Intervenção comportamental para dor e sono em mulheres com Fibromialgia
Behavioral intervention for pain and sleeping in women with Fibromyalgia
Intervenção comportamental para dor e sono em mulheres com Fibromialgia
Acta Comportamentalia: Revista Latina de Análisis de Comportamiento, vol. 27, núm. 3, pp. 371-388, 2019
Universidad Veracruzana
Recepção: Janeiro 29, 2019
Aprovação: Maio 02, 2019
Resumo: O estudo avaliou efeitos da ordem de aplicação de dois componentes de intervenção comportamental em mulheres com Fibromialgia e má qualidade do sono, e os efeitos ao final de toda a intervenção. Um componente consistiu em 4 sessões para manejo da dor e o outro em 4 sessões para manejo do sono. As sessões foram individuais, semanalmente, com duração de 90 minutos. A amostra (n=8) foi pareada entre dois grupos: um grupo iniciou com o componente de sono seguido pelo componente de dor (TS+TD) e o outro iniciou com o componente de dor, seguido pelo componente sono (TD+TS). Medidas diretas (Actígrafo e Algômetro Digital de Pressão), instrumentos padronizados (SF-MPQ e PSQI-Br) e formulário de autorregistro (Diário de Dor e Sono) foram utilizados para a avaliar a dor e o sono, antes e depois de cada componente. Os dados mostraram eficácia ao final da intervenção para os dois grupos, porém no grupo TS+TD os dados foram mais consistentes, com menor variabilidade dos resultados entre as participantes e o menor número de faltas em sessões. Destaca-se que estudos visando a avaliação da ordem de aplicação de componentes, como este, ainda são embrionários na área, o que incita a possibilidade de novas investigações.
Palavras-chave: intervenção comportamental, fibromialgia, dor crônica, qualidade do sono, comparação de tratamento, análise de componentes.
Abstract: Conducting studies of the effect analysis of behavioral intervention components is useful for clinical and applied research in Behavior Analysis. It allows to identify the impact of both component for the same group of individuals and increasing the efficacy and validity of treatment in future studies. Behavioral intervention components for pain and sleep management in people with fibromyalgia (FM) have been extensively tested in the literature, but it is unclear which is the best order of application for. Assessing this aspect may be important because, considering the bidirectional relationship between pain and sleep in people with Fibromyalgia, the application of one of the components may alter the effectiveness of the other, leading to the identification of which condition (pain or sleep) should be first treated. This study evaluated the effects of the order of application of two components in women with Fibromyalgia and poor sleeping quality, and the effect at the end of the intervention. The intervention consisted of 8 individual 90-minute encounters, that is, 4 for management of pain and 4 for management of sleep. The sample (n=8) was paired between two groups: the Group TS+TD started with the sleep component followed by the pain component and the Group TD+TS started with the pain component, followed by the sleep component. According to the results, the intervention was effective in both groups, but more consistent (lower variability of results among the participants and lower number of absences in sessions) in the Group TS+TD, so, an order effect was observed. Hypothesizes that a justification is the history of the complaints and demands of the women who sought the intervention. Although all participants reported poor sleeping quality, the main complaints were related to the experience with the painful process, making intervention in this theme a condition of greater establishing operation. When the intervention was directed to coping with the painful process, the reinforcing value seemed to be greater, and a reduction in the number of absences in sessions was also observed. The Sleep Diary seemed to be a reliable sleeping evaluation, that indicated positive and strong correlations with the Actigraph. This study stands out as embryonic in the area, which incites the possibility of further investigations
Keywords: behavioral intervention, fibromyalgia, chronic pain, quality of sleep, treatment comparison, component analysis.
Fibromialgia (FM) é uma síndrome reumática dolorosa que acomete entre 0,5% a 5% da população mundial, a maior parte mulheres, na proporção de 9:1 em relação aos homens (Clauw, 2014). Segundo Helfenstein-Junior, Goldenfum e Siena (2012) ela se caracteriza principalmente por três aspectos: (1) dor generalizada por pelo menos três meses; (2) dor em 11 de 18 pontos sensíveis, tender-points, quando submetidos à pressão digital; (3) presença de sintomas associados, como rigidez muscular, sensação de inchaço, ansiedade, fadiga e dificuldade para dormir.
Os prejuízos sono, em pessoas com FM, são investigados desde a década de 1970 (Smythe & Moldofsky, 1978), e alguns estudos ainda têm discutido a existência de uma relação bidirecional entre essas variáveis (Affleck, Tennen, Urrows & Higgins, 1992; Choy, 2015; Finan, Goodin, & Smith, 2013; MacFarlane et al., 1996; Roizenblatt et al., 2001). O estudode Affleck et al. (1992), por exemplo, demostrou que uma noite de sono de má qualidade em mulheres com fibromialgia, caracterizada pela dificultade para iniciar o sono, sono leve ou fragmentado, aumentou a percepção da intensidade da dor, assim como a dor intensa ao longo do dia comprometeu a qualidade do sono durante a noite. Alterações na microestrutura do sono também foram investigadas nessa população, e verificou-se a maior porcentagem de estágio Não-Rem 1, menor porcentagem de sono de ondas lentas, intrusão das ondas alfa em delta de subtipo predominantemente fásico, alternância de ondas do complexo K com atividade alfa, sendo essas características correlacionadas à menor qualidade, durabilidade e eficiência do sono, assim como à maior durabilidade e intensidade da dor, e maior quantidade de pontos dolorosos (MacFarlane et al., 1996; Roizenblatt et al., 2001). A possibilidade de que essas variáveis estejam relacionadas exprime a utilidade e importância da aplicação de dois componentes de intervenção comportamental para pessoas com FM, sendo eles o manejo da dor e do sono.
