoção na tela do computador e, após um clique, em cada canto da tela era apresentada uma foto de rostos humanos expressando emoções. O participante deveria, então, escolher qual imagem melhor representa a emoção anteriormente indicada, clicando sobre a respectiva imagem. O software registrava o resultado e uma nova tentativa era então iniciada.
Foram apresentadas as emoções raiva, alegria, tristeza, aversão, medo e surpresa, consideradas como emoções básicas (Ekman, 2011). Foram utilizadas fotos retiradas de bancos de imagens virtuais públicos e gratuitos. Foram selecionadas novas fotos para o presente experimento, modificando a programação previamente realizada por Fagundes, Lobo e Gusso (2013), visando aumentar o grau de dificuldade do processo em função de, na programação original, os valores de acerto em linha de base serem considerados altos (acima de 80%). Após a seleção das fotos, elas foram submetidas à avaliação de cinco observadores treinados no reconhecimento de expressões faciais, sendo três alunas do curso de Psicologia devidamente instruídas para a atividade e os dois pesquisadores. A classificação levou em consideração as características de expressão facial correspondente a cada emoção, de acordo com Ekman (2011). Foi organizado um crivo contendo as características observáveis nas expressões faciais que podem remeter à expressão de emoções. Em cada foto examinada, foram identificadas tais características. No caso de imagens que apresentavam características referentes a mais de uma emoção, a decisão era tomada quando as características observadas correspondiam mais a uma emoção, em exclusão das outras emoções, garantindo assim o nível de complexidade da atividade.
As tentativas (nome de uma emoção e grupos de quatro imagens) foram divididas em níveis de dificuldade: fácil, médio e difícil. Foram programados 15 blocos, cada um composto de 10 tentativas, montados com distribuição igualitária dos níveis de dificuldade.
Variáveis Independente e Dependente e Grupos Experimentais
Como variável dependente, foi analisado o percentual de acertos de cada participante em cada bloco de tentativas. Como variável independente, foram programados três tipos de conteúdo de feedback sobre o desempenho (10 tentativas). Os participantes foram divididos em três grupos, nos quais cada grupo recebeu um tipo de conteúdo de feedback na realização da tarefa:
a) Percentual de acertos: foi programado para aparecer na tela do computador uma mensagem ao final da fase de linha de base, antes do início de apresentação de feedback: “Para facilitar sua aprendizagem, a partir de agora você será informado do seu percentual de acerto a cada bloco de 10 tentativas. Atenção e boa sorte”. Ao final de cada bloco, aparecia uma nova mensagem acompanhada de um gráfico de barras: “No último bloco seu percentual de acerto foi de X%”, sendo X o resultado percentual atingido pelo indivíduo.
b) Comparação do percentual de acertos: ao final da fase de linha de base, o participante recebia a mensagem: “Para facilitar sua aprendizagem, a partir de agora você será informado do seu percentual de acerto a cada bloco de 10 tentativas e verá a comparação com os blocos anteriores. Atenção e boa sorte”. Ao final de cada bloco, era apresentada uma nova mensagem acompanhada de uma representação em forma de gráfico de barras composto de dados dos blocos anteriores e do atual, informando: “Este é seu histórico. No último bloco seu percentual de acerto foi de X%”.
c) Pontuação: ao final da fase de linha de base, o participante recebia a mensagem: “Para facilitar sua aprendizagem, a partir de agora será lhe informado sua pontuação. Cada novo ponto sinaliza que você acertou a tentativa realizada. Atenção e boa sorte”. E foi acrescentada uma numeração no centro superior da tela, que aumentava a cada acerto.
Procedimento
O experimento foi planejado com delineamento de linha de base múltipla entre sujeitos, no qual é registrado o comportamento antes (linha de base) e durante a intervenção (fase experimental), que ocorre em diferentes momentos para cada participante. A escolha desse tipo de delineamento foi pelo alto grau de controle sobre variáveis que normalmente são difíceis de controlar. Além disso, fornece amostras temporais repetidas de cada elemento de intervenção, e qualquer perda de controle experimental que possa ocorrer torna-se evidente e pode ser considerada quando se analisam os dados, o que permite um grau de confiança na adequação do controle experimental (Johnston & Pennypacker, 2009;Sidman, 1976).
