Artículos
Modelação em vídeo e intervenção mediada por pares para promover interações sociais de alunos com Transtorno do Espectro Autista[1]
Video modeling and peer-mediated intervention to promote social interactions of students with Autism Spectrum Disorders
Modelação em vídeo e intervenção mediada por pares para promover interações sociais de alunos com Transtorno do Espectro Autista[1]
Acta Comportamentalia: Revista Latina de Análisis de Comportamiento, vol. 26, núm. 2, pp. 249-266, 2018
Universidad Veracruzana
Resumo: O presente estudo propõe a utilização da modelação em vídeo no ensino de pares típicos em uma Intervenção Mediada por Pares (IMP) como estratégia para promover habilidades sociais em crianças com Transtorno do Espectro Autista (TEA). Participaram do trabalho duas crianças de seis anos diagnosticadas com TEA e seis crianças com desenvolvimento típico. Cada grupo de quatro crianças, incluindo um participante com TEA e três pares típicos, realizou sessões de brincadeira livre durante quinze minutos. Foram contabilizadas as respostas de “iniciar” e “responder interação”. Antes de cada sessão de intervenção os pares típicos assistiram vídeos apresentando estratégias para interagir com seus colegas com TEA. A intervenção foi planejada em sistema de linha de base múltipla entre pares típicos. Os resultados demonstraram aumento no número de respostas de “iniciar interação” realizadas por pares típicos e tendência de aumento no “responder interação” das crianças com TEA. Interações envolvendo brinquedos também foram mais frequentes. Houve, entretanto, variação individual e ao longo das sessões. Além disso, verificou-se maior concentração de interações nos minutos iniciais da sessão, logo após a exibição dos vídeos. Esses resultados indicam que a modelação em vídeo pode ser uma estratégia efetiva para o ensino de pares típicos em IMPs.
Palavras-chave: Transtorno do Espectro Autista, modelação em vídeo, treinamento de pares, interações sociais, intervenções socialmente mediadas.
Abstract: The present study aims to use video modeling to teach typically developing peers in a peer-mediated intervention (PMI) as a strategy to promote social skills in children with Autism Spectrum Disorders (ASD). Video modeling is frequently implemented to promote appropriate behavior in children with ASD, but have not been used to teach typical peers in a PMI. The participants included two six years old children with ASD and six typically-developing peers. Each group of four children, which included one participant with ASD and three typically-developing children, performed activity sessions with free-play time during fifteen minutes. The target behaviors were initiating and responding to interactions. Before each intervention session, the typically-developing peers watched short videos in which actors interacted with a classmate with ASD. The intervention was evaluated in multiple baseline design across typical peers. The results showed increase in interactions initiated by typical peers and an increase tendency in responding interactions by children with ASD, but those changes were not stable through sessions. There was no increase in the responses of initiating by children with ASD, so there were no opportunities for the typical peers to respond to them. Increase in corresponded interaction, in which the initiation was followed by a response of the target children, was also found. Further, interactions that included playing with toys were observed. Those changes in interactions quality could be evidence of improvement in the inclusive setting dynamic. Moreover, higher concentration of interactions in the first minutes of the sessions, after the video presentations, was found. These results suggest that video modeling might be an effective strategy to teach typical peers in PMIs. The decrease in the frequency of interactions through the session may be due to the low frequency of responses by the children with ASD. Future studies should evaluate the use of feedback during the initial phase of the procedure as a strategy to maintain behavior of the typical peers until the responses of children with ASD are shaped and/or strengthened.
Keywords: autism spectrum disorder, video modeling, peer training, social interactions, socially mediated intervention.
Segundo o DSM-5 (APA, 2013/2014) o autismo deve ser entendido como um espectro, uma ampla gama de variações relativas à presença ou ausência das características e do nível de gravidade do acometimento dentro de um mesmo diagnóstico. Em função dessa diversidade, passou a ser chamado de Transtorno do Espectro Autista (TEA). Conforme o DSM-5, as dificuldades em estabelecer interações sociais e de comunicação podem acarretar problemas no desenvolvimento de repertórios e na aprendizagem de novos comportamentos, especialmente aqueles usualmente aprendidos na convivência com os colegas
A fim de atenuar essas dificuldades, muitas pesquisas têm o objetivo de verificar a eficácia de programas de intervenção nos quais instrutores ensinam diretamente crianças com TEA, por exemplo, por meio do Ensino em Tentativas Discretas ou Ensino Incidental. Alguns pesquisadores, no entanto, têm investigado estratégias alternativas envolvendo pessoas naturalmente presentes na rotina da criança, como pais (Bearss, Johnson, Handen, Smith, & Scahill, 2013) e irmãos (Walton & Ingersoll, 2012). Esse tipo de intervenção é denominado, de modo geral, como socialmente mediado. Os resultados têm indicado que essas estratégias geralmente são eficazes.
Outra estratégia de intervenção socialmente mediada é a realizada por pares. Crianças da mesma idade com desenvolvimento típico são selecionadas e treinadas para facilitar o desenvolvimento de habilidades da criança com TEA (criança-alvo). Atualmente há duas formas de realizar a Intervenção Mediada por Pares (IMP): envolvendo todos os alunos da turma e a criança-alvo (Laushey & Heflin, 2000) ou apenas um número reduzido de pares típicos e a criança-alvo (Jung, Sainato, & Davis, 2008; Katz & Girolametto, 2013). Nesses estudos, os pares típicos são ensinados pelos experimentadores ou professores a interagir de maneiras específicas com a criança-alvo, por exemplo, respondendo a iniciativas de interação, ajudando em brincadeiras e dando feedback durante a atividade (para uma revisão sistemática ver Chan et al., 2009).
As IMPs podem ser aplicadas em diferentes contextos sociais, como escolas, centros de convivência, ginásios, centros de referência de assistência social e outros. Elas geralmente não implicam mudanças drásticas no cotidiano das instituições e não exigem recursos diferenciados, podendo ser realizadas em ambientes de brincadeiras (Mason et al., 2014; Harper, Symon, & Frea, 2008), na sala de aula (Koegel, Kim, Koegel, & Schwartzman, 2013; Jung et al., 2008) em refeitórios (Hughes et al., 2011; Loftin, Odom, & Lantz, 2008) e campos esportivos (Koegel, Vernon, Koegel, Koegel, & Paullin, 2012; Koegel et al., 2013). Kamps, Barbetta, Leonard, e Delquadri (1994) registraram que os professores demonstraram satisfação com a introdução da IMP no contexto escolar. Desse modo, as IMPs podem ser uma estratégia importante para a constituição de ambientes inclusivos.
