Artículos

Recepción: Agosto , 19, 2019
Aprobación: Octubre , 08, 2019
Resumen: El propósito principal del presente estudio fue determinar el efecto del Entrenamiento en Habilidades Conductuales (BST por sus siglas en inglés) sobre el establecimiento de dos ha- bilidades sociales en niños con Trastorno del Espectro Autista (TEA). Un segundo propósito fue evaluar si había una diferencia en el efecto del BST utilizando diferentes modelos. Las conductas sociales entrenadas fueron: el acercamiento a un actor que representaba alguna emoción y la emisión de una frase apropiada para la emoción representada. Participaron 3 niños diagnosticados con TEA. Se utilizó un diseño de Línea Base Múltiple entre sujetos. Du- rante la Línea Base un actor representó una de tres emociones: frustración, felicidad o dolor, las respuestas de los participantes no tuvieron consecuencias programadas. Durante el BST las instrucciones y el modelado de las respuestas correctas se presentaron mediante un video. El modelo de la respuesta fue una niña, un adulto o un superhéroe. Seguido de la presentación del video, un actor representó alguna de las emociones y se registró el número de respuestas correctas. El porcentaje de respuestas correctas incrementó durante el entrenamiento en BST en comparación con la Línea Base para los tres participantes. No se encontró diferencia en la efectividad del BST con los diferentes modelos.
Palabras clave: Entrenamiento en habilidades conductuales, autismo, habilidades sociales.
Abstract:
The purpose of the present paper was to evaluate the effect of Behavioral Skill Training (BST) on social skills in children with autism. A second purpose was to evaluate the effect of different kinds of models on social skills in children with autism. Social skills were operationally defi-
ned as a contextually appropriate motor and vocal responses to a display of affect by a model. Participants included three children with autism. A multiple baseline design across participants was used. During the baseline an actor represented one of three emotions, frustration, happi- ness or pain. There were not programmed consequences for the responses of the participants. During the BST the instructions and model of the correct response was present in a video. The models were an adult, a child or a superhero. Following the presentation of the video an actor represented the emotion and the correct responses of the participant were recorded. Appro- priate motor and vocal responses increased with the introduction of the BST. There was no difference in the motor and vocal responses when comparing the different models.
Keywords: Behavioral Skills Training, autism, social skills.
La conducta social se define
La conducta social se define como aquella requerida para interactuar con otras personas en diversos contextos (Miltenberger, Zerger, Novotny & Livingston, 2017). La conducta social permite a los individuos establecer relaciones que a su vez pueden resultar en el desarrollo de habilidades de comunicación y lenguaje y el contacto con reforzadores sociales (Kornacki, Ringdahl, Sjostrom & Nuernberger, 2013). Además, la conducta social se correlaciona con índices de competencia social y aceptación de otros (Coie, Dodge & Kupersmidt, 1990; Dunn & Munn, 1986; Farver & Branstetter, 1994; Lovaas, Koegel, Simmons & Long, 1973; Sigman, 1998; Vitaro, Gagnon & Tremblay, 1990).
Los niños diagnosticados con Trastorno del Espectro Autista (TEA), a menudo muestran deficiencias en diversas formas de conducta social, tales como: falta de orientación hacia estímulos sociales, falta de contacto visual, problemas para iniciar interacciones sociales, dificultad para interpretar claves sociales, verbales y no verbales, respuestas emocionales in- adecuadas y falta de empatía (Weiss & Harris, 2001). También pueden mostrar dificultad para compartir experiencias afectivas o para entender la perspectiva de otros, dos habilidades ne- cesarias para la reciprocidad social y el desarrollo de amistades (Gutstein & Whitney, 2002). Existen investigaciones que muestran que las deficiencias en la conducta social de algunos individuos diagnosticados con TEA se pueden observar desde los primeros meses de vida (Sigman, Dijamco, Granier & Rozga, 2004) y se vuelven más sobresalientes entre los 12 meses y 3 años de edad (Howlin & Moore, 1997). En esta etapa algunos niños diagnosticados con TEA muestran atención reducida a estímulos sociales, poco contacto visual (Gilberg et al., 1990) y un incremento en el nivel de aislamiento de otros niños (Dahlgren & Gilberg, 1989; McConnell, 2002). Las deficiencias en la conducta social son un impedimento para la interacción con otros niños en la etapa escolar (Bellini, Peters, Benner & Hopf, 2007). Duran- te la adolescencia, los problemas derivados de las deficiencias en la conducta social pueden incrementar, debido a que el mundo social se vuelve más complejo (Schopler & Mesiboy,
1983; Tantam, 2003).
Algunos jóvenes diagnosticados con TEA con frecuencia reportan el deseo de tener ma- yor interacción social con otros jóvenes, perciben menor apoyo social y mayor soledad que individuos de su misma edad sin diagnóstico de TEA (Bauminger & Kasari, 2000). También existe evidencia de que las deficiencias en la conducta social en jóvenes con TEA afectan el rendimiento académico (Howlin & Goode, 1998), se relacionan con problemas de ansiedad y emocionales en el posterior desarrollo del individuo (Myles, Bock & Simpson, 2001; Tan- tam, 2003) y afectan las interacciones con la familia, compañeros y otros adultos, así como
la capacidad para establecer relaciones satisfactorias con otros (Krasny, Williams, Provencal
Debido a las consecuencias negativas derivadas de las deficiencias en la conducta social, muchas investigaciones se han enfocado en el desarrollo de procedimientos orientados al entrenamiento de dichas conductas en individuos con TEA.