A coleta de dados foi realizada por três pessoas, sendo duas alunas do curso de Psicologia devidamente instruídas para a atividade (INSERIR AQUI A NOTA DE RODAPÉ) e pela autora principal do estudo. O discurso e os procedimentos foram padronizados para serem os mesmos para todos os aplicadores com todos os participantes. Estes foram informados a respeito do conteúdo da atividade, contextualizados que se trata de um estudo baseado nos trabalhos de Ekman (2011) e Darwin (1872/2009) e que a pesquisa iria avaliar a qualidade dos procedimentos utilizados no programa de ensino de identificação de emoções em expressões faciais. O real objetivo não foi informado previamente para não influenciar no desempenho dos participantes. A partir disso, o Termo de Consentimento Livre e Esclarecido foi apresentado e assinado antes do início do experimento. A coleta de dados foi realizada em uma sessão única com cada participante, com duração média de uma hora e meia.
Os participantes foram deixados sozinhos em uma sala para estudo da apostila. Ao final, chamavam os pesquisadores para esclarecimento de eventuais dúvidas e, então, iniciaram a atividade no software. A apostila ficava disponível para consulta em qualquer momento durante o experimento.
Conforme terminavam a atividade, os participantes chamavam as aplicadoras, que ficaram na sala ao lado. Estas questionavam se os participantes sentiram dificuldade na atividade, se sentiram cansaço e como reagiram, se consultaram a apostila durante a atividade e, no caso de resposta afirmativa, se lembram em quais momentos. A atividade era encerrada e os relatórios de desempenho extraídos do software. Somente após o encerramento da coleta de dados os participantes foram informados dos reais objetivos do estudo.
Análise dos dados
Os dados foram tratados individualmente, considerando o desempenho ao longo do período de linha de base e apresentação de cada tipo de feedback. Os nomes dos participantes foram alterados para nomes fictícios, garantindo o sigilo da identidade dos que se voluntariaram a participar.
Foram excluídos para a análise de dados os blocos de transição entre linha de base e fase experimental – considerados como blocos de transição o primeiro após o aviso ao participante de que iria receber feedback e o recebimento do primeiro feedback.
Os resultados de cada conjunto de dois blocos foram integrados, constituindo “rodadas” para a análise de dados. Portanto, o valor de cada rodada é a média do percentual alcançado em dois blocos seguidos. Dessa forma, com vinte tentativas em cada rodada, cada erro tem peso de 5% no resultado do desempenho, o que possibilita uma análise mais sensível para interpretar alterações de desempenho como aumento, estabilidade ou diminuição de acertos. Variações de até 5%, que correspondiam a um erro na rodada, foram consideradas como estabilidade no desempenho.
Os relatos verbais das percepções dos participantes foram descritos cursivamente, visando evidenciar outros aspectos do desempenho para além do percentual de acertos, bem como eventuais interferências de variáveis não controladas.
Resultados
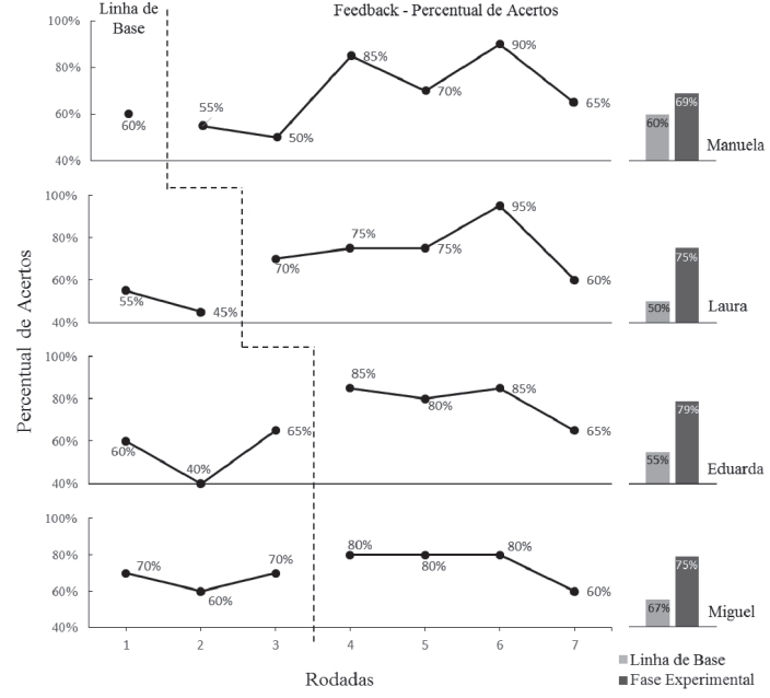