Entre as variáveis que compõem os procedimentos dos estudos sobre IMP, está a estratégia utilizada para treinar os pares típicos. Alguns exemplos dessas estratégias são: instrução direta sobre como interagir socialmente (Banda, Copple, Koul, Sancibrian, & Bogschutz, 2010; Hughes et al., 2011), uso de cartões com instruções visuais (Ganz & Flores, 2008), role play (Jung et al. 2008), feedback durante as interações (Dugan et al., 1995), automonitoramento (Hughes et al., 2013) e modelação (Kamps, Dugan, Potucek, & Collins, 1999).
É comum encontrar estudos que utilizaram estratégias combinadas para o treino dos pares típicos (por exemplo, Goldstein, Kaczmarek, Pennington, & Shafer, 1992; Pierce & Schreibman, 1995; 1997; Carter, Cushing, Clark, & Kennedy, 2005; Kamps et al., 2014; Battaglia & Radley, 2014).Lee, Odom, e Loftin (2007), por exemplo, em um estudo cujo objetivo era avaliar se um aumento na interação com pares típicos resultaria em redução de comportamento estereotipado de crianças com TEA, utilizaram: discussões verbais sobre a importância de brincar com amigos, modelação in vivo dos comportamentos esperados dos pares, role-play com o professor e prática para treino entre pares com feedback, além de elogios do professor.
Essa combinação de métodos visa ampliar as chances de sucesso da intervenção, entretanto, ela pode representar um obstáculo para a investigação científica do procedimento. Isso porque não permite isolar os componentes responsáveis pelas mudanças de comportamento verificadas nos pares típicos ou nos alunos com TEA. Assim, parece especialmente relevante o planejamento de estudos em que apenas um método de treinamento seja utilizado e que sua aplicação seja consistente entre os participantes e ao longo das sessões.
Nesse sentido, a utilização da modelação em vídeo pode favorecer a padronização da intervenção. Este procedimento consiste em apresentar vídeos contendo interações positivas que se quer ensinar entre duas ou mais pessoas (Delano, 2007). Essas pessoas podem ser adultos, pares ou a própria criança filmada em uma situação anterior. E, na medida em que as mesmas cenas são exibidas para todos os participantes, em uma mesma intensidade e frequência, os possíveis efeitos da intervenção podem ser avaliados de modo uniforme.
De fato, a modelação em vídeo vem sendo utilizada com sucesso no contexto de intervenção com crianças com TEA visando aumentar interações sociais positivas entre essas crianças e seus pares típicos (Nikopoulos & Keenan, 2003; Nikopoulos & Keenan, 2004;Nikopoulos & Keenan, 2007; Nikopoulos, Nikopoulou-Smyrni, & Konstantopoulos, 2013, Wang & Parrila, 2011). Nesses trabalhos, as crianças com TEA assistem aos vídeos contendo exemplos de interações que espera-se que possam desenvolver ou situações nas quais podem se engajar.
Também existem estudos em que a modelação em vídeo foi utilizada como procedimento de ensino eficaz de habilidades sociais para crianças sem diagnóstico de TEA (por exemplo, Green et al., 2013; Lemmon & Green, 2015). Nesses casos, a modelação em vídeo permitiu o fortalecimento das relações entre os colegas e a diminuição de comportamentos disruptivos em sala de aula. Entretanto, não foram encontrados estudos que a tenham utilizado como estratégia de treino de pares típicos em situação de IMP. Nesse caso, seria necessário avaliar se a mudança produzida no comportamento da criança que assiste ao vídeo teria efeitos no comportamento de seu colega com TEA, não exposto à modelação em vídeo.
Essa estratégia de treino de pares típicos teria a vantagem de ser padronizada e poder ser facilmente replicada em diferentes contextos, a partir da disponibilização dos vídeos (Hume, Loftin, & Lantz, 2009). Sendo assim, esta pesquisa teve como objetivo avaliar a utilização da modelação em vídeo como estratégia de ensino de pares típicos em uma IMP visando promover habilidades sociais em crianças com TEA.
Método
Participantes
As crianças-alvo foram escolhidas de acordo com os seguintes critérios: ter sido diagnosticada com TEA (DSM – V), ou nomenclaturas correspondentes das versões anteriores do DSM ou CID-10, por um profissional habilitado, não apresentar comorbidades, nem comportamento auto ou heterolesivo. Participaram da pesquisa dois estudantes do primeiro ano com TEA, Gael e Jean (nomes fictícios).
Gael tinha 6 anos e 7 meses de idade no início da coleta de dados, de acordo com a família foi diagnosticado com Transtorno Invasivo do Desenvolvimento (TID). Durante o período da coleta de dados passava por tratamento medicamentoso com Risperidona e Cloridato de Fluoxetina. Além disso, desde os 2 anos e meio de idade a criança passou por tratamentos de fonoaudiologia, equoterapia, psicoterapia e terapia ocupacional, nenhum deles baseado em Análise Aplicada do Comportamento. O preenchimento do Childhood Autism Rating Scale (CARS - versão em português de Pereira, 2007) com base no relato da família resultou em um escore de 33,5 (autismo leve a moderado) e com base no relato da professora da escola de 43,5 (autismo grave). Por meio de observação dos pesquisadores, constatou-se que a criança, embora produzisse sons, não os emitia com função operante, evitava olhar nos olhos, raramente iniciava interações ou respondia a elas. Além disso, andava na ponta dos pés praticamente todo o tempo.
Jean foi diagnosticado com Autismo aos 4 anos de idade, de acordo com a família, e tinha 6 anos e 11 meses no início da coleta de dados. Estava passando por tratamento medicamentoso com Risperidona e por tratamentos de fonoaudiologia, psicopedagogia e psicanálise. O preenchimento do CARS com base no relato da família resultou em um escore de 39 (autismo grave); o instrumento não foi preenchido com base no relato da auxiliar que o acompanhava na escola. Há que se destacar que a criança não apresentava fala com função operante, embora pudesse emitir sons sem dificuldade. Quanto às relações pessoais, a criança evitava olhar nos olhos, muitas vezes não respondia quando alguém iniciava interação com ela e dificilmente iniciava interações com outras pessoas. Além disso, apresentava estereotipias motoras, especialmente chacoalhando as mãos na altura da cabeça e girando em torno do próprio eixo.