O componente de intervenção comportamental para manejo da dor consiste na tentativa de modificar os comportamentos desadaptativos relacionados à dor (e.g., isolamento social, alto nível de inatividade e repouso, automedicação e queixas de dor) por meio da análise de suas contingências sociais e não-sociais, com a inserção de estratégias, como: (a) psicoeducação (e.g, informações diagnósticas e possibilidades de tratamento), (b) discriminação das contingências em vigor para o aumento de comportamentos de saúde e de autocuidados, (c) treino de habilidades sociais, visando a ampliação do repertório social como estratégia de enfrentamento da dor (Fordyce, 1976; Keefe, Dunsmore, & Burnett, 1992; Sturgeon, 2014). O componente de intervenção comportamental para manejo do sono visa a discriminação e modificação das contingências que tendem a perpetuar os problemas do sono (e.g., atividades desempenhadas ao dia e antes de iniciar o sono), com inserção das estratégias: (a) higiene do sono, que se refere a esclarecimentos sobre a arquitetura do sono, diferenças individuais e fatores que afetam o sono, como a idade, o ritmo circadiano, a atividade física, o uso de drogas e estimulantes, (b) terapia de controle de estímulos, que visa auxiliar o paciente a reassociar a cama e o quarto com o rápido início do sono, por meio de orientações de como manter um horário regular para acordar, evitar cochilos diurnos, ir para a cama somente quando estiver com sono, entre outros, (c) terapia de restrição de sono, que consiste em limitar o tempo despendido na cama, de modo que este se aproxime do tempo total de sono (Morrin & Espie, 2003).
Em conjunto a esses componentes poderão ser empregadas as técnicas de relaxamento (e.g.: biofeedback, relaxamento muscular progressivo ou autógeno). A técnica de relaxamento muscular progressivo, que consiste na tarefa guiada de tensionar e relaxar os diferentes grupos musculares, foi descrita por Jacobson em 1929, e inserida na terapia comportamental para tratar a ansiedade duas décadas depois (Rimm & Masters, 1983; Vera & Villa, 2002). Uma outra técnica bastante conhecida é o relaxamento autógeno de Shultz, na qual o “terapeuta ensina o cliente a engajar-se na auto-gestão de que seu corpo está pesado e aquecido” (Rimm & Masters, 1983, p.43). Ambas as técnicas são descritas em protocolos de tratamento da Fibromialgia, sendo que a primeira delas apresentou resultados na redução da intensidade da dor (Roshan et al., 2017), e a segunda apresentou resultados na melhora da qualidade e padrões do sono (Bowden, Lorenc, & Robinson, 2012; Sadigh, 2001). Considerando a aceitabilidade das técnicas e os desfechos observados, optou-se por aplicar as duas técnicas em conjunto na intervenção deste estudo.
Os componentes para manejo da dor e do sono já foram testados separadamente (Smitherman et al., 2016; Thieme, Gromnica;Ihle, & Flor, 2003) e em conjunto para pessoas com dor crônica (Joaquim, Soares, & Grossi, 2002; Kirchner & Reis, 2018). Independente da condição tratada, mudanças estatisticamente significativas (p<0,05) foram observadas nos indicadores de dor (e.g.,: capacidade funcional, perceoção de intensidade da dor ou quantidade de queixas) e de sono (e.g., qualidade do sono, número de horas dormidas ou latência para iniciar o sono). Contudo, os estudos não esclarecem impacto de ambos os componentes sobre o mesmo grupo de participantes, nem o quanto a aplicação de um componente pode interferir na eficácia do outro. Diferenças nas variáveis sociodemográficas, clínicas e histórico de queixas dos participantes, podem dificultar as análises de comparações entre grupos expostos a diferentes intervenções (Kazdin, 1994; Kirchner, Buela-Casal, & Reis, 2017), especialmente na população estudada, em que tais características tendem a influenciar diferencialmente os resultados do tratamento (Keskindag & Karaaziz, 2017). Uma maneira de responder a estas lacunas pode ser aplicar os mesmos componentes de intervenção a todos os participantes, alternando-se a ordem de aplicação (Barlow & Haynes, 1979).
Em um estudo de análise de componentes, cada participante recebe dois ou mais componentes de intervenção e a ordem de aplicação é alternada entre os participantes. Os participantes são considerados o seu próprio controle, justamente por apresentar características que poderão impactar diferencialmente os resultados, o que difere de uma análise de comparação de intervenções (Kennedy, 2005). Estudos como este podem ser de grande utilidade para a clínica e pesquisa aplicada em Análise do Comportamento, uma vez que permitem identificar quais componentes são eficazes na mudança de comportamento, quais são desnecessários e talvez aversivos, e quais componentes devem ser inicialmente aplicados para que os melhores resultados sejam alcançados (Ward-Horner & Sturmey, 2012). Adicionalmente, eles permi- tem aumentar a eficácia e a validade social dos tratamentos em estudos e aplicações futuras (Ward-Horner & Sturmey, 2010).
Apesar da eficácia comprovada das intervenções comportamentais para dor e sono em pessoas com dor crônica (Joaquim, Soares, & Grossi, 2002; Kirchner & Reis, 2018; Smitherman et al., 2016; Thieme, Gromnica-Ihle, & Flor, 2003), não foram encontrados estudos, até o momento, que apontaram evidências para afirmar se um ou ambos os componentes são necessários e suficientes, o quanto um componente poderá impactar sobre o outro, e se há uma ordem de aplicação que promova os melhores resultados. Morrin e Espie (2003) sugerem que indivíduos com menor queixa de dor talvez possam se beneficiar mais das intervenções comportamentais para alterar hábitos relacionados ao sono, à medida que apresentam maior capacidade no funcionamento diário e menor tempo dispendido na cama quando acordados. Tais argumentos sugerem resultados mais promissores se o componente de dor for aplicado antes do componente de intervenção para o sono, mas essa hipótese deve ser confrontada a partir de resultados de estudos empíricos. Em uma busca nas bases de dados do Portal Capes, a partir dos descritores “pain OR sleep AND component analysis”, não foram encontrados estudos que visassem avaliar os efeitos de ordem de aplicação de componentes de intervenção comportamental para dor e sono. Este estudo visou, portanto, avaliar o efeito da ordem de apresentação de dois componentes de intervenção em mulheres com Fibromialgia e má qualidade do sono, e o efeito ao final de toda a intervenção. Um dos componentes foi direcionado ao manejo da dor (TD), e o outro ao manejo do sono (TS). Medidas diretas, de autorrelato e de autorregistro foram utilizadas para a avaliação de variáveis relacionadas a dor e ao sono.
