Emergência de relações auditivo-visuais via treino por CRMTS para crianças com TEA
Emergence of auditory-visual relations via CRMTS training with children diagnosed with ASD
Emergência de relações auditivo-visuais via treino por CRMTS para crianças com TEA
Acta Comportamentalia: Revista Latina de Análisis de Comportamiento, vol. 26, núm. 3, pp. 347-362, 2018
Universidad Veracruzana
Recepción: 04 Mayo 2017
Aprobación: 22 Febrero 2018
Resumo: Pessoas diagnosticadas com autismo podem apresentar dificuldades na discriminação de estímulos auditivos. Pesquisas anteriores sugerem que o treino discriminativo com consequências específicas auditivas pode auxiliar na aquisição desse tipo de repertório. O presente estudo verificou a emergência de relações de controle auditivo-visual após treino visual-visual de construção de sentenças através de CRMTS com consequências auditivas. Quatro crianças participaram do estudo. Elas haviam sido previamente diagnosticadas com TEA, tinham idades entre 6 e 8 anos e um repertório prévio de leitura e escrita de 12 sentenças. Relações auditivo-visuais com essas sentenças foram testadas durante a linha de base (melodias ou vozes como modelo para a construção das sentenças). Em seguida, foi realizado o treino visual-visual (animações como modelo para a construção de quatro das 12 sentenças) com consequências auditivas (melodias ou vozes). Ao final de cada sessão de treino, as consequências auditivas eram apresentadas como modelo para a construção das 12 sentenças. Duas das quatro crianças demonstraram desempenho acima de 80% para as relações auditivo-visuais avaliadas. Os resultados estendem os achados da literatura quando demonstram a efetividade do uso de CRMTS com consequências auditivas específicas para a emergência de relações auditivo-visuais com pessoas com TEA. Este estudo apresenta como avanço a demonstração da expansão de classes com consequências específicas utilizando respostas de maior custo e construção de sentenças.
Palavras-chave: Controle de estímulos, CRMTS, reforçadores específicos, relações auditivo-visuais, TEA.
Abstract: People diagnosed with autism may have difficulties in discriminating auditory stimuli. Previous researches suggest that training discriminative repertoire with auditory specific consequences may help in the acquisition of such, particularly through the inclusion of the consequent auditory stimuli in equivalence classes. When it comes to discriminative repertoires involving sentence construction, such kind of results were never documented in the literature. Therefore, this study verified the emergence of auditory-visual control relations after visual-visual sentence construction training through CRMTS using auditory consequences. Four children participated. They had been previously diagnosed with ASD, with ages between 6 and 8 years old, and could perform a pre-requisite reading and writing repertoire. The Assessment of Basic Learning Skills (ABLA) and the Peabody Vocabulary Test – III (PPVT) were used to assess, consecutively, their discriminative and listener repertoire. A multiple-baseline design across participants was used to assess the effects of the independent variable over the dependent variable. As pre-requisites, the participants should follow instructions, perform at least 80% at a pre-test probe (reading and writing test) and should not present Self-Injurious Behavior. At the reading and writing test, participants were exposed twice to each one of the 12 trials on reading and constructing phrases. After the pre-test, participants were tested for sensorial defensiveness to auditory stimuli. They were exposed to several songs (either instrumental or voiced) presented at a laptop. Vocal utterances, hands over ears, and facial expressions were recorded, as well as if the children looked to the sound source (and for how long). During the baseline, auditory-visual relations with the training sentences were tested (melodies or voices as sample stimuli for constructing sentences), and a table top procedure was used to present the related stimuli. After a pre-training designed to teach visual-visual and auditory-visual relations (with different stimuli used only during this task), a visual-visual training was performed (using animations as sample stimuli for construction of four from the 12 previously tested sentences) with auditory consequences (melodies or voices), using the Proler® software. The software recorded the right and wrong responses, and a second experimenter watched the sessions (which were videotaped) in order to perform an interobserver agreement of the baseline sessions, which resulted in 99% agreement. By the end of each training session, auditory consequences were presented as sample stimuli for the construction of 12 sentences. As results, two out of four children showed performance accuracy above 80% to auditory-visual relations. Results extend the findings reported in the literature while demonstrate the effectiveness of using CRMTS with auditory class-specific consequences for the emergence of auditory-visual relations with people diagnosed with ASD, if compared to the traditional MTS procedures. Also, this research debates the predictive potential of the ABLA assessment, when it comes to more complex repertoires, which involve tasks that are more distant from the MTS-model. This study contributes to the field documenting class expansion using specific consequences involving high cost responses and sentence construction.
Keywords: Stimulus control, CRMTS, specific reinforcers, auditory-visual relations, ASD.
Pessoas diagnosticadas com Transtorno do Espectro do Autismo (TEA), especialmente aquelas que apresentam um comprometimento de moderado a severo no desenvolvimento do repertório verbal, podem ter dificuldades de aprendizagem de relações arbitrárias, em particular relações auditivo-visuais (Green, 2001). Estudos têm apontado a possibilidade de se obterem discriminações auditivo-visuais com essa população através da inclusão de estímulos auditivos em classes de equivalência (Monteiro & Barros, 2016; Varella & Souza, 2014; 2015). Esses estudos têm relatado o uso de contingencias de treino com consequências auditivas específicas para as classes potenciais. A apresentação de consequências específicas possibilita a inclusão desses estímulos consequentes nas classes de equivalência (Sidman, 2000). Assim, relações auditivo-visuais podem emergir a partir de uma linha de base de relações visuais. O procedimento de consequências específicas auditivas, logo, pode ser vantajoso por permitir ensinar relações envolvendo estímulos auditivos sem expor os participantes a treino direto de relações auditivo-visuais, o que pode acarretar muitos erros.
Os primeiros estudos sobre a inclusão de estímulos consequentes nas classes de equivalência datam da década de 80 (Dube, McIlvane, Mackay, & Stoddard, 1987; Dube, McIlvane, Maguire, Mackay, & Stoddard, 1989). Esse procedimento inovador contribuiu para se contornar dificuldades para se estabelecer relações condicionais arbitrárias entre estímulos visuais, na medida em que estudos subsequentes (Dube & McIlvane, 1995; Schenk, 1994) mostraram a formação de classes de equivalência a partir de treinos de linha de base de emparelhamento por identidade (por exemplo, AA e BB) com consequências específicas auditivas. Um passo adiante foi dado quando esse conjunto de estudos contribuiu para que se contornassem dificuldades de aquisição de discriminações arbitrárias auditivo-visuais (e.g. Varella & Souza, 2014).