Un procedimiento utilizado para el desarrollo de habilidades sociales es el entrenamiento de habilidades conductuales (BST, por sus siglas en inglés), el cuál consta de cuatro com- ponentes. El primer componente son las instrucciones, que consisten en describir de manera detallada la conducta correcta o la secuencia de conductas correctas y el contexto en el que tales conductas deben ocurrir. El segundo componente es el modelado que consiste en la demostración de la conducta correcta en una simulación del contexto en el que se espera que la conducta ocurra. El tercer componente es el ensayo, inmediatamente después de las instrucciones y el modelado, el participante debe tener la oportunidad de ensayar la conducta que se desea enseñar. El último componente consiste en la retroalimentación y reforzamiento de las respuestas correctas en cada ensayo (Miltenberger, 2016). Después de la retroalimentación el participante debe ensayar la conducta hasta que ésta se lleve a cabo de manera correcta en múltiples ensayos (Miltenberger, Zerger, Novotny & Livingston, 2017).
El BST se ha utilizado de manera exitosa para enseñar habilidades de comunicación vocal y no vocal a jóvenes adultos con TEA (Kornacki, Ringdahl, Sjostrom & Nuernberger, 2013; Nuernberger, Ringdahl, Vargo, Crumpecker & Gunnarsson, 2013) y habilidades de conversación a niños y adolescentes (Palmen, Didden & Arts, 2008; Peters & Thompson, 2015). Se ha entrenado también, el contacto visual, habilidades de juego, formulación de preguntas, (e.g., Barry et al., 2003; Stewart et al., 2007), interacción con otros involucrando objetos o actividades mutuamente reforzantes (e.g., Gaylord-Ross, Haring, Breen, & Pitts- Conway, 1984) y el juicio respecto al interés de otros en distintos temas de conversación (Peters & Thompson, 2015).
Evaluar la generalidad del BST en conductas y contextos diferentes a aquellos en los que se ha estudiado puede aportar información sobre las situaciones en las que se puede aplicar con resultados favorables. En México no existen estudios en los que se haya evaluado la efectividad del procedimiento para el establecimiento de conducta social.
El propósito principal del presente estudio fue determinar el efecto del BST sobre el establecimiento de dos habilidades sociales en niños con TEA. Las conductas sociales entre- nadas fueron: el acercamiento a un actor que representaba alguna emoción y la emisión de una frase apropiada a la emoción representada en un lapso menor de 3 s entre la demostración de emoción y la respuesta del participante.
Se eligieron dichas respuestas debido a que pueden ser la base de otras conductas sociales y facilitar interacciones con otros. Las interacciones sociales son oportunidades de aprendizaje de diversas conductas.
Tanto las emociones representadas como las frases emitidas por el actor y las consideradas respuestas correctas se eligieron con base en un estudio anterior sobre conducta social en niños con TEA (Schrandt, Townsend, Poulson, 2009).
Un segundo propósito del presente estudio fue evaluar si había una diferencia en el efecto del BST utilizando diferentes modelos. Se evaluó la efectividad del modelo debido a que Miltenberger, et al. (2017) mencionan que para que el modelado sea efectivo el modelo debe tener características similares al participante, por ejemplo, la edad, o debe tener un estatus mayor, por ejemplo, los padres o maestros, una celebridad, etcétera, sin embargo, no se sabe
si existe una diferencia en la efectividad del BST en función del tipo de modelo. Evaluar la eficacia de distintos tipos de modelos puede ser útil para determinar la flexibilidad del BST y en todo caso conocer la forma más efectiva de implementar el componente de modelado.
MÉTODO
Participantes
Participaron 3 niños diagnosticados con TEA. Dos de los participantes acudían a un Centro de Atención Múltiple (CAM), ubicado en Ensenada, Baja California, México, 5 días a la semana. En el CAM se atiende a niños con diferentes trastornos del desarrollo. El otro par- ticipante acudía a una escuela regular en la misma ciudad. Los participantes al momento del estudio tenían 5, 6 y 7 años de edad. Los criterios de inclusión fueron que los participantes no hicieran contacto visual ni emitieran una frase apropiada a la demostración de cualquier emoción por parte de otros, que pudieran orientar la mirada a un video por un periodo de al menos 5 minutos, que dentro de su repertorio conductual estuviera la imitación, la emisión de frases cortas, el reconocimiento de emociones y que respondieran al halago como reforzador.