MÉTODO
Participantes
Participaram deste estudo oito mulheres que atenderam aos critérios diagnósticos para Fibromialgia (Wolfe et al., 2010) e que apresentaram má qualidade do sono, considerando o escore do Índice de Qualidade do Sono de Pittsburg (PSQI>7). As participantes não estavam recebendo outros tratamentos psicoterapêuticos no período da coleta de dados. Para a participação neste estudo elas foram divididas em dois grupos, com 4 participantes em cada um: um grupo iniciou a intervenção com o componente de sono seguido pelo componente de dor (TS+TD) e o outro iniciou a intervenção com o componente de dor, seguido pelo componente sono (TD+TS). Buscou-se parear a amostra em relação as características: escores gerais de qualidade do sono (PSQI-Br) e intensidade da dor (END 0 a 10), obtidos na Avaliação Inicial, tratamentos realizados, situação ocupacional atual e escolaridade (Tabela 1).

P = Participante; GC = grau completo; GI = grau incompleto; PSQI = Escore Geral do Índice de Qualidade do Sono de Pittsburg, versão brasileira; END 0 a 10 = Escala numérica de intensidade da dor.
Considerando o total da amosta (n=8), a idade das participantes variou de 43 a 59 anos (mé- dia 53,2, dp 6,47). Observa-se que 6 das 8 participantes declararam seu estado civil como casadas, duas eram solteiras (P7 e P8) e uma divorciada (P1). Seis participantes informaram diagnóstico prévio de outras patologias do sistema musculoesquelético e cinco relataram ter gastrite/refluxo gastroesofágico. O tratamento mais frequentemente reportado foi a fisioterapia, além dos tratamentos farmacológicos, antidepressuvos (n=6) e anti-inflamatórios (n=6).
Apenas uma participante de cada grupo apresentou 2º grau incompleto, relatou não estar realizando outros tratamentos no período da coleta de dados, ou estar afastada do trabalho. Os escores para qualidade do sono e intensidade da dor foram pareados entre os grupos, mas não foram próximos entre as participantes do mesmo grupo. Todas as participantes, conforme os escores, apresentaram qualidade do sono ruim (média do grupo TS+TD =12,75 dp 4,64; média do grupo TD+TS =10,75 dp 4,11) e intensidade da dor atual acima de 4 (média do grupo TS+TD =5,66, dp 1,36; média do grupo TD+TS = 5,33, dp 2,16). Os escores da dor mantiveram-se relativamente estáveis, considerando a avaliação da dor atual e a maior dor observada na semana anterior.
LOCAL, MATERIAIS E INSTRUMENTOS
A coleta de dados foi realizada em sala de atendimento do Serviço-Escola de Psicologia de uma instituição privada de ensino do interior de São Paulo, e algumas medidas de avaliação foram implementadas na casa da participante. Na Avaliação Inicial foi aplicado um questionário sociodemográfico, que identificou idade, escolaridade, condições de saúde e tratamentos, além de informações referentes à intensidade da dor. Para o registro de medidas de dor e de sono durante as condições de avaliação e intervenção, foram utilizados instrumentos e equipamentos, de naturezas distintas: (1) medidas diretas; (2) instrumentos padronizados; e (3) formulários para autorregistro, que serão descritos a seguir. As sessões foram gravadas em áudio digital (MP4).
MEDIDAS DIRETAS
Actígrafo (Actwath-64®, respironics, Inc, Co. USA): dispositivo colocado no pulso (do braço não dominante) da participante, que se destina a medir padrões do sono por meio da quantificação e análise da atividade motora de membros. Os dados registrados são posteriormente transferidos para um computador e os movimentos são analisados por meio de um software especializado (Actware 6.0) que fornece medidas objetivas do sono, tais como Latência para iniciar o sono (SL) e Eficiência do sono (SE).
Algômetro Digital de Pressão (modelo OE-220, ITO – Physiotherapy & Rehabilitation): consiste em um êmbolo de borracha de superfície 1 cm2 acoplado a um transdutor de força, que avalia a sensibilidade à dor por meio de uma pressão de 1 kilograma-força por segundo (1 kgf/seg). A participante foi instruída a acionar o dispositivo de mão quando a sensação de desconforto era superior à de pressão para dor (Vanderween et al., 1996). Neste estudo, esta avaliação foi conduzida por uma fisioterapeuta nos momentos que a participante se encontrava na unidade para atendimento, e foi destinada a avaliar a quantidade de tender-points, dentre os 18 avaliados (Wolfe et al, 1990) que apresentavam a sensibilidade dolorosa a uma pressão de 4 kilograma-força.
INSTRUMENTOS PADRONIZADOS
Short-Form McGill Pain Questionnaire - SF–MPQ (Ferreira, Andrade, & Teixeira, 2013): escala multidimensional que avalia a dimensão global da dor por meio de palavras (descritores) que a participante escolhe para expressar a sua dor. Para cada descritor a participante indica um nível de intensidade (0, nenhuma a 3, severa), e atribui uma nota, de 0 a 5, para a intensidade da sua dor no momento da avaliação. A pontuação é atribuída pelo somatório das notas.
Índice de Qualidade do Sono de Pittsburg, versão brasileira – PSQI-Br (Bertolazi, 2011): instrumento de autorrelato que avalia a qualidade do sono, por meio de 19 itens distribuídos em sete componentes (qualidade do sono, latência do sono, duração do sono, eficiência do sono, alterações do sono, uso de medicações para o sono, e disfunção diurna), pontuados em uma escala de 0 a 3. O somatório dos componentes indica a pontuação global, que varia de 0 a 21. Pontuações entre 0 a 4 sugerem boa qualidade do sono, de 5 a 10 indicam qualidade de sono ruim, e acima de 10 pontos indicam a presença de distúrbio do sono.
FORMULÁRIO DE AUTORREGISTRO
Diário de dor e sono – Diário D/S: tabela na qual a participante é orientada a registrar, no período da manhã e ao longo de sete dias consecutivos, a sua percepção sobre o horário do dia que teve dor intensa (acima de cinco) e a duração da dor (em minutos), o horário que deitou na cama, o horário que apagou as luzes para dormir, a latência (em minutos) para iniciar o sono, o horário que acordou, e o horário que levantou da cama. Os dados de “duração da dor” e “latência para iniciar o sono” foram obtidos pela média de dias registrados, e os dados de “eficiência do sono”, expressos em porcentagem, foram obtidos calculando-se a média do número de horas dormidas dividido pela média do número de horas na cama, multiplicado por 100.