Os registros de desempenho dos quatro participantes que receberam feedback do tipo “Percentual de acertos” estão apresentados na figura 1. O desempenho da Manuela apresenta estabilidade entre linha de base e a primeira e segunda apresentação de feedback. Na sequência, varia com diferenças percentuais de mais de 15% de uma rodada para a outra. Ao final, a participante declarou ter achado a atividade um pouco cansativa e ter muita dificuldade com a emoção “raiva”, utilizando a apostila para conferir especificamente essa emoção
Já o desempenho dos participantes Laura, Eduarda e Miguel apresentam padrões semelhantes, tanto em linha de base quanto em fase experimental. Os três desempenhos aumentaram após a apresentação do primeiro feedback comparados à linha de base, com destaque para a grande variação percentual de Laura nesta rodada. Ela declarou: “estava complicado e tive que conferir a apostila diversas vezes depois que começaram os feedbacks, porque estava errando demais”. O desempenho do Miguel apresentou estabilidade em quase toda a fase experimental, assim como da Eduarda, interrompidos apenas pela última rodada, na qual o desempenho de todos os quatro participantes apresenta queda. Eduarda relatou: “após começar a receber os feedbacks fiquei mais atenta as imagens, e comecei a utilizar a apostila”. Miguel achou a atividade muito fácil. Disse que consultou a apostila uma vez e que o feedback ajudou a saber como estava indo. Estranhou não ter tido um desempenho melhor.

Desempenho com a apresentação do feedback tipo “Percentual de Acertos”. No eixo vertical, o percentual de acertos por rodada. No eixo horizontal, linha de base em um delineamento múltiplo, diferente para cada participante, e a inserção da variável independente com apresentação do feedback do tipo “Percentual de acertos”. Resultado apresentado em sete rodadas de 20 tentativas cada, sendo que na atividade estavam separadas em blocos de 10 tentativas com apresentação do feedback ao final de cada bloco. Nos gráficos de barras, a comparação dos valores médios de acerto em linha de base e na fase experimental
Nos gráficos de barra no canto direito da figura 1, constam as médias de desempenho em cada uma das fases do experimento. As diferenças de desempenho entre linha de base e a fase com feedback do tipo percentual variou entre 8% (Miguel) e 25% (Laura). Esse foi o tipo de feedback que apresentou maior aumento nos desempenhos dos participantes, especialmente nas participantes Eduarda e Laura, com 24% e 25% de variação, respectivamente.
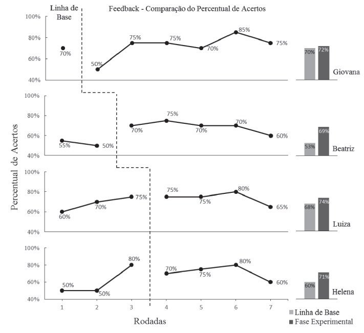
Na figura 2 estão apresentados os desempenhos dos quatro participantes que receberam o feedback tipo “Comparação do percentual de acerto”. O desempenho da Beatriz na linha de base, composta de apenas duas rodadas, apresentou estabilidade. Já os desempenhos de Luiza e Helena apresentaram característica ascendente na linha de base.

Desempenho com a apresentação do feedback tipo “Comparação do Percentual de Acertos”. No eixo vertical, o percentual de acertos por rodada. No eixo horizontal, linha de base em um delineamento múltiplo, diferente para cada participante, e a inserção da variável independente com apresentação do Feedback do tipo “Comparação do Percentual de acertos”. Resultado apresentado em sete rodadas de 20 tentativas cada, sendo que na atividade estavam separadas em blocos de 10 tentativas com apresentação do feedback ao final de cada bloco. Nos gráficos de barras, a comparação dos valores médios de acerto em linha de base e na fase experimental.