Seis crianças participaram como pares com desenvolvimento típico e pertenciam, respectivamente, às mesmas classes das crianças-alvo. Os participantes eram estudantes regulares de duas escolas da rede pública municipal de Cuiabá - MT.
Os pares típicos tinham idades entre 6 e 8 anos no início da coleta dos dados, identificados pelos nomes fictícios de Ruan, Nina, Bela, Elsa, Maya e Luca. As três primeiras crianças pertenciam ao Grupo 1, o qual tinha Gael como criança-alvo, e as três últimas pertenciam ao Grupo 2, cuja criança-alvo era Jean.
Esses alunos foram selecionados com base em três critérios: (I) não apresentar diagnóstico psiquiátrico; (II) bons resultados em avaliação de status social no contexto da sala de aula; (III) assiduidade e (IV) autorização dos pais ou responsáveis. O status social foi avaliado pelo relato das professoras e dos alunos de acordo com o método de Harrell, Kamps, e Kravits (1997).
Situação e materiais
A coleta dos dados foi realizada nas escolas em que os participantes estudavam. Em uma das escolas foi utilizada a sala de apoio multifuncional e na outra o auditório. Em ambas, o espaço era de aproximadamente 9 m2.
Os materiais disponibilizados aos participantes em todas as etapas do estudo foram dois carrinhos de plástico, uma bola de vinil (tipo dente de leite), dois potes de bolha de sabão, dois animais de pelúcia (um esquilo e uma tartaruga), dois conjuntos de telefones de copos (ligados por barbante) e dois fantoches (uma zebra e um jacaré). Esses brinquedos foram escolhidos para facilitar brincadeiras envolvendo mais de uma pessoa.
Equipamentos e instrumentos
O Childhood Autism Rating Scale (Pereira, 2007) foi utilizado como um guia para entrevistas com os pais, responsáveis ou auxiliares na escola dos participantes com o objetivo de sondar as habilidades gerais das crianças-alvo a fim de que seus repertórios não fossem muito discrepantes entre si.
Outro instrumento utilizado foi o questionário de status social, adaptado do método de Harrell et al. (1997). O questionário era destinado aos pares típicos das turmas das crianças-alvo e às suas professoras. Para as crianças, com o objetivo de avaliar a popularidade dos colegas, havia questões como “diga três colegas da sua sala que você convidaria para o seu aniversário”. O questionário respondido pela professora continha questões sobre complacência, assiduidade, habilidades sociais e linguagem.
Os vídeos utilizados na modelação foram produzidos pela equipe da pesquisa. Ao todo foram nove vídeos com duração mínima de 10 segundos e máxima de 41 segundos. Os atores do vídeo eram os próprios experimentadores, que interagiam utilizando os brinquedos que foram disponibilizados aos participantes durante as sessões. A pessoa que representava a criança com TEA foi a mesma em todas as gravações, chamada de Gabi. Cinco vídeos apresentavam exemplos de pares iniciando interações e quatro apresentavam exemplos de pares respondendo a interações da criança-alvo.
As cenas apresentadas estão descritas na Tabela 1. Os mesmos foram reproduzidos aos participantes por meio de um notebook. O registro das sessões foi realizado com uma câmera GOPRO Hero 3+ Black Edition.

Procedimentos
As crianças com TEA foram pré-selecionadas por meio de um levantamento junto à Secretaria Municipal de Educação de Cuiabá. Os pesquisadores, então, visitaram as escolas em que as crianças estavam matriculadas para pedir autorização para a realização da pesquisa e, uma vez autorizada, realizaram observações das crianças com TEA a fim de verificar se atendiam aos critérios da pesquisa. Após a definição das crianças-alvo, foi realizado o questionário com as crianças de sua sala de aula e com sua professora para seleção dos pares típicos.
Os pais de todas as crianças foram convidados a autorizar a participação da criança assinando o Termo de Consentimento Livre e Esclarecido (TCLE). O projeto de pesquisa foi aprovado pelo Comitê de Ética em Pesquisa sob o Protocolo de n° 30498514.3.0000.5541.
Na fase de linha de base, as crianças foram informadas que teriam um tempo para brincarem entre si. O participante com TEA era levado ao espaço previamente preparado pelos pesquisadores e nenhuma instrução adicional era dada. O tempo concedido para a brincadeira foi de aproximadamente 15 minutos. Quando alguma criança interagia com os pesquisadores, recebia a orientação para voltar a brincar com seus colegas.
Na fase de intervenção, os vídeos passaram a ser apresentados aos pares típicos. Inicialmente apenas um dos pares assistia aos vídeos. Na próxima sessão, dois pares assistiam aos vídeos e, na sessão seguinte, as três crianças com desenvolvimento típico assistiam aos vídeos. A partir de então, nas demais sessões, os vídeos continuavam a ser apresentados a todos os pares típicos do grupo. A sequência detalhada de como os vídeos eram apresentados será descrita no delineamento experimental.
No momento de assistir aos vídeos, a instrução dada aos pares era de que eles veriam vídeos com exemplos de como eles poderiam brincar com o colega com TEA. O experimentador também mostrava à criança qual ator do vídeo representaria a criança-alvo e qual representaria ela mesma ou outro colega da sala. Em seguida, os vídeos eram apresentados em sequência. Após a exibição dos vídeos, as demais crianças do grupo eram convidadas a entrar na sala e a sessão de quinze minutos de brincadeira se iniciava.
Delineamento experimental
Foi utilizado delineamento de linha de base múltipla (Baer, Wolf, & Risley, 1968) entre os pares típicos de cada criança-alvo para avaliar os efeitos da modelação em vídeo como estratégia de treino de habilidades sociais em uma IMP sobre os comportamentos de “iniciar” e “responder à interação”.
Na primeira sessão de intervenção, um dos pares típico iniciava o treinamento assistindo aos vídeos de “Iniciar” (Grupo 1) ou “Responder” (Grupo 2). Na sessão seguinte, o mesmo par complementava seu treinamento vendo os vídeos de “Responder” (Grupo 1) ou “Iniciar” (Grupo 2) e o segundo par recebia treinamento referente aos primeiros vídeos. A seguir, este complementava seu treinamento e o terceiro par assistia aos primeiros vídeos. Na sequência, o terceiro par assistia aos vídeos complementares e encerrava seu treinamento. A partir daí, todos os vídeos eram apresentados às três crianças no início da sessão.