PROCEDIMENTO
Este estudo foi aprovado pelo Comitê de Ética em Pesquisa (CEP), do Centro Universitário Central Paulista, Parecer Nª 1.170.930 e obedeceu às normas de pesquisa com seres humanos. Posterior à aprovação pelo CEP, as mulheres foram recrutadas no serviço-escola de fisioterapia da instituição participante, via referenciamento dos profissionais que atendiam no local. Aquelas mulheres que apresentavam os critérios de inclusão (diagnóstico de FM, má qualidade do sono e que não estavam em tratamento psicoterapêutico), e concordaram em participar, assinaram o Termo de Consentimento Livre e Esclarecido – TCLE.
As participantes foram orientadas a respeito dos procedimentos do estudo e da importância de manter a dose, tipo de medicação e outros tratamentos que já faziam uso, durante todo o período de coleta de dados. Estas foram alocadas em um dos dois grupos delineados (TS+TD ou TD+TS), e a designação para os grupos teve como critério estabelecer um pareamento entre variáveis, na ordem de qualidade do sono e intensidade da dor, tratamentos, situação ocupacional atual e escolaridade. O grupo TS+TD (participantes P1, P2, P3 e P4) iniciou a intervenção com o componente para sono seguido do componente para dor, e o grupo TD+TS (participantes P5, P6, P7 e P8) participou deste mesmo pacote de intervenção, porém com a aplicação dos componentes na ordem inversa. Todas as participantes foram submetidas à avaliação inicial (Av. Inicial), intermediária (Av. Interm.) e final (Av. Final). Essas avaliações consistiram na aplicação dos instrumentos: (a) SF-MPQ, Algômetro Digital de Pressão, PSQI-Br no Serviço-Escola de Psicologia e (b) registro do Diário D/S e uso do Actígrafo por sete dias consecutivos na casa da participante. Pela indisponibilidade de aparelhos para monitoramento dos padrões de sono, o Actígrafo foi entregue a seis participantes (P1, P2, P3, P4, P6 e P8) que se comprometeram a utilizá-lo período estipulado, por sete dias consecutivos.
COMPONENTES DE INTERVENÇÃO
Os componentes TS e TD consistiram em quatro sessões individuais cada um, com duração de 90 minutos cada sessão e periodicidade semanal. Esta quantidade de sessões foi planejada considerando os resultados atingidos nos estudos de Tang et al (2012) e Vitiello et al (2013), que conduziram quatro sessões grupais e individuais, respectivamente, da Terapia Cognitivo- Comportamental para manejo da dor crônica e insônia. Para o presente estudo, o tempo de sessão foi distribuído da seguinte maneira: (a) acolhimento e esclarecimento de dúvidas sobre atividades realizadas em casa, incluindo o relaxamento (30 minutos); (b) aplicação do componente de tratamento para dor (TD) ou sono (TS) (40 minutos); e, (c) treino de Relaxamento Muscular Progressivo e Autógeno (20 minutos).
As sessões do componente para dor - TD - foram: sessão 1) informações sobre Fibromialgia e tratamentos possíveis, relação dor e emoção. Além das temáticas acima, também foram discutidos os benefícios do treino de relaxamento ao organismo e da respiração diafragmática. Realizou-se o treino de respiração (inspirar em 3 segundos e expirar em 6 segundos) até que a participante obtivesse o controle da respiração lenta ao expirar, e conseguisse realizar o movimento de expansão abdominal ao invés do movimento torácico; sessão 2) identificação de fatores do ambiente físico, social e ocupacional que interferem na dor, discussão sobre os dados de dor preenchidos no Diário D/S pela participante, treino de Relaxamento Muscular Progressivo e Autógeno e entrega do CD de relaxamento (gravado em estúdio conforme instruções de Vera & Vila, 2002), para que a participante pudesse realizá-lo em casa; sessão 3) planejamento de contingências para aumentar a capacidade funcional de forma a contribuir no manejo da dor e do estresse, engajamento em atividades físicas, sociais e de lazer, e treino de Relaxamento Muscular Progressivo e Autógeno; e sessão 4) psicoeducação referente a assertividade e manejo de contingências do ambiente social para lidar assertivamente com os aspectos deste ambiente que interferem na dor e treino de Relaxamento Muscular Progressivo e Autógeno.
As sessões do componente para sono – TS – foram: sessão 1) informações sobre sono e a relação com as emoções, noções básicas sobre o sono (fases do sono, efeitos da privação do sono, fatores que interferem na qualidade do sono e tratamentos possíveis). No início deste componente também foram apresentadas informações acerca dos benefícios do treino de relaxamento ao organismo e da respiração diafragmática, e realizou-se o treino de respiração (inspirar em 3 segundos e expirar em 6 segundos) até que a participante obtivesse o controle da respiração lenta ao expirar, e conseguisse realizar o movimento de expansão abdominal ao invés do movimento torácico; sessão 2) análise e identificação de hábitos prejudiciais que a participante apresenta relacionados ao sono, a partir dos dados de sono preenchidos no Diário D/S,treino de Relaxamento Muscular Progressivo e Autógeno e entrega do CD de relaxamento (gravado em estúdio conforme instruções de Vera & Vila, 2002) para que a participante pudesse realizá-lo em casa; sessão 3) discussão a respeito dos comportamentos diurnos da participante (e.g., quantidade e duração de cochilos ao dia, alimentação, duração do tempo em repouso e de atividades realizadas no quarto) e sua interferência na qualidade do sono, manejo de contingências do ambiente direcionada à instalação e manutenção dos comportamentos diurnos em benefício da qualidade do sono; sessão 4) orientações para a mudança de comportamentos prejudiciais que antecedem o momento de dormir (e.g., evitar levar preocupações para a cama e/ou realizar atividades noturnas que suprimem o sono), para atividades mais relaxantes. Realizou-se também a orientação de restrição de tempo de sono, ou seja, o planejamento individualizado de horários para deitar e levantar da cama, e o treino de Relaxamento Muscular Progresivo e Autógeno.
AVALIAÇÃO DE JUÍZES PARA A ESTRUTURA E TEMÁTICAS DAS SESSÕES
Observadores previamente treinados (alunos do último ano de graduação em Psicologia) realizaram a avaliação da estrutura e temáticas das sessões, em relação ao conteúdo que foi abordado,a partir das gravações de quatro sessões sorteadas de cada componente. Calculou-se o índice de concordância entre os avaliadores e a análise feita pela pesquisadora. Foi encontrado um índice de concordância de 100% para a estrutura das sessões (seguindo a ordem acolhimento/dúvidas, exposição da temática específica e treino de relaxamento), de 100% para a temática geral (se a sessão tratava do tema dor ou sono) e de 83,3% para temática específica de cada sessão.