O desempenho de Giovana e Helena diminuiu após a primeira inserção de intervenção, mas seguiu em ascensão ao longo da fase experimental, diminuindo apenas na última rodada. Giovana disse que achou a atividade um pouco cansativa, sentiu dificuldade em diferenciar duas emoções e, após começar a receber feedbacks, passou a prestar mais atenção. Helena relatou que achou a atividade muito interessante, que ficou bem empolgada e que algumas imagens eram fáceis de identificar e outras, complexas. Usou a apostila diversas vezes, e os feedbacks impulsionaram-na a tentar usar mais a apostila, porém não entendeu totalmente o resultado dos feedbacks.
O único desempenho que apresentou aumento no início da fase experimental, após a primeira apresentação de feedback, foi da Beatriz, na terceira rodada, e os percentuais de acerto apresentados em todo o restante da atividade foi superior à fase de linha de base. Ao final, a participante comentou a atividade: “Bem tranquila, olhei a apostila uma vez, que fiquei em dúvida. O feedback ajudou para ver como eu estava indo, mas não sei se me fez melhorar”. O percentual de acertos da Luiza manteve-se estável, entre linha de base e primeira rodada de fase experimental, com um sutil aumento ao longo da atividade, até ser interrompido pelo declínio na última rodada. A participante comentou que não sentiu dificuldade nem olhou a apostila. Em sua percepção, o feedback não fez diferença em sua forma de responder.
Após iniciar a apresentação do feedback, o desempenho de todos os participantes apresentou maior estabilidade do que entre os participantes que receberam feedback do tipo “Percentual de acertos”. Assim como nos participantes desse grupo, todos tiveram declínio no desempenho na última rodada. No gráfico de barras da figura 2, é possível observar que o percentual de acertos tem aumento de desempenho entre 2% (Giovana) e 16% (Beatriz). As menores variações nas médias de desempenho dos participantes são de 2% no desempenho da Giovana e 6% no desempenho da Luiza.
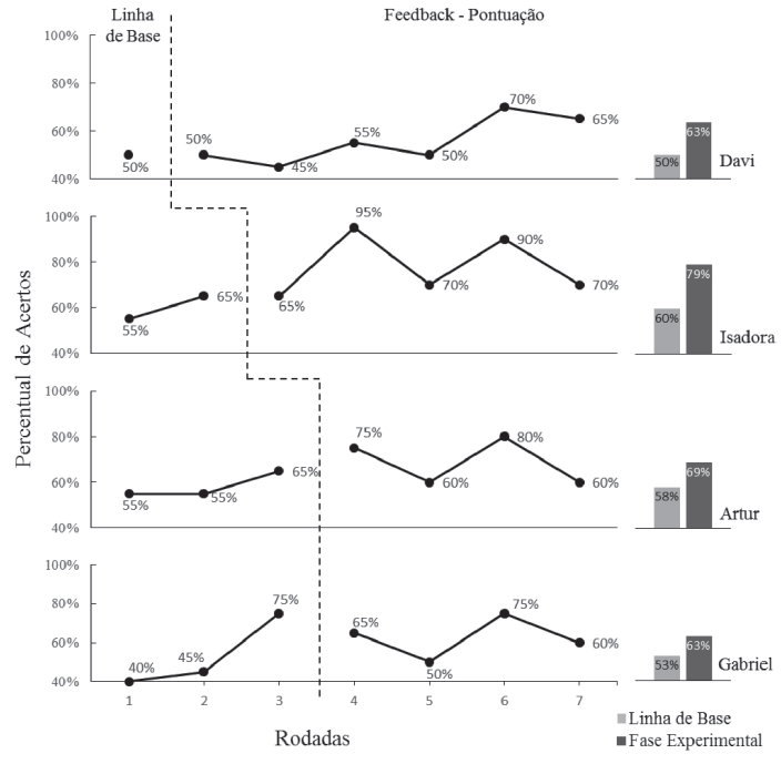
O desempenho dos participantes em que a intervenção foi do feedback tipo “Pontuação” está representado na figura 3. O desempenho de todos os participantes na fase de linha de base apresentou aumento entre rodadas. A partir da inserção da pontuação, o desempenho dos participantes em relação à linha de base foi inconstante.