Operacionalização da variável independente
A exibição de nove vídeos foi a variável independente, os quais apresentavam exemplos de interações e poderiam servir de modelo para as crianças com desenvolvimento típico.
Operacionalização da variável dependente
As variáveis dependentes neste estudo foram as classes de respostas de “iniciar interação” e “responder à interação” entre par típico e criança-alvo. Inicialmente, foi adotada a definição de Kamps, Leonard, Vernon, Dugan, e Delquadri (1992), em que interação é um comportamento social recíproco que ocorre como resultado de uma sequência iniciação-resposta claramente direcionados ao par com o objetivo de alcançar uma resposta social. Nessa definição, os comportamentos vocais ou motores que ocorrerem em até três segundos após uma iniciação dos pares são registrados.
Entretanto, no estudo de Kamps et al. (1992), os participantes com TEA apresentavam comportamento verbal vocal e eram capazes de “iniciar interações” com os colegas, ainda que o fizessem com baixa frequência. Considerando que os participantes da presente pesquisa não mantinham respostas vocais funcionais e contato visual, tornou-se necessário ampliar a definição de “responder” visando aumentar a sensibilidade da medida. Os novos critérios de análise estão apresentados na Tabela 2.

Na medida em que os critérios passaram a incluir “olhar para a atividade dos colegas”, “tocar no brinquedo do colega”, etc, foram registradas situações de “responder à interação” mesmo que não tenha havido um “iniciar”. Da mesma forma, ocorreram iniciações que não produziram um “responder”, principalmente por parte da criança com TEA
Como o objetivo da intervenção é aumentar a frequência e melhorar a qualidade das interações, duas novas classes de resposta foram definidas e analisadas: “iniciar e responder correspondido” e “iniciar e responder com brinquedos”. No primeiro caso, foram contabilizadas as respostas de “iniciar” que foram seguidas pelo responder do par ao qual esta se direcionava; bem como as respostas de “responder” que se originaram a partir da iniciação de um par. Nesses casos, o intervalo entre as respostas não deveria ser maior que três segundos e estas deveriam convergir em sua função. Por exemplo, se o par típico entregasse um brinquedo e a criança-alvo o segurasse ou o afastasse, essa interação seria registrada como “iniciar correspondido” – por parte do par típico e “responder correspondido” – por parte da criança alvo.
Além disso, considerou-se que as respostas envolvendo brinquedos representariam interações mais ricas que aquelas em que a criança com desenvolvimento típico se aproximava da criança com TEA para segurá-la, afastá-la ou protegê-la. Foram então registradas separadamente as respostas de “iniciar” e “responder” que envolveram brinquedos.
Análise dos dados e acordo entre observadores
A análise de dados foi realizada por registro contínuo. Os vídeos das sessões foram analisados por duas pesquisadoras, obtendo-se os índices de concordância de 87,8% para “iniciar” e 78,6% para “responder”, no Grupo 1, e 88,5% e 80%, respectivamente, para os mesmos comportamentos no Grupo 2. Nas situações em que houve divergência, um terceiro juiz avaliou as filmagens e classificou as respostas das crianças.
Resultados
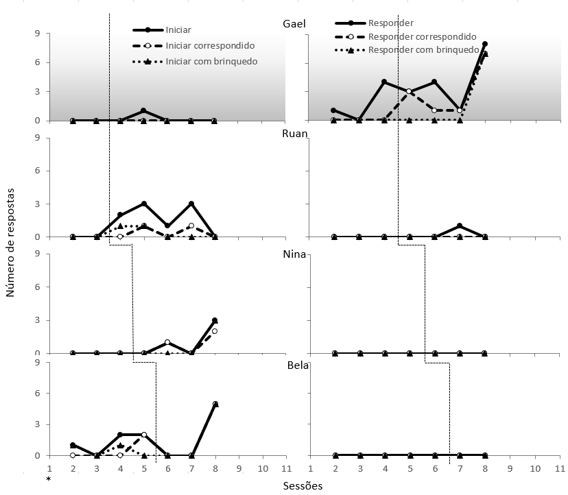
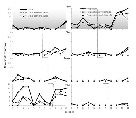
A avaliação dos efeitos da IMP foi realizada por meio das interações entre as crianças-alvo e os outros participantes do grupo. Para isso, foram contabilizadas as respostas de “iniciar interação” e de “responder à interação” e estes dados estão apresentados separadamente para cada criança, sessão a sessão (Figuras 1 e 2). Com o objetivo de analisar como as respostas se distribuíram ao longo da sessão, foi calculada a frequência acumulada minuto a minuto (Figura 3) e total de respostas de interação emitidas em intervalos de três minutos (Figura 4).
Os desempenhos das crianças-alvo, Gael e Jean, estão apresentados nos dois painéis superiores das Figuras 1 e 2, que aparecem sombreados. Os demais painéis se referem aos dados dos pares típicos de cada grupo. A frequência absoluta de ocorrência dos comportamentos de “iniciar interação” (painéis à esquerda) e “responder à interação” (painéis à direita) em cada sessão está representada nos círculos cheios, conectados pela linha contínua. Houve variabilidade no desempenho na linha de base entre as crianças e ao longo das sessões. Esta variabilidade foi mais evidente para os pares do Grupo 2. Para reduzir a interferência desta variável, as sessões de intervenção foram iniciadas primeiro com as crianças que apresentaram o desempenho mais estável na linha de base. A despeito disso, é possível notar aumento na frequência dos comportamentos-alvo (“iniciar” e “responder”) após o início da intervenção em ambos os grupos. Não foram observados efeitos diferenciais da ordem em que os vídeos foram exibidos (de “iniciar” e “responder”) para os pares de cada grupo sobre o seu desempenho nas sessões de intervenção.

Grupo 1. Os painéis na coluna esquerda se referem a respostas de “iniciar interação” e os da direita de
No Grupo 1, assim como no Grupo 2, o aumento de frequência de respostas de “iniciar” é mais evidente para os pares típicos e de “responder” para as crianças-alvo. Entretanto, alguns detalhes podem ser destacados. Ruan (Grupo 1), embora tenha aumentado a frequência de respostas “iniciar” a partir da fase de intervenção, apresentou redução na sessão final ao contrário de Nina e Bela que apresentaram aumento na mesma sessão.