ANÁLISE DOS DADOS
Foram calculadas as variações percentuais entre escores de cada instrumento que avaliou a dor e sono, realizadas no início e final da implementação de cada componente, e ao final de toda a intervenção. Os escores foram atribuídos considerando os critérios de correção de cada instrumento. A partir destes escores, calculou-se a variação percentual ((Av Interm.– Av. Inicial)/ Av. Inicial x 100) após aplicação do primeiro componente, ((Av Final. – Av. Interm.)/ Av. Iterm. x 100) após aplicação do segundo componente, e ((Av Final. – Av. Ini- cial)/ Av. Inicial x 100) depois de toda a intervenção. Análises estatísticas não paramétricas foram realizadas no Statistical Program for Social Sciences for Windows (SPSS) versão 20.0; o teste Spearman foi utilizado para verificar se havia correlação entre as medidas “Latência e Eficiência do Sono”obtidas pelo Actígrafo com as medidas do Diário D/S, e o teste de Mann-Whitney para comparar se havia diferença estatisticamente significativa na quantidade de faltas em sessões entre os dois grupos.
RESULTADOS
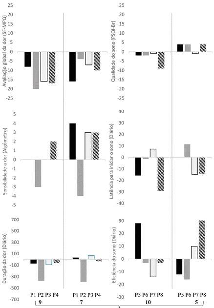
Os dois primeiros gráficos (Figura 1 e Figura 2) apresentam a variação percentual após aplicação de cada componente, e o último gráfico (Figura 3) mostra a variação percentual entre a primeira e a última avaliação, considerando todo pacote de intervenção, para ambos os grupos (TS+TD e TD+TS).
No primeiro gráfico, os resultados são decorrentes à variável DOR, a saber: sensibilidade à dor (Algômetro Digital de Pressão), atribuição de duração da dor (Diário D/S), e avaliação global da experiência de dor (SF-MPQ). O painel à esquerda apresenta os resultados das participantes do grupo TS+TD, que iniciou a intervenção com o componente de sono (TS) seguido do componente de dor (TD); e o painel à direita apresenta os escores das participantes do grupo TD+TS, que iniciou com o componente de dor (TD) seguido do componente de sono (TS).

As colunas que estão no eixo negativo do gráfico, abaixo de zero (0), apontam indicativos de melhora, ou seja, redução da dimensão avaliada da dor; e aquelas que estão acima de zero (0) apontam que houve o aumento da dimensão da dor. Abaixo do gráfico é apresentado o somatório das avaliações (por componente) cujos valores estão abaixo do eixo negativo, ou seja, que indicaram melhora (Figura 1).
A avaliação global da experiência de dor (SF-MPQ) apresentou redução em ambos os grupos, após aplicação do primeiro componente, e o efeito manteve-se para todas as participantes do grupo TS+TD, após a aplicação do segundo componente. Nos outros indicadores (sensibilidade e duração da dor), nota-se maior variabilidade nos resultados, embora eles sejam mais perceptíveis após a aplicação do primeiro componente. Para P2 (grupo TS+TD) verificou-se a redução da sensibilidade, e para P6 (grupo TD+TS) a redução na duração da dor. Estes resultados foram observados após a aplicação do primeiro componente e se mantiveram após aplicação do componente seguinte.
Considerando as três medidas de avaliação da dor, os resultados ao final da aplicação do segundo componente foram observados em sete de doze avaliações do grupo TS+TD e em cin- co de doze avaliações do grupo TD+TS. Ou seja, os efeitos parecem ser mais consistentes ao final da intervenção, quando o componente do sono foi apresentado como componente inicial. A Figura 2 apresenta os resultados da variação percentual das medidas relativas à variável SONO, após aplicação de cada componente. Conforme no gráfico anterior, o painel à esquerda apresenta os resultados das participantes do grupo TS+TD, e o painel à direita apresenta os resultados das participantes do grupo TD+TS, mas agora no que se refere as medidas de qualidade do sono (PSQI-Br), Latência para iniciar o Sono e Eficiência do Sono (Diário D/S). Abaixo do gráfico é apresentado o somatório de avaliações (por componente), cujos valores estão abaixo do eixo negativo, ou seja, que indicaram melhora (Figura 2).
O aumento na qualidade do sono (PSQI-BR) foi observado principalmente com a aplicação do componente TS, e a redução na Latência e Eficiência do sono (Diário D/S), principalmente com a aplicação do componente TD. Em relação à ordem de apresentação dos componentes, nota-se que os efeitos dos indicadores de sono, no grupo TS+TD, se mantiveram após a aplicação do componente de dor. Considerando as três medidas de avaliação do sono, os resultados ao final da aplicação do segundo componente foram observados em oito de doze avaliações do grupo TS+TD e em três de doze avaliações do grupo TD+TS.
A análise dos padrões do sono, por meio do teste de Spearman, apontou correlações positivas e fortes (p.> 0,05) entre as medidas obtidas pelo Actígrafo e pelo Diário D/S, tais como: Latência para iniciar o sono (r=78, p.> 0,05) e Eficiência do Sono (r=79, p.> 0,05). Embora o Actígrafo tenha sido utilizado em apenas 75% da amostra, este resultado infere a respeito da confiabilidade dos dados obtidos no formulário de autorregistro do sono (Diário D/S).
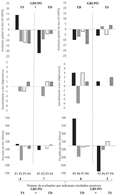
A Figura 3 apresenta a variação percentual entre a Av. Inicial (antes de qualquer intervenção), e a Av. Final (realizada ao ser concluída todas as intervenções planejadas). O painel à esquerda apresenta os valores para os indicadores de DOR, para ambos os grupos; e o painel à direita apresenta os valores referentes aos indicadores de SONO. Conforme apontado anteriormente, variações no eixo negativo (abaixo de zero) implicam em ganhos terapêuticos no indicadores de dor e de sono. Abaixo do gráfico é apresentado o somatório das avaliações (por grupo), que apontaram indicativos de melhora.