Con el objetivo de verificar los requisitos de inclusión se llevaron a cabo pruebas antes del inicio del estudio. Para la respuesta de imitación, la prueba consistió en mostrar 3 conduc- tas a cada participante y registrar si las imitaba. Las conductas mostradas fueron: aplaudir, tocar su cabeza y tocar su nariz. Se llevaron a cabo 9 ensayos, 3 para cada tipo de respuesta, en una única sesión de prueba. La respuesta de atender a un video por un periodo de al menos 5 minutos se verificó con una prueba que consistió en presentar al participante un video durante 8 minutos y registrar la duración de la respuesta de orientación visual al video. Para verificar el criterio de la respuesta de reconocimiento de emociones, a cada participante se le presen- taron imágenes de diferentes rostros mostrando frustración, felicidad o dolor, el participante tenía que señalar la imagen correcta de acuerdo a la emoción que se le pedía identificar. Se llevaron a cabo 9 ensayos, 3 para cada tipo de emoción, en una única sesión de prueba. El criterio de que no hicieran contacto visual ni emitieran una frase apropiada a la demostración de cualquier emoción por parte de otros se verificó durante la Línea Base, si el participante mostraba alguna de dichas respuestas no se continuaba con la fase de BST. El criterio de emisión de frases cortas y respuesta al halago como reforzado se verificó a través del reporte de los padres.
Materiales y escenario
Las sesiones se llevaron a cabo en un salón que disponía de un escritorio, sillas y gabinetes cerrados con llave. Las sesiones se videograbaron con una cámara Canon ® HF R800, mon- tada en un tripie Solidex ® TR-9. Las instrucciones y el modelado de la respuesta apropiada a tres emociones, frustración, felicidad y dolor, se presentaron por medio de videograbaciones reproducidas en una computadora portátil, marca HP ®, modelo 15-da0009la.
Las instrucciones y el modelado para cada emoción las presentaba una niña, un adulto o un superhéroe animado diseñado para esta investigación. Los modelos se eligieron de forma que uno de ellos representara autoridad (el adulto), otro representara similitud (la niña) y otro fuera saliente considerando la edad de los participantes (el superhéroe).
Las instrucciones presentadas en el video de frustración fueron:
“Hola, mi nombre es (el nombre del niño, adulto o superhéroe), apoyar a otras personas es importante para hacer amigos, si quieres mostrar apoyo a otras personas tienes que observar si la persona muestra preocupación y dice “no puedo”, acercarte a la persona, decirle “¿te ayudo?”.
Seguido de las instrucciones aparecía el niño, el adulto o el superhéroe modelando la conduc- ta, el modelo se acercaba a un niño que emitía la frase “no puedo”, y decía: “¿te ayudo?” ante lo cual el niño en el video respondía “sí, gracias”.
Las instrucciones presentadas en el video de felicidad fueron:
“Hola, mi nombre es (el nombre del niño, adulto o superhéroe), apoyar a otras personas es importante para hacer amigos, si quieres mostrar apoyo a otras personas tienes que observar si la persona muestra una sonrisa y dice “gané”, acercarte a la persona, decirle “felicidades”.
Seguido de las instrucciones aparecía el niño, el adulto o el superhéroe modelando la conduc- ta, el modelo se acercaba a un niño que emitía la frase “gané”, y decía: “felicidades”, ante lo cual el niño en el video respondía “gracias”.
Las instrucciones presentadas en el video del dolor fueron:
“Hola, mi nombre es (el nombre del niño, adulto o superhéroe), apoyar a otras personas es importante para hacer amigos, si quieres mostrar apoyo a otras personas tienes que observar si la persona muestra cara de dolor y dice “me duele”, acercarte a la persona, decirle “¿estás bien?”.
Seguido de las instrucciones aparecía el niño, el adulto o el superhéroe modelando la conduc- ta, el modelo se acercaba a un niño que emitía la frase “me duele”, y decía: “¿estás bien?”, ante lo cual el niño en el video respondía “sí, gracias”.
Se utilizaron 9 videos, uno para cada emoción con cada tipo de modelo, con una dura- ción de un minuto aproximadamente.
Variables dependientes y recolección de datos
En cada ensayo se registraron dos variables dependientes, una fue si el participante se acercaba a un actor al representar la emoción y la otra si emitía la frase apropiada. Para la frustración, la respuesta apropiada fue la emisión de la frase “¿te ayudo?” hacia un actor que expresó verbalmente “no puedo”. Para la felicidad, la respuesta apropiada fue la emisión de la frase “felicidades” hacia un actor que emitió la frase “gané”. Para el dolor, la respuesta correcta fue la emisión de la frase “¿estás bien?” hacia un actor que emitió la frase “me duele”. En todos
los casos se consideró como respuesta correcta la emisión de cualquier frase que tuviera el mismo sentido que la frase con la que se modeló la conducta.
Registro y acuerdo entre observadores
Dos observadores, estudiantes de la carrera de psicología registraron en cada sesión si la res- puesta emitida en cada ensayo fue correcta para ambas variables dependientes. Se analizaron los registros de cada sesión y se calculó el porcentaje de confiabilidad de las observaciones dividiendo el número de acuerdos entre el número de desacuerdos más el número de acuerdos y multiplicando ese resultado por 100. El acuerdo entre observadores varió entre 88 y 100 % a través de todas las sesiones y todos los participantes. Se considero como criterio de validez de los registros que se cumpliera con mínimo el 80% de acuerdo entre observadores.