A inovação procedimental, portanto, consiste em basear a formação de classes em treinos de emparelhamento por identidade, ou discriminações simples, com consequências auditivas específicas para as classes potenciais (por exemplo, C1 e C2) e avaliar a inclusão dessas consequências específicas nas classes (com base em testes de emergência de relações arbitrárias auditivo-visuais CA e CB, nesse exemplo). Outros estudos recentes têm confirmado a viabilidade desse tipo de procedimentos para obter formação de classes de equivalência em pessoas diagnosticadas com TEA (Barros, Lionello De-Nolf, Dube, & McIlvane, 2006; Santos, Nogueira, Queiroz, & Barros, 2017; Kataoka, 2015, Estudo 1).
Essas alternativas de procedimento derivam da expansão do modelo empírico inicial de 1982 (Sidman & Tailby, 1982) apresentada por Sidman (2000) ao considerar que classes de equivalência seriam formadas por todos os elementos positivamente relacionados nas contingências de reforços, incluindo as respostas e os reforçadores, desde que específicos das classes. Esses estudos, portanto, abriram a possibilidade de se abordar a dificuldade em se obter discriminações auditivo-visuais em crianças diagnosticadas com TEA, agora sob a perspectiva da formação de classes de equivalência.
A inclusão de estímulos auditivos não vocais (como melodias musicais) é um ponto importante dessa trajetória (Varella & Souza, 2014). Varella e Souza (2015) e Monteiro e Barros (2016) também avaliaram a possibilidade de obtenção de relações auditivo-visuais via formação de classes de equivalência, desta vez com sons de fala humana como estímulos auditivos. A avaliação da extensão do procedimento adotado por Varella e Souza (2014), agora para a inclusão de sons de fala como estímulos auditivos em classes equivalência, pode confirmar o potencial aplicado desse tipo de procedimento como uma importante forma de aprendizagem repertórios simbólicos, principalmente para crianças diagnosticadas com TEA.
Varella e Souza (2015) obtiveram, através da formação de classes de equivalência, discriminações auditivo-visuais com uma criança diagnosticada com TEA onde os estímulos auditivos eram os nomes falados de letras (por exemplo, “EFE”, “GÊ, “AGÁ”) e os estímulos visuais eram letras impressas maiúsculas e minúsculas (F, f, G, g, H, h). Todas as possíveis relações arbitrárias potencialmente emergentes foram pré-testadas. O treino iniciou com MTS de identidade com letras (por exemplo, maiúsculas) como estímulos modelo e comparação e os nomes falados das letras (acompanhados da apresentação da mesma letra, mas na forma minúscula) como consequências específicas. Então foram testadas todas as recombinações dos elementos relacionados. Os dados mostraram a emergência de todas as relações arbitrárias testadas, incluindo as auditivo-visuais (nome-maiúscula, nome-minúscula).
Nessa mesma direção, Monteiro e Barros (2016) avaliaram a obtenção de discriminações auditivo-visuais envolvendo os nomes falados de países (Conjunto S) e suas bandeiras (Conjunto A) e mapas (Conjunto B). Para isso, as palavras faladas foram incluídas em classes de equivalência como consequências específicas em treino de relações de identidade entre mapas (AA) e entre bandeiras (BB), usando o procedimento de MTS da mesma forma que os estudos anteriormente descritos. Além de testarem a emergência de relações visuais-visuais (AB e BA), eles testaram relações auditivo-visuais envolvendo a palavra falada (nome do país) e os estímulos visuais (SA e SB). Participaram do estudo quatro crianças diagnosticadas com TEA com diferentes repertórios discriminativos. Os dois participantes que alcançaram Nível 6 no teste ABLA (Assessment of Basic Learning Abilities - DeWiele & Martin, 1998) mostraram emergência tanto das relações visuais quanto auditivo-visuais, confirmando achados de pesquisas anteriores, desta vez com sons de palavras inteiras. Adicionalmente, esses achados confirmaram o potencial aplicado desse procedimento para o desenvolvimento de repertórios discriminativos auditivo-visuais caracterizados como relações verbais em crianças diagnosticadas com TEA. Tanto no estudo de Varella e Souza (2015) quanto de Monteiro e Barros (2016), o repertório final de discriminações auditivo-visuais é repertório de ouvinte por seleção: apontar a figura correspondente ao ouvir seu nome falado.
Os dados das pesquisas aqui descritas dão suporte para o desenvolvimento de procedimentos promissores a fim de se obter relações auditivo-visuais envolvendo palavras faladas como parte do repertório simbólico. A continuidade dessa linha de estudos requer a avaliação da emergência de relações auditivo-visuais envolvendo estímulos mais complexos, como palavras mais extensas ou sentenças, por exemplo. Ainda não há na literatura, por exemplo, relatos de obtenção de relações auditivo-visuais como construção de sentenças sob controle de estímulos auditivos como palavras faladas, através do mesmo tipo de procedimento dos estudos acima descritos.
Relações envolvendo tarefas com cadeias de respostas (respostas de maior custo do que uma única resposta de seleção) e estímulos mais complexos na emergência de relações auditivo-visuais ainda são um campo a ser investigado. Uma tarefa que envolve cadeias de resposta pode ser realizada através do procedimento de emparelhamento de acordo com o modelo com resposta construída (Constructed Response Matching to Sample - CRMTS). O CRMTS é uma variação do MTS. Ele consiste em, na presença de uma determinada figura, palavra impressa ou falada, selecionar letras ou sílabas, apresentadas como estímulos de comparação (Mackay & Sidman, 1984). Geralmente, as respostas exigidas são de apontar as letras/sílabas correspondentes na ordem correta, compondo assim uma palavra. O mesmo também pode ser apresentado para a composição de sentenças, onde a seleção de palavras na ordem correta produz a construção de frases.