Desempenho com a apresentação do feedback tipo “Pontuação”. No eixo vertical, o percentual de acertos por rodada. No eixo horizontal, linha de base em um delineamento múltiplo, diferente para cada participante, e a inserção da variável independente com apresentação do feedback do tipo “Pontuação”. Resultado apresentado em sete rodadas de 20 tentativas cada, sendo que na atividade estavam separadas em blocos de 10 tentativas com apresentação do feedback ao final de cada bloco. Nos gráficos de barras, a comparação dos valores médios de acerto em linha de base e na fase experimental.
Os percentuais de acertos de Davi e Isadora permaneceram os mesmos na primeira rodada da fase experimental em comparação com a linha de base. O desempenho de Davi caiu na sequência, apresentando estabilidade entre a quarta e quinta rodada, e então aumentou significativamente. O desempenho de Isadora aumentou na segunda rodada de fase experimental, com variações entre 65% e 95% até o final da atividade. Os desempenhos de Davi e Isadora, na fase experimental, apresentaram percentuais de acerto sempre iguais ou melhores do que em linha de base. Davi relatou que achou a atividade muito cansativa, mas que, quando percebia que errava muitas tentativas em sequência, conferia a apostila. Já Isadora comentou: “quando eu via pela pontuação que tinha errado, procurava a apostila para reestudar aquela emoção, quando percebia que acertava, tentava analisar como tinha sido o acerto para reforçar. E quando via pela pontuação que estava acertando, me motivava a continuar”
O desempenho de Artur aumentou na rodada quatro, primeira após a inserção do feedback, e o de Gabriel diminuiu na mesma situação. O desempenho dos dois apresentou padrão semelhante no restante do experimento, alcançando percentuais de acerto muito próximos, e por vezes iguais. Todos apresentaram diminuição de desempenho na sétima rodada. Artur comentou que utilizou a apostila, e o fato de receber feedbacks o deixou ansioso, fazendo com que ele quisesse terminar mais rápido a atividade. Gabriel chamou de “instintivo” a iniciativa de tentar melhorar quando percebia pela pontuação que estava errando. Os gráficos de barras apresentam variação de 10% (Gabriel) a 19% (Isadora) no aumento das médias dos desempenhos.
Discussão
A pesquisa teve por objetivo examinar o quanto diferentes conteúdos de feedback influenciam no desempenho. De modo coerente com os dados já apresentados na literatura, os resultados indicam que a inserção de feedbacks aumentou o desempenho de todos os participantes, ainda que em diferentes intensidades para cada sujeito. Os resultados fortalecem os dados já apresentados em diferentes pesquisas que indicam a utilização de feedbacks como meio eficaz para promover desempenhos em contextos de trabalho (Alvero et al., 2001; Balcazar et al., 1989; Ford, 1980).
Visto que todos os participantes nos diferentes grupos apresentaram declínio de desempenho na última rodada, os dois blocos que compõe a última rodada foram revisados, e foi constatado que, embora tivessem quantidade de tentativas de nível “difícil” igual aos demais blocos, algumas tentativas tiveram imagens que causavam dubiedade diante das afirmações da apostila utilizada. Diante disso, fica evidente que a programação da atividade pode ter influenciado os desempenhos nessa rodada específica. Outra hipótese, é a possível influência do cansaço, relatado por alguns participantes, visto que a atividade consistia de uma ação repetitiva por um longo período de tempo (aproximadamente uma hora e meia). Não foram realizadas análises comparativas quanto ao desempenho em tentativas “fáceis” e “difíceis”.
Quando analisados os desempenhos em que a intervenção foi do feedback tipo “Percentual de acerto”, é importante indicar que esse tipo de feedback é descrito como informação fornecida sem comparação ou acréscimo de outros dados, e indicado como um dos mais frequentes em contextos aplicados, apesar de não apresentar as melhores consistência de efeito nas revisões de literatura (Alvero et al., 2001;Balcazar et al., 1986; Fairbank & Prue, 1981). Entretanto, nesta pesquisa, é o tipo de feedback que apresentou maiores aumentos de desempenho. Esse resultado também contraria afirmações presentes na literatura que indicam que apenas prover informação sobre o desempenho é condição incompleta para fornecer feedbacks que alterem desempenho (i.e. Daniels e Bailey, 2014; Fairbank e Prue, 1981).