Diseño
Se utilizó un diseño de Línea Base Múltiple entre participantes. El Participante 1 estuvo expuesto a las tres emociones, con el orden de presentación: dolor, frustración felicidad. Se utilizó un diseño A-B para cada emoción. Para la emoción de dolor se llevaron a cabo tres sesiones de Línea Base seguidas de dos sesiones de BST. Para la emoción de frustración se llevó a cabo una sesión de Línea Base seguida de una sesión de BST. Para la emoción de feli- cidad se llevó a cabo una sesión de Línea Base seguida de una sesión de BST. El participante 2 estuvo expuesto a la emoción de frustración con un diseño A-B. Se llevaron a cabo cuatro sesiones de Línea Base seguidas de doce sesiones de BST. El participante 3 estuvo expuesto a la emoción de felicidad con un diseño A-B. Se llevaron a cabo siete sesiones de Línea Base seguidas de doce sesiones de BST.
Procedimiento
Línea Base
Cada sesión de Línea Base consistió en 9 ensayos en los que el actor, que fue un estudiante de psicología diferente en cada sesión, representó una de las tres emociones, frustración, felicidad o dolor. En cada ensayo el actor se encontraba sentado frente una mesa cerca del niño y emitía la frase “no puedo”, “gané” o “me duele” y si el participante emitía la frase apropiada el actor contestaba: “gracias”.
El Participante 1 fue expuesto a las tres emociones, se llevó a cabo la Línea Base, para cada emoción. El Participante 2 estuvo expuesto a la emoción de frustración y el Participante 3 estuvo expuesto a la emoción de felicidad.
Durante esta fase del estudio las respuestas de los participantes no tuvieron consecuen- cias programadas. Se registró el número de respuestas correctas tanto de acercamiento al actor como de emisión de la frase apropiada.
BST
Cada sesión consistió en 9 ensayos, en 3 ensayos las instrucciones y el modelado las presentó el adulto, en otros 3 ensayos la niña y en otros 3 ensayos el superhéroe animado. Para el participante 1 el criterio para cambiar de emoción fue que hubiera 100% de ensayos correctos en una sesión para ambas respuestas, el acercamiento al actor y la emisión de la frase apropiada, con los tres modelos.
En todos los ensayos las instrucciones y el modelado se presentaron por medio de un video. El orden de los ensayos con diferente modelo fue aleatorio. Seguido de la presentación del video, el actor representó la emoción que se estaba entrenando y se registró si el partici- pante llevaba a cabo la respuesta de acercarse y de emisión de la frase apropiada. Cuando el participante llevó a cabo la conducta de manera correcta, se presentó un reforzador social a través de frases como “muy bien”, “buen trabajo”, “así se hace”. En los ensayos en los que la respuesta correcta no ocurrió, alguno de los observadores proporcionó retroalimentación que consistió en informar al participante si había algún componente de la respuesta correcto seguido de las instrucciones del componente de la respuesta que no había ocurrido.
Dos observadores registraron, de manera independiente, los ensayos en los que el parti- cipante emitió la respuesta correcta.
RESULTADOS
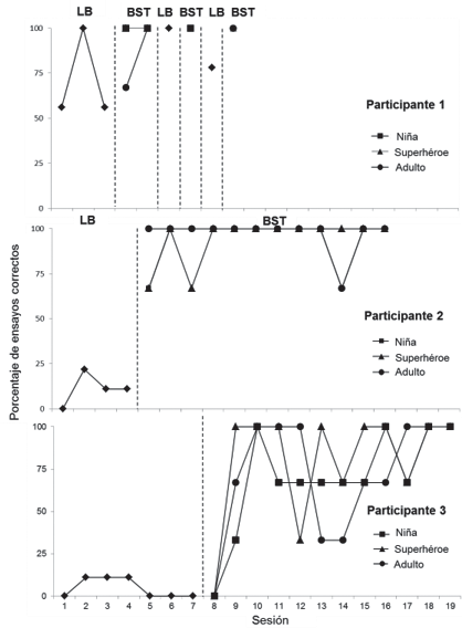
En la Figura 1 se muestra el porcentaje de ensayos correctos de los tres participantes durante la Línea Base y la fase de BST con los tres tipos de modelo para la variable de acercamiento al actor. La serie de datos que corresponde a la Línea Base se muestra con un rombo. La serie de datos que corresponde a la niña se muestra con cuadrados, al superhéroe con triángulos y al adulto con círculos. En el panel superior se muestran los datos del Participante 1, en el panel medio se muestran los datos del Participante 2 y en el panel inferior se muestran los datos del Participante 3.