O presente estudo teve por objetivo avaliar a possibilidade de se obter a emergência de construção de sentenças sob controle de palavras faladas como estímulos-modelo auditivos após treino visual-visual por meio de CRMTS com consequências auditivas (palavras faladas) específicas para as classes potenciais. Especificamente, o procedimento avaliou a emergência de relações auditivo-visuais (e.g. entre a palavra falada “afirmativa” e a construção de uma sentença na forma afirmativa “o sapo pula”) após treino visual-visual (e.g. animação de um sapo pulando e a construção da sentença “o sapo pula”) com consequências auditivas específicas (e.g. a palavra falada “afirmativa”) pareadas com estímulos preferidos dos participantes em uma tarefa de CRMTS. A intervenção foi realizada após teste das relações auditivo-visuais em linha de base e pré-treino de MTS visual-visual (entre figuras) com consequências auditivas (sons ou palavras faladas), além da reversão de função dos estímulos (as consequências auditivas eram apresentadas como modelo para a seleção das figuras).
Método
Participantes
Participaram do estudo quatro crianças diagnosticadas com autismo e idades entre 6 e 8 anos. Todos os participantes foram avaliados quanto ao repertório discriminativo através do teste ABLA (DeWiele & Martin, 1998). O repertório de ouvinte também foi avaliado por meio do Peabody Picture Vocabulary Test - III (PPVT – Dunn & Dunn, 1997). Os dados são apresentados na Tabela 1.
Após verificar se cada criança atendia aos critérios de seleção (descritos a seguir), os responsáveis eram informados sobre os procedimentos da pesquisa e um Termo de Consentimento Livre e Esclarecido era assinado autorizando a participação do aluno no estudo (conforme exigência do Conselho Nacional de Saúde – Resolução no510/2016). O projeto foi aprovado (Parecer no 405.206 de 24/09/2013 – CEP-ICS/UFPA) pelo comitê de ética em pesquisa com humanos.
Critérios de seleção dos participantes
Os participantes deveriam apresentar repertório de seguimento das instruções utilizadas pela experimentadora (ver procedimento), sem comportamentos de autoagressão, e obter um desempenho maior que 80% de acertos no Pré-teste. Participaram somente crianças que não apresentavam respostas de defensividade sensorial a estímulos auditivos (e.g. colocar as mãos sobre os ouvidos), com base em teste de exposição a estímulos auditivos.
Levando-se em conta que o procedimento exige um repertório de leitura e escrita de sentenças, os participantes foram submetidos a um pré-teste que consistiu na leitura e construção das 12 frases a serem ensinadas e testadas (ver na seção de Estímulos). Cada frase foi apresentada duas vezes. Primeiramente foi realizado o teste de construção das sentenças condicionalmente ao modelo auditivo e, em todas tentativas, a palavra “não” estava presente na área de escolha, o que garantia que todas as exposições continham a mesma quantidade de estímulos. Em seguida, as mesmas frases foram apresentadas como modelo impresso para que as crianças as lessem. As tentativas foram intercaladas com tentativas de leitura e escrita de palavras (as mesmas utilizadas na formação das sentenças), as quais foram consequenciadas com elogios e brinquedos diversos. Não houve consequências programadas para as tentativas envolvendo sentenças.
| P1 | P2 | P3 | P4 | |
| IDADE Anos/meses | 8/2 | 8/4 | 8/11 | 6/6 |
| PRÉ-TESTE DE LEITURA | 100% | 100% | 100% | 100% |
| PRÉ-TESTE DE CONSTRUÇÃO | 92% | 100% | 83% | 100% |
| ABLA-R | Nível 6 | Nível 6 | Nível 6 | Nível 6 |
| PPVT Anos/meses | 4 | 5/8 | 2/5 | 4/4 |
Ambiente experimental, equipamento e estímulos
A coleta de dados foi conduzida em uma sala com isolamento acústico, iluminada artificialmente e climatizada. Durante a linha de base e os pré-testes, foi utilizado um painel elaborado especialmente para essa pesquisa, apresentado numa mesa. Para elaboração do painel, a experimentadora tomou como parâmetro a tela de apresentação do software Proler® (Assis & Santos, 2010), que foi utilizado durante as fases subsequentes do estudo. O painel consistia de aproximadamente 60 cm de altura por 65 cm de largura de napa, com pequenos “bolsos” de plástico costurados para inserção dos estímulos visuais. Estímulos auditivos foram apresentados pela experimentadora (i.e. utilizando tablet ou computador). Durante intervenção e testes, os participantes realizaram as tarefas diretamente na tela do computador por meio do software, que registrou as respostas corretas e incorretas emitidas durante o procedimento. Todas as sessões foram gravadas em vídeo para cálculo de acordo entre observadores sobre as sessões de linha de base e pré-teste, que resultou em 99% de concordância. O acordo de observadores foi feito a partir da comparação do registro primário com o registro de outro experimentador. De todas as tentativas registradas, dividiu-se o total de acordos pelo total de acordos somados aos desacordos, multiplicado por 100. Além disso, foram utilizados estímulos visuais (animações) e auditivos, os quais foram apresentados sobre o painel através de um dispositivo eletrônico (ex. tablet ou notebook) durante a linha de base, enquanto que durante o procedimento e testes todos os estímulos foram apresentados na tela de um notebook (através do software Proler®).
Os estímulos utilizados durante todo o estudo eram palavras/sentenças A1, A2, B1, B2 (impressas e ditadas), animações gráficas, figuras e melodias. As animações (reproduções de vídeos a partir de arquivos e formato “gif”) e figuras foram referentes às ações representadas nas sentenças do estudo ou utilizadas como itens de preferência. A escolha das sentenças foi efetuada com base na possibilidade de se produzir o maior número possível de recombinações a fim de obter o maior número de sentenças novas para a fase de teste. Tanto as palavras de treino quanto as de teste são de composição simples (consoante-vogal). Além disso, foram selecionadas palavras que tinham correspondência direta com algum estímulo específico do ambiente, próximo ao cotidiano da criança, desconsiderando palavras não convencionais. As sentenças de treino utilizadas foram: “O sapo pula”, “O sapo não pula”, “A vaca come” e “A vaca não come”. As sentenças utilizadas para o teste de responder generalizado foram: “O sapo toca”, “O sapo não toca”, “A gata cava”, “A gata não cava”, “O pato toca”, “O pato não toca”, “O tatu cava” e “O tatu não cava”.