Com relação ao Grupo 2, verifica-se que Elsa, Maya e Luca apresentaram aumento de “iniciar” nas sessões que sucederam o início da intervenção, sendo que somente Maya apresentou posterior redução. A criança-alvo, Jean, apresentou tendência de aumento de frequência de “iniciar” e “responder” nas duas sessões finais.

Grupo 2. Os painéis na coluna esquerda se referem a respostas de “iniciar interação” e os da direita de “responder à interação”.
Foram então contabilizadas as respostas de “iniciar” e “responder” correspondidas pelos pares (linha tracejada com círculos brancos), ou seja, que resultaram em ou decorreram de interações recíprocas entre as crianças. Como essa categoria exige a contraparte dos pares, o número de “responder” da criança-alvo, apresentado no painel superior direito, deve ser igual à soma de respostas de “iniciar” das crianças de desenvolvimento típico, apresentadas nos painéis à esquerda, respectivamente o segundo, terceiro e quarto painéis. Da mesma forma, as respostas correspondidas das crianças de desenvolvimento típico, apresentadas à direita, somadas são idênticas ao número total de respostas de “iniciar” verificado na criança-alvo no painel superior esquerdo.
A análise revelou que, durante a linha de base, as respostas de “iniciar” e “responder” não representavam de fato interações sociais recíprocas. Por exemplo, na sessão dois, as crianças com desenvolvimento típico - Ruan, Nina e Bela - brincavam com bolhas de sabão e fantoches, e Gael (criança-alvo) pareceu interessado e se aproximou para observar. Esse comportamento foi registrado como uma resposta de “responder à interação”, mas não foi resultado de uma intenção deliberada por parte dos pares em engajar o colega com TEA em suas brincadeiras. Outro exemplo, verificado na mesma sessão, foi quando Bela levou um brinquedo até Gael, mas não houve qualquer resposta por parte dele. Nesse caso, verifica-se uma resposta de “iniciar interação” do par, mas que não foi correspondido.
Com a introdução da intervenção, notou-se que as interações recíprocas e com brinquedo aumentaram de frequência, podendo ser classificadas como situações de brincadeiras. Assim que Ruan recebeu intervenção, na quinta sessão, ele emitiu três respostas de “iniciar interação”, todas envolvendo brinquedos. Na mesma sessão, a criança-alvo (Gael) apresentou uma resposta de “iniciar”, se aproximando de Ruan, que estava brincando com a bola.
Na linha de base do Grupo 2, o número total de interações é relativamente mais alto. Entretanto, as interações observadas também não representaram situações de brincadeira, com atuação recíproca e envolvendo brinquedos. Nas sessões três e quatro, por exemplo, os dados quantitativos revelaram que Luca iniciava interações com Jean com frequência. Porém, em uma análise da qualidade dessas interações é possível perceber que seu comportamento visava primariamente a manutenção de Jean dentro do espaço delimitado para a coleta de dados.
Na fase de intervenção, destaca-se a ocorrência de interações representando brincadeiras, que pode ser exemplificado pela sessão 10, em que todos os pares típicos estão passando por intervenção. Nessa sessão, Luca iniciou interação 11 vezes, e obteve reciprocidade da criança-alvo (Jean) em nove. Em outro momento, Elsa estava brincando sozinha com o telefone de copos e Jean se aproximou na tentativa de pegar o brinquedo (“iniciar interação”). Em outra ocorrência, Jean se aproximou de Luca com um ursinho na mão (“iniciar interação”), que respondeu à interação pegando o ursinho. Maya também iniciou uma interação ensinando a Jean a fazer bolhas de sabão e ele respondeu molhando o dedo no brinquedo.
Outra evidência de efeitos da intervenção pode ser obtida a partir do momento no qual as respostas de interação foram realizadas. Como a intervenção consistiu na apresentação de vídeos imediatamente antes do início da sessão, supôs-se que seus efeitos poderiam se manifestar nos minutos iniciais desta. Para avaliar esse ponto, foram agrupados os dados do tempo em que cada resposta ocorreu para todas as crianças do Grupo 1 e do Grupo 2 e apresentados na forma de uma curva de frequência acumulada (Figura 3). As linhas claras apresentam os dados combinados das sessões de linha de base e as linhas escuras apresentam os dados da fase de intervenção.

Para o Grupo 1, na linha de base, as 10 respostas de interação foram distribuídas de maneira regular no tempo das sessões, sem concentrações claras. Nas sessões de intervenção, houve um total de 37 respostas, concentradas principalmente na porção inicial da sessão (primeiro e segundo minutos) e também nos minutos finais.
Para o Grupo 2, na linha de base, foi registrado um total de 98 respostas, distribuídas ao longo de toda a sessão sem concentrações evidentes. Para as sessões de intervenção, houve 125 respostas no total. É possível observar maior concentração de respostas nos minutos iniciais em detrimento do restante da sessão.
Na Figura 4, pode-se observar mais claramente que a distribuição das respostas na linha de base para o Grupo 1 foi regular (entre uma e três respostas) em cada período de três minutos. Nesta fase ocorreram poucas respostas de “iniciar” e “responder” e estas representaram interações não correspondidas. Na fase de intervenção, foram registradas 21 respostas nos três minutos iniciais da sessão, seguidas por três, três, quatro e oito respectivamente nos intervalos subsequentes.
Figura 4 - Apresenta o total de respostas de interação emitidas a cada intervalo de três minutos nas sessões de linha de base (à esquerda) e de intervenção (à direita) para ambos os grupos.

O Grupo 2 emitiu 21 respostas no intervalo inicial da fase de linha de base, seguidos por 15 e 13 respostas nos intervalos seguintes. Entre os minutos 10 e 12, foram emitidas 33 respostas, seguidas por 16 respostas no intervalo final. Essa distribuição parece não indicar regularidade na ocorrência de respostas durante as sessões de linha de base. Na fase de intervenção, verificou-se 47 respostas no primeiro intervalo de três minutos, seguidas por 13, 19, 24 e 22 nos intervalos subsequentes. Nessa etapa há concentração maior de respostas na porção inicial das sessões com uma mudança abrupta na porção seguinte e mudança gradual nos intervalos posteriores.
Discussão
A intervenção produziu efeitos sobre a ocorrência de respostas de “iniciar” por parte dos pares típicos e de “responder” para as crianças alvo em ambos os grupos. Entretanto, o aumento não se manteve constante em todas as sessões e houve variação entre os participantes. Os resultados indicam efeito da intervenção na primeira sessão para algumas crianças, por exemplo Ruan (Grupo 1), Elsa e Maya (Grupo 2). Para Nina e Bela (Grupo 1), o aumento ocorreu após algumas sessões. E, no caso de Luca (Grupo 2), a variabilidade da linha de base torna difícil avaliar o efeito da variável independente.