En la Línea Base de dolor para el Participante 1 el porcentaje de ensayos correctos va- río entre 56 y 100 %. Durante el BST el porcentaje de ensayos correctos alcanzó el 100 % cuando el modelo fue la niña y el superhéroe desde la primera sesión, cuando el modelo fue el adulto el porcentaje de ensayos correctos incrementó del 67 al 100 % entre la primera y la segunda sesión. Para la emoción de frustración el porcentaje de ensayos correctos durante la Línea Base y el BST alcanzó el 100 % en una sesión con los tres modelos. Para la emoción de felicidad el porcentaje de ensayos correctos en la Línea Base fue de 78 % e incrementó al 100 % durante el BST en una sesión con los tres modelos. Para el Participante 2 expuesto a la emoción de frustración el porcentaje de ensayos correctos durante la Línea Base fue de máximo 22 %, durante el BST el porcentaje de ensayos correctos con los tres modelos fue del 100 %, excepto en una sesión para cada tipo de modelo. Para el Participante 3 expuesto a la emoción de felicidad el porcentaje de ensayos correctos durante la Línea Base fue de máximo 11 %, durante el BST el porcentaje de respuestas correctas llegó al 100 % en las últimas dos sesiones con los tres modelos.

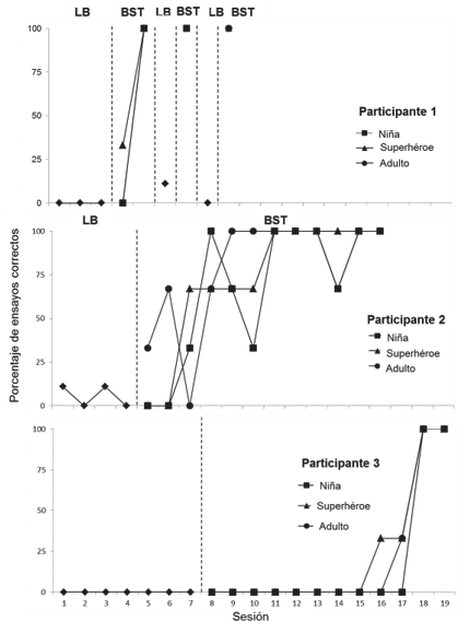
En la Figura 2 se muestra el porcentaje de ensayos correctos de los tres participantes durante la Línea Base y la fase de BST con los tres tipos de modelo para la variable emisión de la frase apropiada. La serie de datos que corresponde a la niña se muestra con cuadrados, al super- héroe con triángulos y al adulto con círculos. En el panel superior se muestran los datos del Participante 1, en el panel medio se muestran los datos del Participante 2 y en el panel inferior se muestran los datos del Participante 3. En la Línea Base de dolor para el Participante 1 el porcentaje de ensayos correctos fue de 0 %, durante el BST el porcentaje de ensayos correc- tos alcanzó el 33 % con el superhéroe como modelo desde la primera sesión y el 100% en la segunda sesión con los tres modelos. Para la emoción de frustración el porcentaje de ensayos correctos durante la Línea Base fue del 11 % y durante el BST alcanzó el 100 % con los tres
modelos, para la emoción de felicidad el porcentaje de ensayos correctos durante la Línea Base fue del 0 % y alcanzó el 100 % durante el BST con los tres modelos, en una sola sesión. Para el Participante 2 expuesto a la emoción de frustración el porcentaje de ensayos correctos durante la Línea Base fue de máximo 11 %, durante el BST el porcentaje de respuestas correc- tas aumentó gradualmente hasta llegar al 100% con los tres tipos de modelo.
Para el Participante 3 expuesto a la emoción de felicidad el porcentaje de ensayos co- rrectos durante la Línea Base fue de 0 %, durante el BST el porcentaje de ensayos correctos incrementó a partir de la sesión 16 con el superhéroe como modelo, a partir de la sesión 17 con el adulto y a partir de la sesión 18 con la niña, hasta llegar al 100 % con los tres modelos.

DISCUSIÓN
El propósito principal del presente estudio fue determinar el efecto del BST sobre el esta- blecimiento de dos habilidades sociales en niños diagnosticados con TEA. Las conductas sociales entrenadas fueron: el acercamiento a un actor que mostraba alguna emoción y la emisión de una frase apropiada a la emoción representada en un lapso menor de 3 s entre la demostración de emoción y la respuesta del participante. Se encontró que ambas respuestas incrementaron durante el entrenamiento en BST en comparación con la Línea Base para los tres participantes.
Cabe destacar que los participantes del presente estudio ya contaban con algunas habilidades sociales al inicio del mismo, entre su repertorio se encontraba la imitación y la res- puesta al halago social como reforzador, también mostraban cierta forma de interacción social que consistía en la emisión de alguna frase al actor que mostraba la emoción, sin embargo, en la mayoría de los ensayos la frase emitida por el participante no era apropiada. Como mencionan Schrandt, Townsend y Poulson (2009), en el caso de algunos individuos con TEA las deficiencias en la conducta social pueden no reflejar la falta de respuestas necesarias en el repertorio conductual sino más bien la falta de habilidad para diferenciar los estímulos en cuya presencia alguna respuesta especifica sería apropiada, en el caso de los participantes del presente estudio, el procedimiento fue efectivo para modelar la frase apropiada a una emoción en particular y la ocurrencia de dicha frase ante un estímulo específico. Tales conductas pueden ser la base de otras conductas sociales.