As melodias utilizadas como consequência durante a intervenção foram trechos de músicas de 5 segundos (instrumental e cantada). Dois estímulos auditivos (“afirmativa” e negativa”) também foram utilizados como consequência.
Levantamento de Preferências. Uma forma breve da Avaliação de preferências com múltiplos estímulos sem reposição (Multiple Stimulus Without Replacement Assessment MSWO - Carr, Nicolson, & Higbee, 2000) foi conduzida com os participantes. As respostas foram registradas em folha de registro especialmente planejada para este tipo de teste. A avaliação foi feita antes de todas as sessões, a fim de garantir que os tangíveis utilizados em cada sessão teriam a magnitude de preferência específica para cada classe (ver procedimento). Além disso, foi elaborada uma Avaliação de Preferências utilizando animações em formato “gif” como estímulos. 30 animações gráficas de filmes e desenhos infantis foram apresentadas através de dispositivo de mídia. A experimentadora registrou os comportamentos da criança diante ao estímulo, como, sorrir, apontar, olhar (em segundos) e verbalizar. Todas as respostas foram registradas em folhas de registro especialmente planejadas para este tipo de teste.
Delineamento experimental
Foi adotado um delineamento de linha de base múltipla entre participantes (Johnston & Pennypacker, 2009). Para tanto, os mesmos foram submetidos ao teste descrito na sessão de linha de base. O número de exposições dos participantes ao teste foi definido após verificada a estabilidade no responder do primeiro participante exposto a eles.
Procedimento
Procedimento Geral. As tarefas durante as etapas de intervenção e testes foram realizadas através de um computador. Todas as sessões do estudo duravam entre 40 e 50 minutos. O participante sentava-se em frente ao computador e pelo menos um experimentador permanecia durante toda a sessão ao seu lado para emitir as instruções e entrega de itens preferidos. Após clicar no botão “Iniciar” no centro da tela, iniciava-se a sessão. Um estímulo modelo era apresentado na parte superior central da tela (quando visual). Se auditivo, um quadro branco era apresentado na parte superior central da tela, e nesse caso, o clique sobre o quadro reproduzia o áudio somente uma vez. Após a resposta de observação (clique sobre o estímulo) por parte do participante, o experimentador solicitava a descrição do estímulo (Ex.: “O que é isso?”, “O que x está fazendo?”, “O que ela disse?”). Após o clique sobre o modelo, os estímulos de escolha eram disponibilizados na área inferior da tela em posições randomizadas. O modelo, quando visual, permanecia disponível na tela. Em seguida, o experimentador solicitava que o participante selecionasse os estímulos corretos (“Escreva”). Após a resposta de construção (cliques sobre as palavras, cada palavra se deslocava para a área de construção na ordem que o participante selecionava. Durante a intervenção, as respostas corretas em cada tentativa (escolha dos estímulos corretos na ordem correta) eram seguidas de um intervalo de 3 segundos onde o experimentador solicitava a descrição da resposta (“O que você escreveu?”) e uma consequência específica auditiva (que poderia variar a depender do participante) era apresentada logo em seguida através do software. Após a consequência auditiva um item de preferência era disponibilizado para a criança por cerca de 10 segundos, juntamente com consequências sociais. Para as respostas incorretas, a tela se escurecia por 3 segundos e a tentativa era encerrada, sendo seguida por uma nova tentativa. Durante as etapas de teste, não havia consequências programadas. Nas sessões de intervenção, o critério de acerto para cada sentença de treino foi de três acertos consecutivos.
Linha de Base. Após obter a atenção do participante (e.g. contato visual e dispor as mãos sobre a mesa), o estímulo auditivo do grupo Rf1 ou Rf2 (melodia instrumental/ “afirmativa” ou melodia com voz/ “negativa”, ver Tabela 2) era apresentado por um dispositivo de mídia (tablet). Em seguida, eram dispostas na área de escolha as palavras que poderiam compor as Sentenças 1 e 2, por exemplo (SAPO, NÃO, O, PULA). Na presença de Rf1, a resposta correta seria ordenar as palavras de modo a formar a Sentença 1 (afirmativa – O SAPO PULA). Na presença de Rf2, a resposta correta seria ordenar os estímulos de modo a formar a Sentença 2 (negativa – O SAPO NÃO PULA). Todas as 12 sentenças do estudo foram testadas, cada sentença por tentativa. . A construção de cada sentença foi verificada a partir de um responder condicional (a Rf1 ou Rf2) de forma randômica. Entre as 12 tentativas de teste, foram intercaladas tentativas de construção de palavras (as mesmas das sentenças) perante figuras, ou exigiam-se respostas alternativas de seguimento de instrução, as quais foram consequenciadas com elogios e itens preferidos. As tentativas intercaladas foram utilizadas somente para manter o engajamento do participante na tarefa, e por isso sua quantidade variava a depender do participante. Não houve consequências programadas para as tentativas de teste dessa fase. Desempenho próximo ou menor que 50% durante as sessões de linha de base, uma vez verificada estabilidade do responder foi o critério utilizado para a inserção dos participantes nas fases de intervenção.
Pré-treino de resposta a sons. Para continuar a participação no estudo, as crianças precisavam responder discriminadamente a sons diferentes. A fim de familiarizar os participantes com esse tipo de tarefa, foi realizado um pré-treino visual-visual no formato MTS com consequências auditivas específicas. Após a seleção correta em três vezes consecutivas para cada relação visual-visual, a função dos estímulos foi revertida. As consequências auditivas passaram a ser apresentadas como modelo para a seleção do estímulo visual. O mesmo critério de acertos foi exigido (três acertos consecutivos). As consequências visuais e auditivas utilizadas nessa etapa não foram reutilizadas no procedimento (a não ser os elogios).
Intervenção – Pareamento de estímulos auditivos e estímulos preferidos contingentes à construção de sentenças afirmativas e negativas.
| MODELO | RESPOSTA DE CONSTRUÇÃO | CONSEQUÊNCIA | |
| P1 e P2 | Animação gráfica | Sentença Afirmativa | Rf1: Melodia com voz + Item preferido |
| Animação gráfica | Sentença Negativa | Rf2: Melodia Instrumental + Item preferido | |
| P3 e P4 | Animação gráfica | Sentença Afirmativa | Rf1: “Afirmativa” + Item preferido |
| Animação gráfica | Sentença Negativa | Rf2: “Negativa” + Item preferido |
A intervenção tinha como objetivo apresentar estímulos auditivos temporalmente próximos a itens de preferência do participante logo após a construção correta de sentenças afirmativas e negativas.