A intervenção não produziu resultados sobre a habilidade de “iniciar interações” nas crianças-alvo e, por consequência, na habilidade de “responder a interações” dos pares com desenvolvimento típico. Apenas Jean (Grupo 2) passou a “iniciar interações” nas duas últimas sessões da coleta de dados, o que pode indicar que, com maior exposição à intervenção, a criança teria a oportunidade de desenvolver esse repertório.
Algumas limitações metodológicas do presente trabalho dificultam a avaliação dos resultados e sua comparação com outros estudos sobre IMP. O número total de sessões realizadas foi significativamente menor que o verificado em outros trabalhos. O estudo em que se verificou menor número de sessões foi Laushey e Heflin (2000), com 16 sessões. Pierce e Schreibman (1997), Carter et al. (2005) e Katz e Girolametto (2013) realizaram mais de 20. Pelo menos 30 sessões ocorreram nos trabalhos de McGee, Almeida, Sulzer‐Azaroff, e Feldman (1992),Pierce e Schreibman (1995) e Battaglia e Radley (2014). E Goldstein, et al. (1992), bem como Kamps et al. (1992), realizaram mais de 50. No presente estudo, por razões relacionadas ao cotidiano escolar e às condições da coleta, um dos grupos realizou apenas oito sessões e o outro realizou 11. Com isso, não foi possível obter estabilidade na linha de base para todos os participantes, e nem acompanhar os efeitos do procedimento no longo prazo.
Outro aspecto que deve ser considerado diz respeito ao delineamento utilizado. Tradicionalmente, estudos sobre IMP utilizam linha de base múltipla entre crianças-alvo (Goldstein et al., 1992; Kamps et al., 1992; McGee et al., 1992; Kamps et al., 1994;Pierce & Schreibman, 1995; Koegel, Fredeen et al., 2012; Katz & Girolametto, 2013). Apenas um estudo realizou linha de base múltipla entre pares típicos (Pierce & Schreibman, 1997), mas, nesse estudo, a intervenção era conduzida em díades compostas por uma criança com TEA e um par. No presente estudo, com grupos de quatro crianças, o delineamento entre pares típicos produziu um efeito de concorrência nas interações. Na medida em que um par passava mais tempo com a criança-alvo, outros pares deixavam de ter acesso a ela. No Grupo 1, por exemplo, nas sessões em que a frequência de “iniciar” das meninas aumentou, a de Ruan foi reduzida.
É importante registrar que a maior parte dos estudos avaliando a eficácia da IMP envolveu participantes com TEA considerados de alto funcionamento, com capacidades comunicativas e desenvolvimento cognitivo próximo à média (por exemplo, Ganz & Flores, 2008; Harper et al., 2008; Koegel, Fredeen et al., 2012; Loftin et al., 2008; Mason et al., 2014; Owen-DeSchryver, Carr, Calle, & Blakely-Smith, 2008; Schmidt & Stichter, 2012). Desse modo, os participantes com TEA apresentavam a capacidade de “iniciar” e “responder a interações” em seu repertório previamente ao estudo, ainda que frequentemente ficassem a sós ou exibissem comportamentos inadequados (Kamps et al., 1992). Nos estudos envolvendo participantes com habilidades de nível moderado a baixo, estes geralmente eram adolescentes (Hughes et al., 2011; 2013; Carter et al., 2005), assim, apesar das limitações de repertório, seu pares com desenvolvimento típico tem maior flexibilidade e disponibilidade para lidar com a situação.
Neste trabalho, as crianças com TEA tinham um repertório comunicativo muito limitado, não emitindo palavras ou frases, nem chamando os colegas pelo nome. Nas sessões de linha de base, essas crianças não se aproximavam dos colegas e também não utilizavam brinquedos, passando a maior parte do tempo isoladas e com comportamentos estereotipados. Mesmo nos casos em que os pares típicos iniciavam interações, estas raramente eram correspondidas. Por diversas vezes, as crianças-alvo não reagiam ou se afastavam. Essa dinâmica pode explicar o padrão de distribuição das respostas no decorrer de cada sessão.
Ao assistir aos vídeos, o par típico tentaria aproximações de seu colega com TEA, mas, como este não corresponderia a suas iniciações, este tenderia a se afastar após os minutos iniciais da sessão. Nessa situação, a ausência de consequências naturais pode explicar o padrão de diminuição no número de respostas a partir do quarto minuto. E seria indicativo de que, com essa população, haveria necessidade de utilização de reforçadores extrínsecos na fase de aquisição.
Como não há estudos prévios em que se tenha utilizado a modelação em vídeo para o treino de pares típicos, não é possível avaliar essa hipótese. Além disso, os estudos de IMP nos quais os participantes são crianças com TEA de grau moderado a grave não registraram o responder ao longo da sessão, mas apenas o total de interações ou a duração destas em cada sessão (Pierce & Schreibman, 1995; 1997).
Nesses estudos, Pierce e Schreibman (1995; 1997) trabalharam com crianças de sete a dez anos que apresentam pouca comunicação verbal, mas eram capazes de emitir frases curtas, perguntas e pedidos. As autoras registraram intervalos de tempo das respostas de iniciar conversação, se engajar em brincadeiras e manter a atenção conjunta. Em seus resultados, verifica-se que o aumento das respostas de iniciar conversação ou brincadeira foi lento e gradual ao longo de cerca de vinte sessões. As respostas de responder à interação, entretanto, apresentam um aumento desde as primeiras sessões de intervenção. Nesse sentido, apesar de realizar poucas interações, as crianças com TEA desse estudo eram capazes de corresponder às iniciações dos colegas.
Ainda com o intuito de explorar os efeitos da variável independente, foram registradas as interações envolvendo brinquedos. Isso se deve ao fato de que os modelos apresentados nos vídeos envolviam brinquedos, de modo que, caso as crianças com desenvolvimento típico estivessem sob controle disso, elas provavelmente reproduziriam esse padrão. Essa análise demonstrou ser especialmente útil para avaliar o desempenho de Luca, do Grupo 2. Essa criança apresentava alta frequência de “iniciar” na linha de base, entretanto, as respostas envolvendo brinquedos representavam menos da metade desse total. Na fase de intervenção, por outro lado, praticamente todas as interações tinham a finalidade de introduzir Jean nas brincadeiras.