Pode-se observar que o Grupo TS+TD obteve resultado positivo em nove das doze avaliações para a variável DOR, e em dez de doze avaliações para a variável SONO, enquanto que no Grupo TD+TS os resultados positivos foram observados em sete e cinco avaliações, respectivamente. De fato, os resultados em indicadores de dor e de sono foram mais perceptíveis para o grupo que iniciou a intervenção com o componente de sono seguido do componente de dor (TS+ TD).


Em relação à DOR, destacam-se os resultados da avaliação global da experiência dolorosa (SF-MPQ) e duração da dor (Diário D/S), e em relação ao SONO, os resultados foram variáveis considerando as três medidas. A Tabela 2 apresenta o número de faltas para todas as participantes, em ambos os grupos. Na parte superior da tabela é indicada a quantidade de faltas para o grupo que iniciou com o componente de sono, seguido pelo componente de dor (TS+TD); e na parte inferior a quantidade de faltas para aquelas participantes que iniciaram no componente de dor, seguido pelo de sono (TD+TS). Um número significativamente maior de faltas foi observado no componente de intervenção do sono (Mann-Whitney, z=7.5, p= 0,007);

DISCUSSÃO
O estudo realizou uma análise de dois componentes de intervenção comportamental em mulheres com Fibromialgia, e o efeito ao final da intervenção. Um dos componentes foi direcionado ao manejo da dor e o outro ao manejo do sono. Ward-Horner & Sturmey (2010) destacam que ao conduzir uma análise de componentes, os pesquisadores poderão investigar a existência de alguns desfechos, como por exemplo, a possibilidade dos efeitos de um componente transitarem e influenciarem os efeitos do componente subsequente. Dessa forma, “o Componente Y pode ser efetivo somente quando precedido pelo Componente Z, mas o Componente Y pode ser ineficaz quando precede o Componente Z” (p. 687). Pretendeu-se investigar tal característica neste estudo, considerando a hipótese de Morrin e Espie (2003), de que as pessoas com dor crônica pudessem se beneficiar mais do componente de sono ao apresentarem menos comprometimento na dor, sugerindo que melhores resultados fossem atingidos ao final da intervenção, se fosse aplicado inicialmente o componente de dor seguido pelo componente do sono.
Verificou-se que os resultados nos indicadores de dor e de sono foram mais perceptíveis para o grupo que iniciou a intervenção com o componente de sono seguido do componente de dor (TS+TD) do que a aplicação na ordem inversa (TD+TS). Os dados não são suficientes
Verificou-se que os resultados nos indicadores de dor e de sono foram mais perceptíveis para o grupo que iniciou a intervenção com o componente de sono seguido do componente de dor (TS+ TD) do que a aplicação na ordem inversa (TD+ TS). Os dados não são sificientes para confirmar ou refutar a hipótese de Morrin e Espie (2003), pois em função do tempo disponibilizado para a coleta, as quatro sessões do componente inicialmente aplicado não produziram mudanças significativas nas medidas de dor, para então passar a aplicação do componente seguinte. Uma quantidade maior de sessões pode ser conduzida em futuros estudos, visando responder a esta questão.
Os dados evidenciaram, no entanto, um efeito de ordem com a alternância da aplicação dos componentes. Aparentemente, as participantes que iniciaram a intervenção no componente do sono continuaram apresentando ganhos quando iniciaram o componente de intervenção para a dor. Para o grupo submetido a esta ordem de apresentação (TS+TD), as faltas foram menores e a variabilidade, no que se refere aos ganhos terapêuticos, pareceu ser menor. Quando a intervenção teve início com o componente de dor seguido do componente de sono (TD+TS), foi observado maior número de faltas e aumento da variabilidade nos resultados. Acredita-se que uma possível justificativa seja o próprio histórico de queixa e demandas das mulheres que buscaram a intervenção. Embora todas as participantes tenham relatado má qualidade do sono, as queixas principais estavam relacionadas à vivência com o processo doloroso (três de quatro participantes em cada grupo apresentaram nota para intensidade da dor acima de 6, antes de iniciarem a intervenção, ver Tabela 1).
Desta forma, parece possível que, para esta população alvo, o componente contendo estratégias de manejo direto da dor seja uma condição de maior operação estabelecedora. Conforme Marianno e Guillhardi (2005), o termo operação estabelecedora pode ser empregado para definir um conjunto de procedimentos que alteram a função dos eventos (e.g.: privação de água aumenta o valor reforçador da água), produzindo mudanças comportamentais (e.g: emitir maior quantidade de comportamentos que levem a obtenção da água). Sugere-se, portanto que, uma vez que as queixas de dor das mulheres com FM não são prontamente acolhidas pela comunidade sócio-verbal (Freitas et al., 2017), relatar tais queixas ao pesquisador, com a possibilidade de manejar as contingências que anteriormente eram pouco efetivas na redução da dor e incapacidade, pode ter apresentado maior valor reforçador, explicando a menor quantidade de faltas em sessões e menor variabilidade nos resultados.
Assim, ter iniciado a intervenção tratando-se das condições de sono pode ser relativamente benéfico, a medida que as participantes chegavam de um contexto no qual não haviam recebido nenhum atendimento especificamente planejado para que elas pudessem relatar suas queixas. Contudo, para esta população, concluir o componente de intervenção da dor e iniciar quatro sessões, cujo componente exclui sistematicamente intervenções direta de manejo da dor, pode ter funcionado como uma punição ou extinção do repertório instalado previamente no componente que apresentava maior valor reforçador (componente de dor). Ward-Horner & Sturmey (2010) ainda explicam que, embora os efeitos de sequência sejam uma preocupação em qualquer experimento em que um componente é apresentado após o outro, os efeitos obtidos no primeiro componente podem ser mitigados, revertendo os efeitos do tratamento. Esses argumentos poderiam justificar o aumento substancial das faltas no segundo componente e a maior variabilidade nos resultados do grupo TD+TS. Salienta-se que todas as participantes, principalmente aquelas que finalizaram a coleta de dados com baixo ou nenhum ganho tera- pêutico, foram convidadas a continuar os atendimentos de psicologia no serviço-escola onde a coleta foi realizada, respeitando-se os preceitos éticos de garantia da melhor assistência aos participantes conforme Resolução N. 510/16 (CNS, 2016).