Cada sentença foi apresentada em pelo menos três tentativas de construção por meio da seleção das palavras, sob controle de uma animação correspondente à mesma sentença.
Em cada tentativa, uma animação foi apresentada como modelo e na área de escolha os estímulos comparação que eram as palavras que compunham a sentença (mesmo para as sentenças afirmativas a palavra “não” estava disponível). Após solicitar que o participante descrevesse a animação, a experimentadora permitia que o participante clicasse sobre o modelo, disponibilizando os estímulos de comparação na tela.
Após a construção correta e nomeação da sentença construída, (se a criança nomeasse a sentença de forma incorreta, o experimentador dava modelo vocal da resposta correta), a consequência auditiva era apresentada (que podia ser uma melodia ou uma voz com duração de 3s, a depender da criança). Após o término do áudio, o experimentador perguntava “O que você ouviu?”, e a criança descrevia qual áudio havia sido apresentado. Somente após a emissão dessa cadeia o item preferido era disponibilizado. Elogios foram programados como consequência para cada uma das respostas da cadeia.
Somente P2 não foi exposto à última etapa da cadeia (descrição da consequência auditiva), pois os estímulos auditivos utilizados com ele não continham características que viabilizassem uma descrição verbal dos mesmos (trecho de música de Cazuza).
Os estímulos auditivos foram divididos em dois grupos (Rf1 e Rf2) para cada par de participantes (ver Tabela 2). Para dois participantes os estímulos Rf1 e Rf2 tiveram como característica a presença/ausência de voz em uma melodia de 3s (ambas as melodias apresentadas tinham somente essa variação, mantendo o mesmo arranjo). Os outros dois participantes foram expostos a uma voz que enunciava: “Afirmativa” (Rf1) ou “Negativa” (Rf2). Rf1 era seguido do primeiro item de preferência da avaliação realizada na sessão, enquanto Rf2 era seguido do segundo ou terceiro item da avaliação de preferência. O critério de escolha pelo segundo ou terceiro dependia do item que pudesse ser utilizado dentro de 10s.
Ao final de cada sentença de ensino, o participante avançava para uma sonda de construção, que avaliava a escrita da sentença previamente treinada. Atingido o critério de todas as sentenças de treino, os participantes foram submetidos a dois testes com as funções revertidas, onde os estímulos auditivos exerciam função de estímulos condicionais para o controle da construção de sentenças: um teste era de MTS, onde se apresentava três sentenças como estímulos de comparação e somente as quatro sentenças de treino eram avaliadas; o outro era o teste da linha de base do estudo. Os participantes deveriam apresentar pelo menos 80% de acertos no teste de MTS, ou serem expostos à Fase 1 no máximo sete vezes. No último caso, as relações auditivo-visuais testadas seriam ensinadas diretamente para os participantes 3 e 4 (os quais foram expostos a relações socialmente relevantes). Os participantes 1 e 2 seriam descontinuados do estudo.
Teste de Manutenção. Os participantes foram expostos a dois testes de manutenção, realizados, respectivamente, 15 dias e 1 mês após o encerramento da Intervenção. O procedimento utilizado foi o mesmo da linha de base.
Resultados
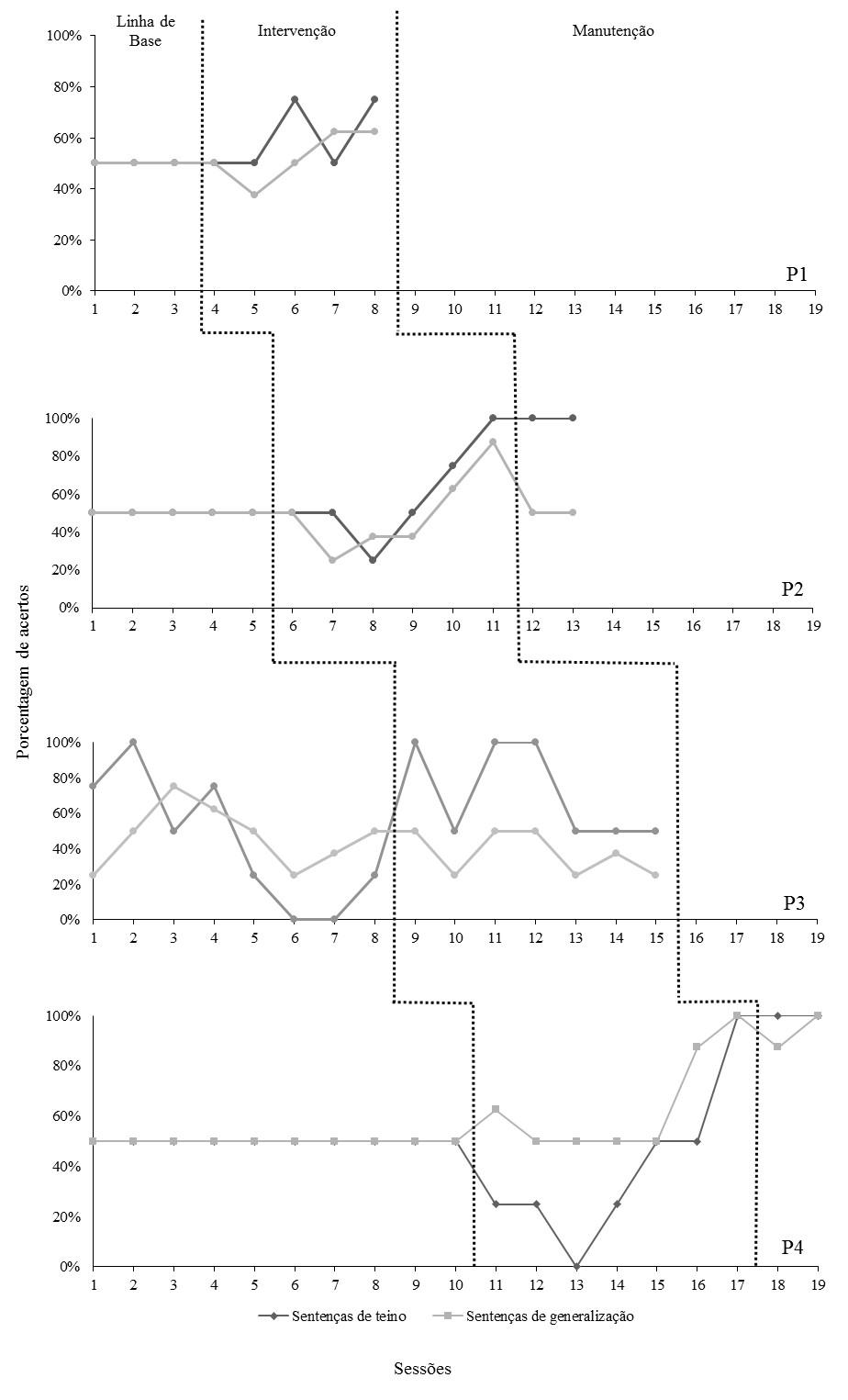
Os resultados dos testes auditivo-visuais aplicados sugerem que dois dos quatro participantes demonstraram emergência dessas relações após treino visual-visual por CRMTS. A Figura 1 apresenta o desempenho dos quatro participantes (P1, P2, P3 e P4) nos testes realizados durante as sessões de linha de base, intervenção e manutenção.