Um dos aspectos investigados no presente trabalho foi a utilização de vídeos contendo episódios de “iniciar interação” e retratando episódios de “responder à interação” separadamente. Essa estratégia visava comparar os efeitos produzidos pelos dois tipos de vídeos no repertório das crianças típicas. Entretanto, os comportamentos de “responder” exigiam iniciação por parte da criança-alvo e, dadas as características do repertório de Jean e Gael, estes raramente apresentavam essa iniciativa. Desse modo, não foram constatadas diferenças no desempenho das crianças nas sessões com um ou outro tipo de vídeos; bem como entre os grupos que iniciaram sua intervenção pelos vídeos de “iniciar” ou de “responder”.
Apesar das limitações descritas anteriormente, os dados são promissores no que concerne à efetividade da IMP para crianças com TEA que apresentam habilidades comunicativas limitadas. Nesse sentido, estudos futuros devem continuar focalizando essas populações, com vistas à constituição de métodos efetivos nos seus objetivos de ampliação de repertório e cuja aplicação seja viável em diferentes contextos.
Referências
American Psychiatric Association. (2014). Manual diagnóstico de transtornos mentais: DSM-5 (M. I. C. Nascimento et al., Trad.). Porto Alegre: Artmed. Publicado originalmente em 2013.
Baer, D. M., Wolf, M. M., & Risley, T. R. (1968). Some current dimensions of applied behavior analysis. Journal of Applied Behavior Analysis, 1(1), 91-97. doi:10.1901/jaba.1968.1-91
Banda, D.R., Copple, K.S., Koul, R.K., Sancibrian, S.L., & Bogschutz, R.J. (2010). Video modelling interventions to teach spontaneous requesting using AAC devices to individuals with autism: A preliminary investigation. Disability and Rehabilitation, 32, 1364-1372. doi:10.3109/09638280903551525
Battaglia, A. A., & Radley, K. C. (2014). Peer mediated interventions for children with autism spectrum disorders. Beyond Behavior, 23, 4-13. doi:10.1177/107429561402300202
Bearss, K., Johnson, C., Handen, B., Smith, T. & Scahill, L. (2013) A pilot study of parent training in young children with autism spectrum disorders and disruptive behavior. Journal of Autism & Developmental Disorders. 43(4), 829–840. doi:10.1007/s10803-012-1624-7
Carter, E. W., Cushing, L. S., Clark, N. M., & Kennedy, C. H. (2005). Effects of peer support interventions on students' access to the general curriculum and social interactions. Research and Practice for Persons with Severe Disabilities, 30(1), 15-25. doi: 10.2511/rpsd.30.1.15
Chan, J.M., Lang, R., Rispoli, M., O’Reilly, M., Sigafoos, J. & Cole, H. (2009). Use of peer-mediated interventions in the treatment of autism spectrum disorders: A systematic review. Research in Autism Spectrum Disorders, 3, 876-889. doi:10.1016/j.rasd.2009.04.003
Delano, M. E. (2007). Video modeling interventions for individuals with autism. Remedial and Special Education 28, 33-42. doi:10.1177/07419325070280010401
Dugan E., Kamps D., Leonard B., Watkins N., Rheinberger, A., & Stackhaus J. (1995) Effects of cooperative learning groups during social studies for students with autism and fourth-grade peers. Journal of Applied Behavior Analysis, 28, 175–188. doi:10.1901/jaba.1995.28-175
Ganz, J. B., & Flores, M. M. (2008). Effects of the use of visual strategies in play groups for children with autism spectrum disorders and their peers. Journal of Autism and Developmental Disorders 38, 926–940. doi:10.1007/ s10803-007-0463-4
Goldstein, H., Kaczmarek, L., Pennington, R., & Shafer, K. (1992). Peer‐mediated intervention: Attending to, commenting on, and acknowledging the behavior of preschoolers with autism. Journal of Applied Behavior Analysis, 25(2), 289-305. doi:10.1901/jaba.1992.25-289
Green, S.A., Rudie, J.D., Colich, N.L., Wood, J.J., Shirinyan, D., Hernandez, L., Totenham, N., Dapretto, M., Bookheimer, S.Y., (2013). Overreactive brain responses to sensory stimuli in youth with autism spectrum disorders. Journal of the American Academy of Child and Adolescent Psychiatry, 52 (11), 1158–1172. doi:10.1016/j.jaac.2013. 08.004
Harper, C. B., Symon, J. B. G., & Frea, W. D. (2008). Recess is time-in: Using peers to improve social skills of children with autism. Journal of Autism and Developmental Disorders, 38, 815–826. doi:10.1007/s10803-007-0449-2
Harrell, L. G., Kamps, D., & Kravits, T. (1997). The effects of peer networks on social communicative behaviors for students with autism. Focus on Autism and Other Developmental Disabilities, 12(4), 241-256. doi:10.1177/108835769701200406
Hughes, C., Golas, M., Cosgriff, J., Brigham, N., Edwards, C., & Cashen, K. (2011). Effects of a social skills intervention among high school students with intellectual disabilities and autism and their general education peers. Research and Practice for Persons with Severe Disabilities, 36(1), 46–61. doi:10.2511/rpsd.36.1-2.46
Hughes, C., Harvey, M., Cosgriff, J., Reilly, C., Heilingoetter, J., Brigham, N., Kaplan, L., & Bernstein, R. (2013). A peer-delivered social interaction intervention for high school students with autism. Research and Practice for Persons with Severe Disabilities, 38(1), 1-16. doi:10.2511/027494813807046999
Hume, K., Loftin, R., & Lantz, J. (2009). Increasing independence in autism spectrum disorders: A review of three focused interventions. Journal of Autism and Developmental Disorders, 39(9), 1329-1338. doi:10.1007/s10803-009-0751-2
Jung, S., Sainato, D.M., & Davis, C. A. (2008) Using high-probability request sequences to increase social interactions in young children with autism. Journal of Early Intervention, 30(3),163–187. doi:10.1177/1053815108317970
Kamps, D. M., Barbetta, P. M., Leonard, B. R., & Delquadri, J. (1994). Classwide peer tutoring: An integration strategy to improve reading skills and promote peer interactions among students with autism and general education peers. Journal of Applied Behavior Analysis, 27(1), 49-61. doi:10.1901/jaba.1994.27-49