Indicado pelas revisões de Balcazar et al. (1986) e Alvero et al. (2001) com os mais altos índices de consistência de efeito, o feedback tipo “Comparação do percentual de acerto” não produziu resultados tão expressivos quanto o feedback “Percentual de acerto”, embora tenha também produzido mudança no desempenho de todos os participantes. Apenas um dos participantes sob essa condição experimental apresentou melhora de performance em relação à linha de base na primeira apresentação de feedback. As médias de desempenho de cada participante em fase experimental foram maiores do que as médias de linhas de base (aumentos de 2%, 6%, 11% e 16%), sendo o conteúdo de feedback que produziu a menor diferença, evidenciando um menor impacto desse tipo de feedback no desempenho.
Entre os conteúdos de feedback testados nesta pesquisa, o tipo “Pontuação” é a estratégia mais próxima do que a literatura destaca como ideal para promover melhores desempenhos. Ao receber informação sobre acerto ou erro em cada resposta apresentada, é possibilitado ao participante que este avalie o seu próprio desempenho, aumentando as chances de buscar informações que o auxilie a avaliar seus erros ou a identificar necessidade de aumentar a atenção à atividade. Relatos verbais dos participantes demonstram que notaram esse funcionamento: o participante Gabriel chamou de “instintivo” a iniciativa de tentar melhorar quando percebia, pela pontuação, que estava errando; e Isadora afirmou que “quando eu via pela pontuação que tinha errado, procurava a apostila para reestudar aquela emoção (...)”. Daniels e Bailey (2014) destacam que essa seria a programação ideal para levar o nome de feedback e que, se a informação não presta esse tipo de função, tipicamente não seria suficiente. O desempenho dos participantes testados nesse tipo de feedback foi o que apresentou desempenhos com maior variabilidade entre rodadas em comparação com os demais tipos de conteúdo de feedback testados. Não foram identificadas variáveis estranhas (intervenientes) que possam auxiliar na compreensão do porquê da variação entre rodadas. Também foram descartadas hipóteses quanto a eventuais decorrências de esquemas de reforçamento específicos operando de modo diferente entre rodadas, ou ainda quanto à variabilidade induzida por extinção decorrente de erros. Não foram identificados padrões de resposta como efeito de sequências de “erro” e “acerto”. Como cada rodada foi constituída por 20 respostas, seria esperado que a variação dentro das próprias rodadas fosse igual à variação entre rodadas, descartando tais hipóteses. O relato de um dos participantes quanto à “ansiedade” induzida pela pontuação que o levou a querer encerrar a atividade mais rapidamente sinaliza comportamento de fuga, produto de contingência de reforçamento negativo. Por mais que os demais participantes tenham relatado que a pontuação estaria lhes auxiliando a desempenhar melhor e que não tenham feito relatos que indiquem a ocorrência de reforçamento negativo, a sobreposição de contingências de reforçamento positivo e negativo talvez façam parte da explicação da maior variabilidade observada nesta condição de feedback.
A maioria dos participantes relatou ter consultado a apostila durante a atividade; alguns descreveram que o fizeram diante uma dúvida específica, outros após receber o feedback (ver relatos dos participantes feedback tipo a) e tipo c)), mas nem todos o fizeram. Esse tipo de exame pode indicar que talvez os feedbacks, apresentados da maneira programada neste experimento, tenham função prioritária como estímulo discriminativo verbal ou como operação motivacional estabelecedora para respostas da classe “consultar apostila” e “atentar para o exercício”. Essa interpretação evidencia o papel do feedback mais como um antecedente do que como uma consequência reforçadora ao comportamento (Alvero et al., 2001; Daniels, 1994; Sulzer-Azaroff & Mayer, 1991).
Em síntese, os resultados indicam que a inserção de todos os tipos de feedbacks programados produziu aumento de desempenho dos participantes. Contudo, o tipo de feedback “Percentual de acertos”, no qual o desempenho do participante foi apresentado sem combiná-lo a nenhuma outra informação, teve resultados mais expressivos e positivos em todos os participantes testados neste tipo de feedback comparado aos demais. Esse tipo de conteúdo é o mais popular nas aplicações de feedback em ambiente organizacional, e os resultados aqui encontrados apoiam essa escolha, relacionando-a com sua efetividade. Porém, esse achado também contraria afirmações apresentadas na literatura, que não indicam esse tipo de feedback como o mais eficaz para aumento de desempenho (Alvero et al., 2001; Daniels & Daniels, 2006; Fairbank & Prue, 1981). Uma limitação metodológica que restringe e abrangência dos resultados é que embora os feedbacks tenham sido diferentes graficamente entre os que receberam conteúdo do tipo “percentual de acerto” e os que receberam “comparação do percentual de acerto”, a mensagem de texto recebida era similar entre os grupos.