Durante a linha de base, os quatro participantes apresentaram responder indiferenciado (50%). O cálculo do acaso se baseou nas possibilidades de construção por tentativa. Uma vez que todos os participantes tinham um repertório de construção das sentenças do estudo, só havia a possibilidade de eles construírem uma sentença afirmativa ou uma negativa por tentativa. P1, P2 e P4 utilizavam todos os estímulos disponíveis e, portanto, construíram sentenças negativas em toda a linha de base.
Durante a fase de intervenção, após quatro sessões de treino com P1, notou-se que o estímulo auditivo utilizado como consequência não apresentava função reforçadora mesmo sendo pareado com itens preferidos. Essa interpretação foi baseada nas respostas da criança após a construção das sentenças: P1 olhava para o experimentador e solicitava imediatamente o item preferido enquanto o estímulo auditivo estava sendo executado pelo programa. .

Inicialmente, as sessões de treino foram interrompidas e novos estímulos auditivos foram escolhidos como consequência Com a escolha dos novos estímulos, P1 foi exposto novamente à linha de base do estudo com esses estímulos e em seguida exposto ao treino. Após duas sessões, notou-se que P1 mantinha o mesmo padrão de resposta e não atentava à consequência auditiva. Com isso, uma nova cadeia foi exigida nas tentativas de treino, como descrito no procedimento. Anteriormente, somente a resposta de observação ao modelo era solicitada à criança. Tais alterações foram aplicadas aos demais participantes que o seguiram.
P1 não mostrou precisão de desempenho acima de 80% nos testes para as sentenças de treino, e se manteve em níveis próximos ao acaso nos testes para outras sentenças mesmo após cinco sessões seguidas. Mesmo com os índices de 75% de acertos para as sentenças de treino nas sessões 3 e 5, a média de responder do participante foi de 60% para as sentenças de treino e 52,8% para as sentenças de generalização, ambos os níveis próximos do acaso.
Após iniciada a intervenção com P2, o critério de reexposições ao treino foi modificado de cinco para sete sessões. Esse critério foi estabelecido em virtude de P1 ter sido exposto previamente a duas linhas de base e intervenções, totalizando nove sessões de intervenção. Além disso, pode-se perceber uma tendência de alta no desempenho de P2 na quarta e quinta sessões (de 50% para 75% nas sentenças de treino, e de 38% para 63% nas sentenças de generalização), atingindo o critério de acerto dos testes na sexta sessão, como foi verificado (100% para as sentenças de treino e 88% para as de generalização). As duas sessões de manutenção realizadas 15 e 30 dias após atingir critério demonstram que o responder se manteve somente para as sentenças de treino, uma vez que o responder para as sentenças de generalização alcançou somente 50% de acertos, como demonstrado na Figura 1.
P3, mesmo sendo exposto sete vezes ao procedimento, não demonstrou desempenhos que indicassem um efeito da intervenção sobre a emergência de relações auditivo-visuais. Durante as tentativas de teste, P3 apresentou maior variação no desempenho que os outros participantes, desde a linha de base até os testes ao final de cada sessão. Por esse motivo, respostas alternativas foram solicitadas e então consequenciadas após cada tentativa de teste, para que o engajamento na tarefa fosse mantido. Ainda assim, o padrão de respostas se manteve.
Após duas sessões consecutivas com desempenho de 100% nos testes para sentenças de treino, a apresentação do teste foi reelaborada para que as sentenças fossem apresentadas em ordem diferente (o software não randomizava as tentativas). Como previsto, a criança estava respondendo sob controle da ordem de apresentação das sentenças, e não em função do estímulo auditivo, e por conta disso seu desempenho se deteriorou ao nível do acaso nas sessões seguintes. Os acertos para as sentenças de treino se mantiveram em 50% da sessão 5 até a sessão 7, enquanto para as sentenças de generalização o maior índice de respostas corretas foi de 38%, na sessão 6.
Com P4, o critério estabelecido foi alcançado para as sentenças novas na sexta sessão (88%), e para as de treino na sétima sessão (100%). P4 demonstrou manutenção do repertório para todas as sentenças, com índices de 100% mesmo após 30 dias.
Discussão
O presente estudo demonstrou a efetividade do procedimento de CRMTS para a emergência de relações auditivo-visuais após treino visual-visual com duas das quatro crianças que participaram da pesquisa. Resultados similares foram documentados por Omori, Sugasawara e Yamamoto (2011). O procedimento viabilizou a formação de classes após treino visual-visual com consequências auditivas na construção de palavras com participantes com TEA. Os dados aqui relatados expandem os achados de Omori et al. (2011) e Tanji, Takahashi e Noro (2013) para a construção de sentenças em sujeitos com diagnóstico de TEA.