Kamps, D. M., Dugan, E., Potucek, J., & Collins, A. (1999). Effects of cross-age peer tutoring networks among students with autism and general education students. Journal of Behavioral Education, 9, 97–115. doi:10.1023/A:1022836900290
Kamps, D. M., Leonard, B. R., Vernon, S., Dugan, E. P., & Delquadri, J. C. (1992). Teaching social skills to students with autism to increase peer interactions in an integrated first-grade classroom. Journal of Applied Behavior Analysis, 25, 281–288. doi:10.1901/jaba.1992.25-281
Kamps, D., Thiemann-Bourque, K., Heitzman-Powell, L., Schwartz, I., Rosenberg, N., Mason, R., & Cox, S. (2014). A comprehensive peer network intervention to improve social communication of children with autism spectrum disorders: a randomized trial in kindergarten and first grade. Journal of Autism and Developmental Disorders, 45(6), 1809-1824. doi:10.1007/s10803-014-2340-2
Katz, E. & Girolametto, L. (2013). Peer-Mediated Intervention for Preschoolers With ASD Implemented in Early Childhood Education Settings. Topics in Early Childhood Special Education, 33(3), 133-143. doi:10.1177/0271121413484972
Koegel, L. K., Vernon, T. W., Koegel, R. L., Koegel, B. L., & Paullin, A. W. (2012). Improving social engagement and initiations between children with autism spectrum disorder and their peers in inclusive settings. Journal of Positive Behavior Interventions, 14(4), 220-227. doi:10.1177/1098300712437042
Koegel, R. L., Fredeen, R., Kim, S., Danial, J., Rubinstein, D., & Koegel, L. K. (2012). Using perseverative interests to improve interactions between adolescents with autism and their typical peers in school settings. Journal of Positive Behavior Interventions, 14(3), 133–141. doi:10.1177/1098300712437043
Koegel, R., Kim, S., Koegel, L., & Schwartzman, B. (2013). Improving socialization for high school students with ASD by using their preferred interests. Journal of Autism and Developmental Disorders, 43(9), 2121-2134. doi:10.1007/s10803-013-1765-3
Laushey, K. M., & Heflin, L. J. (2000). Enhancing social skills of kindergarten children with autism through the training of multiple peers as tutors. Journal of Autism and Related Disorders, 30, 183-193. doi:10.1023/A:1005558101038
Lee, S., Odom, S. L., & Loftin, R. (2007). Social engagement with peers and stereotypic behavior of children with autism. Journal of Positive Behavior Intervention, 9, 67-79. doi:10.1177/10983007070090020401
Lemmon, K. H., & Green, V. A. (2015). Using video self-modeling and the peer group to increase the social skills of a preschool child. Zealand Journal of Psychology, 44(2), 68-78.
Loftin, R. L., Odom, S. L., & Lantz, J. F. (2008). Social interaction and repetitive motor behaviors. Journal of Autism and Developmental Disorders, 38(6), 1124-1135. doi:10.1007/s10803-007-0499-5
Mason, R., Kamps, D., Turcotte, A., Cox, S., Feldmiller, S., & Miller, T. (2014). Peer mediation to increase communication and interaction at recess for students with autism spectrum disorders. Research in Autism Spectrum Disorders, 8(3), 334-344. doi:10.1016/j.rasd.2013.12.014
McGee, G. G., Almeida, M. C., Sulzer‐Azaroff, B., & Feldman, R. S. (1992). Promoting reciprocal interactions via peer incidental teaching. Journal of Applied Behavior Analysis, 25(1), 117-126. doi:10.1901/jaba.1992.25-117
Nikopoulos, C.K., & Keenan, M. (2003). Promoting social initiation in children with autism using video modeling. Behavioral Interventions, 18, 87-108. doi:10.1002/bin.129
Nikopoulos, C. K., Nikopoulou-Smyrni, P., & Konstantopoulos, K. (2013). Effects of video modelling on emerging speech in an adult with traumatic brain injury: Preliminary findings. Brain Injury, 27(11), 1256-1262. doi:10.3109/02699052.2013.809550
Nikopoulos, C.K., & Keenan, M. (2004). Using video modelling to teach complex social sequences to children with autism. Journal of Positive Behavior Interventions, 5(1), 5-11. doi:10.1177/10983007030050010801
Nikopoulos, K. C., & Keenan, M. (2007). Using videos modeling to teach complex social sequences to children with autism. Journal Autism Developmental Disorder, 37, 678-693. doi:10.1007/s10803-006-0195-x
Owen-DeSchryver, J. S., Carr, E. G., Calle, S. I., & Blakely-Smith, A. (2008). Promoting social interactions between students with autism spectrum disorders and their peers in inclusive school settings. Focus on Autism and Other Developmental Disorders, 23, 15–28. doi:10.1177/1088357608314370
Pereira, A. M. (2007). Autismo infantil: tradução e validação da CARS para uso no Brasil (Dissertação de mestrado, Programa de Pós-Graduação em Ciências Médicas: Pediatria, Universidade Federal do Rio Grande do Sul). Recuperado de http://hdl.handle.net/10183/12936.
Pierce, K., & Schreibman, L. (1995). Increasing complex social behaviors in children with autism: Effects of Peer‐implemented pivotal response training. Journal of Applied Behavior Analysis, 28(3), 285-295. doi:10.1901/jaba.1995.28-285
Pierce, K., & Schreibman, L. (1997). Multiple peer use of pivotal response training to increase social behaviors of classmates with autism: Results from trained and untrained peers. Journal of Applied Behavior Analysis, 30(1), 157-160. doi:10.1901/jaba.1997.30-157
Schmidt, C., & Stichter, J. P. (2012). The use of peer-mediated interventions to promote the generalization of social competence for adolescents with high-functioning autism and Asperger’s syndrome. Exceptionality, 20(2), 94–113. doi:10.1080/09362835.2012.669303
Walton, K. M., & Ingersoll, B. R. (2012). Evaluation of a sibling-mediated imitation intervention for young children with autism. Journal of Positive Behavior Interventions, 14(4), 241- 253. doi:10.1177/1098300712437044
Wang, S., Cui, Y., & Parrila, R. (2011). Examining the effectiveness of peer-mediated and video-modeling social skills interventions for children with autism spectrum disorders: A meta-analysis in single-case research using HLM. Research in Autism Spectrum Disorders, 5, 562-569. doi:10.1016/j.rasd.2010.06.023
Notas