Un segundo propósito fue evaluar si había una diferencia en el efecto del BST utilizando diferentes modelos, no se encontró diferencia en la efectividad del BST cuando el modelo de la conducta fue una niña, un adulto o un superhéroe animado. Con base en este resultado se puede concluir que el BST puede ser flexible en los componentes de instrucciones y modelado y aún ser efectivo en el desarrollo de habilidades, lo cual supone una ventaja del procedimien- to en cuanto a la accesibilidad del mismo. Cabe señalar que es posible que debido a que los participantes contaban al inicio del estudio con algunas conductas sociales fueran sensibles a cualquier tipo de modelo y por eso no se observaron diferencias. Sería útil llevar a cabo más investigaciones con participantes con un repertorio de conducta social menos variado.
El incremento de las respuestas sociales entrenadas en el presente estudio con la introducción del BST es un resultado congruente con resultados de estudios previos en los que se muestra que el BST es un procedimiento efectivo para el desarrollo de distintas habilidades sociales (e.g., Barry et al., 2003; e.g., Gaylord-Ross, Haring, Breen, & Pitts-Conway, 1984; Nuernberger et al. 2013; Palmen et al. 2008; Peters & Thompson, 2015; Stewart et al., 2007). El presente estudio aporta evidencia de la generalidad del BST en población de niños diagnosticados con TEA que tienen en su repertorio conductas sociales que facilitan que el
entrenamiento sea efectivo para establecer y fortalecer otras habilidades sociales.
Mostrar la generalidad del procedimiento puede favorecer su utilización en diversos contextos. En México, por ejemplo, la práctica clínica enfocada en las conductas mostradas frecuentemente por los individuos con TEA, ha estado predominantemente alejada de las intervenciones basadas en evidencia, dichas intervenciones no son ampliamente difundidas ni utilizadas. La implementación de intervenciones efectivas, basadas en evidencia puede asegurar que los usuarios de esas intervenciones serán beneficiados.
Cabe destacar que el BST tiene varias ventajas, la primera es que puede ser implementando por los padres o maestros que reciban el entrenamiento adecuado, Stewart et al. (2007)
mostraron la efectividad del BST implementado por la familia de un niño con trastorno de Asperger para el desarrollo de habilidades como el contacto visual y habilidades de conver- sación. Otros investigadores han mostrado la efectividad del BST implementado por padres y maestros de niños con TEA (Dogan, King, Fischetti, Lake, Mathews & Warzak, 2017; Radley, Jensen, Clarke & O´Neill, 2014b; Sarokoff & Sturmey, 2004).
La segunda ventaja es que se pueden elaborar manuales de intervención basados en el BST de tal manera que el procedimiento sea más accesible para los niños que se puedan beneficiar de él. Algunos autores (Rao, Beidel & Murray, 2008; Williams, Kooning & Sca- hill, 2007) han reconocido la importancia de desarrollar manuales, que sean implementados fácilmente en escenarios naturales, como escuelas o centros comunitarios. Por otro lado, un manual concreto en el que se describa la intervención de manera detallada sería de gran utilidad en el entrenamiento de profesionales. Existen estudios en los que se ha evaluado la efectividad de intervenciones descritas en manuales, tales como el Superheroes Social Skills (Jenson, et al., 2011) que involucra componentes del BST, dicha intervención consiste en una descripción de la habilidad social a entrenar a través de un video, el modelamiento de la habilidad por el superhéroe y por niños a través de video o en vivo, el ensayo de la habilidad con niños de desarrollo típico, la retroalimentación del facilitador que consiste en halago y la corrección de errores, el juego social en el cual el participante puede utilizar la habilidad y recibir reforzamiento social y el uso de tarjetas de auto-monitoreo durante los ensayos (Radley et al., 2014a, 2014c, 2015, 2016).
Una limitación del presente estudio es que no se llevó a cabo una prueba de generalización ni de mantenimiento de la habilidad adquirida, debido a que los participantes no pudieron seguir asistiendo a las sesiones. Dichas pruebas son importantes debido a que el objetivo final de cualquier intervención de análisis conductual aplicado es que la conducta objetivo se generalice a ambientes naturales donde los reforzadores no están programados por un investigador. En estudios posteriores se podrían implementar técnicas para promover la generalización, como utilizar ejemplares múltiples, entrenar variaciones de la conducta objetivo, incorporar estímulos del ambiente natural en el entrenamiento, elegir conductas objetivo que sea probable que hagan contacto con reforzadores en el ambiente natural y reforzar la generalización en el
ambiente natural (Miltenberger, et. al, 2017).