Vista a popularidade do feedback em ambientes organizacionais e a grande quantidade de pessoas afetadas pelo seu uso, o aperfeiçoamento desse procedimento tem muito a oferecer para a manutenção ou melhoria de desempenhos no contexto do trabalho. Promover melhores desempenhos pode aumentar a produtividade e qualidade na produção às organizações ou, ainda, melhorar desempenhos relacionados à segurança e saúde dos trabalhadores. Feedbacks são constituídos por múltiplas variáveis que ainda precisam ser mais bem examinadas para fornecer subsídios mais precisos aos profissionais na área aplicada. Embora o modelo utilizado neste análogo experimental tenha evidenciado alguns problemas de programação quanto ao grau de dificuldade das rodadas, parece ser um modelo relativamente simples, capaz de examinar em contexto mais controlado algumas das variáveis típicas dos contextos aplicados. Por hora, enquanto ainda não estão disponíveis exames precisos de cada variável que constitui diferentes tipos de feedbacks, os resultados fortalecem a noção de que feedbacks devem ser mantidos como procedimentos para promover melhores desempenhos, a despeito da forma como os conteúdos sejam apresentados.
Referências
Agnew, J.L. (1998). The establishing operation in organizational behavior management. Journal of Organizational Behavior Management, 18, 7-19. doi:10.1300/J075v18n01_02
Agnew, J.L., & Redmon, W.K. (1992). Contingency specifying stimuli: The role of “rules” in organizational behavior management. Journal of Organizational Behavior Management, 12, 67-76. doi:10.1300/J075v12n02_04
Aljadeff-Abergel, E., Peterson, S.M., Hagen, K.K., Wiskirchen, R.R., & Cole, M.L. (2017). Evaluating the Temporal Location of Feedback: Providing Feedback Following Performance vs. Prior to Performance. Journal of Organizational Behavior Management, 1-25. doi: 10.1080/01608061.2017.1309332
Alvero, A. M., Austin, J., & Bucklin, B. R. (2001). An objective review of the effectiveness and essential characteristics review of performance feedback in organizational settings. Journal of Organizational Behavior Management, 21(1), 3-29. doi:10.1300/J075v21n01_02
Baer, D. M., Wolf, M. M., & Risley, T. R. (1968). Some current dimensions of applied behavior analysis. Journal of Applied Behavior Analysis, 1, 91–97.
Balcazar, F., Hopkins, B. L., & Suarez, Y. (1986). A critical, objective review of performance feedback. Journal of Organizational Behavior Management, 7(3/4), 65-89. doi: 10.1300/J075v07n03_05
Balcazar, F. E., Daniels, A. C., Hopkins, B. L., Mawhinney, T. C., & Shupert, M. K. (1989). An objective review and analysis of ten years of publication in the journal of organizational behavior management. Journal of Organizational Behavior Management, 10(1), 7-37. doi:10.1300/J075v10n01_02
Daniels, A. C., & Bailey, J. S. (2014). Performance management: Changing behavior that drives organizational effectiveness (5 ed.). Atlanta, GA: Performance Management Publications.
Daniels, A.C. (1994). Bringing out the best in people. New York: McGraw-Hill.
Darwin, C. (2009). A expressão das emoções no homem e nos animais. São Paulo, SP: Compainha das Letras.
Deitz, S.M., Gaydos, G.R., Lawrence, A.D., Quinn, P.C., Brasher, L.D., & Fredrick, L.D. (1987). Feedback effects on sequential ordering in humans. Journal of the Experimental Analysis of Behavior, 48(2), 209-220. doi: 10.1901/jeab.1987.48-209
Ekman, P. (2011). A linguagem das emoções. São Paulo, SP: Lua de Papel.