Mesmo com poucas sessões, os resultados corroboram àqueles encontrados na literatura (Joaquim, Soaress, & Grossi, 2002; Kirchner & Reis, 2018, Smitherman et al., 2016; Thieme, Gromnica-Ihle, & Flor, 2003) indicando efeitos positivos com o uso de técnicas e procedimentos comportamentais como componentes de intervenção em pessoas com dor crônica e má qualidade do sono. A redução nos escores da avaliação global da experiência de dor (SF- MPQ) foi observada logo após a aplicação do primeiro componente, tenha sido ele para manejo da dor ou do sono, o que indica que a expectativa das participantes acerca da intervenção já pode ter sido capaz de produzir alívio neste sintoma. Contudo, as medidas que avaliaram outras dimensões da dor, como a sensibilidade (Algômetro Digital de Pressão) e a duração (Diário D/S), indicaram maior variabilidade nos resultados entre as participantes.
No que se refere à variável sono, o componente TS foi eficaz em aumentar a qualidade do sono, atingindo-se efeitos relacionados ao objetivo primário deste componente de intervenção (Joaquim, Soares, & Grossi, 2002; Morrin & Espie, 2003). O componente TD apresentou resultados positivos na latência e eficiência do sono, corroborando os achados de Vitiello et al. (2013), para uma intervenção cognitivo-comportamental, e os argumentos apontados por Roehrs e Roch (2005) de que a intensidade da dor pode impactar na latência para iniciar o sono e nos despertares frequentes em decorrência da dificuldade em encontrar uma posição adequada para dormir. O presente estudo identificou correlações positivas e fortes entre a actigrafia e o autoregistro (Diário D/S), embora outros estudos tenham evidenciado correlações fracas ou moderadas entre essas medidas (Okifuji & Hare, 2011; Keskindag & Karaaziz, 2017). Apesar da actigrafia ser uma medida objetiva de bom custo-benefício na avaliação dos padrões do sono, Keskindag & Karaaziz (2017) ressaltam que a maior parte das pesquisas ainda opta pelo uso das medidas de autorrelato.
Destaca-se que as mulheres contatadas para participar deste estudo (n=8) cumpriram todas as etapas de avaliação e mantiveram-se até o final da intervenção. A adequação aos horários e local de melhor acesso para cada participante são aspectos que podem ter favorecido a frequência nas sessões. Além disso, as sessões não comparecidas eram remarcadas, até que a participante finalizasse a quantidade de sessões planejada para cada componente. A disponibilidade de um auxiliar de pesquisa, previamente treinado, indo à casa das participantes para orientá-las no preenchimento do Diário D/S e uso do Actígrafo, e também a disponibilidade da fisioterapeuta para ajustar os horários de aplicação do Algômetro Digital de Pressão aos dias em que a participante se encontrava na unidade de atendimento, talvez tenham contribuído para o preenchimento integral das avaliações.
Se conhece pouco a respeito da ordem de aplicação de componentes de intervenção para as pessoas com FM e má qualidade do sono. Conforme apontado na introdução deste artigo, pesquisas com este propósito são escassas e possivelmente inexistentes, o que aponta para a originalidade deste estudo. Por outro lado, as limitações incluem o pequeno número de sessões, o tamanho da amostra, e o fato das participantes terem sido pareadas nos grupos, e não randomizadas, em função das diferenças clínicas e sociodemográficas. É possível ainda que as diferenças relacionadas as comorbidades, histórico de queixas, assim como mudanças pontuais antes da sessão (e.g.: realizou atividade com esforço físico, fez uso de medicação, privação de sono na noite anterior), tenham impactado diferencialmente os resultados entre as participantes do mesmo grupo. Esses aspectos são apresentados como limitações, geralmente observados em estudos envolvendo amostras clínicas e pequenos grupos (Keskindag & Karaaziz, 2017). Neste sentido, os resultados devem ser interpretados com cautela.
Estudos futuros precisam ser conduzidos visando replicar ou refutar estes dados, tendo como possibilidade aumentar o número de participantes e de sessões de cada componente, ou ainda desenvolver uma intervenção em grupo para a avaliação deste processo.
REFERÊNCIAS
Affleck, G., Tennen, H., Urrows, S., & Higgins, P. (1992). Neuroticism and the pain-mood relation in rheumatoid arthritis: Insights from a prospective daily study. Journal of Consulting and Clinical Psychology, 60, 119–126. doi: 10.1037/0022-006X.60.1.119
Barlow, D.H., & Haynes, S.C. (1979). Alternating treatments design: One strategy for comparing the effects of two treatments in a single subject. Journal of Applied Behavior Analysis, 9(2), 199-210. doi: 10.1901/jaba.1979.12-199
Bertolazi, A. N., Fagondes, S. C., Hoff, L. S., Dartora, E. G., da Silva Miozzo, I. C., de Barba, M. E. F., & Menna Barreto, S. S. (2011). Validation of the brazilian portuguese version of the Pittsburgh Sleep Quality Index. Sleep Medicine, 12(1),70–75. doi:10.1016/j. sleep.2010.04.020
Bowden, A., Lorenc, A., & Robinson, N. (2012). Autogenic training as a behavioural approach to insomnia: a prospective cohort study. Primary Health Care Research & Development, 13(2),175-85. doi: 10.1017/S1463423611000181.
Conselho Nacional de Saúde. (2016). Resolução nº 510/2016. Recuperado em 29 de outubro de 2018, de http://conselho.saude.gov.br/resolucoes/2016/Reso510.pdf
Choy, E. H. (2015). The role of sleep in pain and fibromyalgia. Nature Reviews Rheumatology, 11(9), 513–520. doi:10.1038/nrrheum.2015.56
Clauw, D. J. (2014). Fibromyalgia: A clinical review. Journal of the American Medical Association, 311(15), 1547-1555. doi: 10.1001/jama.2014.3266
Ferreira, K. A. S. L., de Andrade, D. C., & Teixeira, M. J. (2013). Development and validation of a brazilian version of the Short-Form McGill Pain Questionnaire (SF-MPQ). Pain Management Nursing, 14(4), 210–219. doi:10.1016/j.pmn.2011.04.006
Finan, P. H., Goodin, B., & Smith, M. T. (2013). The association of sleep and pain: An update and a path forward. Journal of Pain, 14(12), 1539-1552. doi: 10.1016/j.jpain.2013.08.00
Fordyce, W. (1976). Behavioral methods for chronic pain and illness. Saint.Louis: Mosby.