REFERENCIAS
Barry, T., Klinger, L., Lee, J., Palardy, N., Gilmore, T. & Bodin, S. (2003). Examining the effectiveness of an outpatient clinic–based social skills group for high functioning chil- dren with autism. Journal of Autism and Developmental Disorders, 33, 685–701. DOI https://doi.org/10.1023/B:JADD.0000006004.86556.e0
Bauminger, N. & Kasari, C. (2000). Loneliness and friendship in high-functioning children with autism. Child Development, 71, 447–456. DOI 10.1111/1467-8624.00156
Bellini, S., Peters, J., Benner, L. & Hopf, A. (2007) A meta-analysis of school-based social skills interventions for children with Autism Spectrum Disorders. Remedial and Special Education 28(3), 153–162. DOI https://doi.org 10.1177%2F07419325070280030401
Coie, J., Dodge, K. & Kupersmidt, J. (1990). Peer group behavior and social status. In S. R. Asher & J. D. Coie (Eds.), Peer rejection in childhood (pp. 17–59). Cambridge, En- gland: Cambridge University Press.
Dahlgren, S. & Gillberg, C. (1989). Symptoms in the first two years of life: A preliminary po- pulation study of infantile autism. European Archives of Psychiatry and Neurological Sciences, 238, 169-174. DOI https://doi.org/10.1007/BF00451006
Dogan, R., King, M., Fischetti, A., Lake, C., Mathews, T. & Warzak, L. (2017). Parent- imple- mented behavioral skills training of social skills. Journal of Applied Behavior Analysis, 50, 805-818. DOI 10.1002/jaba.411
Dunn, J. & Munn, P. (1986). Siblings and the development of prosocial behavior. Inter- national Journal of Behavioral Development, 9, 265–284. DOI https://doi.org/ 10.1177%2F016502548600900301
Farver, J. & Branstetter, H. (1994). Preschoolers’ prosocial responses to their peers’ dis- tress. Developmental Psychology, 30, 334–341. DOI https://psycnet.apa.org/doi/ 10.1037/0012-1649.30.3.334
Gaylord-Ross, R., Haring, T., Breen, C. & Pitts- Conway, V. (1984). The training and ge- neralization of social interaction skills with autistic youth. Journal of Applied Beha- vior Analysis, 17, 229–247. DOI https://dx.doi.org/10.1901%2Fjaba. 1984.17-229
Gutstein, S. & Whitney, T. (2002). Asperger syndrome and the development of social compe- tence. Focus on Autism and Other Developmental Disabilities, 17(3), 161– 171. DOI https://doi.org/10.1177/10883576020170030601
Howlin, P. & Goode, S. (1998). Outcome in adult life for people with autism, asperger syn- drome. In F. R. Volkmar (Eds.), Autism and pervasive developmental disorders (pp. 209– 241). New York: Cambridge University Press.
Howlin, P. & Moore, A. (1997) Diagnosis in autism a survey of over 1200 patients in the UK.
Jenson, W. R., Bowen, J., Clark, E., Block, H., Gabrielsen, T., Hood, J., Radley, K., & Springer, B. (2011). Superheroes social skills: A multimedia program. Eugene, OR: Pacific
Gilberg, C., Ehlers, S., Schumann, H., Jakobsson, G., Dahlgren, S., Lindblom, R., Bagenholm, A., Tjuus, T. & Blidner, E. (1990). Autism under age 3 years: a clini- cal study of 28 cases referred for autistic symptoms in infancy. Journal of Child Psychology and Psychiatry and Allied Disciplines 31(6) 921–934. DOI https:// doi. org/10.1111/j.1469-7610. 1990.tb00834.x
Kornacki, L., Ringdahl, J., Sjostrom, A., & Nuernberger, J. (2013). A component analysis o f a behavioral skills training package used to teach conversation skills to young adults with autism spectrum and other developmental disorders. Research in Autism Spec- trum Disorders, 7, 1370–1376. DOI http://dx.doi.org/10.1016/j.rasd. 2013.07.012
Krasny, L., Williams, B., Provencal, S., & Ozonoff, S. (2003). Social skills interventions for the autism spectrum: essential ingredients and a model curriculum. Child and Adolescent Psychiatric Clinics in North America, 12(1), 107–122. DOI https:// doi. org/10.1016/S1056-4993(02)00051-2
Lovaas, O., Koegel, R., Simmons, J., & Long, J. (1973). Some generalization and follow- up measures on autistic children in behavior therapy. Journal of Applied Behavior Analysis, 6, 131–166. DOI https://dx.doi.org/10.1901%2Fjaba.1973.6-131
McConnell, S. (2002). Interventions to facilitate social interaction for young children with Autism: Review of available research and recommendations for educational interven- tion and future research. Journal of Autism and Developmental Disorders, 32, 351– 373. DOI https://doi.org/10.1023/A:1020537805154
Miltenberger, R. (2016). Behavior modification: Principles and procedures (6th ed.). Boston: Cengage Learning.
Miltenberger, R., Zerger, H., Novotny, M., & Livingston, C. (2017). Behavioral Skill Training to Promote Social Behavior of Individuals with Autism. Handbook of Social Skills and Autism Spectrum Disorder, Autism and Child Psychopathology Series, Ed. Springer International Publishing J.B. Leaf. DOI https://doi.org/ 10.1007/978-3-319-62995-7_19
Myles, B., Bock, S., & Simpson, R. (2001). Asperger syndrome diagnostic scale. Austin, TX: Pro-Ed.