Ford, E. (1980). A classification system for feedback procedures. Journal of Organizational Behavior Management, 2(3), 183-191. doi:10.1300/J075v02n03_04
Fox, C. J., & Sulzer-Azaroff, B. (1990). The effectiveness of two different sources of feedback on staff teaching of fire evacuation skills. Journal of Organizational Behavior Management, 10(2), 19-36. doi:10.1300/J075v10n02_03
Fagundes, C.P., Lobo, S.P., & Gusso, H.L (2013). Programa de ensino “identificação de emoções em expressões faciais” por meio de atividade computadorizada de escolha de acordo com o modelo [Software e apostila]. Programa não publicado. Curitiba, PR: Universidade Positivo.
Fairbank, J. A., & Prue, D. M. (1981). Performance feedback in organizational behavior management. Journal of Organizational Behavior Management, 3(1), 1-16. doi:10.1300/J075v03n01_01
Gil, P.J., & Carter, S.L. (2016) Graphic feedback, performance feedback, and goal setting increased staff compliance with a data collection task at a large residential facility. Journal of Organizational Behavior Management, 36(1), 56-70. doi: 10.1080/01608061.2016.1152207
Gusso, H.L., & De Luca, G.G. (2017). Organizações como sistemas comportamentais: Considerações para a delimitação do campo de atuação. Em: Vilas Boas, D.L.O., Cassas, F. & Gusso, H.L. Comportamento em Foco: Análise do Comportamento nas Organizações. São Paulo: Associação Brasileira de Psicologia e Medicina Comportamental, v.6.
Johnson, D.A., Rocheleau, J.M., & Tilka, R.E. (2015). Considerations in feedback delivery: The role of accuracy and type of evaluation. Journal of Organizational Behavior Management, 35(3-4), 240-258. doi: 10.1080/01608061.2015.1093055
Johnston, J.M., & Pennypacker, H.S. (2009). Strategies and tactics of behavioral research (3 ed.). New York: Routledge.
Komaki, J., Barwick, K.D., & Scott, L.R. (1978). A behavioral approach to occupational safety: Pinpointing and reinforcing safe performance in a food manufacturing plant. Journal of Applied Psychology, 63, 434-445. doi: 10.1037/0021-9010.63.4.434
Mangiapanello, K.A. & Hemmes, N.S. (2015). An analysis of feedback from a behavior analytic perspective. The Behavior Analyst, 38(1), 51-75. doi: 10.1007/s40614-014-0026-x
Milano, M. L., & Strapasson, B. A. (2016). Efetividade da fonte de feedback sobre desempenho em ambiente organizacional. Psiencia, Revista latino-americana de Ciencia Psicológica, 8(3). doi: 10.5872/psiencia/8.3.23
Moon, K., Lee, K., Lee, K., & Oah, S. (2017). The effects of social comparison and objective feedback on work performance across different performance levels. Journal of Organizational Behavior Management, 37(1), 63-74. doi:10.1080/01608061.2016.1236059
Palmer, M.G., Johnson, C.M., & Johnson, D.A. (2015) Objective performance feedback: Is numerical accuracy necessary? Journal of Organizational Behavior Management, 35(3-4), 206-239. doi: 10.1080/01608061.2015.1093059.
Picorone, A.M., & Velasco, S. (n.d.). Stimulus control (Versão 1.2.0.2) [Software de computador]. São Paulo, SP.
Sidman, M. (1976). Táticas da pesquisa científica. São Paulo, SP: Brasiliense.
Sulzer-Azaroff, B., & Mayer, G.R. (1991). Behavior Analysis for lasting change. For Worth: Harcout Brace College.
Torres, R.B.M, Torres, V., & Gusso, H.L. (2013). Stimulus control (Versão 2.0) [Software de computador]. Curitiba, PR: Universidade Positivo.
Vasconcelos-Silva, A., Todorov, J.C., & Silva, R.L.F.C. (2012). Cultura organizacional: A visão da Análise do Comportamento. Revista Brasileira de Terapia Comportamental e Cognitiva, 14(2), 48-63. Recuperado de https://goo.gl/VGFhYm
Ward-Horner, J., & Sturmey, P. (2010). Component analyses using single-subject experimental designs: A review. Journal of Applied Behavior Analysis, 43(4), 685-704. doi: 10.1901/jaba.2010.43-685