Freitas, R. P. A., Andrade, S. C., Spyrides, M. H. C., Micussi, M. T. A. B. C., & Souza, M. B. C. (2017). Impacto do apoio social sobre os sintomas de mulheres brasileiras com Fibromyalgia. Revista Brassileira de Reumatologia, 57(3), 197–203. doi: 10.1016/j. rbre.2016.07.001
Helfenstein-Junior, M. H., Goldenfum, M. A., & Siena, C. A. F. (2012). Fibromialgia: Aspectos clínicos e ocupacionais. Revista da Associação Médica Brasileira, 58(3), 358-365. doi: 10.1590/S0104-42302012000300018.
Joaquim, J., Soares, F., & Grossi, G. (2002). A randomized, controlled comparison of educational and behavioural interventions for women with fibromyalgia. Scandinavian Journal of Occupational Therapy, 9(1), 35-45. doi: 10.1080/110381202753505845
Kazdin, A. E. (1994). Methodology, design, and evaluation in pyschotherapy research. In A. E.Bergin & S. L. Garfield (Eds.), Handbook of psychotherapy and behavior change ( 3a ed., pp.19-71). New York: Wiley.
Keefe, F. J., Dunsmore, J., & Burnett, R. (1992). Behavioral and cognitive-behavioral approaches to chronic pain: recent advances and future directions. Journal of Consulting and Clinical Psychology, 60(4), 528-536. doi: 10.1037/0022-006X.60.4.528
Keskindag, B., & Karaaziz, M. (2017). The association between pain and sleep in fibromyalgia. Saudi Medical Journal, 38(5), 465–475. doi:10.15537/smj.2017.5.17864
Kirchner, L. F., & Reis, M. J. D. (2018). Efeitos de uma intervenção analítico-comportamental e do treino de relaxamento em mulheres com fibromialgia e má qualidade do sono: Um estudo piloto. Interação em Psicologia, 22(1), 42-55. doi: 10.5380/psi.v22i1.52501
Kirchner, L. F., Buela-Casal, G., & Reis, M. J. D. (2018). Terapia cognitivo-comportamental para dor e insônia em adultos: Revisão de ensaios clínicos. Revista Brasileira de Terapia Comportamental e Cognitiva, 19(4), 102-118. doi: 10.31505/rbtcc.v19i4.1097
Marianno, A.C.S., & Guilhardi, H.J. (2005). Terapia por contingências de reforçamento: um estudo de caso sobre depressão infantil e “fala alucinatória”. Psicologia: Teoria e Prática, 7(1), 167-183.
Mcfarlane, J.G., Shahal, B., Mously, C., & Moldofsky, H. (1996). Periodic k-alpha sleep eeg activity and periodic limb movements during sleep: Comparisons of clinical features and sleep parameters. Sleep, 19(3), 200-204. doi: 10.1093/sleep/19.3.200
Morin, C. M., & Espie, C. A. (2003). Insomnia: A clinical guide to assessment and treatment. New York: Kluwer academic.
Okifuji, A., & Hare, B. D. (2011). Nightly analyses of subjective and objective (actigraphy) measures of sleep in fibromyalgia syndrome. The Clinical Journal of Pain, 27(4), 289– 296. doi:10.1097/ajp.0b013e31820485db
Roehrs, T., & Roth, T. (2005). Sleep and pain: Interaction of two vital functions. Seminars in Neurology, 25(1), 106-116. doi: 10.1055/s-2005-867079
Roizenblatt, S., Neto, N. S., & Tufik, S. (2011). Sleep disorders and fibromyalgia. Current Pain and Headache Reports, 15(5), 347-357. doi: 10.1007/s11916-011-0213-3
Roshan, R., Tavoli, A., Sedighimornani, N., Goljani, Z., & Shariatpanahi, Z.S. (2017). Effects of relaxation and stress management training on fibromyalgia symptoms in women. Rheumatology Research , 3(2), p. 119-126. doi: 10.22631/RR.2017.69997.1030
Smitherman, T. A., Walters, A. B., Davis, R. E., Ambrose, C. E., Roland, M., Houle, T. T., & Rains, J. C. (2016). Randomized controlled pilot trial of behavioral insomnia treatment for chronic migraine with comorbid insomnia. Headache. 56(2), 276-291. doi: 10.1111/head.12760
Smythe, H. A., & Moldofsky, H. (1978). Two contributions to understanding of the “fibrositis” syndrome. Bulletin on the Rheumatic Diseases, 28(1), 928-931.
Sturgeon, J. A. (2014). Psychological therapies for the management of chronic pain. Psychology Research and Behavior Management, 10(7), 115-124. doi: 10.2147/PRBM.S44762
Tang, N. K. Y., Goodchild, C. E., & Salkovskis, P. M. (2012). Hybrid cognitive-behaviour therapy for individuals with insomnia and chronic pain: A pilot randomised controlled Trial. Behaviour Research and Therapy, 50(12), 814-821. doi: 10.1016/j.brat.2012.08.006
Thieme, K., Gromnica-Ihle, E., & Flor, H. (2003). Operant behavioral treatment of fibromyalgia: A controlled study. Arthritis and Rheumatism, 49(3), 314-320. doi: 10.1002/art.11124
Vitiello, M. V., Mccurry, S. M., Shortreed, S. M., Balderson, B. H., Baker, L. D., Keefe, F. J., Rybarczyk, B.D., & Von Korff, M. (2013). Cognitive-behavioral treatment for comorbid insomnia and osteoarthritis pain in primary care: the lifestyles randomized controlled trial. American Geriatrics Society, 61(6), 947-956. doi: 10.1111/jgs.12275
Ward‐Horner, J., & Sturmey, P. (2012). Component analysis of behavior skills training in functional analysis. Behavioral Interventions, 27(2), 75-92. doi: 10.1002/bin.1339
Ward-Horner, J., & Sturmey, P. (2010). Component analyses using single-subject experimental designs: A review. Journal of Applied Behavior Analysis, 43(4), 685–704. doi: 10.1901/ jaba.2010.43-685
Autor notes
Contato do autor responsável pela publicação: Luziane de Fátima Kirchner. Filiação: Universidade Católica Dom Bosco (UCDB). Programa de Pós-Graduação em Psicologia. Avenida Almirante Tamandaré, 6000. Jardim. Seminário – Campo Grande. CEP:79117-010. luzianefk@gmail.com