Nuernberger, J., Ringdahl, J., Vargo, K., Crumpecker, A., & Gunnarsson, K. (2013). Using a behavioral skills training package to teach conversation skills to young adults with autism spectrum dis- orders. Research in Autism Spectrum Disorders, 7, 411–417. DOI DOI: 10.1016/j.rasd.2012.09.004
Palmen, A., Didden, R., & Arts, M. (2008). Improving question asking in high-functioning adolescents with autism spectrum disorders: Effectiveness of small- group training. Autism, 12, 83–98. DOI 10.1177/1362361307085265
Peters, L., & Thompson, R. (2015). Teaching children with autism to respond to conversation partners’ interest. Journal of Applied Behavior Analysis, 48, 544–562. DOI 10.1002/ jaba.235.
Radley,K.,Jenson,W.,Clark,E.,&O’Neill,R.(2014b).Thefeasibilityandeffectsofaparent-facili- tated social skills training program on social engagement of children with autism spectrum disorder. Psychology inthe Schools, 51, 241–255. DOI https://doi.org/10.1002/pits.21749
Radley, K., Ford, W., Battaglia, A., & McHugh, M. (2014a). The effects of a social skills training package on social engagement of children with autism spectrum disor- ders in a generalized recess setting. Focus on Autism and Other Developmental Dis- abilities, 29, 216–229. DOI https://doi.org/10.1177%2F1088357614525660
Radley, K., Ford, W., McHugh, M., Dadakhodjaeva, K., O’Handley, R., Battaglia, A. & Lum, J. (2015). Brief report: Use of superheroes social skills to promote accurate social skill use in children with autism spectrum disorder. Journal of Autism and Developmental Disorders, 45, 3048–3054. DOI 10.1007/s10803-015-2442-5.
Radley, K., Hanglein, J., & Arak, M. (2016). School- based social skills training for preschool age children with autism spectrum disorder. Autism, 20, 938–951. DOI https://doi. org/10.1177/1362361315617361
Radley, K., O’Handley, R., Ness, E., Ford, W., Battaglia, A., McHugh, M., & McLemore, C. (2014c). Promoting social skill use and generalization in children with autism spec- trum disorder. Research in Autism Spectrum Disorders, 8, 669–680. DOI https://doi. org/10.1016/j.rasd.2014.03.012
Rao, P., Beidel, D., & Murray, M. (2008). Social skills interventions for children with Asperger’s syndrome or high- functioning autism: A review and recommendations. Journal of Autism and Developmental Disorders, 38, 353–361. DOI https://doi.org/ 10.1007/s10803-007-0402-4
Sarokoff, R., & Sturmey, P. (2004). The effects of behavioral skills training on staff imple- mentation of discrete-trial teaching. Journal of Applied Behavior Analysis, 37, 535– 538. DOI https://dx.doi.org/10.1901%2Fjaba.2004.37-535
Schopler, E., & Mesibov, G. (1983). Autism in adolescents and adults. New York: Plenum Press.
Schrandt, J., Townsend, D., & Poulson, C. (2009). Teaching empathy skills to children with autism. Journal of Applied Behavior Analysis, 42, 17–32.
Sigman, M. (1998). The Emanual Miller Memorial Lecture 1997: Change and continuity in the development of children with autism. Journal of Child Psychology and Psychiatry and Allied Disciplines, 39, 817–827. DOI 10.1901/jaba.2009.42-17
Sigman M, Dijamco A, Gratier M, Rozga, A. (2004). Early detection of core deficits in au- tism. Mental Retardation and Developmental Disabilities Research Reviews 10(4): 221– 233. DOI https://doi.org/10.1002/mrdd.20046
Stewart, K., Carr, J., & LeBlanc, L. (2007). Evaluation of family-implemented behavioral skills training for teaching social skills to a child with Asperger’s disorder. Clinical Case Studies, 6, 252–262. DOI https://doi.org/10.1177%2F1534650106286940
Tantam, D. (2003). The challenge of adolescents and adults with asperger syndrome. Child Adolescence and Psychiatric Clinics of North America, 12, 143–163. DOI https://psyc- net.apa.org/doi/10.1016/S1056-4993(02)00053-6
Vitaro, F., Gagnon, C. & Tremblay, R. (1990). Predicting stable peer rejection from kinder- garten to grade one. Journal of Clinical Child Psychology, 19, 257–264. DOI https:// psycnet.apa.org/doi/10.1207/s15374424jccp1903_9
Weiss, M., & Harris, S. (2001). Teaching social skills to people with autism. Behavior Modifi- cation, 25(5), 785–802. DOI https://doi.org/10.1177%2F0145445501255007
Williams, S., Scahill, L., Klin, A., Koenig, K. & Volkmar, F. (2007). Educational placements and service use patterns of individuals with autism spectrum disorders. Journal of Au- tism and Developmental Disorders, 37 (8), 1403-1412. DOI https://doi.org/ 10.1007/ s10803-006-0281-0
Enlace alternativo
http://www.revistas.unam.mx/index.php/acom/article/view/75179 (pdf)