Apesar de o procedimento aplicado ter envolvido a expansão de classes previamente formadas, este estudo corrobora com a proposta descrita por Sidman (2000) e os resultados dos estudos desenvolvidos com essa população até o momento acerca da inclusão de reforçadores nas classes de equivalência (Barros et al., 2006; Kataoka, 2015; Monteiro & Barros, 2016; Omori et al., 2011; Santos, 2014; Varella & De Souza, 2014).
Os desempenhos dos participantes P1 e P3 nos testes auditivo-visuais seguem um padrão diferente dos achados de Monteiro e Barros (2016) e Varella e De Souza (2014). Ambos os estudos tiveram resultados compatíveis com a predição do teste ABLA, onde todos os participantes com Nível 6 apresentaram desempenhos indicativos de emergência de relações auditivo-visuais. O custo de resposta exigido para a execução das tarefas nos estudos supracitados, bem como os repertórios ensinados, são possíveis diferenças críticas em relação ao presente estudo.
Uma vez que a tarefa do teste ABLA segue os padrões de um MTS, há a possibilidade de tarefas que se distanciem desse modelo em alguma medida não necessariamente sejam abrangidas pelo teste somente por envolver relações auditivo-visuais. Assim, nas configurações deste estudo, o ABLA não funcionou como um preditor eficaz do potencial de participantes que atinjam Nível 6 para responder sob controle de qualquer estímulo auditivo, muito menos que relações auditivo-visuais de qualquer natureza emerjam. A partir da replicação dos presentes resultados em estudos futuros, novos instrumentos (ou novas versões do teste ABLA) podem considerar, ao avaliar relações auditivo-visuais, desempenhos em tarefas de mesma complexidade.
O uso de CRMTS envolve uma cadeia de respostas de seleção, o que aumenta a relação temporal com a consequência apresentada ao final da cadeia. O procedimento utilizado nesse estudo também incluiu respostas de observação ao longo de toda a tentativa, o que tornou a cadeia de respostas ainda mais longa. Além disso, o tipo de discriminação auditivo-visual mensurado através do ABLA envolve repertórios simbólicos mais simples que a construção de sentenças. Portanto, apesar de todos os participantes do estudo terem alcançado o Nível 6 do ABLA, essa medida parece não ter funcionado como preditivo de que todos teriam os pré-requisitos necessários para emergência das relações testadas.
Mesmo com a consequenciação de cada elemento da cadeia com elogios, tais consequências não funcionaram como reforçadores para os dois participantes. Outras possibilidades como economia de fichas, por exemplo, podem ser pensadas em procedimentos subsequentes que envolvam cadeias longas.
A partir dos resultados encontrados no PPVT e do desempenho dos quatro participantes no estudo, é possível que o repertório de ouvinte seja um pré-requisito fundamental para repertórios simbólicos mais complexos. Os participantes com maior atraso no repertório de ouvinte com relação à sua idade cronológica (P1 e P3) não demonstraram emergência de relações auditivo-visuais. Ainda, P3 (com maior atraso nesse repertório) foi o participante que apresentou maior variabilidade no responder, desde a linha de base até as sessões de intervenção.
Outra possibilidade que não pode ser descartada é a função reforçadora dos estímulos utilizados. Assim, como observado em Barros et al. (2006) e Monteiro e Barros (2016), os itens de preferência utilizados não necessariamente exerciam função reforçadora sobre o responder dos participantes. A avaliação de preferência utilizada nesse estudo não pode ser considerada uma garantia de que os estímulos funcionavam como reforçadores, e consequentemente os estímulos auditivos também podem não ter adquirido essa função para os participantes 1 e 3.
Pesquisas futuras devem se utilizar de procedimentos de avaliação de reforçadores a fim de evitar problemas como os encontrados com P1 e P3. Avaliações de reforçadores econômicas têm sido uma preocupação de pesquisadores quando se trata principalmente de intervenções voltadas para pessoas com atraso de desenvolvimento cognitivo (Mason, McGee, Farmer-Dougan & Risley, 1989; Fisher, Piazza, Bowman, Hagopian, Owens & Slevin, 1992; Paclawskyj & Vollmer, 1995).
Por fim, estudos futuros poderiam investigar cadeias menores e representativas de repertórios simbólicos mais simples em procedimento de CRMTS, como a construção de palavras dissílabas por exemplo. Outra possibilidade a ser considerada é o aumento gradual da cadeia de respostas ao longo das fases de intervenção. Ainda, o mesmo tipo de relação apresentada nesse estudo pode ser treinado por meio de MTS. Levando-se em consideração que esse procedimento envolve somente uma resposta de seleção por tentativa, há um menor espaço de tempo entre a resposta de seleção da sentença e a consequência auditiva apresentada.
Os resultados encontrados através dessa pesquisa possibilitam pensar nos repertórios que funcionam como pré-requisitos necessários para a formação e expansão de classes envolvendo repertórios simbólicos mais elaborados. Além disso, procedimentos como condicionamento de vozes (ver por exemplo Muniz, 2015) também podem ser pensados como uma etapa inicial das tecnologias de ensino de leitura e escrita. Garantir que vozes funcionem como reforçadores antes de usá-las em qualquer procedimento pode ser uma alternativa a ser considerada em estudos posteriores.
Os procedimentos aqui relatados podem também ser utilizados na área aplicada, como mais uma opção para o desenvolvimento de repertórios discriminativos mais complexos. Os achados desse estudo levantam possibilidades de se elaborar procedimentos mais econômicos para o treino desses repertórios, garantindo a expansão de classes a partir da emergência das relações auditivo-visuais e no que se refere a aspectos sintáticos (afirmativa e negativa).
Referências
American Psychiatric Association [APA] (2013). Diagnostic and statistical manual of mentaldisorders (5th ed.). Arlington, VA: American Psychiatric Publishing.
Assis, G. J. A., & Santos, M. B. (2010). PROLER (software - sistema computadorizado para o ensino de comportamentos conceituais). Belém, PA: Universidade Federal do Pará.
Barros, R. S., Lionello De-Nolf, K., Dube, W. V., & McIlvane, W. J. (2006). Equivalence class formation via identity matching-to-sample and simple discrimination with class specific consequences. Revista Brasileira de Análise do Comportamento, 2, 79-92. doi: http://dx.doi.org/10.18542/rebac.v2i1.804.
Carr, J. E., Nicholson, A. C., & Higbee, T. S. (2000). Evaluation of a brief multiple-stimulus preference assessment in a naturalistic context. Journal of Applied Behavior Analysis, 33, 353-357. doi: 10.1901/jaba.2000.33-353.
DeWiele, L., Martin, G., Martin, T., Yu, C. T., & Thomson, K. (1998). The Kerr Meyerson assessment of basic learning abilities revised: A self instructional manual. (2nd ed). Recuperado em: http://www.stamant.mb.ca/abla
Dube, W. V., McIlvane, W. J., Mackay, H. A., & Stoddard, L. T. (1987). Stimulus class membership via stimulus-reinforcer relations. Journal of the Experimental Analysis of Behavior, 47, 159-175. doi: 10.1901/jeab.1987.47-159.
Dube, W. V., McIlvane, W. J., Maguire, R. A., Mackay, H. A., & Stoddard, L. T. (1989). Stimulus class formation and stimulus-reinforcer relations. Journal of the Experimental Analysis of Behavior, 51, 65-76. doi: 10.1901/jeab.1989.51-65.
Dube, W., & McIlvane, W. (1995). Stimulus-reinforcer relations and emergent matching to sample. The Psychological Record, 45, 591-612.
Dunn, L. M., & Dunn, L. M. (1997). Peabody Picture Verbal Test-III. Circle Pines, MN: American Guidance Service.
Fisher, W., Piazza, C. C., Bowman, L. G., Hagopian, L. P., Owens, J. C., & Slevin, I. (1992). A comparison of two approaches for identifying reinforcers for persons with severe and profound disabilities. Journal of Applied Behavior Analysis, 25, 491-498. doi: 10.1901/jaba.1992.25-491.
Green, G. (2001). Behavior analytic instruction for learnerswith autism: advances in stimulus control technology. Focus on Autism and Other Developmental Disabilities, 16, 72-85. Doi 10.1177/108835760101600203.
Johnston J.M., & Pennypacker, H.S. (2009). Strategies and tactics of behavioral research. New York. Routledge.
Kataoka, K. D. (2015). Relações de equivalência e expansão de repertórios verbais em crianças com diagnóstico de autismo. Tese de Doutorado. Programa de Pós-Graduação em Teoria e Pesquisa do Comportamento. Universidade Federal do Pará, Belém. 70 p.
Mackay, H. A., & Sidman, M. (1984). Teaching new behavior via equivalence relations. In: P. H. Brooks; R. Sperber & C. McCauley (Eds.), Learning and cognition in the mentally retarded. Hillsdale, NJ: Erlbaum.
Mason, S. A., McGee, G. G., Farmer-Dougan, V. & Risley, T. R. (1989). A practical strategy for ongoing reinforcer assessment. Journal of Applied Behavior Analysis, 22(2), p.171-179. doi: 10.1901/jaba.1995.28-219.
Monteiro, P. C. M., & R. S. Barros. (2016). Emergency of auditory-visual relations via equivalence class formation in children diagnosed with autism. Psychological Record, 19 (3), 123-164. doi: 10.1007/s40732-016-0192-1.
Muniz, J. L. M. (2015). Efeitos de pareamento estímulo-estímulo sobre respostas a vozes e faces em crianças diagnosticadas com autismo. Dissertação de Mestrado, Programa de Pós-Graduação em Teoria e Pesquisa do Comportamento, Universidade Federal do Pará, Belém. 45 p.
Omori, M., Sugasawara, H. & Yamamoto, J. (2011). Acquisition and transfer of English as a second language through the constructional response matching-to-sample procedure for students with developmental disabilities. Psychology, 2 (6), 552-559. doi: 10.4236/psych.2011.26085.
Paclawskyj, T. R. & Vollmer, T. R. (1995). Reinforcer assesment for children with developmental disabilities and visual impairments. Journl of Applied Behavior Analysis, 28(2), p. 219-224. doi: 10.1901/jaba.1995.28-219.
Santos, E. A. L.; Nogueira, C. B.; Queiroz, L. L. & Barros, R. S. (2014). Equivalence class Formation Via Class-Specific Consequences in Children Diagnosed with Autism Spectrum Disorder. Trends in Psychology, 25(2), 831-842.
Serna R. W., Stoddard L. T., & McIlvane W. J. (1992). Developing auditory stimulus control:A note on methodology. Journal of Behavioral Education, 2 (4), 391-403. doi: 10.1007/BF00952356.
Schenk, J. J. (1994). Emergent relations of equivalence generated by outcome-specific consequences in conditional discrimination. The Psychological Record, 44, 537-558.
Sidman, M. (1994). Equivalence relations and behavior: A research story. Boston: AuthorsCooperative Inc. Publishers
Sidman, M. (2000). Equivalence relations and reinforcement contingency. Journal of the Experimental Analysis of Behavior, 74 (1), 127-146. doi: 10.1901/jeab.2000.74-127.
Varella, A. A. B., & De Souza D. G. (2014). Emergency of auditory-visual relations from a visual-visual baseline with auditory-specific consequences in individuals with autism. Journal of the Experimental Analysis of Behavior, 102 (1), 139-149. doi: 10.1002/jeab.93.
Varella, A. A. B., & Souza, D. G. (2015). Using class-specific compound consequences to teach dictated and printed letters relations to a child with autism. Journal of Applied Behavior Analysis, 48, 675-670. Doi 10.1002/jaba.224
Vaughan, W. (1988). Formation of equivalence sets in pigeons. Journal of Experimental Psychology: Animal Behavior Processes, 14 (1), 36-42. doi: 10.1037/0097-7403.14.1.36
Tanji, T., Takahashi, K., & Noro, F. (2013). Teaching generalized reading and spelling to children with autism. Research in Autism Spectrum Disorders, 7 (2), 276-287. Doi: http://dx.doi.org/10.1016/j.rasd.2012.09.005.
Información adicional
Nota del autor: Jacqueline Iukisa Faustino Calado – Rua Augusto Corrêa, s/n, Núcleo de Teoria e Pesquisa do Comportamento, Prédio 1, Laboratório de Estudos sobre Controle de Estímulos, Bairro Guamá, Belém-PA. CEP: 66075-110. Telefone: (91) 983473548. E-mail: jacqueline.iukisa@hotmail.com